Abstract
This study aimed to evaluate the impact of different closures used in second fermentation on the aromatic fraction of sparkling wine. Six types of closures (cork stoppers and screw caps) and 94 months of aging in a bottle were investigated. Headspace solid-phase microextraction (HS-SPME) and thermal desorption (TD) procedures coupled to gas chromatography-mass spectrometry (GCMSMS) analysis were applied. The vectors containing the relative abundance of the volatile compounds are compositional vectors. The statistical analysis of compositional data requires specific techniques that differ from standard techniques. Overall, 101 volatile compounds were identified. HS-SPME extracted the highest percentage of esters, ketones and other compounds, while TD was a useful tool for the obtention of alcohol, acid, ether and alkane compounds. Esters were the most abundant family of compounds. Compositional data analysis, which was applied to study the impact of different closures used in bottle aging after second fermentation on the volatile composition of sparkling wine, concluded that there are differences in the relative abundance of certain volatile compounds between cork stoppers and screw-cap closures. Overall, the most abundant part in screw-cap closures was ethyl hexanoate, and it was ethyl octanoate in cork stoppers. Also, the proportional amount of dimethylamine was higher in screw-cap closures than cork stoppers relative to the entire sample.
Keywords:
sparkling wine; second fermentation; aging; aroma compounds; compositional data; log-ratio; MANOVA 1. Introduction
A sparkling wine is characterized as a product in which the carbon dioxide is generated exclusively by fermentation [1]. The production of sparkling wine can follow the traditional method (Champenoise), which consists of two fermentation phases. Initially, the grape must is fermented into a base wine. Then, a second fermentation takes place inside the bottle, where the wine undergoes an aging process in contact with the lees.
This second fermentation, known as “prise de mousse”, occurs after the addition of a “tirage solution” or a mix that includes yeast, sucrose, nutrients and, sometimes, bentonite [2,3,4]. Then, the product is closured hermetically, with a screw cap or a cork stopper. The second fermentation takes between two and three months, or when the sugar concentration is less than 1.5 g L−1 [1], and the product subsequently rests in the bottle with lees for at least nine months of aging.
An autolysis process takes place when the base wine remains in contact with the yeast lees [1]. The lees release nitrogenous and volatile compounds, polysaccharides, and phenolic compounds [5], which provides the complexity characteristic of cava. The result is a significant change in wine composition and foam formation that has a very important role in the sparkling wine “bouquet” [6].
The final step of this traditional method to obtain sparkling wine is the riddling, with the aim of removing the yeast lees from the bottle, followed by the disgorging process. This last process is performed manually in the case of bottles closured with cork stoppers or mechanically in the case of the use of screw caps. The final product must have a minimum pressure of four atmospheres, measured at 20 °C.
The second fermentation of base wine, as well as the aging stage in the bottle, is carried out in closed bottles. Traditionally agglomerated cork stoppers with two natural disks held in place with a metal staple are used, but nowadays, a screw cap is the most common closure, because it allows for automation on the bottling and disgorgement line. However, some producers continued using cork stoppers in all production or in premium products due to the favorable outcome of sensory attributes [7].
A screw cap is made up of a metal cap that screws onto the threads on the bottle neck. It typically has an inner lining composed of multiple layers: a polyvinylidene chloride (PVDC) film, a tin-foil layer serving as a gas barrier, and a polyethylene (PE) wad to maintain compression [8]. Saranex is one of the most common screw caps and consists of a PE core coated on both sides with PVDC [9]. Another screw cap is Daraform, or a non-polyvinylidene (PVC) compound based on polyolefinic raw materials. As previously mentioned by [10], the components of screw caps have distinct functions: PVDC provides an effective barrier against oxygen, while PE acts as a barrier to water vapor. Although screw-cap closures are easy to remove from the wine bottle, the metal cap, usually aluminum, can lead to the releasing of metal ions into the wine during bottle aging [11,12].
On the other hand, cork is the outer bark of Quercus suber L. a western Mediterranean evergreen oak tree. Cork is a very suitable material for wine stoppers due to its peculiar properties, such as its impermeability to liquid and air, elasticity, resilience, compressibility and chemical inertness [12,13,14,15]. Although the production of different types of cork stoppers is by far the most important application of cork, it also has applications in construction, design, cosmetics, and clothing, among others [16,17].
The type of closure has an effect on the aroma composition of wines during aging due to several factors, including the oxygen ingress through the bottles, the desorption of volatile compounds from the closures into the wine, and the scalping of volatile compounds present in wine by the closures [8,18]. Cork has been used for centuries as a closure material for the conservation of both still and sparkling wines. The beneficial role of cork stoppers in still-wine aging is extensively studied. In this sense, some volatile and phenolic compounds can be transferred from cork to wine, contributing positively to wine aspects such as flavor, color or astringency development [10,19].
The selection of the type of closure goes beyond the quality of the final product because it has also an effect on sustainability. Cork is a material obtained from the cork oak, and its extraction does not affect the viability of the tree—on the contrary, its use implies ecological and socio-economic roles [13,20]. On the one hand, cork oak trees prevent soil degradation and desertification, contribute to biodiversity, and regulate the hydrological cycle [21,22]. On the other hand, social and economic improvements are also related to cork-stopper production because cork extraction means there is an increase in jobs in rural areas and is combined with other jobs such as beekeeping.
In the case of sparkling wine, the aromatic profile has been described previously for cava [23,24,25,26], champagne [14,27,28], and Australian sparkling white wine [29]. This is also the case for ciders [30,31] and beer [32,33].
Overall, little is known about the impact of the type of closure on aroma evolution during second fermentation inside bottles [7,34]. Ref. [7] proposed that the effect of cork as a closure is evident in the sensory attributes because samples closured with cork stoppers showed less autolytic character, a longer aftertaste, and visually more and smaller bubbles. Also, agglomerate cork stoppers help to preserve effervescence and aromas [18].
The characterization of aromatic compounds is an arduous task because the volatile fraction is composed of multiple substances with different physicochemical properties. Currently, there exist various devices for techniques such as headspace procedures. Headspace techniques are solvent-free procedures used in combination with GC-MS to isolate the aromatic compounds of several matrices according to their volatility [1]. This solventless preparation technique allows for the simultaneous extraction of several compounds.
The HS-SPME method is the first headspace sampling technique developed by [35]. This is one of the commonly used methods for analyzing volatile and semi-volatile compounds in a wide range of matrices, such as wine [36,37,38,39,40]. On the other hand, the thermal desorption (TD) method stands out as an alternative to HP-SPME due to its capacity for a large sorbent phase and the use of a cryogenic focusing step to increase the sensitivity of the methodology [41]. The TD method has been widely studied because of its beneficial properties, such as its versatility or its high capacity of concentration of the selected compounds (up to 106) [42].
In TD, the first step is the concentration of headspace components in a desorption tube filled with the selected adsorbent. In the case of wine, Tenax (2,6-diphenyl-p-phenylene oxide) is an excellent adsorbent because of its low water- and ethanol-adsorbing capacities and its high adsorbing capacity for wine aromatic compounds [40]. Then, the charged tubes are thermally desorbed and intermediately trapped in a cryogenic trap, before being immediately injected into a gas chromatograph (GC-MS) after rapidly heating the filled trap. The detection power of this technique is enhanced with this trapping stage. It must be noted that this analysis is carried out with a compound that is thermally stable to avoid the decomposition process [41].
No studies have so far directly linked aroma compounds and the type of closure used for second fermentation and aging in bottle products. For this reason, a base wine in contact with yeast lees was closured using six types of closures with cork and screw-cap features for 94 months. The effect of the type of closure on the aroma profile of a sparkling wine obtained after second fermentation and aging in a bottle was studied. Both previously described techniques (HS-SPME and TD with GC/MS) were applied in this work to study the aromatic profile of the product of second fermentation and aging in a bottle. Our aim was to develop a better comprehension of the effect of the type of closure on the aromatic profile developed during second fermentation and aging in a bottle through compositional data.
2. Materials and Methods
2.1. Closures and Wine Second Fermentation
One hundred bottles of base wine elaborated by Gramona were supplemented with 21.3 g L−1 of sucrose and P29 (CECT 11770) as yeast (Saccharomyces cerevisiae isolated in the DO Penedès) (or “tirage solution”). After inoculation, the wine was immediately closured with the selected stoppers (Table 1) for 93 months. All closures were supplied by their manufactures.
Table 1.
Closures used for second fermentation and aging of sparkling wine: types, codes and description.
Analytical results of wine before the addition of a “tirage solution” are shown in Table 2. The tests were conducted at ICSURO following the protocols described by the OIV.
Table 2.
Oenological parameters of base wine before the addition of a “tirage solution”.
Bottle aging was conducted in a dark acclimatized chamber at 17 ± 1 °C, and the yeast was always in contact with the wine. To analyze the effect of the type of closure on the aromatic profile obtained after aging in a bottle, six groups of six bottles with each closure were analyzed (n = 6 per type of stopper and n = 7 for Cork2). The samples were disgorged and collected after 94 months. After the riddling process, samples have a pH of 3 and a total acidity of 5.6 g L−1. All the procedures were conducted in Gramona’s facilities. The disgorged bottles were sent to the Catalan Institute of Cork (ICSuro).
2.2. Extraction of Volatile Compounds
For the extractions of volatile compounds from sparkling wine after aging in a bottle for 94 months, we used two methodologies.
HS-SPME. First, a 5 mL of each sample and 1.25 g of NaCl were placed in a 20 mL vial, capped with a PTFE septum (Supelco, Bellefonte, PA, USA) and analyzed by HS-SPME-GCMSMS. The method is an adaptation from the one described in [23]. The extraction was carried out using a divinylbenzene/carboxen/polydimethylsiloxane (DVB/CAR/PDMS) fiber (Supelco Inc., Bellefonte, PA, USA) that was inserted into the headspace (HS). The extraction conditions were 40 °C for 40 min at 250 rpm. Then, the fiber was desorbed into the injector at 250 °C for 5 min [43].
Thermal desorption (TD). In TD, the desorption process was carried out in two stages.
- First, the desorption tube filled with extracted compounds was heated inside the desorption unit at a certain temperature and for a certain time in order to desorb the analytes adsorbed during tube filling and focus them into a cold trap (or desorption trap). Helium gas was the carrier gas used in split-less mode [42]. Stainless-steel thermal desorption tubes (6 mm O.D. × 90 mm long, 5 mm I.D., Markes International Limited, Pontyclun, UK) were used in this study. Tubes were packed with 200 mg of Tenax® TA supplied by Ingenieria Analitica, S.L (Barcelona, Spain), a porous polymer resin based on 2,6-diphenylene oxide with a particle size of 20–35 mesh, which was designed for trapping volatile and semi-volatile organic compounds from air [43].
