Next Article in Journal
Encapsulation of Pink Pepper Essential Oil (Schinus terebinthifolius Raddi) in Albumin and Low-Methoxyl Amidated Pectin Cryogels
Next Article in Special Issue
Analysis of Aromatic Fraction of Sparkling Wine Manufactured by Second Fermentation and Aging in Bottles Using Different Types of Closures
Previous Article in Journal
Mathematical Model of the Migration of the CO2-Multicomponent Gases in the Inorganic Nanopores of Shale
Previous Article in Special Issue
The Determination of LogP of Anticoagulant Drugs with High-Performance Thin-Layer Chromatography
 
 
Font Type:
Arial Georgia Verdana
Font Size:
Aa Aa Aa
Line Spacing:
Column Width:
Background:
Article

Studies of TLC-Chromatographic Quantification of Astaxanthin in Dietary Supplements and Its Antioxidant Activity

1
Department of Inorganic and Pharmaceutical Analytics, Faculty of Pharmacy, Jagiellonian University Medical College, 9 Medyczna St., 30-688 Cracow, Poland
2
Doctoral School of Medical and Health Sciences, Jagiellonian University Medical College, 16 Łazarza St., 31-530 Cracow, Poland
*
Author to whom correspondence should be addressed.
Processes 2024, 12(8), 1680; https://doi.org/10.3390/pr12081680
Submission received: 1 July 2024 / Revised: 2 August 2024 / Accepted: 9 August 2024 / Published: 11 August 2024

Abstract

Astaxanthin is a red carotenoid pigment known for its strong antioxidant and immune-supporting properties, which are higher than other carotenoids. The aim of this study was the qualitative and quantitative evaluation of dietary supplements containing astaxanthin. First, optimal conditions for conducting analyses using the TLC technique with densitometric detection were developed. The mobile phase consisting of methanol: ethyl acetate: 1,4-dioxane (1:3:6 v/v/v) was selected, while the stationary phase consisted of Silica gel 60 F254. Densitometric detection was performed at 460 nm. Next, the validation process of the developed method was carried out according to the guidelines of the International Conference on Harmonization (ICH). The range of linearity tested was 0.0026–0.0100 µg/spot, and the determined LOD and LOQ values were 0.85 and 2.57 ng/μL, respectively. The variation coefficient at the level of 4.75% proves good precision. The percentage of recovery was in the range of 95.25–104.94%. The obtained results confirmed the good accuracy of the method. Subsequently, quantitative analyses of the preparations were carried out. Analysis of dietary supplements showed significant deviations from the declared astaxanthin content. Astaxanthin solutions were stable in alkaline environments and when exposed to light and oxidizing substances; however, the substance degraded in acidic environments. The performed antioxidant capacity tests confirmed the high antioxidant activity of astaxanthin.

1. Introduction

Astaxanthin belongs to xanthophylls, pigments derived from carotenoids. It is a group of lipophilic compounds commonly found in nature, including fruits, vegetables, and algae. They are also a component of animals, such as clams, shrimp, and oysters. De novo synthesis of carotenoids occurs only in plants, while animals consume them with food and in the body [1]. The characteristic element of the astaxanthin structure (3,3′-dihydroxy-β,β-carotene-4,4′-dione) is a polyene hydrocarbon chain with a system of nine conjugated double bonds, which is responsible for its reddish-brown color [2]. The cheapest way to obtain astaxanthin is chemical synthesis. However, this results in a product with poorer bioavailability, stability, and, more importantly, lower antioxidant capacity [3]. The main natural source of astaxanthin is the algae Haematoccocus pluvalis, where the content of this pigment can reach up to 3% by dry weight. The extraction of astaxanthin from natural sources is costly due to the maintenance of specific conditions for algae culture and, in turn, isolation and purification, which require advanced technologies [4]. An interesting alternative for astaxanthin production is the cultivation of Adonis plants. Despite the relatively low content of the pigment (about 1%), the undoubted advantage is their simpler and cheaper cultivation, which can be carried out on a large scale in greenhouses [5,6].
Astaxanthin is primarily known for its potent antioxidant properties, which are due to both its ability to interact with reactive oxygen and nitrogen species, as well as to increase the activity of antioxidant enzymes in the body [7]. An equally important issue of the discussed xanthine, associated with antioxidant properties, is anti-inflammatory activity, which is rooted in inhibiting the production of pro-inflammatory mediators by blocking cyclooxygenase-2 (COX-2) and nitric oxide synthase (iNOS) [8]. Studies on neurodegenerative diseases conducted on animal models have confirmed the antioxidant and anti-inflammatory effects of astaxanthin. In the case of Alzheimer’s disease, improvements in cognitive function were observed, while the effect on the course of Parkinson’s disease was seen by slowing its progression [9]. Astaxanthin has also shown a protective effect on diabetic neuropathy and retinopathy. In turn, the results of other experiments refer to beneficial effects in inhibiting the formation of atherosclerotic plaques and thus the prevention of cardiovascular diseases [10].
There are various methods available in the literature used to determine the antioxidant activity of chemical compounds [11]. A fluorometric method using visible light-absorbing fluorescent probes belonging to the BODIPY dye class was developed to measure the antioxidant activity of carotenoids in a lipid environment [12]. Regnier et al. tested the antioxidant activity of astaxanthin from Haematococcus pluvialis using a physicochemical Trolox equivalent antioxidant capacity assay (TEAC) and oxygen radical antioxidant capacity (ORAC) tests [13]. The antioxidant capacity of astaxanthin, β-carotene, and canthaxanthin was determined using a chemiluminescence assay and compared with neuroprotection on undifferentiated rat pheochromocytoma cells [14]. The most commonly used ways for determining antioxidant potential are colorimetric methods. The most popular, due to its simplicity and low cost, is the 2,2-diphenyl-1-picrylhydrazyl (DPPH) method. The antioxidant activity potential of mangrove crabs was investigated using a DPPH assay [15]. Antioxidant capacity of natural astaxanthin from shrimp shells in the radical scavenging test using DPPH and 2,2′-azino-bis(3-ethylbenzothiazoline-6-sulfonic acid) (ABTS), β-carotene bleaching, and singlet oxygen quenching tests were conducted [16]. Al-Tarifi et al. compared the antioxidant activity of astaxanthin dissolved in organic solvents with different polarities, which was assessed using colorimetric and non-colorimetric tests (DPPH, ferric reducing antioxidant power (FRAP), hydroxyl radical scavenging activity (HRSA)) [17].
There are many analytical methods available in the literature for the quantitation of astaxanthin in various matrices. For the complete assay of astaxanthin and other carotenoids in salmonids, Tolasa et al. performed quantitative and qualitative analysis using spectrophotometric methods and thin-layer chromatography (TLC) [18]. Tzanova et al. developed and validated a method for the extraction and determination of astaxanthin, in addition to canthaxanthin, extracted from salmonid eggs. First, extraction was performed, followed by high-performance liquid chromatography (HPLC) with photodiode array detection (DAD) analysis. The correlation coefficient (r2) for astaxanthin was 0.9981, and the LOD and LOQ were equal to 0.043 and 0.044 mg/L, respectively. The percentage of recovery was in the range of 98.2–109.1%, and the RSD values for retention times and peak areas of the standard solution were <1%, so the method was considered accurate [19]. TLC is one of the popular methods used for the determination of astaxanthin. Yuangsoi et al. developed a method to measure carotenoids, such as astaxanthin, lutein, and β-carotene, in the serum of Cyprinus carpio using TLC with densitometric detection (Rf values were 0.21, 0.17 and 0.97, respectively). Glass plates pre-coated with Silica gel 60 were used as the stationary phase and a mixture of petroleum ether, diethyl ether, and acetone (75:15:10 v/v/v) as the mobile phase. Detection was performed at 450 nm. The r2 value for astaxanthin was 0.9990 in a concentration range of 0.01–6.50 µg/spot. The LOD was obtained at 0.011 µg/spot, and the LOQ at 0.036 µg/spot. Moreover, validation confirmed the high precision of the method expressed by an RSD% of 2.93 [20]. Carotenoids contained in the leg coats of the red-legged partridge Alectoris rufa were extracted and processed by TLC. In this way, the main groups of carotenoids were separated: the free form, mono-, and diesters with fatty acids. Then, HPLC-DAD and LC-MS/MS were used to identify the compounds [21]. Hynstova et al. successfully analyzed fourteen commercially available products containing the dried algae Chlorella vulgaris and dried cyanobacteria Spirulina platensis using the TLC technique. Carotenoids like zeaxanthin, lutein, astaxanthin, canthaxanthin, and β-carotene were identified and quantified in the samples with a mobile phase consisting of petroleum ether, cyclohexane, ethyl acetate, acetone, ethanol (60:16:10:10:6 v/v/v/v/v). Detection was performed at 440 nm. The Rf value for astaxanthin was 0.34 ± 0.02, while the regression equation for the linearity range was y = 27,415x + 3907 with r2 above 0.99 (standard solutions of astaxanthin were prepared in concentrations from 0.5 to 0.08 µg/5 µL) [22].
An alternative to the above-described methods is flow cytometry (FCM), which was used to determine the astaxanthin content in cells of the microalga Chromochloris zofingiensis. The speed and simplicity of FCM make it highly useful as a complement to HPLC measurements. On the other hand, the disadvantage of this method is the overlap between the signal from astaxanthin and the response generated by the co-present carotenoids. Thus, as in the case of spectroscopy, this is a limitation of the applications of this analytical method [23]. To simplify the analysis of astaxanthin, which naturally occurs as various esters and stereoisomers, Koopmann et al. modified the quantification method by enzymatic hydrolysis of astaxanthin esters, which enabled the determination of free astaxanthin in all its diastereomeric forms. The developed method, compared to other approaches, allowed for a higher recovery of total astaxanthin but had lower selectivity for diastereoisomers [24].
Studies conducted over the past two decades have indicated that continuous oxidative stress can lead to chronic inflammation, which in turn mediates most chronic diseases, including neurodegeneration, cancer, and skin damage [25,26,27]. Potential clinical implications related to astaxanthin consumption and its beneficial functions (as a strong antioxidant agent) for human health have been exploited in nutraceuticals. Dietary supplements are defined as foodstuffs intended to supplement the normal diet [28] and, unlike medicines, are not controlled in terms of their quantity and quality. Often, the content of supplements is not consistent with the manufacturer’s declaration or is in a form that prevents the release of the active substance [29,30]. An important aspect related to the above is the need to develop simple and quick methods that would allow for the qualitative and quantitative evaluation of dietary supplements containing astaxanthin available on the market.
The objective of our study was to develop a method for qualitative and quantitative assessment of astaxanthin in dietary supplements and then to examine its suitability for the analysis of the tested xanthine stability under varying environmental conditions. Moreover, the antioxidant potential of astaxanthin was specified. Although various methods are available for determining antioxidant properties, there is no universal method that would allow for an accurate and quantitative assessment of antioxidant potential. This requires the use of several methods operating through different mechanisms. Therefore, in this work, we proposed four spectrophotometric methods: DPPH free radical scavenging, iron(III) ion reduction, phosphomolybdenum, and iron ion chelation tests.

