Next Article in Journal
Actinic Radiation, Viruses, Bacteria, the Open Air Factor (OAF) and Indoor Sterilization with UV-C Radiation
Next Article in Special Issue
A Topological Valley Stamping Plate for Low-Frequency-Vibration Isolation and Wave Manipulation in Helicopters
Previous Article in Journal
Design and Optimization of Sugarcane Spiral Fertilizer Applicator Based on Response Surface Methodology and Artificial Neural Networks
Previous Article in Special Issue
An Integrated Control Approach for Shifting Process of Single-Axis Parallel Hybrid Electric Vehicle with a Multi-Speed AMT Gearbox
 
 
Font Type:
Arial Georgia Verdana
Font Size:
Aa Aa Aa
Line Spacing:
Column Width:
Background:
Article

Dynamic and Thermal Buckling Behaviors of Multi-Span Honeycomb Sandwich Panel with Arbitrary Boundaries

1
AVIC Research Institute for Special Structures of Aeronautical Composites, Jinan 250104, China
2
Institute of Dynamics and Control Science, Shandong Normal University, Jinan 250014, China
3
Institute of Automobile Research, China National Heavy Duty Truck Group Co., Ltd., Jinan 250101, China
4
Department of Engineering Mechanics, Shandong University, Jinan 250061, China
*
Author to whom correspondence should be addressed.
Processes 2023, 11(10), 2880; https://doi.org/10.3390/pr11102880
Submission received: 22 August 2023 / Revised: 26 September 2023 / Accepted: 28 September 2023 / Published: 29 September 2023

Abstract

:
The dynamic characteristics and thermal buckling behaviors of a multi-span honeycomb sandwich panel with arbitrary boundaries are studied comprehensively in this paper. The concept of artificial springs is proposed and it was found that arbitrary boundaries can be achieved by adjusting the stiffness of artificial springs. The hinges which connect the base plates of this structure are simulated by massless torsion springs. The displacement field of the panel is expressed as a series of admissible functions which is a set of characteristic orthogonal polynomials generated directly by employing the Gram–Schmidt process. The stresses induced by the temperature change in the multi-span panel are considered, and then the eigenvalue equations of free vibration and thermal buckling are derived by using the Rayleigh–Ritz method. The theoretical formulations of the present research are validated by comparing the results of this paper with those obtained from the available literature and ABAQUS software. Subsequently, the influences of structural parameters on the critical buckling temperature and natural frequencies are investigated comprehensively, and some useful conclusions about dynamic optimization design for multi-span honeycomb sandwich panels are drawn from the present study.

1. Introduction

In order to reduce their mass and increase the rigidity, the panels used in aircraft and spacecraft are made from honeycomb sandwich panels [1,2,3,4,5,6,7]. In some engineering applications (such as the solar arrays of flexible spacecraft), the honeycomb sandwich panels are connected with each other by hinges. Moreover, their boundary forms are various, such as bolt connection, welding, etc. As a result, these multi-span honeycomb sandwich panels are extremely flexible and have low-frequency vibration modes. In addition, these structures usually operate in a changing thermal environment, which leads to the risk of thermal buckling. Hence, studying the dynamic and thermal buckling behaviors of multi-span honeycomb sandwich panels is of practical importance to designing suitable structure parameters and ensuring the safety of structures in a tough working environment.
The vibration modes and dynamic responses of multi-span panels used in flexible spacecraft are becoming a research highlight of scholars. Wei and Cao et al. [8] presented a dynamic modeling approach for flexible spacecraft with multiple solar panels and flexible joints. The base panel is modelled using a Euler–Bernoulli beam and the flexible joint is simplified as a linear torsional spring. Furthermore, Wei and Cao et al. used this modelling approach to establish the nonlinear dynamic models of a two-beam structure connected with a flexible torsional joint [9], multi-beam structure connected with nonlinear joints [10], and maneuvering spacecraft with flexible jointed solar panels [11]. The nonlinear vibration behaviors and internal resonances of jointed beams are studied, and the influences of joints or hinges are researched. Cao and Wang et al. [12] proposed an analytical approach to obtain the natural frequencies and extracting global modes of the flexible-jointed multi-span panel structures based on the Rayleigh–Ritz method. The panels are isotropic and the effects of joint rigidity on the system modes are studied. He and Cao et al. [13] derived the eigenvalue equation of the free vibration of multi-panel structures connected with flexible hinges, which are described by the Lagrange multipliers. The mode functions of isotropic panels are simulated by characteristic orthogonal polynomials. Based on their research on the multi-panel structure, they proposed an analytical dynamic model for a three-axis attitude-stabilized flexible spacecraft installed with hinged solar arrays, and investigated the natural properties and the orbit maneuvering responses of the spacecraft [14]. Cao et al. [15] used the Chebyshev polynomials as admissible basis functions to establish the nonlinear dynamic model of a multi-plate structure connected by nonlinear hinges, and the effects of the structure and excitation parameters on the system dynamic responses were analyzed. Cao et al. [16] also investigated the thermal-structural coupling responses of multiple honeycomb plates connected by hinges.
Multi-span panels, in engineering applications, have various boundary forms. Therefore, the key point of establishing a system dynamic model is to give suitable mode functions of the plate. The classic boundaries of panels are free, clamped, and simply supported. The analytical mode functions of plates under these boundaries are all available. However, there are no available mode functions for plates with other boundaries, such as an elastic boundary. Qin et al. [17,18] studied the free vibration of multilayered functionally graded (FG) composite cylindrical shells with arbitrary boundary conditions, which are represented by continuously distributed artificial springs at the two edges of shells. Employing the Rayleigh–Ritz method, Lin and Cao [19] developed an approach to derive the frequency equations of a honeycomb sandwich plate with general elastic support by using artificial spring technology. The orthogonal polynomials are adopted as admissible functions to construct the mode functions of the panel. Based on this research, Lin et al. further studied the dynamic and thermal aeroelastic behaviors of the panels [20] and cylindrical shells [21] under arbitrary elastic boundary conditions.
The dynamic characteristics of multi-panel structures and the thermal-structural coupling responses of single panels have been comprehensively studied in the above references. The thermal buckling behaviors of single panels also have been analyzed by many scholars [22,23,24,25]. However, the corresponding research focused on multi-span panels connected by hinges and supported by arbitrary boundaries is rarely reported in the published literature. Therefore, in this paper, the dynamic and thermal buckling behaviors of a multi-span panel are investigated. The base plate of this structure is a honeycomb sandwich panel. The concept of artificial springs is employed, and the so-called arbitrary boundaries are achieved by adjusting the stiffness of artificial springs. The hinges are simulated by massless torsion springs. The base plate’s displacement formulations are assumed by characteristic orthogonal polynomial series, which are generated directly by using a Gram–Schmidt process [26]. Considering the strains and stresses induced by temperature change of the multi-span panel, the eigenvalue equations of free vibration and thermal buckling are derived, respectively, by using the Rayleigh–Ritz method. Furthermore, the influences of structural parameters, such as geometric properties of the multi-span panel and the stiffnesses of elastic boundaries and hinges, on the critical buckling temperature and natural frequencies are studied.

