Skin-Beautifying Effects of Magnolol and Honokiol Glycosides
Abstract
:1. Introduction
2. Materials and Methods
2.1. General Experimental Procedures
2.2. Plant Material
2.3. Preparation of Imidate Sugar (Glc) [2,3,4,6-Tetra-O-acetyl-β-D-glucopyaranosyl-2,2,2-trichloroacet imidate]
2.4. Synthesis of Magnolol and Honokiol Glycoside
2.5. Synthesized Compounds
2.6. In Vitro Inhibition Test of AGEs Generation
2.7. Cell Culture
2.8. Cell Viability
2.9. Determination of Glyoxal Concentration
2.10. Assay of AGE Formation Inhibitory Effects in Glyoxal System
2.11. Statistical Processing
3. Results
3.1. Synthesis of Glycosides
3.2. AGEs’ Inhibitory Activity
3.3. Cytotoxicity of Synthesized Compounds
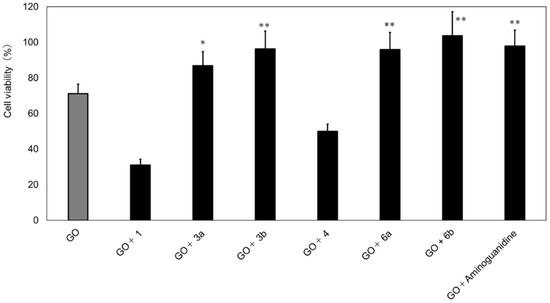
3.4. Effect of Synthesized Compounds on Cell Viability of TIG-110 Cells Exposed to Glyoxal
4. Discussion
5. Conclusions
Author Contributions
Funding
Data Availability Statement
Acknowledgments
Conflicts of Interest
References
- Maillard, L.C. Action des amines sur les sucres: Formation des mélanoïdines par voie méthodique, C.R. Acad. Sci. 1912, 2, 154–166. [Google Scholar]
- Taniguchi, N. TanpakuTouka Han-nou no Seitai ni Okeru Igi (Significance of Protein Glycation in Living Organisms); Shigeta, Y., Taniguchi, N., Eds.; Tanpaku no Touka (Protein Glycation); Igaku Shoin Ltd.: Bunkyō, Tokyo, Japan, 1997; pp. 2–8, 9–15. [Google Scholar]
- Rahber, S. An abnormal hemoglobin in red cells of diabetics. Clin. Chim. Acta 1968, 22, 296–298. [Google Scholar] [CrossRef]
- Holmquist, W.R.; Schoeder, W.A. A new N-terminal blocking group involving a Schiff base in hemoglobin A1c. Biochemistry 1966, 5, 2489–2503. [Google Scholar] [CrossRef] [PubMed]
- Hayase, F. Recent Development of 3-Deoxyosone Related Maillard Reaction Products. Food Sic. Technol. Res. 2000, 6, 79–86. [Google Scholar] [CrossRef]
- Singh, V.P.; Bali, A.; Singh, N.; Jaggi, A.S. Advanced Glycation End Products and Diabetic Complications. Korean J. Physiol. Pharmacol. 2014, 18, 1–14. [Google Scholar] [CrossRef] [PubMed] [Green Version]
- Vistoli, G.; Maddis, D.D.; Cipak, A.; Zarkovic, N.; Carini, M.; Aldini, G. Advanced glycoxidation and lipoxidation end products (AGEs and ALEs): An overview of their mechanisms of formation. Free. Radic. Res. 2013, 47, 3–27. [Google Scholar] [CrossRef] [Green Version]
- Sato, T.; Wu, X.; Shimogaito, N.; Takino, J.; Yamagishi, S.; Takeuchi, M. Effects of high-AGE beverage on RAGE and VEGF expressions in the liver and kidneys. Eur. J. Nutr. 2009, 48, 6–11. [Google Scholar] [CrossRef]
- Jeanmaire, C.; Danoux, L.; Pauly, G. Glycation during human dermal intrinsic and actinic aging: An in vivo and in vitro model study. Br. J. Dermatol. 2001, 145, 10–18. [Google Scholar] [CrossRef] [PubMed]
- Monnier, V.M.; Kohn, R.R.; Cerami, A. Accelerated age-related browning of human collagen in diabetes mellitus. Proc. Nat. Acad. Sci. USA 1984, 81, 583–587. [Google Scholar] [CrossRef] [Green Version]
- Sawabe, A.; Yamashita, A.; Fujimatsu, M.; Takeda, R. Development of Evaluation Methods for Anti-glycation Activity and their Functional Ingredients Contained in Coriander and Fennel Seeds. Processes 2022, 10, 982. [Google Scholar] [CrossRef]
- Mitsuhashi, H. Pharmacognosy; Nankodo Co., Ltd.: Tokyo, Japan, 1983; pp. 100–101, 186–190. [Google Scholar]
- Lee, Y.-J.; Lee, Y.M.; Lee, C.-K.; Jung, J.K.; Han, S.B.; Hong, J.T. Therapeutic applications of compounds in the Magnolia family. Pharmacol. Ther. 2011, 130, 157–176. [Google Scholar] [CrossRef] [PubMed]
- Woodbury, A.; Yu, S.P.; Wei, L.; GarcõÂa, P. Neuro-modulating effects of honokiol: A review. Front. Neurol 2013, 4, 130. [Google Scholar] [CrossRef] [PubMed] [Green Version]