2. Materials and Methods

2.1. Chemicals and Reagents

Astaxanthin (SML 0982-50MG) and L-ascorbic acid (795437-100G; AA) were obtained from Sigma-Aldrich (St. Louis, MA, USA).
1,4-dioxane, cyclohexane, 1-propranolol, and 1-butanol were purchased from POCH (Gliwice, Poland) and ethyl acetate from P.P.H. “STANLAB” Sp. J. (Lublin, Poland). Methanol for LC-MS was obtained from Fluka (Buchs, Switzerland), water from Witko (Łódź, Poland), phosphate buffer, potassium hexacyanoferrate(III), iron(III) and iron(II) chloride, trichloroacetic acid, sulfuric(VI) acid, sodium molybdate(VI), ammonium phosphate(V), ethanol, hydrochloric acid, sodium hydroxide, and 30% hydrogen peroxide from CHEMPUR (Piekary Śląskie, Poland). Dimethyl sulfoxide (DMSO) was purchased from Merck KGaA (Darmstadt, Germany), and ferrozine was from Chemat (Konin, Poland). All chemicals were an analytical grade. Analytical balance (WPA 120C1, Radwag, Radom, Poland), VWR digital heat block (VWR, Radnor, PA, USA), densitometer (TLC Scanner 3 with Cat4 software, Camag, Muttenz, Switzerland), Linomat V (Camag, Muttenz, Switzerland), dryer (EcoCell BMT, Brno, Czech Republic), spectrophotometer (Cary 100 UV-Vis, Agilent, Santa Clara, CA, USA), and quartz cuvettes (HELLMA Optic GmbH, Jena, Germany) were used. Chromatographic plates, such as TLC Silica gel 60F254 (No. 1.05554.0001), HPTLC Silica gel 60F254 (No. 1.05548.0001), and HPTLC Cellulose 60 RP-18 F254s (No. 1.16092.0001) were purchased from Merck (Darmstadt, Germany).
All dietary supplements were purchased at local pharmacies in Poland. Products containing astaxanthin were tested as follows: Dietary supplement 1 (2 mg/caps.), Dietary supplement 2 (4 mg/caps.), Dietary supplement 3 (4 mg/caps.). All supplements tested were within their expiration date.

2.2. Standard and Sample Solutions

The standard solution was prepared by weighing and dissolving approximately 1 mg of the astaxanthin in 10 mL of a methanol and acetone mixture (6:4 v/v). Standard solutions were stored at 2–8 °C, protected from light.
Dietary supplements containing astaxanthin were stored in accordance with the manufacturer’s recommendations (25 ± 2 °C) in their original packaging. In order to analyze dietary supplements, first, their extracts were prepared by weighing approximately 1 g of the contents of a capsule of each preparation. Then, 2.5 mL of acetone was added to each test tube and vortexed for 10 min. Next, 2.5 mL of methanol was added, and the shaking operation was repeated for 10 min. The mixtures were filtered, and the obtained solutions were subjected to centrifugation (1500× g, 15 min). The solution collected from the supernatant was subjected to further analysis. Each extraction was performed in triplicate.

2.3. Chromatographic Conditions

2.3.1. Sample Application

The samples were applied on the chromatographic plates using a Linomat V applicator. The 5 mm wide stripes were applied 10 mm apart and 10 mm from the edge of the plate. During this step, the sample application rate was kept constant at 200 nL/s. Air pressure of 100 PSI was used to apply the sample.