2. Theoretical Formulation

Figure 1 shows a multi-span honeycomb sandwich panel consisting of two base plates. In order to describe the lateral vibration wi(x, y, t) (i = 1, 2) of each base plate, two parallel coordinate systems oi-xiyizi (i = 1, 2) are established. Then, wi(x, y, t) (i = 1, 2) is placed along the z axis of oi-xiyizi (i = 1, 2). The length and width of each base plate is L and 2b. The system is supported with four elastic boundaries ( x 1 = 0 , x 2 = L , y 1 = y 2 = b , and y 1 = y 2 = b ) which can be simulated by tension and torsion artificial springs with stiffnesses kw and kt. The base plates are connected by two symmetrically arranged hinges with a distance of 2d. The hinge is modeled by massless torsion springs with stiffness kH. The geometric sketch of the honeycomb sandwich panel is shown in Figure 2. The heights of the face sheet and honeycomb core are hf and hc. The total height of the panel is h. The subscripts c and f represent the honeycomb core and face sheet, respectively. The cell of the honeycomb core illustrated in Figure 2 is a regular hexagon. lc and δc are the cell size and thickness of the cell.
The elastic modulus, mass density, and Poisson’s ratio of the plate material are E0, ρ0, and μ. Based on Gibson’s cellular material theory [27], the equivalent material properties of the honeycomb core, including elastic modulus Ec and equivalent mass density ρc, can be expressed as:
E c = 4 3 δ c l c 3 1 3 δ c l c 2 E 0 , ρ c = 2 3 δ c l c ρ 0 .
For the face sheet, the elastic modulus Ef and mass density ρf are equal to E0 and ρ0, respectively. Then, the honeycomb panel can be considered as a three-layer laminate structure. The 1st and 3rd layers are face sheet, and the 2nd layer is honeycomb core.
The lateral vibration of each base plate is denoted by wi(x, y, t) (i = 1, 2), which is along the z axis in the coordinate system oi-xiyizi (i = 1, 2). The kinetic energy of the multi-span panel can be expressed as:
T = 1 2 i = 1 2 0 L b b I 0 w ˙ i 2 d y d x ,
where:
I 0 = i = 1 3 z i z i + 1 ρ i d z , z 1 = h c 2 h f , z 2 = h c 2 , z 3 = h c 2 , z 4 = h c 2 + h f .
The expression of strain energy for the multi-span panel is given as follows
U = 1 2 j = 1 2 0 L b b i = 1 3 z i z i + 1 σ x ε x + σ y ε y + τ x y γ x y d z d x d y ,
where σ x , σ y , τ x y , ε x , ε y , and γ x y are stresses and strains. Considering the thermal strain caused by temperature change Δ T , the strains for each layer are defined as follows:
ε x ε y γ x y i = ε x 0 ε y 0 γ x y 0 i α i Δ T 1 1 0 , i = 1 , 2 , 3 ,
where α i is the coefficient of thermal expansion for the ith layer. The strain–displacement relations of the ith layer are expressed as:
ε x 0 i = z w i , x x + 1 2 w i , x 2 , ε y 0 i = z w i , y y + 1 2 w i , y 2 , γ x y 0 i = 2 z w i , x y + w i , x w i , y .
The subscript , x denotes the partial derivative with respect to x. The stress–strain relationship of the ith layer is given by
σ x σ y τ x y i = Q 11 Q 12 0 Q 12 Q 22 0 0 0 Q 66 i ε x ε y γ x y i ,
where:
Q 11 i = Q 22 i = E i 1 μ 2 , Q 12 i = μ E i 1 μ 2 , Q 66 i = E i 2 1 + μ .
Substituting relative terms into Equation (4), the expanded expression of strain energy of the multi-span honeycomb sandwich panel can be written as:
U = 1 2 i = 1 2 0 L b b D 11 w i , x x 2 + 2 D 12 w i , x x w i , y y + D 22 w i , y y 2 + 4 D 66 w i , x y 2 + 2 Δ T B 12 w i , y y + B 12 w i , x x + B 11 w i , x x + B 22 w i , y y Δ T A 11 w i , x 2 + A 12 w i , x 2 + A 12 w i , y 2 + A 22 w i , y 2 + N + Δ T d y d x ,
where N and Δ T denote cubic nonlinear terms and terms only related to Δ T . For free vibration in this research, only the linear part of U with respect to variable ΔT is taken into account. The symbols A m n , B m n , and D m n are expressed as:
A m n , B m n , D m n = i = 1 3 z i z i + 1 Q m n i α i , α i z , z 2 d z .
The rotation displacements for the two hinges are Δ θ 1 and Δ θ 2 , which can be defined as follows:
Δ θ 1 = w 2 , x ( 0 , d ) w 1 , x ( L , d ) , Δ θ 2 = w 2 , x ( 0 , d ) w 1 , x ( L , d ) .
Then, the potential energy of hinges is given by:
U H = 1 2 k L 1 ( Δ θ 1 ) 2 + 1 2 k L 2 ( Δ θ 2 ) 2   = 1 2 k H w 2 , x ( 0 , d ) w 1 , x ( L , d ) 2 + 1 2 k H w 2 , x ( 0 , d ) w 1 , x ( L , d ) 2 .
The matching conditions of displacements at the hinges are expressed as:
w 2 ( 0 , d ) w 1 ( L , d ) = 0 , w 2 ( 0 , d ) w 1 ( L , d ) = 0 .
The potential energy of elastic boundaries is given by:
U S = 1 2 b b k w w 1 2 ( 0 , y ) + k w w 2 2 ( L , y ) + k t w 1 , x ( 0 , y ) 2 + k t w 2 , x ( L , y ) 2 d y   + 1 2 0 L k w w 1 2 ( x , b ) + k w w 1 2 ( x , b ) + k w w 2 2 ( x , b ) + k w w 2 2 ( x , b ) + k t w 1 , y ( x , b ) 2 + k t w 1 , y ( x , b ) 2 + k t w 2 , y ( x , b ) 2 + k t w 2 , y ( x , b ) 2 d y .
In order to discretize the displacement wi(x, y, t) (i = 1, 2), the following space-time dispersing expression is used:
w i ( x , y , t ) = W i ( x , y ) sin ω t ,
where ω represents the circular frequency of the multi-span panel. W i ( x , y ) is mode shape and can be expressed in terms of basis functions which should be determined according to specific boundary conditions. In this research, W i ( x , y ) can be expressed in terms of characteristic orthogonal polynomials in the x and y directions as:
W i ( x , y ) = m = 1 m t n = 1 n t C m n ( i ) φ m ( x ) ϕ n ( y ) , i = 1 , 2 ,
where φ m ( x ) and ϕ n ( y ) are characteristic orthogonal polynomials in x and y directions for the base plate, respectively. m t and n t are the numbers of terms truncated in practical calculation. C m n ( i ) is the unknown coefficient.
Given a polynomial ψ 1 ( ξ ) , an orthogonal set of polynomials in the interval a 1 ξ a 2 can be constructed according to the following Gram–Schmidt recursive formulas [26]:
ψ 2 ( ξ ) = ξ P 1 ψ 1 ( ξ ) , ψ k + 1 ( ξ ) = ξ P k ψ k ( ξ ) S k ψ k 1 ( ξ ) , k 2 ,
where:
P k = a 1 a 2 ξ ψ k ( ξ ) 2 d ξ a 1 a 2 ψ k ( ξ ) 2 d ξ , S k = a 1 a 2 ξ ψ k 1 ( ξ ) ψ k ( ξ ) d ξ a 1 a 2 ψ k 1 ( ξ ) 2 d ξ .
The procedure for constructing the corresponding first member ψ 1 ( ξ ) is displayed in reference [26]. Then, the characteristic orthogonal polynomials are normalized according to the following formula:
φ k ξ = ψ k ξ a 1 a 2 ψ k ( ξ ) 2 d ξ , k = 1 , 2 , .
In this paper, the arbitrary boundaries are achieved by adjusting the stiffness of artificial springs used to simulate the elastic boundaries. Therefore, the boundary conditions for φ m ( x ) and ϕ n ( y ) are both free. The integral intervals of φ m ( x ) and ϕ n ( y ) are listed in Table 1.
Substituting the mode shape expression (16) into Equation (15), the kinetic and potential energy of the system can be discretized. Using the Lagrange multiplier method to consider the effects of constraint conditions (i.e., the matching conditions of displacements shown in Equation (13)), the Lagrange function of the system can be expressed as:
Π = T max U + U H + U S max + λ 1 w 2 ( 0 , d ) w 1 ( L , d ) + λ 2 w 2 ( 0 , d ) w 1 ( L , d ) ,
where λ 1 and λ 2 are Lagrange multipliers. Minimizing the Rayleigh quotient with respect to the coefficients C m n ( i ) , λ 1 and λ 2 , i.e.,
Π C m n ( i ) = 0 , Π λ 1 = 0 , Π λ 2 = 0 ,
one can yield the eigenvalue equation of a multi-span honeycomb sandwich panel.
K S S T 0 + Δ T K T 0 0 0 ω 2 M 0 0 0 X H = 0 .
X and H are column vectors as follows:
X = C 11 ( 1 ) , C 12 ( 1 ) , , C m t n t ( 1 ) , C 11 ( 2 ) , C 12 ( 2 ) , , C m t n t ( 2 ) T , H = λ 1 , λ 2 T .
M , K , and K T are 2 m t n t × 2 m t n t matrices given by:
M = M 11 0 0 M 22 , K = K 11 K 12 K 21 K 22 , K T = K T 11 0 0 K T 22 .
The size of each block matrix is m t n t × m t n t , and their elements are given as:
( M k k ) i j = 0 L b b I 0 φ m i ϕ n i φ m j ϕ n j d y d x , k = 1 , 2 ,
( K 11 ) i j = 0 L b b D 11 φ m i , x x ϕ n i φ m j , x x ϕ n j + D 22 φ m i ϕ n i , y y φ m j ϕ n j , y y + 4 D 66 φ m i , x ϕ n i , y φ m j , x ϕ n j , y + D 12 φ m i , x x ϕ n i φ m j ϕ n j , y y + φ m i ϕ n i , y y φ m j , x x ϕ n j d y d x + 0 L k w φ m i ϕ n i φ m j ϕ n j y = b + k t φ m i ϕ n i , y φ m j ϕ n j , y y = b + k w φ m i ϕ n i φ m j ϕ n j y = b + k t φ m i ϕ n i , y φ m j ϕ n j , y y = b d x + b b k w φ m i ϕ n i φ m j ϕ n j x = 0 + k t φ m i , x ϕ n i φ m j , x ϕ n j x = 0 d y + k H φ m i , x ϕ n i φ m j , x ϕ n j x = L y = d + k H φ m i , x ϕ n i φ m j , x ϕ n j x = L y = d ,
( K 12 ) i j = k H φ m i , x ϕ n i x = L y = d φ m j , x ϕ n j x = 0 y = d k H φ m i , x ϕ n i x = L y = d φ m j , x ϕ n j x = 0 y = d ,
( K 21 ) i j = k H φ m i , x ϕ n i x = 0 y = d φ m j , x ϕ n j x = L y = d k H φ m i , x ϕ n i x = 0 y = d φ m j , x ϕ n j x = L y = d ,
( K 22 ) i j = 0 L b b D 11 φ m i , x x ϕ n i φ m j , x x ϕ n j + D 22 φ m i ϕ n i , y y φ m j ϕ n j , y y + 4 D 66 φ m i , x ϕ n i , y φ m j , x ϕ n j , y + D 12 φ m i , x x ϕ n i φ m j ϕ n j , y y + φ m i ϕ n i , y y φ m j , x x ϕ n j d y d x + 0 L k w φ m i ϕ n i φ m j ϕ n j y = b + k t φ m i ϕ n i , y φ m j ϕ n j , y y = b + k w φ m i ϕ n i φ m j ϕ n j y = b + k t φ m i ϕ n i , y φ m j ϕ n j , y y = b d x + b b k w φ m i ϕ n i φ m j ϕ n j x = L + k t φ m i , x ϕ n i φ m j , x ϕ n j x = L d y + k H φ m i , x ϕ n i φ m j , x ϕ n j x = 0 y = d + k H φ m i , x ϕ n i φ m j , x ϕ n j x = 0 y = d ,
( K T 11 ) i j = 0 L b b A 11 + A 12 φ m i , x ϕ n i φ m j , x ϕ n j A 12 + A 22 φ m i ϕ n i , y φ m j ϕ n j , y d y d x ,
( K T 22 ) i j = 0 L b b A 11 + A 12 φ m i , x ϕ n i φ m j , x ϕ n j A 12 + A 22 φ m i ϕ n i , y φ m j ϕ n j , y d y d x .
S is a 2 m t n t × 2 matrix and its elements are expressed as:
S = S 1 S 2 , S 1 i = φ m i ϕ n i x = L y = d , φ m i ϕ n i x = L y = d , S 2 i = φ m i ϕ n i x = 0 y = d , φ m i ϕ n i x = 0 y = d .
The natural frequency ω for the multi-span honeycomb sandwich panel can be yielded by solving the eigenvalue Equation (22). For each ω , the corresponding unknown coefficient vector X is determined by the eigenvector of Equation (22). Then, the modal function W i ( x , y ) related to this ω can be obtained by using Equation (16).
For the linear thermal buckling problems, only the potential energy is considered in the Lagrange function of the system (20) [22,24,25]. Using the Rayleigh–Ritz procedure, the stability equation can be expressed as the following eigenvalue problem:
K S S T 0 + Δ T K T 0 0 0 X H = 0 .
Solving this eigenvalue problem, several critical buckling temperatures and the corresponding coefficient vector X can be obtained. Then the thermal buckling mode shapes for each critical buckling temperature can be determined. In this research, unless otherwise specified, only the minimum critical buckling temperature Δ T c is studied.