- Then, the desorption trap was heated to a chosen temperature at the maximum heating rate to introduce the retained analytes into the chromatographic column.
- The desorption tubes filled with extracted compounds were obtained following a procedure developed in this study. The designed system is shown in Figure 1.
Figure 1. Scheme of the system designed to extract aromatic compounds present in wine sparkling samples onto desorption tubes using a TD method. The red arrow indicates the direction of the intake air.
Figure 1 represents a hermetically sealed glass container with an outer coating through which distilled water at 52 °C flows. Inside the container, 30 mL of sample was heated for 6 min to achieve a constant temperature of 35 °C. Then, the first desorption tube was inserted to establish contact with the headspace created, and also, it was connected to a suction pump operating at 140 mL min−1, as shown in Figure 1. The adsorption tube was connected for 5 min, and then it was immediately closed to avoid the loss of retained compounds. Thereafter, another desorption tube was inserted in the same way. This procedure was repeated until there were 10 tubes per sample, in order to increase the volume of analyzed samples and gain a greater number of extracted compounds.
For the analysis of desorption tubes with extracted compounds retained inside an Ultra A automated sampler, a Unity Thermal Desorption system (Markes International Limited, Llanstrisant, UK) connected to a GC-MSMS was used. The thermal desorption of sampling tubes was carried out at 300 °C for 8 min, and the extracted compounds were stored in a cold trap at −20 °C. Finally, to introduce trapped compounds into the gas chromatograph, the cold trap was heated rapidly from −20 °C to 305 °C [43].
In the case of both extraction procedures (HS-SPME and TD), GCMSMS analysis was performed on a 7890 A gas chromatograph coupled to a 7000 triple quadrupole mass spectrometer (Agilent Technologies, Santa Clara, CA, USA) system equipped with an Agilent Multimode injector. Data acquisition and processing were performed using Agilent Mass Hunter Qualitative and Mass Hunter Quantitative Analysis B.08.00 software. Chromatographic separations were carried out using a J&W HP-5MSUI capillary column (30 m × 0.25 mm I.D., df: 0.25 μm) supplied by Agilent Technologies. Helium (purity 99.999%) was employed as a carrier gas at a constant flow of 1.4 mLmin−1. The injector temperature was 290 °C for 1 min.
The oven temperature started at 40 °C and was held for 10 min, then raised to 200 °C at 2 °C min−1 and was held for 1 min. Then, the temperature was increased to 250 °C at 2 °C min−1 and was held for 10 min. The temperature of the transfer line was 280 °C, and nitrogen (1.5 mLmin−1) was used as the collision gas. The mass spectrometer was operated in the electron ionization mode at 70 eV in the complete scanning mode (SCAN), in the 20 to 300 u mass range. The extracted compounds were assigned according to the fragmentation profile, and concretely, the ion abundance between the sample spectrum and NIST library (NIST 14) had an NIST score of 85. The area of each compound was the area of the chromatographic signal produced by the largest mass fragment (base peak). A normalizing approach was used to obtain the percentage of each compound: the area of the base peak/total area.
2.3. Compositional Data Analysis
Compositional data (CoDa) refer to vectors of positive components representing proportions of some whole [44]. All components, also called parts, are assumed positive, and the only relevant information is contained in the ratios between them. A simplified manner to represent CoDa is using the closed form, which is a positive vector where the parts sum up to a positive constant, i.e., with and . Typically, for parts per unit or for percentages. The sample space of CoDa is called the simplex, and it is denoted as . In the context of our study, the volatile compound data obtained using the method described in the previous section and through the normalizing approach align with this definition.
In general, standard statistical methods presuppose an absolute scale for data, which conflicts with the inherent relativity of CoDa. Therefore, we will require statistical methods that acknowledge this relative nature, and this implies working with ratios or, more specifically, with log-ratios. In the literature, we can find different possible log-ratios introduced as one-to-one transformation from to the real space [44]. For the purpose of this paper, we will consider the so-called centered log-ratio transformation (clr), where the composition is expressed as vector of the score.
where is the geometric mean of the parts of ; that is, . When interpreting the components of the clr-vector, it is essential to consider that they represent part relative to the average of all parts. Moreover, some simple log-ratios, including , will also be used. This log-ratio approach is already justified and applied in some works using data obtained from chromatography [45].
In the case of descriptive statistics, there are some alternatives to the standard arithmetic mean and variance called the center, variation matrix and total variance [46]. Let us consider a CoDa set represented as a matrix with n rows (samples) and D columns (volatile compounds). The center of the data set is , where is the geometric mean of the column j and represents the closure operator applied to rescale the resulting vector to the constant sum . Note that here, the geometric mean is considered column-wise. In addition, the dispersion of a CoDa set is usually quantified using the variation matrix, a matrix formed by the usual variance of the simple log-ratios, and . Note here that variances close to zero indicate two redundant parts. A global measure of relative dispersion, called total variance, is defined as the sum of all the variances of the variation matrix divided by . The total variance of equals the trace of the covariance matrix of the clr-scores data set.
A compositional MANOVA test [47] can be applied to determine whether some significant difference among group means exists. The non-parametric compositional MANOVA test and a homoscedasticity study are recommended when the multivariant normality on [48] cannot be accepted. When we have two or more groups in our data set, we can use the geometric-mean bar plot to graphically compare the centers. For each group, we initially compute the ratio between the overall geometric mean and the group’s geometric mean. Subsequently, each part is visualized in a bar plot with a logarithmic scale. When the group’s center aligns with the overall center, each component’s ratio equals to 1, resulting in a zero in log-scale. Conversely, if a group’s center differs from the overall center, the ratio deviates from one, yielding a positive or negative logarithm. Therefore, large bars (positive or negative) indicate substantial disparities in means. A bootstrap percentile interval plot can complement this, adding uncertainty through a resampling process.
Principal component analysis (PCA) is a commonly employed technique for exploring chemical measurements [49,50,51]. The aim of PCA is to simplify complex data sets by transforming them into a smaller set of uncorrelated variables, known as principal components. These components retain as much of the original variation in the data as possible, making it easier to interpret the underlying patterns and relationships within the data set. The results can be visualized using a biplot. The clr-scores data set is used to perform PCA and to represent a biplot for the CoDa set [46]. In a clr-biplot, the length of each ray represents the variance of the clr-variable (volatile compound), and the position of the samples can suggest potential clusters. However, a PCA-based plot does not use the information provided by a factor (closure type). When we have more than two groups, the canonical variates plot can also be considered. A canonical variation is a linear combination of particular log-ratios that highlights the differences between groups defined by a factor.
The mentioned methodology of working with log-ratios does not accommodate zero values since log-ratios cannot be calculated with a zero value. Essentially, two types of zeros are encountered: structural zeros, obtained when a part is zero due to a physical constraint, and rounded zeros, also called below-detection-limit zeros, obtained when the small presence of a part cannot be measured given the accuracy of the device used. Due to the different nature of these zeros, distinct treatments are required. Our focus here will be on rounded zeros, as they are the type of zeros observed in our data set. When dealing with rounded zeros, the strategy involves replacing them with a suitable small value—one exceeding a specific threshold [52].
3. Results
This research investigated the impact of cork stoppers and screw caps on the aromatic profiles of sparkling wine after second fermentation and aging in a bottle. The yeast-lees contact time was 94 months.
3.1. Extraction of Aromatic Compounds versus Type of Closure
Two extraction methods (HP-SPME and TD) were used to obtain volatile compounds of sparkling wine after second fermentation and aging for 94 months. The obtained chromatograms of bottle-aged sparkling wine closured with closure A and isolated by TD and HP-SPME are shown in Figure 2. A summary of the data obtained by both extraction methodologies is presented in Table A1 (Appendix A). Briefly, the number of identified compounds extracted from TD (65) was slightly higher than HP-SPME (53).
Figure 2.
Chromatograms of sparkling wine bottle aging closured with cork stoppers (closure A) isolated by TD and HP-SPME.
These results show that both methodologies are appropriate for the analysis of volatile compounds in sparkling wine. SPME and TD have been successfully used for the identification of aromatic compounds in wine [25,26,36,40,53,54,55,56] and sparkling wine [23,24,57]. Therefore, TD required 30 mL of sample for extraction, while HP-SPME used 10 mL.
Furthermore, TD is a time-consuming process (2 h) and requires temperature for extracting volatile compounds. Both depended on the equilibrium partitioning of the volatile compounds between the solution (or sparkling wine) and gas phase. Then, the solutes were extracted from a liquid phase of an aqueous matrix or wine and migrated into a polymer phase; they fit inside the needle of a syringe-like device in the case of HP-SPME and filled a desorption tube in the case of TD. Then, in the case of TD, a thermal desorption-step process followed by a preconcentration step (TD) was performed using a cryotrap. The most important disadvantage of HP-SPME is the lack of sensitivity [41]. In this study, TD extraction was designed with the aim of benefiting from the higher amount of sorbent, as well as the trap focusing, for the purpose of increasing the sensitivity.
The extracted compounds are classified into families, according to their chemical nature, as acids, alcohols, alkanes, esters, ethers, ketones and others. Figure 3 shows the percentages of sparkling wine families of volatile compounds extracted by HP-SPME and TD, considering all analyzed closures. As can be seen, some differences were observed in terms of the percentages of the major families of volatiles. HP-SPME allowed for the more effective extraction of esters, considering both the percentage of area (66.1%) and the number of compounds (19). Furthermore, HP-SPME showed a higher proportion of ketones (1.8%) and others (26.2%). On the contrary, the proportion of alcohols (40.6%), ethers (17.0%), alkanes (2.6%), terpenes (3.0%) and acids (4.0%) was higher in TD extracts than HP-SPME (1.9%, 2.0%, 0.9%, 0.1% and 0.8%, respectively).
Figure 3.
Percentages of sparkling wine families of volatile compounds and number of compounds extracted by HP-SPME and TD methods. Compounds are aggregated in eight families.