2.3.2. Procedure for the Chromatographic Conditions

The plates were dried for 10 min at room temperature (25 ± 2 °C) without exposure to light and then developed in glass chromatographic chambers in size 20 × 10 cm (Sigma-Aldrich, Laramie, WY, USA), previously saturated with the mobile phase for 20 min in a vertical position at the distance of 10 cm. The preparation of individual mobile phases consisted of pipetting appropriate volumes of individual solvents in the order mentioned, which are part of a given mobile phase, directly into the chromatographic chamber. The following mobile phases were tested: methanol: n-hexane (6:3 and 5:2 v/v), acetone: n-hexane (3:7 v/v), ethyl acetate: n-hexane (3:7 and 1:5 v/v), methanol: ethyl acetate: n-hexane (5:3:1, 1:3:1, 1:3:3 v/v/v), methanol: ethyl acetate: isopropanol (1:3:3 v/v/v), methanol: ethyl acetate: cyclohexane (1:3:1 v/v/v), methanol: ethyl acetate: n-propanol (1:3:3 v/v/v), methanol: ethyl acetate: n- butanol (1:3:3 v/v/v), methanol: ethyl acetate: 1,4-dioxane (1:3:3 and 1:3:6 v/v/v). The phase with the composition: methanol: ethyl acetate: 1,4-dioxane (1:3:6 v/v/v) was selected for further research. The average time for plate development was 25 min. The procedure was analogous both for reference substances and for samples of the preparation. Astaxanthin standard solutions were applied to each of the tested chromatographic plates (on the first position). Each sample was analyzed in triplicate.

2.4. Densitometric Detection

Densitometric detection was performed using a TLC Scanner 3 with winCats4 software (CAMAG, Muttenz, Switzerland). Source of the radiation was a D2 and W lamp emitting a continuous spectrum in the range from 200 to 800 nm. The scanning speed was 20 mm/s, and the slit dimensions were 4.00 × 0.45 mm.
Based on the obtained absorption spectra, the analytical wavelength of 460 nm was selected for measurements.

2.5. Method Validation

The developed method was verified for linearity, accuracy, precision, limit of quantification (LOQ), limit of detection (LOD), specificity, and robustness according to the International Conference on Harmonization (ICH) guidelines [31].

2.5.1. Linearity Range

One of the evaluated parameters is linearity, which involves determining the range of results directly proportional to the concentration of the analyte in the sample. To confirm this parameter, the analyte is prepared in a series of samples with varying substance contents. Both the number of samples and concentrations are selected for the evaluated method, taking into account the expected values of concentrations in the analyzed samples. Based on the measurements, a calibration curve is determined according to Equation (1):
y = ax + b
where y—area of the chromatographic peak [mm2], x—concentration of astaxanthin in the sample, a—slope coefficient of the calibration curve, b—coefficient of intersection of the calibration curve with the y-axis.
Cook’s distance (Cd) assesses how much regression coefficients change when a specific data point is removed, indicating the potential influence of that point on the regression model. Mahalanobis distances (MDs), which measure the distance of a data point from the center of the distribution, help identify outliers. A high MD distance indicates that an observation significantly deviates from others. Additionally, parameters such as the standard error of estimate (Se), standard deviation of the slope (Sa), standard deviation of the intercept (Sb), and residuals were calculated to evaluate the model’s accuracy and reliability.

2.5.2. Accuracy

The compliance of the obtained result (content) with the reference value, which has been accepted as true, should be determined. To assess accuracy, at least nine measurements are required, encompassing a minimum of three different concentration levels, typically 80, 100, and 120% within the linearity range. The magnitude of the systematic error, defined as the difference between the obtained and true value, serves as the measure of this parameter. For the analytical procedure to be considered accurate, the calculated recovery percentage must be between 95 and 105%.

2.5.3. Precision

It determines the consistency between individual results analyzed within multiple, separate replicates. Precision is characterized by repeatability, intermediate precision, and reproducibility. To assess precision, two parameters must be determined: the relative standard deviation (SD) and the coefficient of variation (RSD%). These parameters are calculated using Equation (2):
RSD % = SD / x ¯   ×   100 %

2.5.4. Limit of Detection (LOD)

The limit of detection (LOD) refers to the lowest concentration of an analyte that can be reliably differentiated from background noise. LOD was calculated based on the obtained values of the calibration curve as in (Equation (3)):
LOD = (3.3 × Sb)/a
where Sb—standard deviation of the response, a—the slope of calibration curve.

2.5.5. Limit of Quantification (LOQ)

The limit of quantification (LOQ) is defined as the smallest amount of an analyte that can be quantified with acceptable accuracy and precision. This limit can be determined by applying a formula that utilizes the parameters of the calibration curve, (Equation (4)):
LOQ = (10 × Sb)/a
where Sb—standard deviation of the response, a—the slope of calibration curve.

2.5.6. Specificity

Specificity refers to a method’s ability to accurately identify the analyte in the presence of impurities and excipients. A well-developed analytical method ensures the differentiation of compounds with similar structures by comparing the test sample with a reference sample. Specificity is confirmed by demonstrating that the presence of these additional components does not affect the test results.

2.5.7. Robustness

The robustness of the method determines the impact of intentional, small changes in the measurement conditions on the stability of the results. It makes it possible to indicate the critical stages of the method under study and the stages where some changes are acceptable that do not affect the analytical parameters of the method.

2.6. Stability Analysis

A 0.02% solution of the standard substance was prepared and exposed to UV–Vis light. UV–Vis experiments were performed using a SUNTEST CPS+ solar light simulator (Atlas, Mount Prospect, IL, USA) with a 1500 W xenon lamp emitting UV–Vis light (300–800 nm) with an irradiance of 750 W/cm2 (dose 2700 kJ/m2/h) at a controlled temperature (35–37 °C). The tested astaxanthin solutions in a volume of 2 mL were irradiated in quartz vessels with a capacity of 10 mL. In parallel, dark controls (dishes covered with aluminum foil) were prepared. UV–Vis experiments were performed using a SUNTEST CPS+ solar light simulator (Atlas, Mount Prospect, IL, USA) with a 1500 W xenon lamp emitting UV–Vis light (300–800 nm) with an irradiance of 750 W/cm2 (dose 2700 kJ/m2/h) at a controlled temperature (35–37 °C). The tested astaxanthin solutions in a volume of 2 mL were irradiated in quartz vessels with a capacity of 10 mL. In parallel, dark controls (dishes covered with aluminum foil) were prepared. Samples for analysis were collected every 0, 0.5, 1, 1.5, 2, and 24 h. Then, the peak areas in the obtained densitograms were compared for each sample. In the next step, a 0.02% solution of the standard substance at a volume ratio of 1:1 (v/v) was mixed with 6% H2O2 solution, 0.2 mol/L NaOH solution, and 0.2 mol/L HCl to obtain final test solutions with concentrations of 0.3% H2O2 and 0.1 mol/L NaOH and HCl, respectively. The effect of varying environmental conditions was analyzed at different temperatures in heat block (25 °C, 90 °C). Samples for analysis were collected at specific time intervals (0, 1, 2, and 3 h) and analyzed under the developed earlier conditions.