3. Results

The geometric and material properties of the multi-span honeycomb sandwich panel studied in this paper are listed in Table 2. To check the accuracy of the present model, comparisons are made with results obtained from the commercial finite element software ABAQUS 2022 and those from the published literature.
For generality and convenience, the following dimensionless springs’ stiffnesses are defined:
k ¯ w = k w L 2 / D 11 , k ¯ t = k t / D 11 , k ¯ H = k H / D 11 .
Then, k ¯ w = k ¯ t = 0 and k ¯ w = k ¯ t = 100 can be used to simulate the free (F) and clamped (C) boundaries, respectively. Moreover, k ¯ w = 100 and k ¯ t = 0 denote the simply (S) supported boundary.
In this paper, the honeycomb core of the sandwich panel is equivalent to a solid layer and the equivalent material properties are calculated by using Equation (1). Then, the honeycomb panel can be considered as a three-layer laminate structure. Subsequently, a laminated plate is constructed with ABAQUS. This laminated plate is discretized by employing shell elements. The hinge connecter in ABAQUS which only has the rotational degree of freedom is used to model the hinges between the two base plates, and the rotational stiffness of this connecter is set to the stiffness of hinges. The complete finite element model with the CCFF boundary is shown in Figure 3. For brevity, models under other boundaries are not given.
Table 3 shows the first eight frequencies for a multi-span panel with CCFF boundaries ( k ¯ w = k ¯ t = 100 at edges x 1 = 0 and x 2 = L , and k ¯ w = k ¯ t = 0 at other edges) calculated by using ABAQUS and the present approach using Equation (22). m t = n t = N T , and R t is the error of the latter relative to the former. It can be seen that R t decreases with increases in NT and, at N T = 8 , the absolute values of R t are less than 4.2%. This means that the terms of polynomials N T = 8 are enough to obtain favorable results. Further comparisons are listed in Table 4 for a multi-span panel with SSSS boundaries ( k ¯ w = 100 and k ¯ t = 0 at each edge), and an excellent convergence and high efficiency of the present approach are also observed. Table 5 presents the critical buckling temperature of a simply supported isotropic plate given by references and the present approach using Equation (33), and good agreement is obtained between those results.
In the following text, parameter studies are conducted to investigate the influences of varying geometric properties of the multi-span panel and the stiffnesses of elastic boundaries and hinges on the critical buckling temperature and natural frequencies.
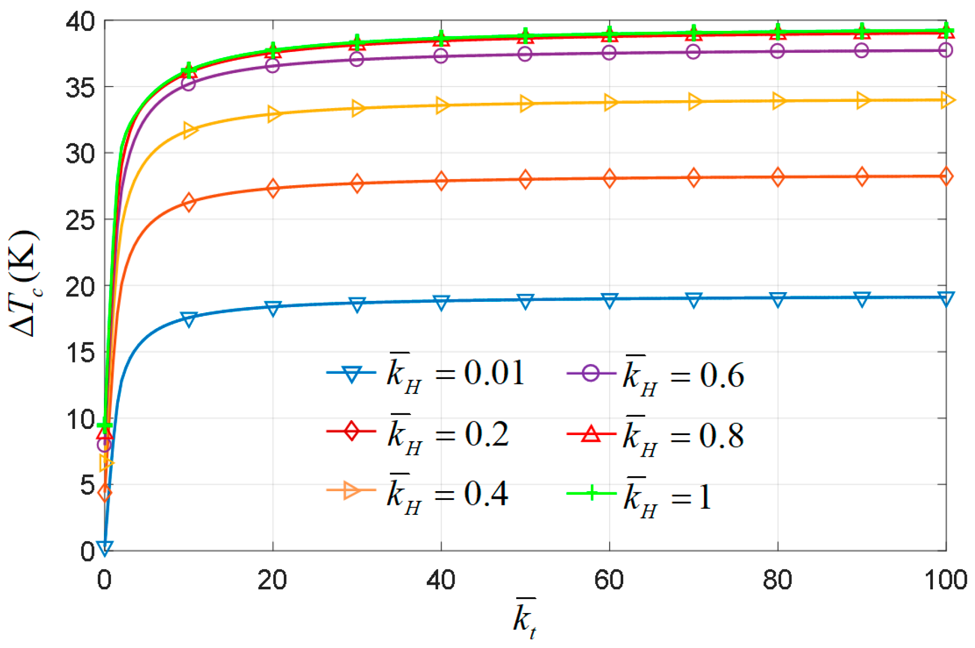
Figure 4 and Figure 5 depict the variation in the critical buckling temperature with respect to the stiffness of the elastic boundaries of the multi-span panel. Six different hinge stiffnesses are considered in these figures. In Figure 4, k ¯ w = 100 at x 1 = 0 and x 2 = L , and only the values of k ¯ t at those two edges increase from 0 to 100. Meanwhile the other edges ( y 1 = y 2 = ± b ) are free. Therefore, when k ¯ t = 0 at x 1 = 0 and x 2 = L , the multi-span panel is simply supported at those two edges and the other edges are free (i.e., SSFF); when k ¯ t   = 10 0 , the multi-span panel is only clamped at those two edges (CCFF). In Figure 5, k ¯ t = 0 at each edge and k ¯ w = 100 at x 1 = 0 and x 2 = L , and the values of k ¯ w at y 1 = y 2 = ± b increase from 0 to 100. Thus, when k ¯ w = 0 at y 1 = y 2 = ± b , the multi-span panel is only simply supported at x 1 = 0 and x 2 = L (SSFF); and when k ¯ w = 10 0 , all of the boundaries are simply supported (SSSS). As illustrated in the