The most important group of compounds for sparkling wine aroma are ethyl esters of aliphatic acids [23]. Although HP-SPME allowed for the extraction of a greater number of esters, TD and HP-SPME were appropriate methods for extracting common esters such as methyl 2,4-dimethylhexanoate, ethyl octanoate, ethyl decanoate, ethyl arachidate or ethyl hexanoate in the sparkling wine samples (Table A1, Appendix A). Other ester compounds extracted using HP-SPME and TD were ethyl 9-decenoate, diethyl succinate and ethyl butyrate. All these compounds have already been identified in sparkling wines [23,25,58,59,60]. Diethyl succinate is a post-fermentation volatile formed during the aging of sparkling wines in contact with lees after second fermentation [23]. For this reason, this compound is a signal of the evolution of sparkling wines during aging [24,25]. Overall, representative esters were detected by both extraction methodologies, but HP-SPME was the quickest and most straightforward method for extracting them.
Alcohols were the second-most-abundant family, with the highest levels of isoamyl alcohol in the case of TD extraction and phenylethyl alcohol in the case of HP-SPME. According to [59], phenylethyl alcohol contributes to the sweet, floral, and honey-like aroma profile of sparkling wines. Both higher alcohols have already been identified in sparkling wines [59]. Other representative alcohols such as 1-hexanol and 1-butanol, which are mostly produced during the pre-fermentation wine production process, were extracted using TD. Also, 1-hexanol is a representative alcohol characterized by “green” and “herbaceous” notes.
The different origins of the grapes and/or the winemaking conditions used are likely linked to the presence of fatty acids [60]. The most significant acids identified were different depending on the use of TD or HP-SPME. Octanoic and decanoic acid were obtained by both methods, but the highest percentage of area was detected in the sparkling wines analyzed by HP-SPME (Table A1, Appendix A). We found that some compounds such as succinic acid and dimethyl caffeic acid were only detected by HP-SPME, and others like alkynyl stearic acid, 3-hydroxydodecanoic acid, acetic acid or aminomethanesulfonic acid were identified using TD.
In the case of ether compounds, 2-(1,1-dimethylethyl)-3-methyloxirane and 1-Methyl-1-silacyclopentan-1-ol were identified. The latter was only detected using TD. Ethers are a type of volatile compound that significantly contribute to the intricate aroma of wine. They are mainly produced throughout the alcoholic fermentation, but additionally, they can also develop during the wine-aging process as the wine undergoes chemical reactions in barrels or bottles [61]. Although ethers are less prevalent than esters, their presence enhances the wine’s aromatic complexity, offering scents that span from herbaceous to floral and spicy. Their interaction with other volatile and non-volatile elements in the wine further shapes their sensory perception and overall impact.
Ketones are a key group of volatile compounds that play a significant role in shaping the aroma profile of wine. Their presence has a crucial impact in the complexity of wine’s sensory attributes, although its concentration is lower compared to other volatiles like esters and alcohols. Ketones are primarily formed during the fermentation processes but also in the aging step [62].
HP-SPME was the best method used to extract alpha-ionone or a C13-norisoprenoid that is known for its contribution to the aroma of fruits. Other ketones such as caprolactone or 2,3,4,5,6,6-hexamethylcyclohexa-2,4-dien-1-one were also detected using HP-SPME. On the contrary, 2,2-dimethyl-5-phenylfuran-3-one was extracted using TD. Lactones were also detected in sparkling wines due to the aging process because they are generated by the hydrolysis of the precursors.
Alkanes are naturally present in the waxy cuticle of grape skins. They can also form during the fermentation process, because yeast metabolism can produce them as secondary metabolites, or during the aging of wine, due to chemical reactions that can generate or modify alkane compounds. The number and nature of extracted alkanes depend on the extraction methodology. Levels of pentacosane, nonacosane, tetratriacontane, hexatriacontane, 3-choropentane and vinyl decanoate were obtained using HP-SPME. On the other hand, n-hexane, octathiocane, 5-methyl-hexadecane, hexadecane and octadecane were extracted by the TD method. Alkanes typically have a relatively low impact on the aroma profile of wine due to their low volatility. However, they can contribute to the background complexity and texture of the wine.
Terpene compounds, which are a major group of wine aroma compounds known for their floral aromas, were similarly identified using both HP-SPME and TD techniques. It seems that these groups of compounds are produced during the pressing of grapes and the settling process. Squalene is a natural triterpene widely distributed in nature, and it was extracted using both methodologies. Therefore, the TD method allowed for the extraction of another triterpene, Friedelin. This is a compound of the triterpenic fraction of cork, and it is described as a precursor of bioactive components for biomedical applications [63]. D-limonene or a monoterpene was also obtained using TD, as in the case of TDN, or a C13-norisoprenoid. According to Torrens et al. 2010 [26] and Francioli et al. 2003 [64], TDN, which forms from the degradation of carotenoids, is affected by the aging process through acid-catalyzed reactions. Along with diethyl succinate and vitispirane, TDN can be used to distinguish sparkling wines aged for more than 20 months. However, beyond this, due to the relatively low concentrations of these compounds and the complexity of the matrix, their analyses require the previous fractionation and separation of volatile terpenes or a non-polar fraction from a polar fraction [65].
There are several compounds classified as other. HP-SPME allowed for the extraction of most of them, such as lactamide or dimethylamine. Caprylic anhydride was obtained by both methods. Some of them have not been described previously.
According to our results, HS-SPME may a useful extraction method for esters, ketones and other compounds, while for the extraction of alcohol, acid, ethers, alkanes and terpenes, the TD methodology is better. It was initially expected that TD extraction would be more efficient due to the advantages mentioned earlier. Considering these results, a first step, with the aim of the optimization of the TD methodology, would be necessary to gear its strengths. Some desorption parameters, such as desorption time, desorption temperature, low trap cryo-temperature or high trap temperature, and its associations would affect the response of the volatile compounds [43].
Ref. [23] considered that HP-SPME allows for the extraction of the most representative polar compounds of a sparkling wine. In this study, HP-SPME enabled the extraction of several high-molecular-weight compounds, such as acetate, ethyl, and isoamyl esters, which appear to be characteristic aromas of sparkling wines with a short aging period. According to [64], HP-SPME is proven to be an effective method for detecting diethyl succinate, TDN, hexanol, and other compounds associated with the autolysis process, as well as compounds inherent in the bouquet of long-aged sparkling wines.
The behaviors of the cork stoppers and screw caps used in bottle aging, after the second fermentation of the sparkling wine samples, are shown in Figure 4.
Figure 4.
Percentages of major families of volatile compounds extracted by HP-SPME and TD (combined) in samples of sparkling wine with bottle aging after second fermentation using cork stoppers and screw cap. Cork stoppers are Cork 1 and Cork 2 samples. Screw cap is CC1, CC2, CC3 and CC4). The terpene family is not taken into account because they were detected in very low percentages.
Esters was the most abundant family of compounds in both types of closures. Levels of some families of volatile compounds—for example alcohols, acids and others—are those with wide differences between the type of closures.
As previously mentioned, volatile esters represent one of the most significant groups of compounds due to their crucial role in shaping the volatile profile [59]. They contribute to the presence of fruity and floral-like notes in the sparkling wine aroma [1,2,18], and it appears that this is the result of the autolysis of the yeast. Some factors such as the yeast strain or fermentation conditions (temperature, nutrient content, or availability of oxygen) have already been linked to the formation of volatile esters [1,3]. Therefore, the type of closure would be related to the preservation of the levels of ester compounds in sparkling wine, improving the shelf life of the product. The percentage of the ester area is similar in both closures. Among the esters present in the analyzed sparkling wines, methyl 2,4-dimethylhexanoate was the most abundant ester and was only detected in screw-cap closures. Methyl esters in wine are related to yeast fermentation [66]. Ethyl acetate and ethyl esters with a high molecular weight, such as ethyl octanoate (floral), ethyl hexanoate (fruity), ethyl decanote (floral), ethyl arachidate and diethyl succinate (overripe), were detected in all samples. As noted by [66], these compounds can exhibit a synergistic effect, even when present in small quantities. In the case of the effect of the type of closure, ref. [18] described the presence of greater amounts of several ethyl esters in sparkling wine closured using cork stoppers instead of micro-agglomerated stoppers. Diethyl succinate is regarded as a marker, primarily associated with the duration of cava storage in the cellar. This compound is defined as fruity or floral by tasters and is a marker of the evolution of sparkling wine because it is a post-fermentative volatile formed during the aging of sparkling wine in contact with lees from second fermentation [1,23]. Overall, diethyl succinate, TDN and hexanol seem to be compounds inherent in the bouquet of long-aged sparkling wines [24,25]. The first two were detected in higher amounts in bottles with cork stoppers than screw-cap closures (Table A1, Appendix A). Finally, sparkling wine acetates like ethyl acetate decrease along the ageing time of sparkling wine in contact with lees [25]. However, a higher amount of this acetate was detected in products with screw-cap closures.
In the case of cork closures, the second-most-abundant family of compounds was alcohols, which are related to yeast metabolism [1]. Sparkling wine alcohols such as isoamyl alcohol and phenylethyl alcohol were detected in bottles with both closures. The latter has influence on the sweet, rose and honey aroma structure of sparkling wines [26,67,68], and isoamyl alcohol can influence wine aroma by adding “alcohol” and “nail polish” notes [59]. Moreover, 1-hexanol was identified with both stoppers but in higher amounts with screw-cap closures. In the case of sparkling wines elaborated by traditional method, the alcohols augmented after alcoholic fermentation and remained almost constant after second fermentation and throughout aging. However, in the case of certain alcohols like 1-hexanol, they tended to increase, serving as a suitable ageing marker, as mentioned previously. Ref. [18] described that the levels of 1-hexanol were also significantly influenced by the type of closure in a sparkling wine. In accordance with these authors, the lower levels of 1-hexanol in sparkling wine sealed with cork stoppers may be due to its oxidation to 3-hexenal, but this aldehyde was not detected in the volatile composition of our samples under our experimental conditions. Additionally, 1-butanol was only obtained in screw-cap samples. According to [69], 1-hexanol contributes to the aroma of just-cut grass, and 1-butanol contributes to the medicinal aroma of wine.
Concerning the acids, the most common were detected in both groups. However, the most representative, like octanoic and decanoic acid, have been detected in higher amounts in sparkling wines closured using screw caps. These acids, depending on the concentration, can have a negative role in the development of wine sensory profiles [26,67]. Among ethers compounds, oxirane, 2-(1,1-dimethylethyl)-3-methyl- was identified in both groups of closures but was more abundant in screw-cap closures (Table A1, Appendix A). Furthermore, 1-Methyl-1-silacyclopentan-1-ol was only detected in screw-cap closures. Alkanes and ketones were determined in both closures, with results from cork stoppers being slightly higher than for screw caps.