2.7. Antioxidant Activity

2.7.1. DPPH Assay

To 3 mL of ethanolic DPPH solution (0.1 mmol/L), 40 µL of ascorbic acid or astaxanthin solution in dimethyl sulfoxide (DMSO) (concentrations from 0.03 to 2.40 mmol/L) was added. Next, solutions were mixed and set aside for 20 min to incubate in a dark place at room temperature. After this time, absorbance values for individual solutions were measured at wavelength of 517 nm. A mixture of ethanol solution of DPPH and DMSO was used as a control.
DPPH ethanol solution is dark purple in color. Due to the addition of an antioxidant, the color changes to yellow. This is the effect of the DPPH reduction under the influence of an antioxidant (HA), which can be described schematically as the following:
D P P H + H A D P P H 2 + ( A )
The formation of the reduced product (DPPH2) causes a decrease in absorbance.

2.7.2. Reduction of Iron(III) Ions

To 140 µL of each vitamin C or astaxanthin solution (in DMSO), 140 µL of phosphate buffer with pH = 6.6 and 250 µL of 1% potassium hexacyanoferrate(III) solution were added. This mixture was incubated at 50 °C for 20 min. After this time, the solutions were allowed to cool. Next, 250 µL of 10% trichloroacetic acid (TCA) solution and 3 mL of 0.1% iron(III) chloride solution were added to the individual solutions. The absorbance of the resulting solutions was measured at wavelength of 700 nm.

2.7.3. Phosphomolybdenum Method

To 200 µL of each vitamin C or astaxanthin solution (in DMSO), 660 µL of the following solutions were added: 0.6 mol/L sulfuric acid, 4 mmol/L ammonium heptamolybdate, and 28 mmol/L ammonium phosphate. This mixture was incubated at 95 °C for 90 min. After incubation, the solutions were cooled to room temperature, and their absorbance was measured at wavelength of 695 nm.

2.7.4. Chelation of Iron Ions

To 1 mL of individual vitamin C or astaxanthin solutions (in DMSO) with concentrations in the range of 0.03–2.4 mmol/L, 80 µL of 20 mmol/L iron(II) chloride solution was added. Various amounts of ferrozine solution with a concentration of 2.9 mg/mL were added to the resulting solutions in order to achieve an equal concentration of vitamin C and ferrozine in the resulting mixtures. Then, the contents of the test tubes were mixed and incubated away from light for 10 min at room temperature. After this time, the absorbance of the samples was measured at wavelength of 562 nm. The solvent alone was used as a control. Additionally, ethylenediaminetetraacetic acid disodium salt (Na2EDTA) solution was used as a positive control.
Solutions of compounds with a weak ability to chelate iron turn purple. As this ability increases, the color of the solutions becomes less intense. Therefore, the stronger the antioxidant, the more discolored the solution should be, and lower absorbance values should be obtained.
These experiments were carried out in triplicate, and results are given as the arithmetic mean. The data in all the experiments were analyzed statistically.

2.8. Statistical Analyses

All analyses were performed using Statistica v.13.3. TIBCO Software Inc. (Palo Alto, CA, USA). The confidence limit of p < 0.05 was considered statistically significant.

3. Results

3.1. Optimization of the Chromatographic Conditions

The first step of our research was to develop and optimize the conditions for chromatographic separation. Based on a literature review and empirically, mobile phases, differing in composition and volume ratio, e.g., methanol: n-hexane (6:3 and 5:2 v/v), acetone: n-hexane (3:7 v/v), ethyl acetate: n-hexane (3:7 and 1:5 v/v), methanol: ethyl acetate: n-hexane (5:3:1, 1:3:1 1:3:3 v/v/v), methanol: ethyl acetate: isopropanol (1:3:3 v/v/v), methanol: ethyl acetate: cyclohexane (1:3:1 v/v/v), methanol: ethyl acetate: n-propanol (1:3:3 v/v/v), methanol: ethyl acetate: n- butanol (1:3:3 v/v/v), methanol: ethyl acetate: 1,4-dioxane (1:3:3 and 1:3:6 v/v/v), were selected and tested. The suitability of three different stationary phases was also assessed, such as TLC Silica gel 60F254, HPTLC Silica gel 60F254, and HPTLC Cellulose, which were additionally subjected to an activation process (developing with methanol and drying the plates for 24 h at 70 °C in a heating oven). The obtained chromatograms were left to dry without light. Subsequently, densitometric detection was performed. As a result, the absorbance maximum was determined at λ = 460 nm (Figure 1).
The best chromatographic separation was obtained using methanol: ethyl acetate: 1,4-dioxane (1:3:6 v/v/v) as the mobile phase, while TLC Silica gel 60F254 plates (previously activated by developing the plate in methanol and drying for 0.5 h at 60 °C in a heating oven) was used as the stationary phase (Table S1). The Rf value under selected analysis conditions for astaxanthin was equal to 0.90.

3.2. Validation of the Method

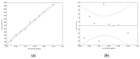
The next step of our work was to validate the developed chromatographic–densitometric method in accordance with the ICH guidelines to confirm its reliability [31]. Linearity was determined by applying standard substance solutions (0.0002 μg/μL) to chromatographic plates in volumes of 5, 10, 15, 20, 25, 30, 35, 40, 50 μL. Using the relationship between the standard substance content (μg/spot) and the peak area (mm2), the calibration curve shown in Figure 2 was determined. Using Statistica v.13 software, regression parameters were calculated.
The regression parameters were determined as follows: y = 2.413 × 105x + 488.87. The value of the linear correlation coefficient is close to 1 (r = 0.9967) and indicates a good linear relationship between the peak area and astaxanthin concentration in the range of 0.0026–0.0100 μg/spot. The low mean Cook’s and Mahalanobis values are 0.138 and 0.889, respectively, indicating the absence of outliers. The LOD and LOQ values were calculated according to the formulas presented in Section 2.5.4 and Section 2.5.5 and are 0.85 and 2.57 ng/spot, respectively. The developed method is sufficiently sensitive for the analyzed preparations. In order to check the accuracy of the developed method, the percentage recovery was determined at three concentration levels: 80, 100, and 120%. The obtained results are shown in Table 1. The average percentage recovery at the tested concentration levels is in the range of 99.85–100.19%, so the method can be considered accurate. The precision, expressed as %RSD, is not greater than 5%, which confirms the agreement between the obtained results of the analysis.
Compared to the method developed by Yuangsoi et al. [20], our procedure enables the analysis of astaxanthin in a lower concentration range (0.0026–0.0100 µg/spot); we, therefore, obtained lower LOD and LOQ values, which is important due to the small amounts of the tested ingredient present in the tested material, which can be both biological material and pharmaceutical products. We used a mixture of methanol, ethyl acetate, and 1,4-dioxane as the mobile phase. In this way, we have eliminated the use of solvents, such as petroleum ether, diethyl ether, the use of which should be significantly limited, taking into account the impact on the environment and the assumptions of “Green Chemistry”. However, the main difference in favor of our method is the quality of separation of astaxanthin from other sample components. The Rf values presented by Yuangsoi et al.’s chromatogram show incomplete separation of astaxanthin next to lutein. There is no guarantee that at higher concentrations of both compounds, it will not be possible to perform quantitative determinations of astaxanthin in the selected material.
Similarly, in the publication by Hystova et al. [22], mixtures containing petroleum ether and cyclohexane were used. Also, the Rf values for the tested substances, especially lutein and astaxanthin, are quite close to each other, which may make quantitative analysis much more difficult. The above-mentioned differences in the analysis conditions compared to those presented in our work indicate greater sensitivity of the method and reliability of the obtained results of quantitative determinations of astaxanthin in the tested material.