figures, the critical buckling temperature Δ T c rises sharply at first and then slowly grows when the stiffness of the elastic boundaries increases. Moreover, for the same boundary stiffness, the higher the hinge stiffness k ¯ H is, the larger the critical buckling temperature Δ T c is. The increase rate of Δ T c reduces as k ¯ H increases. In addition, one can observe that the critical buckling temperature of the SSSS multi-span panel is larger than that of the CCFF panel by comparing Figure 4 and Figure 5, because the constraint of the former is stronger than that of the latter.
Figure 6 illustrates the variation in the critical buckling temperature Δ T c with respect to the ratio of the length to the width of the base plate (L/2b) for the CCFF multi-span panel. Six curves correspond to different hinge stiffnesses. As shown in this figure, Δ T c decreases rapidly with L/2b and then converges to a certain value. On the other hand, although Δ T c increases with hinge stiffness k ¯ H for the same L/2b, the influence of k ¯ H on Δ T c gradually weakens as L/2b grows. When L/2b is large enough, such as L/2b = 3, the effect of k ¯ H on Δ T c is not even observed. Similar studies for a SSSS multi-span panel are also conducted and the same conclusions are obtained, except that the value of Δ T c in this case is larger than that of the CCFF multi-span panel with the same properties. This conclusion can also be found in the comparison between Figure 4 and Figure 5. Therefore, the studies for the SSSS multi-span panel are not shown for simplicity.
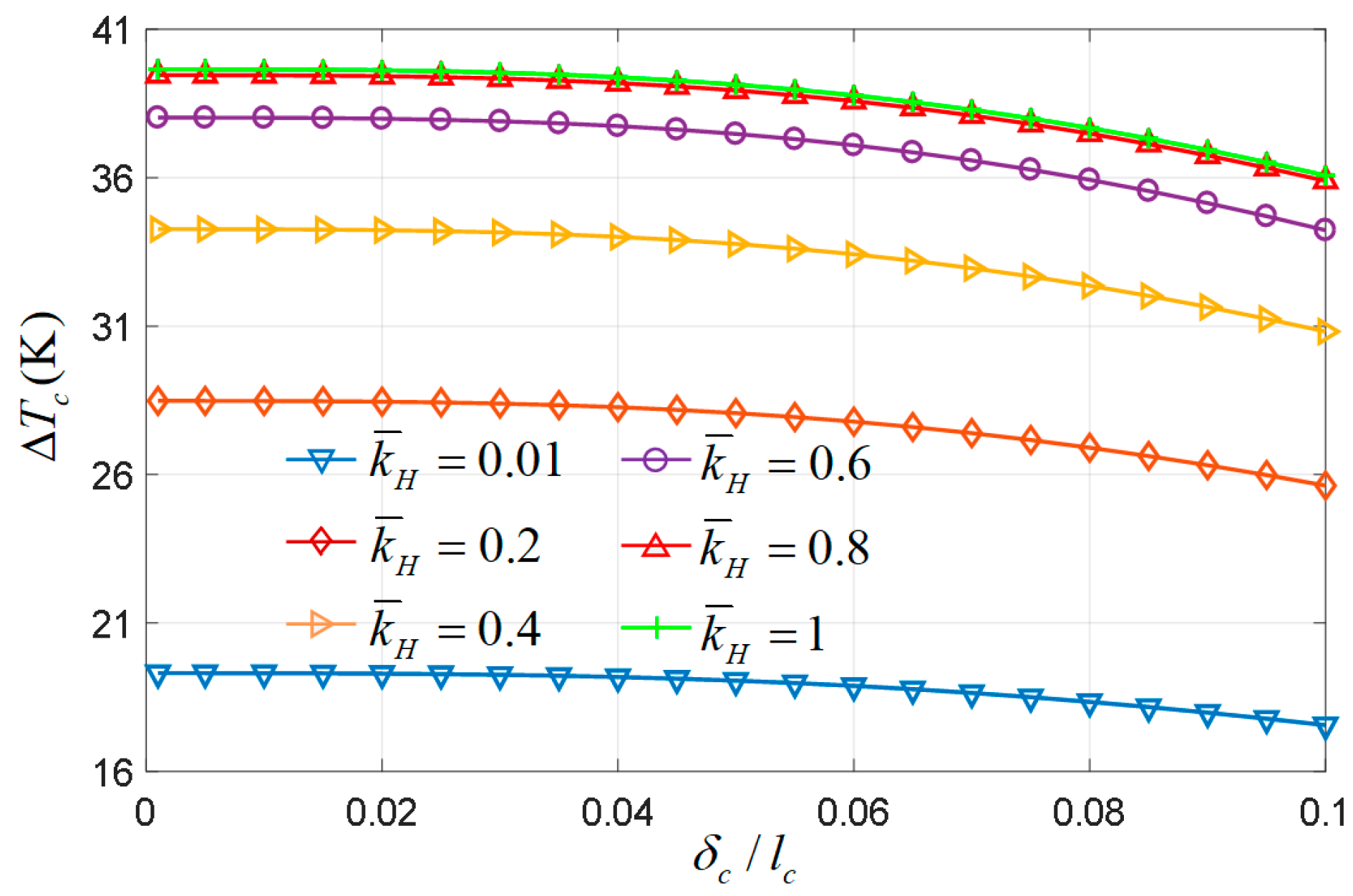
The effects of the honeycomb cell geometric property δ c / l c (the ratio of cell thickness to cell size) on the critical buckling temperature Δ T c are studied in Figure 7 for a CCFF multi-span panel. Similarly, six different values of hinge stiffness k ¯ H are considered. It can be seen that Δ T c decreases gradually with δ c / l c for each k ¯ H . Moreover, the curves of different k ¯ H are almost parallel, which indicates that the variation in the honeycomb cell geometric property δ c / l c will not change the influence of hinge stiffness k ¯ H on the critical buckling temperature Δ T c of the multi-span panel. The analysis for the SSSS multi-span panel is similar and not displayed for simplicity.
Figure 8 shows the variation in the first six natural frequencies with respect to the hinge stiffness k ¯ H for the CCFF multi-span panel. It can be observed that the first, fifth, and sixth frequencies have minor growth as k ¯ H increases, and the others are almost unchanged. As k ¯ H increases, the frequency veering phenomenon among the fifth and sixth modes is observed in Figure 8 when the adjacent natural frequencies are close to each other. An interesting mode shift phenomenon occurs with the frequency veering phenomenon. Specifically, when k ¯ H < 0.55 , the mode shapes of the fifth and sixth modes are illustrated in Figure 9a; however, those two mode shapes shift each other along the red arrows and become the sixth and fifth modes when k ¯ H is in the range 0.55–1, as shown in Figure 9b. The results for the SSSS multi-span panel are similar with those of Figure 8 except that no mode shift phenomenon is found.
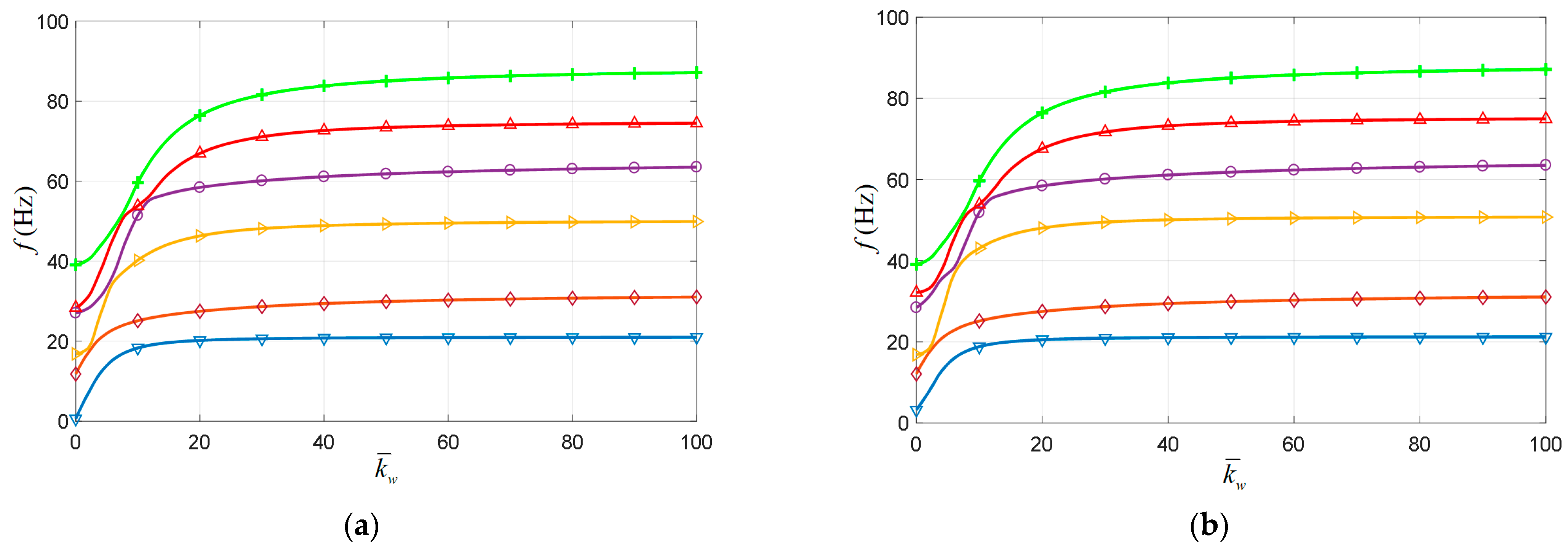