- Shen, J.-L.; Man, K.-M.; Huang, P.-H.; Chen, W.-C.; Chen, D.-C.; Cheng, Y.-W.; Liu, P.-L.; Chou, M.-C.; Chen, Y.-H. Honokiol and magnolol as multifunctional antioxidative molecules for dermatologic disorders. Molecules 2010, 15, 6452–6465. [Google Scholar] [CrossRef] [PubMed]
- Maioli1, M.; Basoli1, V.; Carta, P.; Fabbri, D.; Dettori, M.A.; Cruciani, S.; Serra, P.A.; Delogu, G. Synthesis of magnolol and honokiol derivatives and their effect against hepatocarcinoma cells. PLoS ONE 2018, 13, e0192178. [Google Scholar] [CrossRef] [PubMed] [Green Version]
- Nomura, M.; Ishii, M.; Motoya, T.; Inoue, T. Isolation of polyphenols from general of herbal medicines and their physiological activities. Res. Rep. Fac. Eng. Kinkdai Univ. 2021, 55, 15–26. [Google Scholar]
- Nomura, M.; Murakami, Y.; Ishi, M.; Yokono, K.; Tanimoto, S.; Murai, Y.; Sawabe, A. Synthesis of Glycosides of Magnolol and Honokiol and their physiological activities. Res. Rep. Fac. Eng. Kinkdai Univ. 2021, 55, 27–34. [Google Scholar]
- Nomura, M.; Sawabe, A. Glycoside synthesis and functionality as the cosmetics material using the chlorogenic acid metabolites derived from a plant. In Synthesis and Application of a Functional Glycoside—Mainly on Glycosyltransferase; Hamda, H., Ed.; CMC Publishing Co., Ltd.: Tokyo, Japan, 2013; pp. 185–194. [Google Scholar]
- Sawabe, A.; Ohnishi, N.; Yoshioka, S.; Kusudo, K.; Kanno, K.; Watanabe, Y. Functional Ingredients and Food Preservative in Immature Persimmon “Tekka-Kaki”. Processes 2021, 9, 1989. [Google Scholar] [CrossRef]
- Das, R.; Mukhopadhyay, B. Chemical O-Glycosylations: An Overview. ChemistryOpen 2016, 5, 401–433. [Google Scholar] [CrossRef] [PubMed] [Green Version]
- Semba, R.D.; Nicklett, E.J.; Ferrucci, L. Does accumulation of advanced glycation end products contribute to the aging phenotype? J. Gerontol. Ser. A Biol. Sci. MED. Sci. 2010, 65, 963–975. [Google Scholar] [CrossRef] [PubMed] [Green Version]
- Saito, M. (Ed.) Anti-Aging Medicine, 3rd ed.; Medical View, Co., Ltd.: Tokyo, Japan, 2015; pp. 7–151. (In Japanese) [Google Scholar]
- Brownlee, M.; Vlassara, H.; Kooney, A.; Ulrich, P.; Cerami, A. Aminoguanidine presents diabets-induced arterial wall protein crosslinking. Science 1986, 232, 1629–1632. [Google Scholar] [CrossRef]





| Compound | AGEs Inhibitory Activity IC50 Values |
|---|---|
| Aminoguanidine (positive control) | 0.42 |
| 1 | 0.21 |
| 3a | 0.09 |
| 3b | 0.04 |
| 4 | 0.17 |
| 6a | 0.06 |
| 6b | 0.07 |
Publisher’s Note: MDPI stays neutral with regard to jurisdictional claims in published maps and institutional affiliations. |
© 2022 by the authors. Licensee MDPI, Basel, Switzerland. This article is an open access article distributed under the terms and conditions of the Creative Commons Attribution (CC BY) license (https://creativecommons.org/licenses/by/4.0/).
Share and Cite
Sawabe, A.; Tanaka, A.; Nomura, M.; Takeda, R. Skin-Beautifying Effects of Magnolol and Honokiol Glycosides. Processes 2022, 10, 1241. https://doi.org/10.3390/pr10071241
Sawabe A, Tanaka A, Nomura M, Takeda R. Skin-Beautifying Effects of Magnolol and Honokiol Glycosides. Processes. 2022; 10(7):1241. https://doi.org/10.3390/pr10071241
Chicago/Turabian StyleSawabe, Akiyoshi, Ayato Tanaka, Masato Nomura, and Ryuji Takeda. 2022. "Skin-Beautifying Effects of Magnolol and Honokiol Glycosides" Processes 10, no. 7: 1241. https://doi.org/10.3390/pr10071241
APA StyleSawabe, A., Tanaka, A., Nomura, M., & Takeda, R. (2022). Skin-Beautifying Effects of Magnolol and Honokiol Glycosides. Processes, 10(7), 1241. https://doi.org/10.3390/pr10071241