3.3. Stability Study

In the next step of our work, the stability of astaxanthin was examined under varying environmental conditions. No decomposition products were registered during UV–Vis exposure, indicating the stability of the test substance under UV–Vis light. Stability was also tested at 25 °C as well as 90 °C in the following environments: 3% H2O2, 0.1 mol/L NaOH solution, and 0.1 mol/L HCl. No changes in the peak area of astaxanthin were registered during incubation under oxidizing conditions at both temperatures. Analogous conclusions were drawn for the stability in an alkaline environment (Figure 3).
Astaxanthin degrades under the influence of 0.1 mol/L HCl at 25 °C, forming one product after 1 h and two products after 2 h of incubation. This is confirmed by the decreasing areas of the peaks corresponding to astaxanthin, as well as the increasing areas for the peaks of the degradation products (Rf 0.57 and 0.78) (Table 2). On the other hand, at 90 °C, no peaks additional to the main one (originating from astaxanthin) were registered, which may suggest that its degradation occurs with the formation of different degradation products than at lower temperatures (Figure 4).
Optimal separation of peaks from individual substances in the chromatogram determines their accurate quantitative measurement. The parameter that allows a numerical assessment of selectivity, i.e., separation of peaks, is the separation factor (α). This is the quotient of the retention factors (k) corresponding to the neighboring peaks. The larger α value, the further apart the adjacent peaks are located. Another quantitative parameter of peak separation is peak resolution (Rs), which includes both the distance and the width of the peaks. Analogous to α, an increase in the value of Rs indicates greater distances between peaks and better peak separation.
Peak resolution (Rs) is determined by Equation (5):
Rs = (z2 − z1)/(0.5 (w1 + w2))
where z—the distance between the start line and the peak maximum, w—width of the peak base.
The determined separation factors (Table 3) confirmed good separation of the peaks recorded in the densitograms.

3.4. Quantitative Analysis of Dietary Supplements

Next, the quantitative composition of three dietary supplements containing astaxanthin was examined. Based on the obtained peak areas recorded for the standard solutions and samples, the astaxanthin content in dietary supplements was calculated. The results were converted into the percentage of astaxanthin content in relation to the composition provided by the manufacturer on the packaging. The analysis was carried out in triplicate. The results are presented in Table 4.
The results of the tests showed that in all the dietary supplements analyzed, the astaxanthin content significantly differed from the content declared by the manufacturer. In the case of dietary supplement 1, it was about 10% of the declared content, while in the case of dietary supplements 2 and 3, it was less than 1% (Table 4).

3.5. Antioxidant Activity Tests

Based on the literature data, we found that astaxanthin is one of the best antioxidant compounds. The authors indicate that it can be even about 6000 times greater than vitamin C [32]. In our study, the antioxidant activity of astaxanthin was assessed in relation to the vitamin C solution as a reference substance.
The method of scavenging 1,1-diphenyl-2-picrylhydrazyl (DPPH) free radicals is one of the most common methods for assessing the antioxidant activity of compounds. It is a simple method, characterized by high effectiveness and short duration [33].
The ability of compounds to carry out reduction reactions represents their ability to donate electrons and is closely related to antioxidant activity. Compounds that exhibit antioxidant activity have the potential to act as a reducing agent and, therefore, to deactivate the oxidant. The antioxidant activity of the test compound was measured by its ability to reduce hexacyanoferrate(III) to hexacyanoferrate(II), which occurs according to the following formula:
F e C N 6 3 + A H F e C N 6 4 + A + H +
3 F e ( C N ) 6 4 + 4 F e 3 + F e 4 [ F e ( C N ) 6 ] 3
The addition of iron(III) ions to the reaction medium causes the synthesis of iron(III) hexacyanoferrate(II), a salt with a dark blue color (called “Prussian blue”). Antioxidant compounds change the color of the reagent mixture from yellow to various shades of green to dark blue. Depending on the degree of antioxidant activity of the compound, the color intensity of the resulting solution varies [34].
Next, the phosphomolybdenum method was developed to quantitatively determine the antioxidant activity of the tested compounds. The phosphomolybdenum complex formed as a result of the reaction allows us to determine whether the tested compound may be a promising antioxidant. This method is based on the reduction of molybdenum ions from Mo(VI) to Mo(V), and the formation of a colored complex with phosphate present in the reaction medium. The color intensity of the resulting complex (from green to blue) depends on the degree of antioxidant activity. The darker the resulting solution, the stronger the antioxidant [35].
Under physiological conditions, iron ions are necessary for the proper functioning of the human body. However, even a small excess may contribute to various abnormalities, e.g., facilitating the synthesis of ROS. Due to its high degree of reactivity, iron is considered an important pro-oxidant, especially in lipid peroxidation. Therefore, the ability of a substance to chelate iron is very important from a clinical point of view [36].
The effects obtained for individual tests in the tested concentration ranges of astaxanthin and vitamin C are presented in Figure 5, Figure 6, Figure 7 and Figure 8. All tested samples were active in a concentration-dependent manner, and the antioxidant potency generally increased with concentration.
Summarizing the experiments performed, it can be concluded that astaxanthin has stronger antioxidant properties compared to vitamin C used as a standard in this type of research. This is probably due to the structure of the astaxanthin molecule, which, in addition to the hydroxyl and carbonyl groups associated with the aromatic ring, has a long unsaturated carbon chain (C18) (Figure 9).
To better illustrate the antioxidative characteristics of astaxanthin, the total antioxidant capacity (AAE) was estimated as the equivalent of ascorbic acid by using the following Equation (6):
Antioxidant activity [%] = [(Absorbance control − Absorbance sample)/Absorbance control] × 100
and the chelating rate (CR) (Equation (7))
C R % = 1 A   s a m p l e A   b l a n k   ×   100
where CR(%)—chelating rate (the degree of chelation expressed as a percentage), A sample—the absorbance of the tested compound solution, A blank—the absorbance of the solvent.
The results obtained, expressed as ascorbic acid equivalents (AAE) and chelating rate (CR), are presented in Figure 10.
The results of the DPPH test indicate that the antioxidant nature of astaxanthin increases with concentration. These observations are confirmed by the results of the iron(III) ion reduction test (Figure 5, Figure 6, and Figure 10a,b). Astaxanthin shows a stronger scavenging effect than vitamin C. Its reduction power suggests that it can be an electron donor and can react with free radicals to convert them to more stable products. Astaxanthin showed a total antioxidant capacity test at different dose-dependent strengths, and the antioxidant power increased with the concentration reaching a maximum concentration of 0.15 mmol/L (Figure 7 and Figure 10c). This knowledge can be useful in the analysis of changes in plasma antioxidant activity related to oxidative stress. The chelating effect on ferrous ions was determined by a measurement of the rate of color reduction and allows for estimation of the chelating activity of the co-existing chelaters. Ferrozine forms a complex with unbonded Fe2+, thus, decreasing the amount of Fe2+-ferrozine complexes formed after adding antioxidant chelatin reagent. In the concentration range of astaxanthin from 0.6–2.4 mmol/L, the lowest iron ion chelating ability is observed (Figure 8 and Figure 10d). In our tests, the absorbance values were high, which clearly indicates its lack of chelating ability. For the control Na2EDTA solution in the tested concentration range, colorless solutions were obtained, which indicates the high chelating capacity of this compound and confirms the correctness of the test.
Due to the fact that the determined astaxanthin content is much lower than declared by the manufacturer, the expected antioxidant activity and, therefore, the effect of the dietary supplements, will be small or even non-existent and may not bring the expected results.
The research we conduct is part of the current trend in searching for solutions to support therapy. An important aspect related to astaxanthin for the potential use as an antioxidant in the treatment of various diseases (e.g., cancer, neurodegenerative disorders) is the need to develop simple and quick methods that would allow for the qualitative and quantitative assessment of products containing astaxanthin, especially dietary supplements, the quality of which may be an important factor in the success of therapy.