Figure 10 and Figure 11 illustrate the variation in the first six frequencies with respect to the stiffness of the elastic boundaries of the multi-span panel. Without losing generality, k ¯ H = 0.01 and k ¯ H = 1 are considered to research the effects of small and large hinge stiffnesses. The patterns of boundary stiffness variation for Figure 10 and Figure 11 are the same as those for Figure 4 and Figure 5, respectively. As shown in Figure 10, the frequencies of the system rise rapidly with k ¯ t when k ¯ t is small. Then, the system frequencies slowly increase with k ¯ t and converge to certain values. The fifth frequency grows with the hinge stiffness k ¯ H . This leads to different frequency veering phenomena in the cases of k ¯ H = 0.01 and k ¯ H = 1 . The former one occurs between the fourth and fifth modes; however, the latter one appears between the fifth and sixth modes. From Figure 11, one can find that all of the first six frequencies increase continuously with k ¯ w until they converge to certain values. In addition, more frequency veering phenomena occur between different modes, such as the second and third modes, the third and fourth modes, the fifth and sixth modes, and so on.
Figure 12a,b displays the variation in the first six frequencies with respect to the ratio of the length to the width of the base plate (L/2b) for the CCFF and SSSS multi-span panels, respectively. The hinge stiffness k ¯ H = 0.6 in the simulation. Comparing these two figures, the former’s frequency is smaller than the latter’s for the same mode order under the same system parameters. The system frequencies decrease rapidly with L/2b and then converge to certain values, and several frequency veering phenomena can be observed. In Figure 12b, the curves for the fifth and sixth frequency change suddenly at certain values of L/2b. This is because they shift with higher order modes which are not displayed in this figure. Furthermore, the differences among the first six frequencies reduce with L/2b, especially in the case of CCFF multi-span panel.
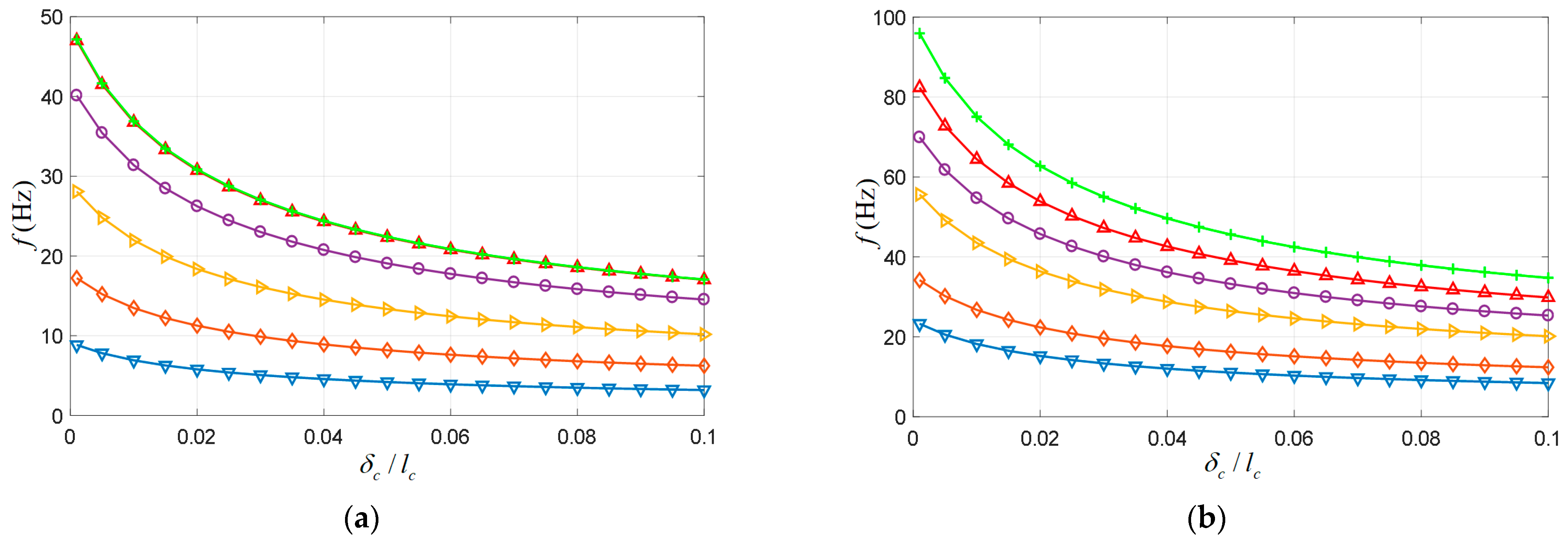
Figure 13 reveals the effects of the honeycomb cell geometric property δ c / l c on the first six frequencies for the CCFF and SSSS multi-span panels. Here, the hinge stiffness k ¯ H = 0.6 . It can be seen that the natural frequencies decrease rapidly with δ c / l c at first, then slowly reduce until they converge to certain values. Moreover, the differences among the six curves also reduce gradually with δ c / l c . According to the comprehensive analysis of Figure 7 and Figure 13, one can find that the ratio of the honeycomb cell thickness the to cell size ( δ c / l c ) should be designed as small as possible to achieve a higher critical buckling temperature and higher natural frequencies, no matter how the parameters of the multi-span honeycomb sandwich panel change.
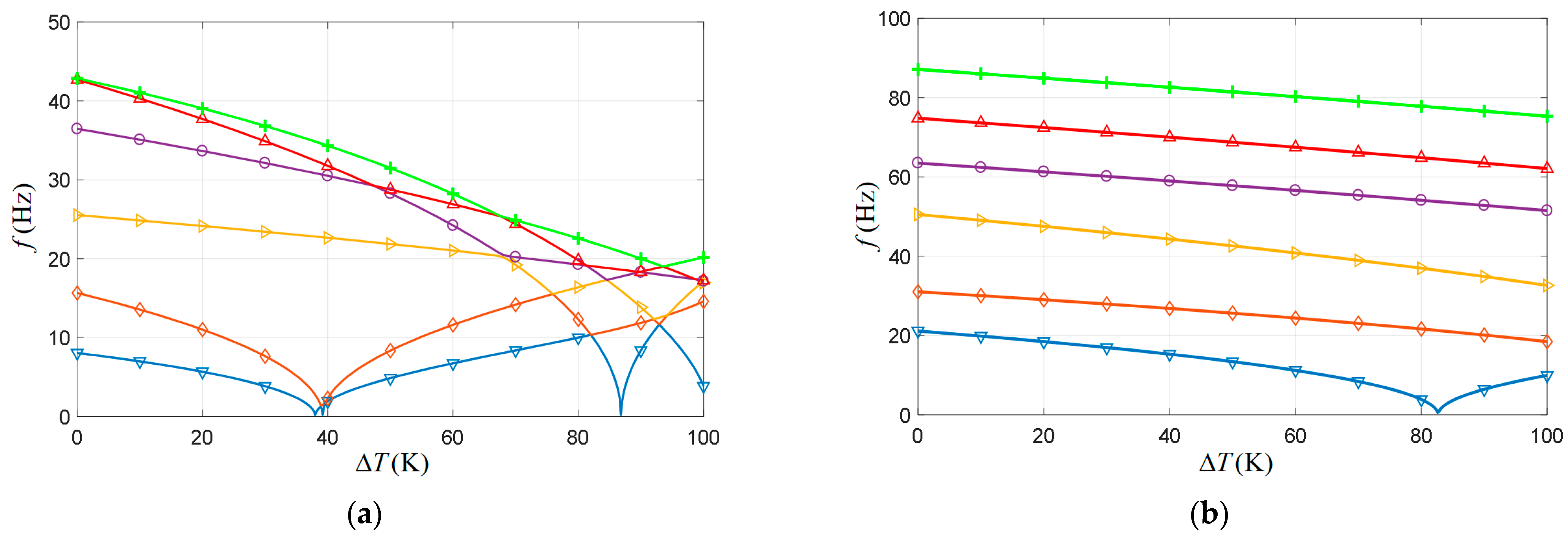
Figure 14a,b depicts the variation in the first six frequencies with respect to the temperature change Δ T for the CCFF and SSSS multi-span panels, respectively. The hinge stiffness k ¯ H is 0.6. It can be found that the frequencies of low order modes reduce to zero first and then increase gradually as the temperature change Δ T increases from zero to 100 K. The values of Δ T resulting in zero frequencies are the so-called critical temperatures Δ T c . For example, the first Δ T c shown in Figure 14a is 37.7 K, which is the same as the value revealed by the curve of k ¯ H = 0.6 in Figure 4 at k ¯ t = 100 . Figure 15 displays the first thermal buckling mode shape of the CCFF multi-span honeycomb sandwich panel. That mode shape is similar to the first vibration mode of the CCFF multi-span panel. What is more, several frequency veering phenomena appear during the growth process of Δ T , as shown in Figure 14a. The frequency variation for the SSSS multi-span panel illustrated in Figure 14b is relatively simple. Only one critical temperature, Δ T c = 82.6 , is found and no mode shift phenomenon is observed as Δ T increases from zero to 100 K.