Aziridinylethylamine and hydroxyurea were presented only in screw-cap closures in higher amounts. This first is related to a fishy flavor [70]. Corlumine, N-Methylcalycotomine, phenol and emulphor were detected in screw-cap closures, while 12-O-Acetylingol 8-tiglate, 2-Myristynoyl pantetheine, 6,7-Dimethoxy-1,4-dimethyl-1,3-quinoxalinedithione and longifolenaldehyde were identified in cork stoppers. Also, the highest amount of dimethylamine or a volatile amine with secondary amino groups [71] was detected in screw-cap closures.
3.2. Effect of the Type of Closure through Compositional Data Analysis
Based on the results obtained, the type of closure used during the second fermentation can influence the aroma composition of the resulting sparkling wine. This impact may result from the desorption of volatile compounds from the closures into the wine [8,18] or be related to the level of oxidation. In the case of still wine, ref. [72] described that wines sealed with different types of closures for four years differed significantly in their content of some volatile chemicals, such as 1-butanol, 2-phenylethanol, 2-nonanol and ethyl decanoate. Additionally, ref. [73] discovered that eight volatile compounds (isoamyl acetate, ethyl decanoate, nonanoic acid, n-decanoic acid, undecanoic acid, 2-furancarboxylic acid, dodecanoic acid, and phenylacetaldehyde) played a role in differentiating wine closures and were linked to the oxidation level of Cabernet Sauvignon wines.
The impact of six different closures used in bottle aging after second fermentation on the volatile composition of sparkling wine has been evaluated using the compositional analysis of a data matrix that included the compounds extracted by HP-SPME. First, two groups were analyzed: cork stoppers (cork 1 and cork 2) and screw-cap closures (from CC1 to CC4).
We used a compositional data set with n = 37 stoppers (n = 13 group cork and n = 24 group screw cap) and D = 57 volatile compounds. Due to the substantial number of zeros, we first selected the volatile compounds detected in more than five stoppers—that is, with a percentage of zeros below 80%. This reduced the number of parts of our composition to D = 16, and their names are listed in Table 3. Additionally, the corresponding percentage of replaced zeros and the notation used in the figures to avoid the lengthy names of certain compounds are also provided. According to the nature of these zeros, the log-ratio EM imputation algorithm was applied [52].
Table 3.
Oenological parameters of base wine before and after the addition of a “tirage solution”.
The values of the whole center and subgroups center (cork and screw-cap closures) are presented in Table A2 (Appendix A). Overall, the most abundant part is ethyl hexanoate , which is also observed in the screw-cap subgroup. However, in the cork subgroup, the most abundant part is ethyl octanoate . Both are ester compounds—the most abundant family of compounds detected in sparkling wine samples (Figure 5 and Figure 6). To better understand these results, a geometric-mean bar plot comparing the compositional center of the entire sample with the compositional center of cork stoppers and screw-cap subgroups is shown in Figure 5. The volatile compounds with a larger relative difference compared to the global center were dimethylamine and ethyl octanoate . It is clear from Figure 5 that the proportion amount of dimethylamine was higher in screw-cap closures than cork stoppers relative to the entire sample. Dimethylamine primarily forms through the decarboxylation of amino acids at various stages of vinification. Since high concentrations of amines are difficult to remove, it is crucial to monitor their production. Amines with secondary amino groups, like dimethylamine, can lead to the formation of nitrosamines or other harmful substances [41]. On the contrary, ethyl octanoate was higher in the cork-stopper group. This ester compound is responsible for fruity and floral-like aromas, as commented previously. A similar pattern was observed for other volatile compounds such as isoamyl alcohol , lactamide and 4-(2,3,6-Trimethylphenyl)-1,3-butadiene . On the other hand, the bar plot suggests that the values of octanoic acid and alpha-ionone are very similar in the two subgroups.
Figure 5.
Geometric-mean bar plot comparing the compositional mean of the entire sample with the compositional mean of aromatic compounds subgroups for cork stoppers and screw-cap closures. Cork stoppers are Cork 1 and Cork 2 samples. Screw caps are CC1, CC2, CC3 and CC4).
Figure 6.
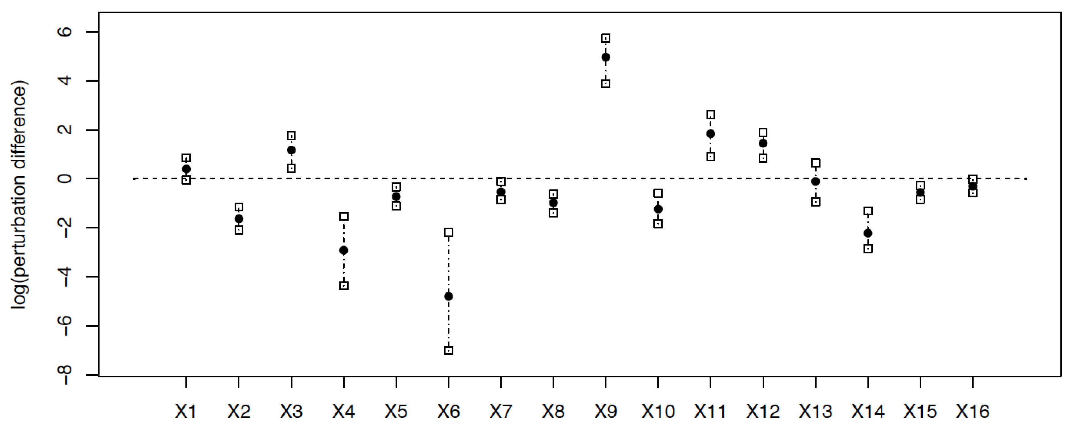
Bootstrap percentile confidence intervals for log-ratio difference between centers of cork stoppers and screw-cap closure groups. Filled circles are the log-ratio difference for the centers. Vertical dashed lines are the bootstrap 95% percentile intervals. Cork stoppers are Cork 1 and Cork 2 samples. Screw caps are CC1, CC2, CC3 and CC4).
A non-parametric MANOVA [74] contrast applied to the clr-scores data set confirms significant differences (p < 0.05) between the centers of cork-stopper and screw-cap closures. In this case, the homogeneity cannot be accepted, but the screw-cap group has large dispersion and a large number of samples, and the test became conservative [75]. For comparing the centers of the two groups, the bootstrap 95% percentile interval for each part is provided (Figure 6). Figure 6 shows that only intervals of the parts 1,1,5-Trimethyl-1,2-dihydronaphthalene and octanoic acid have a zero value (horizontal dashed line), which means no differences between the two types of closures. All the other parts do not contain the zero value indicating differences. The larger ones in the dimethylamine and ethyl octanoate parts are also observed in Figure 5.
The variability of the data is displayed in Figure A1 (Appendix A), within the variation matrix, illustrating both the variance and the mean of each pairwise log-ratio. The highest variances are highlighted using a red-shaded background, while the lowest are indicated with a blue-shaded background. Additionally, the total variance and the variance of each clr component are also provided. Globally, the total variance is 51.13. Screw-cap closures exhibit higher total variance (46.46) compared to cork stoppers (13.04), showing heterogeneity between groups. Examining the pairwise log-ratios, it becomes evident that both globally and within each subgroup, the log-ratios with the highest variance are those containing the dimethylamine part. However, in the screw-cap subgroup, log-ratios containing the carbon dioxide part also display high variability. Furthermore, in both subgroups and globally, the log-ratios involving phenylethyl alcohol and alpha-ionone exhibit low variability.
Figure 7 shows the compositional clr-biplot, with cork closures in red and screw closures in blue, simplifying a comparison between the subgroups. The biplot retains a relevant portion of the total variability (78.34%), ensuring the high quality of the representation. In Figure 7, the conclusion mirrors earlier findings, highlighting a clear separation between subgroups and the higher variability of the screw-cap closures group (blue). We can see the volatile compounds’ characteristics associated with cork closures, such as , and , as well as other compounds’ characteristics linked to screw-cap closures such as and , exhibiting opposite directions relative to the PC1 axis.
Figure 7.
Compositional clr-biplot (78.3% of the total variance retained) based on the volatile compounds extracted by HP-SPME through second fermentation closured by different closures (cork: red; screw: blue). Note that some variables appear overlapped (clrX11 with clrX12 and clrX8 with clrX10).
A second compositional data analysis was carried out using all types of stoppers as subgroups (n = 6 for Cork1, CC1, CC2, CC3, CC4 and n = 7 for Cork2). The centers of each subgroup, displayed in Table A3 (Appendix A), and the geometric-mean bar plot in Figure 8, allow us to compare the compositional mean of the entire sample with the compositional mean of each type of closure.
Figure 8.
Geometric-mean bar plot comparing the compositional mean of the entire sample with the compositional mean of aromatic compounds subgroups for the six types of closure.
Broadly speaking, Figure 8 shows a similar pattern to Figure 5. That is, the pattern stated between the two groups of closures in Figure 5 is, respectively, reproduced in each set of subgroups. Indeed, the non-parametric MANOVA test applied separately to the subgroups does not allow us to confirm significant differences between the two cork-stopper groups (p = 0.148) and the four screw-cap groups (p = 0.377). In this case, the robustness of the test is guaranteed because we have balanced designs [75]. A visual inspection of Figure 9, where the first canonical variate retains 84.25% of the variability, allows us to perceive some differences between the agglomerated cork stopper with 31 mm of diameter (cork1) and the agglomerated cork stopper with 32 mm of diameter (cork2), as well as between Saranex (CC2) and the other screw-cap groups—polyethylene screw cap (CC1), Daraform (CC3) and Saranex plus araldite (CC4)—although a larger dataset is needed to confirm the potential differences.
Figure 9.
Canonical variates plot of clr-scores for cork1, cork2, CC1, CC2, CC3 and CC4 groups. The compositional centers of each group are represented by filled circles.
4. Discussion
Aroma is a complex character, shaped by various processes that generate hundreds of volatile compounds. When it comes to the volatile composition of sparkling wines, factors such as grape variety, grape maturity, and production method, as well as first and second fermentation and the aging process, can all have an impact. In particular, the second fermentation and bottle aging, along with the time spent in contact with the lees, are known to significantly influence the volatile profile of sparkling wines. Therefore, careful consideration is required when selecting the type of closure during this stage.