4. Conclusions

An important aspect related to astaxanthin for the potential use as an antioxidant in the treatment of various diseases (e.g., cancer, neurodegenerative disorders) is the need to develop simple and quick methods that would allow for the qualitative and quantitative assessment of products containing astaxanthin, especially dietary supplements, the quality of which may be an important factor in the success of therapy. The present study aims to develop an optimal method for the determination of astaxanthin in dietary supplements. The initial step involved optimizing the chromatographic separation conditions for the astaxanthin under study. The determined retardation factor (Rf) for astaxanthin was 0.96. Validation tests for the established procedure were conducted in accordance with ICH guidelines. It was found that the test solutions were stable in an alkaline environment and when exposed to light and an oxidizing agent, whereas in an acidic environment, the test substance degraded, forming additional peaks with different Rf values. Quantitative analysis of the three dietary supplements revealed significant deviations from the claimed astaxanthin content in each formulation. The total antioxidant capacity determined by the selected methods for astaxanthin seems promising in terms of its potential antioxidant activity.

Supplementary Materials

The following supporting information can be downloaded at: https://www.mdpi.com/article/10.3390/pr12081680/s1. Table S1: Optimization conditions of TLC analysis.

Author Contributions

Conceptualization, M.D. and I.D.; software, J.Ż.; validation, I.D.; formal analysis, M.S.; investigation, I.D. and M.D.; writing—original draft preparation, I.D. and J.Ż.; writing—review and editing, M.S. and M.D; visualization, J.Ż.; supervision, M.D. All authors have read and agreed to the published version of this manuscript.

Funding

This research received no external funding.

Data Availability Statement

Data are contained within the article.

Conflicts of Interest

The authors declare no conflicts of interest.