4. Conclusions

In this paper, the dynamic characteristics and thermal buckling behaviors of a multi-span honeycomb sandwich panel with arbitrary boundaries are studied comprehensively. The concept of artificial springs is proposed. Then, it is found that the arbitrary boundaries can be achieved by adjusting the stiffness of artificial springs. The displacement field of each base plate of the multi-span panel is expressed as a set of basis functions. It should be noted that only basis functions related to the free boundary are needed in the process of constructing the mode shapes of each base plate, which avoids the inconvenience of using different basis functions for different boundary conditions. Therefore, the method presented in this paper can be conveniently applied to the modal and thermal buckling analysis of multi-plate structures with arbitrary boundaries. This is the technical novelty of this research.
Based on the present method, the influences of system parameters on the critical buckling temperature and natural frequencies are investigated comprehensively. Some useful guidelines for the dynamic optimization of similar designs are drawn from the present work and displayed as follows:
(1)
One can improve the critical buckling temperature and natural frequencies by increasing the hinge stiffness;
(2)
On the other hand, the ratio of the length to the width of the base plate and the ratio of the honeycomb cell thickness to the cell size should be designed as small as possible to achieve the same purposes;
(3)
What is more, in the dynamic design process, it is necessary to avoid those geometric parameters that will cause the mode shift phenomenon. This is because the internal resonance, which is a kind of very complex nonlinear vibration, may be excited when the frequencies of different modes are close to each other in the mode shift phenomenon.

Author Contributions

Conceptualization, L.L. (Lun Liu) and M.W.; methodology, M.W. and J.G.; validation, S.S. and L.L. (Lixia Liu); formal analysis, M.W. and L.L. (Lixia Liu); writing—review and editing, L.L. (Lun Liu) and L.Z.; funding acquisition, J.G. and S.S. All authors have read and agreed to the published version of the manuscript.

Funding

This research was funded by the National Natural Science Foundation of China, grant number 11902184, and the Shandong Provincial Natural Science Foundation, China, grant number ZR2020QA039.

Data Availability Statement

Not applicable.

Acknowledgments

The authors gratefully acknowledge the support of colleagues of AVIC Research Institute for Special Structures of Aeronautical Composites for helpful discussions on topics related to this work.

Conflicts of Interest

The authors declare no conflict of interest.