In total, 101 compounds were identified using HS-SPME and TD extraction methods, and both allowed for the extraction of a wide profile of volatile compounds in samples of sparkling wines. The already identified common volatile compounds were also extracted by both methods. Briefly, HS-SPME extracted the highest percentage of esters, ketones and other compounds, while TD was a useful tool for the obtention of alcohol, acid, ether and alkane compounds. Overall, both were specifically focused on the extraction of ethyl esters or an important group of compounds in the volatile profile of sparkling wine. The esters most commonly identified in sparkling wine, such as methyl 2,4-dimethylhexanoate, ethyl octanoate, ethyl decanoate, ethyl arachidate or ethyl hexanoate, were extracted. Moreover, both methodologies enabled the extraction of representative alcohols and fatty acids in sparkling wine samples. In the case of alcohols, isoamyl alcohol, phenylethyl alcohol, 1-hexanol and 1-butanol are mostly characterized by herbaceous notes. On the contrary, these methodologies showed differences in the extraction of compounds of ethers, ketones, alkanes and other compound families. Lastly, HS-SPME is a methodology that allowed us to extract several other compounds, instead of TD.
Based on the results obtained, the type of closure used during the second fermentation and bottle aging can influence the aroma composition of sparkling wine. Esters were the most prevalent family of compounds found in sparkling wines sealed with cork stoppers and screw caps. Methyl 2,4-dimethylhexanoate was the most abundant ester and was only detected in screw-cap closures, while common ethyl acetate and ethyl esters were detected in cork stoppers and screw caps. In the case of cork closures, the second-most-abundant family of compounds was alcohols like isoamyl alcohol and phenylethyl alcohol, which were detected in both type of closures. Additionally, 1-hexanol was identified in both, while 1-butanol was detected in screw caps. The first of these contributes to the aroma of just-cut grass and the other is related to the medicinal aroma of wine. The most common acid compounds were detected in both types of closures, as in the case of ether, alkane and ketone families of compounds. The group of other compounds was different according to the type of closure. Compounds such as aziridinylethylamine or hydroxyurea were only identified in screw-cap closures, while other compounds like 12-o-acetylingol 8-tiglate, 2-myristynoyl pantetheine, 6,7-dimethoxy-1,4-dimethyl-1,3-quinoxalinedithione or longifolenaldehyde were identified in cork stoppers. Also, higher levels of dimethylamine or a volatile amine with secondary amino groups was detected in screw-capped sparkling wine bottles.
The impact of six different closures used in bottle aging after second fermentation on the volatile composition of sparkling wine has been evaluated using compositional data analysis. It can be concluded that there are significant differences in the composition of certain volatile compounds between cork stoppers and screw-cap closures. Overall, the most abundant part in screw-cap closures was ethyl hexanoate, and it was ethyl octanoate in cork stoppers. Also, the proportional amount of dimethylamine was higher in screw-cap closures than cork stoppers, relative to the entire sample. On the contrary, ethyl octanoate or an ester compound responsible for fruity and floral aromas was found in higher proportions in the cork-stopper group. Other compounds such as octanoic acid and alpha-ionone were very similar in the two subgroups of stoppers. In relation to all types of stoppers evaluated separately, a second compositional data analysis exhibited some differences between an agglomerated cork stopper with 31 mm of diameter and an agglomerated cork stopper with 32 mm of diameter, as well as between Saranex and the other screw-cap groups: a polyethylene screw cap, Daraform, and Saranex plus araldite.
In conclusion, the selected aromatic compound-extraction techniques and compositional data analysis have allowed for the obtention of sparkling-wine volatile profiles and the acquisition of an overall vision of the effect of the type of closure used in bottle aging after second fermentation in the sparkling wine. The type of stopper used in the second fermentation and bottle aging affects the aromatic profile of the final product, making it an element of the production process that should be considered depending on the desired final results.
Author Contributions
Conceptualization, P.J., G.M.-F. and J.A.M.-F.; methodology, P.J., G.M.-F. and J.A.M.-F.; validation, P.J., G.M.-F. and J.A.M.-F.; formal analysis, P.J., J.B., G.M.-F. and J.A.M.-F.; investigation, P.J., G.M.-F. and J.A.M.-F.; resources, P.J., G.M.-F. and J.A.M.-F.; data curation, P.J., G.M.-F. and J.A.M.-F.; writing—original draft preparation, P.J.; writing—review and editing, P.J., G.M.-F. and J.A.M.-F.; visualization, P.J., G.M.-F. and J.A.M.-F.; supervision, J.A.M.-F. All authors have read and agreed to the published version of the manuscript.
Funding
This research received no external funding.
Data Availability Statement
The data that support the findings of this study are available from the corresponding author, Patricia Jové, upon reasonable request.
Acknowledgments
The authors would like to express their sincere gratitude to Gramona for their generous provision of the bottles and their invaluable support in conducting the experiments. Their contribution has been essential to the success of this research.
Conflicts of Interest
The authors declare no conflicts of interest.
Appendix A
Table A1.
Characterization and mean percentage amounts of volatile compounds of sparkling wine with second fermentation and aged for 94 months extracted by HP-SPME and TD.
Table A1.
Characterization and mean percentage amounts of volatile compounds of sparkling wine with second fermentation and aged for 94 months extracted by HP-SPME and TD.
| Extracted Compounds | cc1 | cc2 | cc3 | cc4 | Cork 1 | Cork 2 | ||||||
|---|---|---|---|---|---|---|---|---|---|---|---|---|
| SPME | TD | SPME | TD | SPME | TD | SPME | TD | SPME | TD | SPME | TD | |
| Acids | ||||||||||||
| 3-Hydroxydodecanoic acid | 0.58 | 0.7 | 1.07 | 0.56 | 0.95 | 0.97 | ||||||
| 3-Methyl-2-propionyl-benzoic acid | 0.4 | |||||||||||
| Acetic acid | 1.25 | 1.81 | ||||||||||
| Alkynyl Stearic Acid | 1.19 | 1.87 | 1.53 | |||||||||
| Aminomethanesulfonic acid | 1.08 | 1.26 | ||||||||||
| Anticopalic acid | 1.19 | |||||||||||
| Decanoic acid | 0.67 | 0.83 | 0.52 | 1.17 | 1.85 | |||||||
| Dimethylcaffeic acid | 1.6 | 0.61 | ||||||||||
| L-Cysteic acid | 0.46 | 0.7 | ||||||||||
| Octanoic acid | 0.39 | 0.58 | 0.46 | 0.43 | 2.55 | 0.92 | 0.7 | |||||
| Oleic Acid | 0.64 | |||||||||||
| Palmitelaidic acid | 0.34 | |||||||||||
| Paullinic acid | 0.61 | |||||||||||
| Succinic acid | 0.23 | 1.67 | ||||||||||
| Undecanoic acid | 0.36 | |||||||||||
| Alcohol | ||||||||||||
| 2,2,4-Trimethyl-3-(3,8,12,16-tetramethyl-heptadeca-3,7,11,15-tetraenyl)-cyclohexanol | 0.95 | |||||||||||
| 2-Propanediol | ||||||||||||
| 10-Methyl-E-11-tridecen-1-ol propionate | 0.59 | 2.56 | 2.23 | |||||||||
| 1-Butanol | 3.75 | |||||||||||
| 1-Hexanol | 0.99 | 0.77 | 1.26 | 1.37 | 1.09 | |||||||
| 15-tetraenyl)-cyclohexanol | ||||||||||||
| 2-Hydrazinoethanol | 2.34 | |||||||||||
| 1-Tetradecenol | 0.58 | |||||||||||
| Ethanol | 0.65 | |||||||||||
| Isoamyl alcohol | 43.2 | 1.42 | 32.7 | 20.7 | 34.5 | 2.82 | 47.8 | 1.3 | 49.7 | |||