References

  1. Milani, A.; Basirnejad, M.; Shahbazi, S.; Bolhassani, A. Carotenoids: Biochemistry, pharmacology and treatment. Br. J. Pharmacol. 2017, 174, 1290–1324. [Google Scholar] [CrossRef] [PubMed]
  2. Nair, A.; Ahirwar, A.; Singh, S.; Lodhi, R.; Lodhi, A.; Rai, A.; Jadhav, D.A.; Harish Varjani, S.; Singh, G.; Marchand, J.; et al. Astaxanthin as a king of ketocarotenoids: Structure, synthesis, accumulation, bioavailability and antioxidant properties. Mar. Drugs. 2023, 21, 176. [Google Scholar] [CrossRef] [PubMed]
  3. Stachowiak, B.; Szulc, P. Astaxanthin for the Food Industry. Molecules 2021, 26, 2666. [Google Scholar] [CrossRef] [PubMed]
  4. Higuera-Ciapara, I.; Félix-Valenzuela, L.; Goycoolea, F.M. Astaxanthin: A review of its chemistry and applications. Crit. Rev. Food Sci. Nutr. 2006, 46, 185–196. [Google Scholar] [CrossRef] [PubMed]
  5. Cunningham, F.X., Jr.; Gantt, E. Elucidation of the pathway to astaxanthin in the flowers of Adonis aestivalis. Plant Cell. 2011, 23, 3055–3069. [Google Scholar] [CrossRef] [PubMed]
  6. Roth, J.H.; Ward, V.C.A. Production of astaxanthin using CBFD1/HFBD1 from Adonis aestivalis and the isopentenol utilization pathway in Escherichia coli. Bioengineering 2023, 10, 1033. [Google Scholar] [CrossRef] [PubMed]
  7. Pereira, C.P.M.; Souza, A.C.R.; Vasconcelos, A.R.; Name, J.J. Antioxidant and anti-inflammatory mechanisms of action of astaxanthin in cardiovascular diseases (Review). Int. J. Mol. Med. 2021, 47, 37–48. [Google Scholar] [CrossRef] [PubMed]
  8. Kohandel, Z.; Farkhondeh, T.; Aschner, M.; Samarghandian, S. Nrf2 a molecular therapeutic target for Astaxanthin. Biomed. Pharmacother. 2021, 137, 111374. [Google Scholar] [CrossRef] [PubMed]
  9. Chang, M.X.; Xiong, F. Astaxanthin and its effects in inflammatory responses and inflammation-associated diseases: Recent advances and Future directions. Molecules 2020, 25, 5342. [Google Scholar] [CrossRef] [PubMed]
  10. Urakaze, M.; Kobashi, C.; Satou, Y.; Shigeta, K.; Toshima, M.; Takagi, M.; Takahashi, J.; Nishida, H. The beneficial effects of astaxanthin on glucose metabolism and modified low-density lipoprotein in healthy volunteers and subjects with prediabetes. Nutrients 2021, 13, 4381. [Google Scholar] [CrossRef] [PubMed]
  11. Koss-Mikołajczyk, I.; Baranowska, M.; Namieśnik, J.; Bartoszek, A. Metody oznaczania właściwości przeciwutleniających fitozwiązków w systemach komórkowych z wykorzystaniem zjawiska fluorescencji/luminescencji. Postepy Hig. Med. Dosw. 2017, 71, 602–617. [Google Scholar]
  12. Naguib, Y.M.A. Antioxidant activities of astaxanthin and related carotenoids. J. Agric. Food Chem. 2000, 48, 1150–1154. [Google Scholar] [CrossRef] [PubMed]
  13. Régnier, P.; Bastias, J.; Rodriguez-Ruiz, V.; Caballero-Casero, N.; Caballo, C.; Sicilia, D.; Fuentes, A.; Maire, M.; Crepin, M.; Letourneur, D.; et al. Astaxanthin from Haematococcus pluvialis prevents oxidative stress on human endothelial cells without toxicity. Mar. Drugs. 2015, 13, 2857–2874. [Google Scholar] [CrossRef] [PubMed]
  14. Chang, C.S.; Chang, C.L.; Lai, G.H. Reactive oxygen species scavenging activities in a chemiluminescence model and neuroprotection in rat pheochromocytoma cells by astaxanthin, β-carotene, and canthaxanthin. Kaohsiung J. Med. Sci. 2013, 29, 412–421. [Google Scholar] [CrossRef] [PubMed]
  15. Karnila, R.; Edison Ramadhani, N.R. Antioxidant activity of astaxanthin flour extract of mud crab (Scylla Serrata) with different acetone concentrations. IOP Conf. Ser. Earth Environ. Sci. 2021, 695, 012047. [Google Scholar] [CrossRef]
  16. Chintong, S.; Phatvej, W.; Rerk-Am, U.; Waiprib, Y.; Klaypradit, W. In Vitro Antioxidant, Antityrosinase, and Cytotoxic Activities of Astaxanthin from Shrimp Waste. Antioxidants 2019, 8, 128. [Google Scholar] [CrossRef] [PubMed]
  17. AL-Tarifi, B.Y.; Mahmood, A.; Assaw, S.; Sheikh, H.I. Comparison of different organic solvents on antioxidant activity of astaxanthin axtracted from Hematococcus pluvialis using colorimetric and non-colorimetric methods. Orient. J. Chem. 2020, 36, 466–473. [Google Scholar] [CrossRef]
  18. Tolasa, S.; Cakli, S.; Ostermeyer, U. Determination of astaxanthin and canthaxanthin in salmonid. Eur. Food Res. Technol. 2005, 221, 787–791. [Google Scholar] [CrossRef]
  19. Tzanova, M.; Argirova, M.; Atanasov, V. HPLC quantification of astaxanthin and canthaxanthin in Salmonidae eggs. Biomed. Chromatogr. 2017, 31, e3852. [Google Scholar] [CrossRef] [PubMed]
  20. Yuangsoi, B.; Jintasataporn, O.; Areechon, N.; Tabthipwon, P. Validated TLC-densitometric analysis for determination of carotenoids in fancy carp (Cyprinus carpio) serum and the application for pharmacokinetic parameter assessment. Songklanakarin J. Sci. Technol. 2008, 30, 693–700. [Google Scholar]
  21. García-de Blas, E.; Mateo, R.; Viñuela, J.; Alonso-Alvarez, C. Identification of carotenoid pigments and their fatty acid esters in an avian integument combining HPLC-DAD and LC-MS analyses. J. Chromatogr. B Analyt Technol. Biomed. Life Sci. 2011, 879, 341–348. [Google Scholar] [CrossRef] [PubMed]
  22. Hynstova, V.; Sterbova, D.; Klejdus, B.; Hedbavny, J.; Huska, D.; Adam, V. Separation, identification and quantification of carotenoids and chlorophylls in dietary supplements containing Chlorella vulgaris and Spirulina platensis using high performance thin layer chromatography. J. Pharm. Biomed. Anal. 2018, 148, 108–118. [Google Scholar] [CrossRef] [PubMed]
  23. Chen, J.; Wei, D.; Pohnert, G. Rapid estimation of astaxanthin and the carotenoid-to-chlorophyll ratio in the green microalga Chromochloris zofingiensis using flow cytometry. Mar. Drugs. 2017, 15, 231. [Google Scholar] [CrossRef] [PubMed]
  24. Koopmann, I.K.; Kramer, A.; Labes, A. Development and validation of reliable astaxanthin quantification from natural sources. PLoS ONE 2022, 17, e0278504. [Google Scholar] [CrossRef] [PubMed]
  25. Davinelli, S.; Maes, M.; Corbi, G.; Zarrelli, A.; Willcox, D.C.; Scapagnini, G. Dietary phytochemicals and neuro-inflammaging: From mechanistic insights to translational challenges. Immun. Ageing. 2016, 13, 16. [Google Scholar] [CrossRef] [PubMed]
  26. Mantovani, A.; Allavena, P.; Sica, A.; Balkwill, F. Cancer-related inflammation. Nature 2008, 454, 436–444. [Google Scholar] [CrossRef] [PubMed]
  27. Chen, Y.; Lyga, J. Brain-skin connection: Stress, inflammation and skin aging. Inflamm. Allergy Drug Targets. 2014, 13, 177–190. [Google Scholar] [CrossRef] [PubMed]
  28. Available online: www.ecolex.org/details/legislation (accessed on 20 May 2024).
  29. Żandarek, J.; Binert-Kusztal, Ż.; Starek, M.; Dąbrowska, M. Development and optimization of chromatographic conditions of selected B vitamins in pharmaceutical products. Processes 2023, 11, 937. [Google Scholar] [CrossRef]
  30. Starek, M.; Gumułka, P.; Dąbrowska, M. Quality control of the dietary supplements containing selected fat-soluble vitamins D and K. Nutrients 2023, 15, 1650. [Google Scholar] [CrossRef] [PubMed]
  31. ICH. Guide Q2 (R1): Validation of Analytical Procedures: Text and Methodology. In ICH Quality Guidelines: An Implementation Guide; Wiley: Hoboken, NJ, USA, 2017. [Google Scholar]
  32. Ekpe, L.; Inaku, K.; Ekpe, K. Antioxidant effects of astaxanthin in various diseases—A review. J. Mol. Pathophysiol. 2018, 7, 1–6. [Google Scholar] [CrossRef]
  33. Ahmad, I.; Huang, P.J.; Malak, N.; Khan, A.; Asad, F.; Chen, C.C. Antioxidant potential of alkaloids and polyphenols of Viola canescens wall using in vitro and in silico approaches. Front. Chem. 2024, 12, 1379463. [Google Scholar] [CrossRef] [PubMed]
  34. Yen, G.C.; Chen, H.Y. Antioxidant activity of various tea extracts in relation to their antimutagenicity. J. Agric. Food Chem. 1995, 43, 27–32. [Google Scholar] [CrossRef]
  35. Prieto, P.; Pineda, M.; Aguilar, M. Spectrophotometric quantitation of antioxidant capacity through the formation of a phosphomolybdenum complex: Specific application to the determination of vitamin E. Anal. Biochem. 1999, 269, 337–341. [Google Scholar] [CrossRef] [PubMed]
  36. Guo, J.T.; Lee, H.L.; Chiang, S.-H.; Chang, C.-Y. Antioxidant properties of the extracts from different parts of broccoli in Taiwan. J. Food Drug Anal. 2001, 9, 96–101. [Google Scholar] [CrossRef]
Figure 1. Densitometrically recorded absorption spectrum in the range from 200 to 800 nm for the astaxanthin standard solution (stationary phase used: TLC Silica gel 60F254, mobile phase: methanol: ethyl acetate: 1,4-dioxane (1:3:6 v/v/v).
Figure 1. Densitometrically recorded absorption spectrum in the range from 200 to 800 nm for the astaxanthin standard solution (stationary phase used: TLC Silica gel 60F254, mobile phase: methanol: ethyl acetate: 1,4-dioxane (1:3:6 v/v/v).
Processes 12 01680 g001
Figure 2. Plot of surface area [mm2] vs. concentration of astaxanthin standard solution [µg/spot] (a) and plot of residues (b).
Figure 2. Plot of surface area [mm2] vs. concentration of astaxanthin standard solution [µg/spot] (a) and plot of residues (b).
Processes 12 01680 g002
Figure 3. An example densitogram recorded for astaxanthin after UV–Vis irradiation for 24 h (analogous to that in alkaline and oxidizing conditions).
Figure 3. An example densitogram recorded for astaxanthin after UV–Vis irradiation for 24 h (analogous to that in alkaline and oxidizing conditions).
Processes 12 01680 g003
Figure 4. Densitogram recorded for an astaxanthin solution in 0.1 mol/L HCl (a) immediately after preparation, (b) after 2 h of incubation at 25 °C.
Figure 4. Densitogram recorded for an astaxanthin solution in 0.1 mol/L HCl (a) immediately after preparation, (b) after 2 h of incubation at 25 °C.
Processes 12 01680 g004
Figure 5. Absorbance vs. concentration graphs of antioxidant capacity for astaxanthin vs. reference ascorbic acid; DPPH method. Data presented as mean ± standard deviation (n = 3).
Figure 5. Absorbance vs. concentration graphs of antioxidant capacity for astaxanthin vs. reference ascorbic acid; DPPH method. Data presented as mean ± standard deviation (n = 3).
Processes 12 01680 g005
Figure 6. Absorbance vs. concentration graphs of antioxidant capacity for astaxanthin vs. reference ascorbic acid; reduction of iron(III) ions. Data presented as mean ± standard deviation (n = 3).
Figure 6. Absorbance vs. concentration graphs of antioxidant capacity for astaxanthin vs. reference ascorbic acid; reduction of iron(III) ions. Data presented as mean ± standard deviation (n = 3).
Processes 12 01680 g006
Figure 7. Absorbance vs. concentration graphs of antioxidant capacity for astaxanthin vs. reference ascorbic acid; phosphomolybdenum method. Data presented as mean ± standard deviation (n = 3).
Figure 7. Absorbance vs. concentration graphs of antioxidant capacity for astaxanthin vs. reference ascorbic acid; phosphomolybdenum method. Data presented as mean ± standard deviation (n = 3).
Processes 12 01680 g007
Figure 8. Absorbance vs. concentration graphs of antioxidant capacity for astaxanthin vs. reference ascorbic acid; chelation of iron ions. Data presented as mean ± standard deviation (n = 3).
Figure 8. Absorbance vs. concentration graphs of antioxidant capacity for astaxanthin vs. reference ascorbic acid; chelation of iron ions. Data presented as mean ± standard deviation (n = 3).
Processes 12 01680 g008
Figure 9. Chemical structure of astaxanthin.
Figure 9. Chemical structure of astaxanthin.
Processes 12 01680 g009
Figure 10. Graph of ascorbic acid equivalents (AAE [%]) determined by (a) DPPH, (b) reduction of iron(III) ions, (c) phosphomolybdenum, and (d) chelation of iron ions methods. Data presented as mean ± standard deviation (n = 3).
Figure 10. Graph of ascorbic acid equivalents (AAE [%]) determined by (a) DPPH, (b) reduction of iron(III) ions, (c) phosphomolybdenum, and (d) chelation of iron ions methods. Data presented as mean ± standard deviation (n = 3).
Processes 12 01680 g010
Table 1. Statistical parameters of the validation method.
Table 1. Statistical parameters of the validation method.
ParameterStatistical Evaluation
Linearity0.0026–0.0100 μg/spot
a = 2413 × 102; b = 488.87
Sa = 7464.19; Sb = 43.38; Se = 61.95
r = 0.9967; r2 = 0.9924; F = 1045.15
LOD [ng/spot]0.59
LOQ [ng/spot]1.80
Recovery80% x ¯ = 100.19
SD = 4.84
RSD% = 4.84
100% x ¯ = 101.17
SD = 2.53
RSD% = 2.50
120% x ¯ = 99.85
SD = 4.49
RSD% = 4.49
Precision intra-day x ¯ = 2558.0
SD = 33.02
RSD% = 1.30
inter-day x ¯ = 2553.08
SD = 33.01
RSD% = 1.29
where a—the slope of calibration curve, b—the intercept, Sa—standard deviation of the slope of the calibration curve, Sb—the standard deviation of the intercept, r—regression coefficient, Se—standard error of estimation, x ¯ —arithmetic mean, SD—standard deviation, RSD%—relative standard deviation.
Table 2. Peak areas [mm2] recorded for the astaxanthin solutions in 0.1 mol/L HCl after incubation at 25 and 90 °C.
Table 2. Peak areas [mm2] recorded for the astaxanthin solutions in 0.1 mol/L HCl after incubation at 25 and 90 °C.
Peak Area [mm2], n = 3
Temperature 25 °C
Time [h]Peak 1 (Rf = 0.57)Peak 2 (Rf = 0.78)Peak 3 (Rf = 0.90)
0125.3-5590.2
1705.1-3961.4
2716.3493.32689.1
31477.21040.62064.2
Temperature 90 °C
1--3327.2
2--2354.5
3--1414.8
Table 3. Values of separation parameters calculated for astaxanthin solution in 0.1 mol/L HCl after 2 h incubation at 25 °C.
Table 3. Values of separation parameters calculated for astaxanthin solution in 0.1 mol/L HCl after 2 h incubation at 25 °C.
PeakRFkαRs
10.570.75--
20.780.280.373.35
30.900.040.152.40
Table 4. Evaluation of astaxanthin content in the tested preparations (n = 3).
Table 4. Evaluation of astaxanthin content in the tested preparations (n = 3).
PreparationDeclared
Content [mg/caps.]
Determined
Content
[mg/caps.]
Percentage
of Declared Content
[%]
Dietary supplement 12 0.2068 ± 0.0033
RSD% = 1.60
10.34 ± 0.2042
RSD% = 1.98
Dietary supplement 24 0.0258 ± 0.0008
RSD% = 3.30
0.6467 ± 0.0252
RSD% = 3.89
Dietary supplement 34 0.0354 ± 0.0009
RSD% = 2.50
0.8833 ± 0.0208
RSD% =2.36
The results are presented as x ¯ ± S D where x ¯ —arithmetic mean, SD—standard deviation, RSD%—relative standard deviation.
Disclaimer/Publisher’s Note: The statements, opinions and data contained in all publications are solely those of the individual author(s) and contributor(s) and not of MDPI and/or the editor(s). MDPI and/or the editor(s) disclaim responsibility for any injury to people or property resulting from any ideas, methods, instructions or products referred to in the content.