References

  1. Boudjemai, A.; Arnri, R.; Mankour, A.; Salem, H.; Bouanane, M.H.; Boutchicha, D. Modal analysis and testing of hexagonal honeycomb plates used for satellite structural design. Mater. Des. 2012, 35, 266–275. [Google Scholar] [CrossRef]
  2. Li, J.; Yan, S.; Cai, R. Thermal analysis of composite solar array subjected to space heat flux. Aerosp. Sci. Technol. 2013, 27, 84–94. [Google Scholar] [CrossRef]
  3. Liu, L.; Wang, X.; Sun, S.; Cao, D.; Liu, X. Dynamic characteristics of flexible spacecraft with double solar panels subjected to solar radiation. Int. J. Mech. Sci. 2018, 151, 22–32. [Google Scholar] [CrossRef]
  4. Liu, L.; Sun, S.; Cao, D.; Liu, X. Thermal-structural analysis for flexible spacecraft with single or double solar panels: A comparison study. Acta Astronaut. 2019, 154, 33–43. [Google Scholar] [CrossRef]
  5. He, M.; Hu, W. A study on composite honeycomb sandwich panel structure. Mater. Des. 2008, 29, 709–713. [Google Scholar] [CrossRef]
  6. Shen, Z.; Hu, G. Thermally induced vibrations of solar panel and their coupling with satellite. Int. J. Appl. Mech. 2013, 5, 1350031. [Google Scholar] [CrossRef]
  7. Li, J.; Yan, S. Thermally induced vibration of composite solar array with honeycomb panels in low earth orbit. Appl. Therm. Eng. 2014, 71, 419–432. [Google Scholar] [CrossRef]
  8. Wei, J.; Cao, D.; Wang, L.; Huang, H.; Huang, W. Dynamic modeling and simulation for flexible spacecraft with flexible jointed solar panels. Int. J. Mech. Sci. 2017, 130, 558–570. [Google Scholar] [CrossRef]
  9. Wei, J.; Yu, T.; Jin, D.; Liu, M.; Cao, D. Three-to-one internal resonance in a two-beam structure connected with nonlinear joints. Arch. Appl. Mech. 2021, 91, 3835–3850. [Google Scholar] [CrossRef]
  10. Wei, J.; Cao, D.; Huang, H.; Wang, L.; Huang, W. Dynamics of a multi-beam structure connected with nonlinear joints: Modelling and simulation. Arch. Appl. Mech. 2018, 88, 1059–1074. [Google Scholar] [CrossRef]
  11. Wei, J.; Cao, D.; Huang, H. Nonlinear vibration phenomenon of maneuvering spacecraft with flexible jointed appendages. Nonlinear Dyn. 2018, 94, 2863–2877. [Google Scholar] [CrossRef]
  12. Cao, D.; Wang, L.; Wei, J.; Nie, Y. Natural frequencies and global mode functions for flexible jointed-panel structures. J. Aerosp. Eng. 2020, 33, 04020018. [Google Scholar] [CrossRef]
  13. He, G.; Cao, D.; Wei, J.; Cao, Y.; Chen, Z. Study on analytical global modes for a multi-panel structure connected with flexible hinges. Appl. Math. Model. 2021, 91, 1081–1099. [Google Scholar] [CrossRef]
  14. He, G.; Cao, D.; Cao, Y.; Huang, W. Dynamic modeling and orbit maneuvering response analysis for a three-axis attitude stabilized large scale flexible spacecraft installed with hinged solar arrays. Mech. Syst. Signal Proc. 2022, 162, 108083. [Google Scholar] [CrossRef]
  15. Cao, Y.; Cao, D.; He, G.; Ge, X.; Hao, Y. Modelling and vibration analysis for the multi-plate structure connected by nonlinear hinges. J. Sound Vibr. 2020, 492, 115809. [Google Scholar] [CrossRef]
  16. Cao, Y.; Cao, D.; He, G.; Hao, Y.; Ge, X.; Liu, L. Thermal–structural coupling analysis for multiple honeycomb plates connected by hinges. Int. J. Struct. Stab. Dyn. 2022, 22, 2250093. [Google Scholar] [CrossRef]
  17. Qin, Z.; Pang, X.; Safaei, B.; Chu, F. Free vibration analysis of rotating functionally graded CNT reinforced composite cylindrical shells with arbitrary boundary conditions. Compos. Struct. 2019, 220, 847–860. [Google Scholar] [CrossRef]
  18. Qin, Z.; Safaei, B.; Pang, X.; Chu, F. Traveling wave analysis of rotating functionally graded graphene platelet reinforced nanocomposite cylindrical shells with general boundary conditions. Results Phys. 2019, 15, 102752. [Google Scholar] [CrossRef]
  19. Lin, H.; Cao, D. A unified Gram-Schmidt-Ritz formulation for vibration and active flutter control analysis of honeycomb sandwich plate with general elastic support. J. Vibroeng. 2018, 20, 1982–2000. [Google Scholar] [CrossRef]
  20. Lin, H.; Cao, D.; Xu, Y. Vibration characteristics and thermoelastic analysis of the supersonic composite laminated panel with arbitrary elastic boundaries. Proc. Inst. Mech. Eng. Part G-J. Aerosp. Eng. 2018, 233, 095441001878148. [Google Scholar] [CrossRef]
  21. Lin, H.; Cao, D.; Shao, C. An admissible function for vibration and flutter studies of FG cylindrical shells with arbitrary edge conditions using characteristic orthogonal polynomials. Compos. Struct. 2018, 185, 748–763. [Google Scholar] [CrossRef]
  22. Matsunaga, H. Thermal buckling of cross-ply laminated composite and sandwich plates according to a global higher-order deformation theory. Compos. Struct. 2005, 68, 439–454. [Google Scholar] [CrossRef]
  23. Matsunaga, H. Thermal buckling of angle-ply laminated composite and sandwich plates according to a global higher-order deformation theory. Compos. Struct. 2006, 72, 177–192. [Google Scholar] [CrossRef]
  24. Zhao, X.; Lee, Y.Y.; Liew, K.M. Mechanical and thermal buckling analysis of functionally graded plates. Compos. Struct. 2009, 90, 161–171. [Google Scholar] [CrossRef]
  25. Shiau, L.C.; Kuo, S.Y.; Chen, C.Y. Thermal buckling behavior of composite laminated plates. Compos. Struct. 2010, 92, 508–514. [Google Scholar] [CrossRef]
  26. Bhat, R.B. Natural frequencies of rectangular plates using characteristic orthogonal polynomials in Rayleigh-Ritz method. J. Sound Vibr. 1985, 102, 493–499. [Google Scholar] [CrossRef]
  27. Gibson, L.J.; Ashby, M.F. Cellular Solids: Structure and Properties; Cambridge University Press: Cambridge, UK, 1999. [Google Scholar]
  28. Noor, A.K.; Burton, W.S. Three-dimensional solutions for the thermal buckling and sensitivity derivatives of temperature-sensitive multilayered angle-ply plates. J. Appl. Mech. 1992, 59, 848–856. [Google Scholar] [CrossRef]
Figure 1. Multi-span honeycomb sandwich panel supported with elastic boundaries: (a) Geometric parameters, (b) elastic boundaries simulated by artificial springs.
Figure 1. Multi-span honeycomb sandwich panel supported with elastic boundaries: (a) Geometric parameters, (b) elastic boundaries simulated by artificial springs.
Processes 11 02880 g001
Figure 2. The geometric sketch of the honeycomb sandwich panel: (a) Overall view, (b) honeycomb cell.
Figure 2. The geometric sketch of the honeycomb sandwich panel: (a) Overall view, (b) honeycomb cell.
Processes 11 02880 g002
Figure 3. The finite element model of multi-span panel: (a) The cross-section of the laminated plate, (b) the complete finite element model with CCFF boundary.
Figure 3. The finite element model of multi-span panel: (a) The cross-section of the laminated plate, (b) the complete finite element model with CCFF boundary.
Processes 11 02880 g003
Figure 4. Critical buckling temperature vs. boundary stiffness k ¯ t at x 1 = 0 and x 2 = L ( k ¯ w = 100 at x 1 = 0 and x 2 = L , other edges are free).
Figure 4. Critical buckling temperature vs. boundary stiffness k ¯ t at x 1 = 0 and x 2 = L ( k ¯ w = 100 at x 1 = 0 and x 2 = L , other edges are free).
Processes 11 02880 g004
Figure 5. Critical buckling temperature vs. boundary stiffness k ¯ w at y 1 = y 2 = ± b ( k ¯ w = 100 at x 1 = 0 and x 2 = L , k ¯ t = 0 at each edge).
Figure 5. Critical buckling temperature vs. boundary stiffness k ¯ w at y 1 = y 2 = ± b ( k ¯ w = 100 at x 1 = 0 and x 2 = L , k ¯ t = 0 at each edge).
Processes 11 02880 g005
Figure 6. Critical buckling temperature vs. the ratio of length to width of base plate (CCFF).
Figure 6. Critical buckling temperature vs. the ratio of length to width of base plate (CCFF).
Processes 11 02880 g006
Figure 7. Critical buckling temperature vs. δ c / l c of honeycomb cell (CCFF).
Figure 7. Critical buckling temperature vs. δ c / l c of honeycomb cell (CCFF).
Processes 11 02880 g007
Figure 8. The first six frequencies of CCFF multi-span panel vs. hinge stiffness.
Figure 8. The first six frequencies of CCFF multi-span panel vs. hinge stiffness.
Processes 11 02880 g008
Figure 9. The mode shift between the fifth and sixth modes near k ¯ H = 0.55 , (a,b) are the mode shapes before and after mode shift.
Figure 9. The mode shift between the fifth and sixth modes near k ¯ H = 0.55 , (a,b) are the mode shapes before and after mode shift.
Processes 11 02880 g009
Figure 10. The first six frequencies vs. boundary stiffness k ¯ t at x 1 = 0 and x 2 = L ( k ¯ w = 100 at x 1 = 0 and x 2 = L , other edges are free): (a) k ¯ H = 0.01 , (b) k ¯ H = 1 .
Figure 10. The first six frequencies vs. boundary stiffness k ¯ t at x 1 = 0 and x 2 = L ( k ¯ w = 100 at x 1 = 0 and x 2 = L , other edges are free): (a) k ¯ H = 0.01 , (b) k ¯ H = 1 .
Processes 11 02880 g010
Figure 11. The first six frequencies vs. boundary stiffness k ¯ w at y 1 = y 2 = ± b ( k ¯ w = 100 at x 1 = 0 and x 2 = L , k ¯ t = 0 at each edge): (a) k ¯ H = 0.01 , (b) k ¯ H = 1 .
Figure 11. The first six frequencies vs. boundary stiffness k ¯ w at y 1 = y 2 = ± b ( k ¯ w = 100 at x 1 = 0 and x 2 = L , k ¯ t = 0 at each edge): (a) k ¯ H = 0.01 , (b) k ¯ H = 1 .
Processes 11 02880 g011
Figure 12. The first six frequencies vs. the ratio of length to width of base plate: (a) CCFF, (b) SSSS.
Figure 12. The first six frequencies vs. the ratio of length to width of base plate: (a) CCFF, (b) SSSS.
Processes 11 02880 g012
Figure 13. The first six frequencies vs. δ c / l c of honeycomb cell: (a) CCFF, (b) SSSS.
Figure 13. The first six frequencies vs. δ c / l c of honeycomb cell: (a) CCFF, (b) SSSS.
Processes 11 02880 g013
Figure 14. The first six frequencies vs. temperature change Δ T : (a) CCFF, (b) SSSS.
Figure 14. The first six frequencies vs. temperature change Δ T : (a) CCFF, (b) SSSS.
Processes 11 02880 g014
Figure 15. The first thermal buckling mode shape of the CCFF multi-span panel.
Figure 15. The first thermal buckling mode shape of the CCFF multi-span panel.
Processes 11 02880 g015
Table 1. Integral intervals for characteristic orthogonal polynomials.
Table 1. Integral intervals for characteristic orthogonal polynomials.
Orthogonal PolynomialsIntegral IntervalBoundary Conditions
φ m ( x ) 0 x L x = 0 : free; x = L : free
ϕ n ( y ) b y b x = b : free; x = b : free
Table 2. Geometric and material parameters of the multi-span honeycomb sandwich panel.
Table 2. Geometric and material parameters of the multi-span honeycomb sandwich panel.
ParametersValues
Length L (m)2.0
Width 2b (m)2.0
Height of honeycomb panel h (m)0.02
Height of honeycomb core hc (m) 0.0197
Height of face sheet hf (m) 0.15 × 10−3
Distance between two hinges d (m)0.8
Cell size of honeycomb lc (m) 6.35 × 10−3
Thickness of honeycomb wall δc (m) 0.0254 × 10−3
Elastic modulus E0 (Pa) 6.89 × 1010
Mass density ρ0 (kg m−3) 2.8 × 103
Poisson ratio μ0.33
Stiffness of hinge kH (N·m)200
Coefficient of thermal expansion2.32 × 10−6 (face sheet), 2.38 × 10−6 (honeycomb)
Table 3. Comparison of the first eight frequencies for the CCFF multi-span panel f (Hz).
Table 3. Comparison of the first eight frequencies for the CCFF multi-span panel f (Hz).
Frequency OrderFEMNT = 6NT = 7NT = 8NT = 9NT = 10
fRt (%)fRt (%)fRt (%)fRt (%)fRt (%)
16.346.614.196.583.726.553.256.512.686.502.46
215.0515.331.8215.331.8015.311.7215.311.7215.311.70
325.3625.520.6325.35−0.0425.35−0.0425.29−0.2925.29−0.29
435.7236.452.0436.442.0236.261.5036.261.5036.231.41
538.2739.703.7439.392.9339.392.9239.372.8639.372.86
644.5842.70−4.2242.68−4.2642.72−4.1742.87−3.8342.76−4.08
748.8249.791.9849.230.8349.230.8349.220.8249.220.82
854.9256.853.5156.603.0556.552.9656.542.9656.522.91
Table 4. Comparison of the first eight frequencies for the SSSS multi-span panel f (Hz).
Table 4. Comparison of the first eight frequencies for the SSSS multi-span panel f (Hz).
Frequency OrderFEMNT = 6NT = 7NT = 8NT = 9NT = 10
fRt (%)fRt (%)fRt (%)fRt (%)fRt (%)
120.8521.101.2021.020.8321.020.8121.020.8021.020.80
229.7231.857.1630.281.8830.271.8530.000.9530.000.95
349.2650.382.2949.911.3349.911.3349.901.3149.901.31
459.1765.029.8960.983.0660.963.0360.352.0060.352.00
573.9874.971.3374.530.7474.230.3374.220.3374.220.33
684.9388.344.0287.052.5085.660.8785.540.7285.540.72
7104.73107.522.67106.141.35105.911.12105.891.10105.891.10
8110.43115.394.49112.411.79111.440.92111.410.89111.410.89
Table 5. Comparison of the critical buckling temperature Δ T c (K) of the simply supported isotropic plate (L/2b = 1, α = 1 × 10−6/K, E = 1 × 106 Pa, μ = 0.3).
Table 5. Comparison of the critical buckling temperature Δ T c (K) of the simply supported isotropic plate (L/2b = 1, α = 1 × 10−6/K, E = 1 × 106 Pa, μ = 0.3).
L/hMatsunaga [22]Zhao [24]Noor and Burton [28]Present
203109308931093164 (NT = 4)
3163 (NT = 6)
100126.4127.1126.4126.6 (NT = 4)
126.5 (NT = 6)
Disclaimer/Publisher’s Note: The statements, opinions and data contained in all publications are solely those of the individual author(s) and contributor(s) and not of MDPI and/or the editor(s). MDPI and/or the editor(s) disclaim responsibility for any injury to people or property resulting from any ideas, methods, instructions or products referred to in the content.