| Phenylethyl Alcohol | 0.84 | 0.66 | 1.15 | 0.65 | 1.15 | 0.32 | 1.29 | 1.12 | 3.73 | 1.58 | 2.59 | 2.57 |
| Alkanes | ||||||||||||
| 5-methyl-1-Hexane | 2.27 | |||||||||||
| 3-Chloropentane | 1.27 | |||||||||||
| Dotriacontane | 0.62 | |||||||||||
| Hexadecane | 0.78 | 0.68 | 0.93 | |||||||||
| Hexatriacontane | 0.43 | |||||||||||
| n-Hexane | 0.43 | 4.83 | ||||||||||
| Nonacosane | 0.82 | |||||||||||
| Octadecane | 0.38 | 1.56 | ||||||||||
| Octathiocane | 0.78 | 2.23 | ||||||||||
| Pentacosane | 0.8 | 0.46 | ||||||||||
| Tetratriacontane | 0.62 | |||||||||||
| Vinyl decanoate | 0.48 | |||||||||||
| Ester | ||||||||||||
| 10-Undecenoic acid ethyl ester | 0.99 | |||||||||||
| Butyl ethyl succinate | 3.37 | 1.56 | ||||||||||
| Decyl oleate | 0.96 | |||||||||||
| Diethyl Phthalate | 0.44 | 0.71 | 1.29 | 1.19 | ||||||||
| Diethyl succinate | 2.08 | 1.62 | 1.6 | 1.81 | 1.34 | 2.2 | 1 | 2.26 | 2.18 | 2.36 | 3.03 | 2.89 |
| Ethyl 9-decenoate | 1.22 | 1.36 | 0.82 | 0.85 | 1.16 | |||||||
| Ethyl 9-oxononanoate | 0.9 | |||||||||||
| Ethyl Acetate | 4.96 | 2.92 | 3.14 | 6.25 | 3.65 | 2.3 | 4.1 | |||||
| Ethyl arachidate | 9.81 | 1.41 | 0.52 | 1.76 | 1.17 | 6.22 | 2.46 | 4.24 | 2.46 | |||
| Ethyl butyrate | 1.04 | 0.7 | 0.59 | 1.53 | 1.13 | 1.05 | ||||||
| Ethyl cholate | 0.69 | |||||||||||
| Ethyl decanoate | 4.99 | 1.17 | 7.28 | 1.96 | 4.61 | 1.48 | 6.05 | 2.7 | 14.5 | 2.17 | 8.12 | 2.29 |
| Ethyl hexanoate | 7.99 | 1.07 | 6.11 | 2.25 | 5.35 | 2.29 | 4.86 | 3.35 | 10.9 | 4.03 | 9.3 | 0.88 |
| Ethyl hexyl butanedioate | 1.22 | |||||||||||
| Ethyl octanoate | 17.4 | 7.81 | 2.99 | 3.75 | 8.43 | 11 | 30.9 | 7.45 | 49.5 | 5.81 | ||
| Ethyl palmitate | 0.5 | |||||||||||
| Ethyl stearate | 2.4 | |||||||||||
| Ethyl trans-4-decenoate | 0.76 | 0.85 | 0.54 | 0.66 | 0.72 | 2 | 0.8 | |||||
| Hexyl chloroformate | 1.33 | |||||||||||
| Isoamyl lactate | 2.79 | |||||||||||
| Isopropyl palmitate | 0.41 | 0.65 | 0.79 | 0.62 | ||||||||
| Methyl 2 4-dimethylhexanoate | 30.9 | 1.88 | 42.1 | 4.05 | 40.7 | 43.6 | 4.07 | |||||
| Methyl pentyl carbonate | 3.59 | |||||||||||
| Nonanoic acid 5-methyl-ethyl ester | 1.05 | 1.21 | 1.55 | 2.34 | 1.51 | |||||||
| Oryctalure | 0.46 | |||||||||||
| Ether | ||||||||||||
| 1-Methyl-1-silacyclopentan-1-ol | 0.28 | |||||||||||
| Oxirane 2-(1 1-dimethylethyl)-3-ethyl | 1.98 | 22.8 | 1.43 | 30.8 | 2 | 33.3 | 2.09 | 4.32 | 1.98 | |||
| ketone | ||||||||||||
| 2,3,4,5,6,6-hexamethylcyclohexa-2,4-dien-1-one | 1.7 | |||||||||||
| 2,2-dimethyl-5-phenylfuran-3-one | 0.61 | 0.61 | ||||||||||
| alpha-Ionone | 1.74 | 0.32 | 1.77 | 0.53 | 0.98 | 0.53 | 1.02 | 0.83 | 4.16 | 2.35 | ||
| Caprolactone | 0.61 | |||||||||||
| Terpenes | ||||||||||||
| D-Limonene | 0.32 | |||||||||||
| Friedelin | 0.62 | 0.95 | 1.96 | |||||||||
| Squalene | 0.99 | 0.73 | 1.3 | 3.36 | 1.19 | 2.96 | 2.02 | |||||
| TDN | 0.59 | 0.18 | 0.48 | 1.94 | 1.27 | 1.07 | 0.69 | |||||
| Other | ||||||||||||
| 2-amino-4,6-dihydro-4,4,6,6-tetramethyl-Thieno[2,3-c]furan-3-carbonitrile | 0.38 | |||||||||||
| (2-Aziridinylethyl)amine | 1.14 | 1.79 | ||||||||||
| 1,1,5-Trimethyl-1,2-dihydronaphthalene | ||||||||||||
| 1-[3-hydroxybenzyl]-6-methoxy-3,4-Dihydroisoquinoline | 1.15 | 1.56 | 0.64 | 0.79 | 2.19 | |||||||
| 12-O-Acetylingol 8-tiglate | 0.74 | |||||||||||
| 1H-2-Indenone,2,4,5,6,7,7a-hexahydro-3-(1-Methylethyl)-7a-methyl | 0.88 | |||||||||||
| 1-Octadecyne | 0.67 | |||||||||||
| 2,3,4-Trimethyllevoglucosan | 4.48 | 3.23 | ||||||||||
| 2,4-dimethyl-1,3-Dioxane | 0.51 | 1.69 | ||||||||||
| 2-Bromooctadecanal | 0.51 | 1.09 | 0.48 | 0.44 | 0.79 | 0.44 | ||||||
| 2-Myristynoyl pantetheine | 0.25 | |||||||||||
| 4-(2,3,6-Trimethylphenyl)-1,3-butadiene | 0.41 | 0.57 | 1.02 | 0.34 | 2.05 | 1.16 | ||||||
| 6,7-Dimethoxy-1,4-dimethyl-1,3-quinoxalinedithione | 1.46 | |||||||||||
| Benzaldehyde | 0.41 | |||||||||||
| Bis(2-ethylhexyl) phthalate | 1.93 | 1.76 | ||||||||||
| Caprylic anhydride | 6.66 | 18.4 | 5.57 | 1.66 | 1.45 | |||||||
| Carbon dioxide | 4.86 | 2.52 | 2.7 | 3.42 | ||||||||
| Corlumine | 0.39 | 0.54 | ||||||||||
| Dimethylamine | 6.31 | 14 | 4.68 | 2.01 | 2.32 | |||||||
| Emulphor | 1.1 | 0.92 | ||||||||||
| Hydroxyurea | 2.52 | |||||||||||
| Isoflavene | 0.76 | |||||||||||
| Lactamide | 2.69 | 4.78 | 14.8 | 3.61 | 6.83 | 4.53 | ||||||
| Laudanosine | 0.56 | |||||||||||
| Longifolenaldehyde | 3 | |||||||||||
| Methoxy-phenyl-Oxime | 0.67 | 1.03 | 0.25 | 0.71 | 1.11 | |||||||
| N-Methylcalycotomine | 0.12 | |||||||||||
| Paromomycin | 0.34 | |||||||||||
| p-Di(cis-styryl)benzene | 2.61 | 0.85 | ||||||||||
| Phenol | 0.68 | |||||||||||
Table A2.
Centers for the global data set and for the two subgroups: cork stopper and screw-cap closures.
Table A2.
Centers for the global data set and for the two subgroups: cork stopper and screw-cap closures.
| Code | Global Data | Cork Stopper | Screw Cap |
|---|---|---|---|
| 0.008178 | 0.006604 | 0.005742 | |
| 0.017714 | 0.003840 | 0.025362 | |
| 0.005436 | 0.007253 | 0.002908 | |
| 0.004873 | 0.000458 | 0.010966 | |
| 0.110776 | 0.043172 | 0.115416 | |
| 0.000325 | 0.000009 | 0.001414 | |
| 0.239144 | 0.105512 | 0.232965 | |
| 0.302983 | 0.100229 | 0.344981 | |
| 0.033609 | 0.523776 | 0.004749 | |
| 0.021187 | 0.005937 | 0.026394 | |
| 0.004123 | 0.008483 | 0.001745 | |
| 0.075963 | 0.121259 | 0.036875 | |
| 0.009156 | 0.005323 | 0.007681 | |
| 0.031359 | 0.004647 | 0.055165 | |
| 0.074170 | 0.032247 | 0.072831 | |
| 0.061003 | 0.031251 | 0.054808 |
Table A3.
Centers for the whole data set and for the type of closure groups.
Table A3.
Centers for the whole data set and for the type of closure groups.
| Code | Global Center | Cork 1 | Cork 2 | CC1 | CC2 | CC3 | CC4 |
|---|---|---|---|---|---|---|---|
| 0.008178 | 0.009134 | 0.004938 | 0.003287 | 0.015248 | 0.004281 | 0.004441 | |
| 0.017714 | 0.004912 | 0.003069 | 0.030482 | 0.018456 | 0.021904 | 0.029430 | |
| 0.005436 | 0.006814 | 0.007556 | 0.002265 | 0.005396 | 0.001522 | 0.003370 | |
| 0.004873 | 0.000910 | 0.000251 | 0.006031 | 0.003304 | 0.014947 | 0.042555 | |
| 0.110776 | 0.049711 | 0.037772 | 0.139048 | 0.099106 | 0.103049 | 0.109530 | |
| 0.000325 | 0.000033 | 0.000003 | 0.014368 | 0.000258 | 0.000472 | 0.002000 | |
| 0.239144 | 0.119351 | 0.093734 | 0.160628 | 0.261992 | 0.279475 | 0.219533 | |
| 0.302983 | 0.089439 | 0.109111 | 0.392126 | 0.300740 | 0.322618 | 0.326333 | |
| 0.033609 | 0.482210 | 0.555137 | 0.003440 | 0.023763 | 0.001781 | 0.003061 | |
| 0.021187 | 0.007054 | 0.005056 | 0.019705 | 0.023202 | 0.026922 | 0.034560 | |
| 0.004123 | 0.012845 | 0.005869 | 0.000831 | 0.007845 | 0.000881 | 0.001413 | |
| 0.075963 | 0.125506 | 0.116244 | 0.022926 | 0.074176 | 0.030249 | 0.031507 | |
| 0.009156 | 0.010934 | 0.002835 | 0.002196 | 0.012344 | 0.012180 | 0.009241 | |
| 0.031359 | 0.008004 | 0.002879 | 0.070237 | 0.033142 | 0.069526 | 0.050158 | |
| 0.074170 | 0.037497 | 0.027978 | 0.073222 | 0.066240 | 0.061168 | 0.083130 | |
| 0.061003 | 0.035645 | 0.027566 | 0.059207 | 0.054787 | 0.049024 | 0.049738 |

Figure A1.
Variation matrix showing pairwise log-ratio variances (upper right triangle) with the corresponding means (lower right triangle), the variance of each clr component and the total variance (right most column) for the global data set (a) and for the cork-stopper (b) and screw-cap (c) subgroups.
Figure A1.
Variation matrix showing pairwise log-ratio variances (upper right triangle) with the corresponding means (lower right triangle), the variance of each clr component and the total variance (right most column) for the global data set (a) and for the cork-stopper (b) and screw-cap (c) subgroups.