Share and Cite

MDPI and ACS Style

Dymek, I.; Żandarek, J.; Starek, M.; Dąbrowska, M. Studies of TLC-Chromatographic Quantification of Astaxanthin in Dietary Supplements and Its Antioxidant Activity. Processes 2024, 12, 1680. https://doi.org/10.3390/pr12081680

AMA Style

Dymek I, Żandarek J, Starek M, Dąbrowska M. Studies of TLC-Chromatographic Quantification of Astaxanthin in Dietary Supplements and Its Antioxidant Activity. Processes. 2024; 12(8):1680. https://doi.org/10.3390/pr12081680

Chicago/Turabian Style

Dymek, Iwona, Joanna Żandarek, Małgorzata Starek, and Monika Dąbrowska. 2024. "Studies of TLC-Chromatographic Quantification of Astaxanthin in Dietary Supplements and Its Antioxidant Activity" Processes 12, no. 8: 1680. https://doi.org/10.3390/pr12081680

APA Style

Dymek, I., Żandarek, J., Starek, M., & Dąbrowska, M. (2024). Studies of TLC-Chromatographic Quantification of Astaxanthin in Dietary Supplements and Its Antioxidant Activity. Processes, 12(8), 1680. https://doi.org/10.3390/pr12081680

Note that from the first issue of 2016, this journal uses article numbers instead of page numbers. See further details here.

Article Metrics

Back to TopTop