Share and Cite

MDPI and ACS Style

Wang, M.; Gao, J.; Liu, L.; Liu, L.; Sun, S.; Zeng, L. Dynamic and Thermal Buckling Behaviors of Multi-Span Honeycomb Sandwich Panel with Arbitrary Boundaries. Processes 2023, 11, 2880. https://doi.org/10.3390/pr11102880

AMA Style

Wang M, Gao J, Liu L, Liu L, Sun S, Zeng L. Dynamic and Thermal Buckling Behaviors of Multi-Span Honeycomb Sandwich Panel with Arbitrary Boundaries. Processes. 2023; 11(10):2880. https://doi.org/10.3390/pr11102880

Chicago/Turabian Style

Wang, Min, Junfu Gao, Lun Liu, Lixia Liu, Shupeng Sun, and Leilei Zeng. 2023. "Dynamic and Thermal Buckling Behaviors of Multi-Span Honeycomb Sandwich Panel with Arbitrary Boundaries" Processes 11, no. 10: 2880. https://doi.org/10.3390/pr11102880

APA Style

Wang, M., Gao, J., Liu, L., Liu, L., Sun, S., & Zeng, L. (2023). Dynamic and Thermal Buckling Behaviors of Multi-Span Honeycomb Sandwich Panel with Arbitrary Boundaries. Processes, 11(10), 2880. https://doi.org/10.3390/pr11102880

Note that from the first issue of 2016, this journal uses article numbers instead of page numbers. See further details here.

Article Metrics

Back to TopTop