References
- Riu Aumatell, M.; Torrens, J.; Buxaderas Sánchez, S.; López Tamames, E. Cava (Spanish Sparkling Wine) Aroma: Composition and Determination Methods; Torrero, D.M., Cortés, A., Mariño, E.L., Eds.; Transworld Research Network: Kerala, India, 2013; Volume 3, ISBN 978-81-7895-605-3. [Google Scholar]
- Alexandre, H.; Michèle, G.-B. Yeast Autolysis in Sparkling Wine—A Review. Aust. J. Grape Wine Res. 2006, 12, 119–127. [Google Scholar] [CrossRef]
- Torrens, J.; Urpí, P.; Riu-Aumatell, M.; Vichi, S.; López-Tamames, E.; Buxaderas, S. Different Commercial Yeast Strains Affecting the Volatile and Sensory Profile of Cava Base Wine. Int. J. Food Microbiol. 2008, 124, 48–57. [Google Scholar] [CrossRef] [PubMed]
- Verzeletti, A.; Echeverrigaray, S.; Cardoso, A.; Vanderlinde, R.; Delamare, A.P.L. Evolution of Aromatic Compounds during the Second Fermentation and Aging of Brazilian Sparkling Wine. In Proceedings of the BIO Web of Conferences, Paris-Sud, France, 18–19 November 2016; Volume 7, p. 02019. [Google Scholar] [CrossRef]
- Pozo-Bayón, M.Á.; Martínez-Rodríguez, A.; Pueyo, E.; Moreno-Arribas, M.V. Chemical and biochemical features involved in sparkling wine production: From a traditional to an improved winemaking technology. Trends Food Sci. Technol. 2009, 20, 289–299. [Google Scholar] [CrossRef]
- Gallardo-Chacon, J.; Vichi, S.; Lopez-Tamames, E.; Buxaderas, S. Analysis of Sparkling Wine Lees Surface Volatiles by Optimized Headspace Solid-Phase Microextraction. J. Agric. Food Chem. 2009, 57, 3279–3285. [Google Scholar] [CrossRef]
- Jolly, N.; Minnaar, P.; Booyse, M.; Gerber, P. Bottle Fermented Sparkling Wine: Cork or Crown Closures during the Second Fermentation? S. Afr. J. Enol. Vitic. 2021, 42, 136–153. [Google Scholar] [CrossRef]
- Furtado, I.; Lopes, P.; Oliveira, A.S.; Amaro, F.; Bastos, M.D.L.; Cabral, M.; Guedes de Pinho, P.; Pinto, J. The Impact of Different Closures on the Flavor Composition of Wines during Bottle Aging. Foods 2021, 10, 2070. [Google Scholar] [CrossRef] [PubMed]
- Vidal, J.C.; Caillé, S.; Samson, A.; Salmon, J.M. Impact of eight closures in controlled industrial conditions on the shelf life of two (red and rosé) wines. OENO One 2017, 51, 387–399. [Google Scholar] [CrossRef]
- Azevedo, J.; Fernandes, I.; Lopes, P.; Roseira, I.; Cabral, M.; Mateus, N.; Freitas, V. Migration of Phenolic Compounds from Different Cork Stoppers to Wine Model Solutions: Antioxidant and Biological Relevance. Eur. Food Res. Technol. 2014, 239, 951–960. [Google Scholar] [CrossRef]
- Hopfer, H.; Nelson, J.; Mitchell, A.E.; Heymann, H.; Ebeler, S.E. Profiling the trace metal composition of wine as a function of storage temperature and packaging type. J. Anal. At. Spectrom. 2013, 28, 1288–1291. [Google Scholar] [CrossRef]
- Silva, S.P.; Sabino, M.A.; Fernandes, E.M.; Correlo, V.M.; Boesel, L.F.; Reis, R.L. Cork: Properties, Capabilities and Applications. Int. Mater. Rev. 2005, 50, 345–365. [Google Scholar] [CrossRef]
- Campos, P.; Daly-Hassen, H.; Ovando, P. Cork Oak Forest Management in Spain and Tunisia: Two Case Studies of Conflicts between Sustainability and Private Income. Int. For. Rev. 2007, 9, 610–626. [Google Scholar] [CrossRef]
- Liger-Belair, G.; Cilindre, C. Recent Progress in the Analytical Chemistry of Champagne and Sparkling Wines. Annu. Rev. Anal. Chem. 2021, 14, 21–46. [Google Scholar] [CrossRef] [PubMed]
- Pereira, H. Chemical Composition and Variability of Cork from Quercus suber L. Wood Sci. Technol. 1988, 22, 211–218. [Google Scholar] [CrossRef]
- Duarte, A.P.; Bordado, J.C. Cork—A renewable raw material: Forecast of industrial potential and development priorities. Front. Mater. 2015, 2, 2. [Google Scholar] [CrossRef]
- Gil, L. Cork: A strategic material. Front. Chem. 2014, 2, 16. [Google Scholar] [CrossRef]
- Amaro, F.; Almeida, J.; Oliveira, A.S.; Furtado, I.; de Lourdes Bastos, M.; de Pinho, P.G.; Pinto, J. Impact of Cork Closures on the Volatile Profile of Sparkling Wines during Bottle Aging. Foods 2022, 11, 293. [Google Scholar] [CrossRef]
- Pinto, J.; Oliveira, A.S.; Lopes, P.; Roseira, I.; Cabral, M.; de Lourdes Bastos, M.; de Pinho, P.G. Characterization of Chemical Compounds Susceptible to Be Extracted from Cork by the Wine Using GC-MS and 1H NMR Metabolomic Approaches. Food Chem. 2019, 271, 639–649. [Google Scholar] [CrossRef]
- Oliveira, G.; Costa, A. How resilient is Quercus suber L. to cork harvesting? A review and identification of knowledge gaps. For. Ecol. Manag. 2012, 270, 257–272. [Google Scholar] [CrossRef]
- Kurz-Besson, C.; Otieno, D.; Vale, R.L.D.; Siegwolf, R.; Schmidt, M.; Herd, A.; Nogueira, C.; David, T.S.; David, J.S.; Tenhunen, J.; et al. Hydraulic Lift in Cork Oak Trees in a Savannah-Type Mediterranean Ecosystem and Its Contribution to the Local Water Balance. Plant Soil 2006, 282, 361–378. [Google Scholar] [CrossRef]
- Pinheiro, A.C.; Ribeiro, N.A.; Surovy, P.; Ferreira, A.G. Economic Implications of Different Cork Oak Forest Management Systems. Int. J. Sustain. Soc. 2008, 1, 149. [Google Scholar] [CrossRef]
- Bosch-Fusté, J.; Riu-Aumatell, M.; Guadayol, J.; Caixach, J.; Lopeztamames, E.; Buxaderas, S. Volatile Profiles of Sparkling Wines Obtained by Three Extraction Methods and Gas Chromatography–Mass Spectrometry (GC–MS) Analysis. Food Chem. 2007, 105, 428–435. [Google Scholar] [CrossRef]
- Francioli, S.; Guerra, M.; López-Tamames, E.; Guadayoi, J.M.; Caixach, J. Aroma of sparkling wines by headspace/solid phase microextraction and gas chromatography/mass spectrometry. Am. J. Enol. Vitic. 1999, 50, 404–408. [Google Scholar] [CrossRef]
- Riu-Aumatell, M.; Bosch-Fusté, J.; López-Tamames, E.; Buxaderas, S. Development of volatile compounds of cava (Spanish sparkling wine) during long ageing time in contact with lees. Food Chem. 2006, 95, 237–242. [Google Scholar] [CrossRef]
- Torrens, J.; Riu-Aumatell, M.; Vichi, S.; López-Tamames, E.; Buxaderas, S. Assessment of Volatile and Sensory Profiles between Base and Sparkling Wines. J. Agric. Food Chem. 2010, 58, 2455–2461. [Google Scholar] [CrossRef]
- Coelho, E.; Coimbra, M.A.; Nogueira, J.M.F.; Rocha, S.M. Quantification approach for assessment of sparkling wine volatiles from different soils, ripening stages, and varieties by stir bar sorptive extraction with liquid desorption. Anal. Chim. Acta 2009, 635, 214–221. [Google Scholar] [CrossRef]
- Herrero, P.; Sáenz-Navajas, P.; Culleré, L.; Ferreira, V.; Chatin, A.; Chaperon, V.; Litoux-Desrues, F.; Escudero, A. Chemosensory characterization of Chardonnay and Pinot Noir base wines of Champagne. Two very different varieties for a common product. Food Chem. 2016, 207, 239–250. [Google Scholar] [CrossRef]
- Culbert, J.A.; Ristic, R.; Ovington, L.A.; Saliba, A.J.; Wilkinson, K.L. Influence of Production Method on the Sensory Profile and Consumer Acceptance of Australian Sparkling White Wine Styles: Sensory Profiles of Australian Sparkling Wines. Aust. J. Grape Wine Res. 2017, 23, 170–178. [Google Scholar] [CrossRef]
- Bingman, M.T.; Stellick, C.E.; Pelkey, J.P.; Scott, J.M.; Cole, C.A. Monitoring cider aroma development throughout the fermentation process by headspace solid phase microextraction (HS-SPME) gas chromatography–mass spectrometry (GC-MS) analysis. Beverages 2020, 6, 40. [Google Scholar] [CrossRef]
- Madrera, R.R.; Hevia, A.G.; García, N.P.; Valles, B.S. Evolution of aroma compounds in sparkling ciders. LWT-Food Sci. Technol. 2008, 41, 2064–2069. [Google Scholar] [CrossRef]
- Ocvirk, M.; Mlinarič, N.K.; Košir, I.J. Comparison of Sensory and Chemical Evaluation of Lager Beer Aroma by Gas Chromatography and Gas Chromatography/Mass Spectrometry. J. Sci. Food Agric. 2018, 98, 3627–3635. [Google Scholar] [CrossRef]
- Riu-Aumatell, M.; Miró, P.; Serra-Cayuela, A.; Buxaderas, S.; López-Tamames, E. Assessment of the aroma profiles of low-alcohol beers using HS-SPME–GC-MS. Food Res. Int. 2014, 57, 196–202. [Google Scholar] [CrossRef]
- Minnaar, P.P.; Gerber, P.; Booyse, M. Phenolic Compounds in Cork-Closed Bottle-Fermented Sparkling Wines. S. Afr. J. Enol. Vitic. 2021, 42, 19–24. [Google Scholar] [CrossRef]
- Zhang, Z.; Pawliszyn, J. Headspace solid-phase microextraction. Anal. Chem. 1993, 65, 1843–1852. [Google Scholar] [CrossRef]
- Pati, S.; Tufariello, M.; Crupi, P.; Coletta, A.; Grieco, F.; Losito, I. Quantification of volatile compounds in wines by HS-SPME-GC/MS: Critical issues and use of multivariate statistics in method optimization. Processes 2021, 9, 662. [Google Scholar] [CrossRef]
- Tufariello, M.; Pati, S.; Palombi, L.; Grieco, F.; Losito, I. Use of multivariate statistics in the processing of data on wine volatile compounds obtained by HS-SPME-GC-MS. Foods 2022, 11, 910. [Google Scholar] [CrossRef] [PubMed]
- Zhang, L.; Liu, Q.; Li, Y.; Liu, S.; Tu, Q.; Yuan, C. Characterization of wine volatile compounds from different regions and varieties by HS-SPME/GC-MS coupled with chemometrics. Curr. Res. Food Sci. 2023, 6, 100418. [Google Scholar] [CrossRef]
- Cheng, Z.; Mannion, D.T.; O’Sullivan, M.G.; Miao, S.; Kerry, J.P.; Kilcawley, K.N. Comparison of automated extraction techniques for volatile analysis of whole milk powder. Foods 2021, 10, 2061. [Google Scholar] [CrossRef]
- Salinas, M.R.; Alonso, G.L.; Esteban-Infantes, F.J. Adsorption-Thermal Desorption Gas Chromatography Applied to the Determination of Wine Aromas. J. Agric. Food Chem. 1994, 42, 1328–1331. [Google Scholar] [CrossRef]
- Baltussen, E.; Cramers, C.; Sandra, P. Sorptive Sample Preparation—A Review. Anal. Bioanal. Chem. 2002, 373, 3–22. [Google Scholar] [CrossRef]
- Woolfenden, E. Thermal Desorption Gas Chromatography; Elsevier: Amsterdam, The Netherlands, 2021; pp. 267–323. [Google Scholar]
- Jové, P.; Pareras, A.; de Nadal, R.; Verdum, M. Development and Optimization of a Quantitative Analysis of Main Odorants Causing off Flavours in Cork Stoppers Using Headspace Solid-phase Microextraction Gas Chromatography Tandem Mass Spectrometry. J. Mass Spectrom. 2021, 56, e4728. [Google Scholar] [CrossRef]
- Aitchison, J. The statistical analysis of compositional data. J. R. Stat. Soc. Ser. B 1982, 44, 139–160. [Google Scholar] [CrossRef]
- Korhoňová, M.; Hron, K.; Klimčíková, D.; Müller, L.; Bednář, P.; Barták, P. Coffee aroma—Statistical analysis of compositional data. Talanta 2009, 80, 710–715. [Google Scholar] [CrossRef] [PubMed]
- Pawlowsky-Glahn, V.; Egozcue, J.J.; Tolosana-Delgado, R. Modeling and Analysis of Compositional Data; John Wiley & Sons: Hoboken, NJ, USA, 2015. [Google Scholar]
- Martín Fernández, J.A.; Daunis-i-Estadella, P.; Figueras, G.M.I. On the interpretation of differences between groups for compositional data. SORT Stat. Oper. Res. Trans. 2015, 39, 231–252. [Google Scholar] [CrossRef]
- Mateu-Figueras, G.; Pawlowsky-Glahn, V.; Egozcue, J.J. The normal distribution in some constrained sample spaces. SORT Stat. Oper. Res. Trans. 2013, 37, 29–56. [Google Scholar] [CrossRef]
- Louw, L.; Roux, K.; Tredoux, A.; Tomic, O.; Naes, T.; Nieuwoudt, H.H.; van Rensburg, P. Characterization of Selected South African Young Cultivar Wines Using FTMIR Spectroscopy, Gas Chromatography, and Multivariate Data Analysis. J. Agric. Food Chem. 2009, 57, 2623–2632. [Google Scholar] [CrossRef]
- Makris, D.P.; Kallithraka, S.; Mamalos, A. Differentiation of young red wines based on cultivar and geographical origin with application of chemometrics of principal polyphenolic constituents. Talanta 2006, 70, 1143–1152. [Google Scholar] [CrossRef]
- Shimizu, H.; Akamatsu, F.; Kamada, A.; Koyama, K.; Iwashita, K.; Goto-Yamamoto, N. Variation in the mineral composition of wine produced using different winemaking techniques. J. Biosci. Bioeng. 2020, 130, 166–172. [Google Scholar] [CrossRef]
- Palarea-Albaladejo, J.; Martín-Fernández, J.A. zCompositions—R package for multivariate imputation of left-censored data under a compositional approach. Chemom. Intell. Lab. Syst. 2015, 143, 85–96. [Google Scholar] [CrossRef]
- Díaz-Regañon, D.H.; Salinas, R.; Masoud, T.; Alonso, G. Adsorption-thermal desorption-gas chromatography applied to volatile compounds of Madrid region wines. J. Food Compos. Anal. 1998, 11, 54–69. [Google Scholar] [CrossRef]
- Panighel, A.; Flamini, R. Applications of solid-phase microextraction and gas chromatography/mass spectrometry (SPME-GC/MS) in the study of grape and wine volatile compounds. Molecules 2014, 19, 21291–21309. [Google Scholar] [CrossRef]
- Whiton, R.S.; Zoecklein, B.W. Optimization of headspace solid-phase microextraction for analysis of wine aroma compounds. Am. J. Enol. Vitic. 2000, 51, 379–382. [Google Scholar] [CrossRef]
- Ziółkowska, A.; Wąsowicz, E.; Jeleń, H.H. Differentiation of wines according to grape variety and geographical origin based on volatiles profiling using SPME-MS and SPME-GC/MS methods. Food Chem. 2016, 213, 714–720. [Google Scholar] [CrossRef] [PubMed]
- Ubeda, C.; Kania-Zelada, I.; del Barrio-Galán, R.; Medel-Marabolí, M.; Gil, M.; Peña-Neira, Á. Study of the changes in volatile compounds, aroma and sensory attributes during the production process of sparkling wine by traditional method. Food Res. Int. 2019, 119, 554–563. [Google Scholar] [CrossRef]
- Benucci, I.; Cerreti, M.; Maresca, D.; Mauriello, G.; Esti, M. Yeast cells in double layer calcium alginate–chitosan microcapsules for sparkling wine production. Food Chem. 2019, 300, 125174. [Google Scholar] [CrossRef]
- Jagatić Korenika, A.-M.; Preiner, D.; Tomaz, I.; Jeromel, A. Volatile profile characterization of Croatian commercial sparkling wines. Molecules 2020, 25, 4349. [Google Scholar] [CrossRef]
- Voce, S.; Škrab, D.; Vrhovsek, U.; Battistutta, F.; Comuzzo, P.; Sivilotti, P. Compositional Characterization of Commercial Sparkling Wines from Cv. RibollaGialla Produced in Friuli Venezia Giulia. Eur. Food Res. Technol. 2019, 245, 2279–2292. [Google Scholar] [CrossRef]
- Polášková, P.; Herszage, J.; Ebeler, S.E. Wine flavor: Chemistry in a glass. Chem. Soc. Rev. 2008, 37, 2478–2489. [Google Scholar] [CrossRef]
- He, Y.; Wang, X.; Li, P.; Lv, Y.; Nan, H.; Wen, L.; Wang, Z. Research progress of wine aroma components: A critical review. Food Chem. 2023, 402, 134491. [Google Scholar] [CrossRef] [PubMed]
- Cichewicz, R.H.; Kouzi, S.A. Chemistry, Biological Activity, and Chemotherapeutic Potential of Betulinic Acid for the Prevention and Treatment of Cancer and HIV Infection. Med. Res. Rev. 2004, 24, 90–114. [Google Scholar] [CrossRef]
- Francioli, S.; Torrens, J.; Riu-Aumatell, M.; López-Tamames, E.; Buxaderas, S. Volatile compounds by SPME-GC as age markers of sparkling wines. Am. J. Enol. Vitic. 2003, 54, 158–162. [Google Scholar] [CrossRef]
- Dziadas, M.; Jeleń, H.H. Analysis of terpenes in white wines using SPE–SPME–GC/MS approach. Anal. Chim. Acta 2010, 677, 43–49. [Google Scholar] [CrossRef]
- Genovese, A.; Lamorte, S.A.; Gambuti, A.; Moio, L. Aroma of Aglianico and Uva di Troia grapes by aromatic series. Food Res. Int. 2013, 53, 15–23. [Google Scholar] [CrossRef]
- Caliari, V.; Burin, V.M.; Rosier, J.P.; BordignonLuiz, M.T. Aromatic Profile of Brazilian Sparkling Wines Produced with Classical and Innovative Grape Varieties. Food Res. Int. 2014, 62, 965–973. [Google Scholar] [CrossRef]
- Torchio, F.; RíoSegade, S.; Gerbi, V.; Cagnasso, E.; Giordano, M.; Giacosa, S.; Rolle, L. Changes in varietal volatile composition during shelf-life of two types of aromatic red sweet Brachetto sparkling wines. Food Res. Int. 2012, 48, 491–498. [Google Scholar] [CrossRef]
- Ferreira, V.; Lopez, R. The actual and potential aroma of winemaking grapes. Biomolecules 2019, 9, 818. [Google Scholar] [CrossRef] [PubMed]
- Xu, M.; Jin, Z.; Lan, Y.; Rao, J.; Chen, B. HS-SPME-GC-MS/olfactometry combined with chemometrics to assess the impact of germination on flavor attributes of chickpea, lentil, and yellow pea flours. Food Chem. 2019, 280, 83–95. [Google Scholar] [CrossRef]
- Ancín-Azpilicueta, C.; Jiménez-Moreno, N.; Moler, J.A.; Nieto-Rojo, R.; Urmeneta, H. Effects of Reduced Levels of Sulfite in Wine Production Using Mixtures with Lysozyme and Dimethyl Dicarbonate on Levels of Volatile and Biogenic Amines. Food Addit. Contam. Part A 2016, 33, 1518–1526. [Google Scholar] [CrossRef] [PubMed]
- Liu, N.; Song, Y.Y.; Dang, G.F.; Ye, D.Q.; Gong, X.; Liu, Y.L. Effect of wine closures on the aroma properties of Chardonnay wines after four years of storage. S. Afr. J. Enol. Vitic. 2015, 36, 296–303. [Google Scholar] [CrossRef]
- Lee, D.-H.; Kang, B.-S.; Park, H.-J. Effect of Oxygen on Volatile and Sensory Characteristics of Cabernet Sauvignon during Secondary Shelf Life. J. Agric. Food Chem. 2011, 59, 11657–11666. [Google Scholar] [CrossRef]
- Anderson, M.J. A New Method for Non-parametric Multivariate Analysis of Variance. Austral Ecol. 2001, 26, 32–46. [Google Scholar] [CrossRef]
- Anderson, M.J.; Walsh, D.C.I. PERMANOVA, ANOSIM, and the Mantel Test in the Face of Heterogeneous Dispersions: What Null Hypothesis Are You Testing? Ecol. Monogr. 2013, 83, 557–574. [Google Scholar] [CrossRef]
Disclaimer/Publisher’s Note: The statements, opinions and data contained in all publications are solely those of the individual author(s) and contributor(s) and not of MDPI and/or the editor(s). MDPI and/or the editor(s) disclaim responsibility for any injury to people or property resulting from any ideas, methods, instructions or products referred to in the content. |
© 2024 by the authors. Licensee MDPI, Basel, Switzerland. This article is an open access article distributed under the terms and conditions of the Creative Commons Attribution (CC BY) license (https://creativecommons.org/licenses/by/4.0/).








