Neurodevelopment at Two Years in Preterm Infants: Corrected Versus Chronological Age
Highlights
- At 2 years, corrected age reveals selective developmental vulnerabilities, whereas chronological age indicates a generalised delay.
- Greater prematurity is associated with poorer developmental performance.
- Corrected age should be used at least until 24 months in the developmental assessment of pre-term children.
- Age correction should be tailored according to gestational age and developmental domain to im-prove clinical accuracy.
Abstract
1. Introduction
2. Methods
2.1. Participants
2.1.1. Preterm Group
2.1.2. Control Groups
2.2. Procedures
2.3. Measures
2.4. Data Analysis
3. Results
4. Discussion
Author Contributions
Funding
Institutional Review Board Statement
Informed Consent Statement
Data Availability Statement
Conflicts of Interest
References
- Chawanpaiboon, S.; Vogel, J.P.; Moller, A.B.; Lumbiganon, P.; Petzold, M.; Hogan, D.; Landoulsi, S.; Jampathong, N.; Kongwattanakul, K.; Laopaiboon, M.; et al. Global, regional, and national estimates of levels of preterm birth in 2014: A systematic review and modelling analysis. Lancet Glob. Health 2019, 7, e37–e46. [Google Scholar] [CrossRef]
- Saigal, S.; Doyle, L.W. An overview of mortality and sequelae of preterm birth from infancy to adulthood. Lancet 2008, 371, 261–269. [Google Scholar] [CrossRef]
- Song, I.G. Neurodevelopmental outcomes of preterm infants. Clin. Exp. Pediatr. 2022, 66, 281. [Google Scholar] [CrossRef]
- Palanivel, S.; Menon, V.B.; Salih, I.M.; Rajmohankumar, V.; Velani, K.S.; Kathiresan, S.; Ragasankar, S.R. A narrative review of neurodevelopmental, psychiatric, and behavioral consequences of preterm birth. Cureus 2025, 17, e87423. [Google Scholar] [CrossRef]
- Jois, R.S. Understanding long-term neurodevelopmental outcomes of very and extremely preterm infants: A clinical review. Aust. J. Gen. Pract. 2019, 48, 26–32. [Google Scholar] [CrossRef] [PubMed]
- Davis, B.E.; Leppert, M.O.C.; German, K.; Lehmann, C.U.; Adams-Chapman, I. Primary care framework to monitor preterm infants for neurodevelopmental outcomes in early childhood. Pediatrics 2023, 152, e2023062511. [Google Scholar] [CrossRef]
- American Academy of Pediatrics (AAP); Committee on Fetus and Newborn. Hospital discharge of the high-risk neonate. Pediatrics 2008, 122, 1119–1126. [Google Scholar] [CrossRef] [PubMed]
- McKinnon, K.; Huertas-Ceballos, A. Developmental follow-up of children and young people born preterm, NICE guideline 2017. Arch. Dis. Child.—Educ. Pract. 2019, 104, 221–223. [Google Scholar] [CrossRef]
- National Institute for Health and Care Excellence (NIHCE). Developmental Follow-Up of Children and Young People Born Preterm; NG72; National Institute for Health and Care Excellence: London, UK, 2017. [Google Scholar]
- Bayley, N. Bayley Scales of Infant and Toddler Development, 3rd ed.; Harcourt Assessment: San Antonio, TX, USA, 2006. [Google Scholar]
- Bode, M.M.; D’Eugenio, D.B.; Mettelman, B.B.; Gross, S.J. Predictive validity of the Bayley, Third Edition at 2 years for intelligence quotient at 4 years in preterm infants. J. Dev. Behav. Pediatr. 2014, 35, 570–575. [Google Scholar] [CrossRef] [PubMed]
- Krogh, M.T.; Væver, M.S. A longitudinal study of the predictive validity of the Bayley-III scales and subtests. Eur. J. Dev. Psychol. 2019, 16, 727–738. [Google Scholar] [CrossRef]
- Nishijima, M.; Yoshida, T.; Matsumura, K.; Inomata, S.; Nagaoka, M.; Tamura, K.; Makimoto, M. Correlation between the Bayley-III at 3 years and the Wechsler Intelligence Scale for Children, at 6 years. Pediatr. Int. 2022, 64, e14872. [Google Scholar] [CrossRef] [PubMed]
- Picciolini, O.; Squarza, C.; Fontana, C.; Giannì, M.L.; Cortinovis, I.; Gangi, S.; Mosca, F. Neurodevelopmental outcome of extremely low birth weight infants at 24 months corrected age: A comparison between Griffiths and Bayley scales. BMC Pediatr. 2015, 15, 139. [Google Scholar] [CrossRef]
- Gasparini, C.; Caravale, B.; Rea, M.; Coletti, M.F.; Tonchei, V.; Bucci, S.; Dotta, A.; De Curtis, M.; Gentile, S.; Ferri, R. Neurodevelopmental outcome of Italian preterm children at 1 year of corrected age by Bayley-III scales: An assessment using local norms. Early Hum. Dev. 2017, 113, 1–6. [Google Scholar] [CrossRef] [PubMed]
- Caravale, B.; Gasparini, C.; Rea, M.; Coletti, M.F.; Boiani, A.; Ferri, R. Neurodevelopmental outcome in one-year-old children born preterm: Differences between low birth weight and very low birth weight. Minerva Pediatr. 2024, 76, 582–589. [Google Scholar] [CrossRef]
- Engle, W.A.; American Academy of Pediatrics Committee on Fetus and Newborn. Age terminology during the perinatal period. Pediatrics 2004, 114, 1362–1364. [Google Scholar] [CrossRef]
- Palisano, R.J. Use of chronological and adjusted ages to compare motor development of healthy preterm and full-term infants. Dev. Med. Child Neurol. 1986, 28, 180–187. [Google Scholar] [CrossRef] [PubMed]
- Sugita, K.; Iai, M.; Inoue, T.; Ohta, R. Normative data and the effect of correction for prematurity on test scores in the psychomotor development of extremely low birthweight infants. Brain Dev. 1990, 12, 334–338. [Google Scholar] [CrossRef]
- Stjernqvist, K.; Svenningsen, N.W. Extremely low-birth-weight infants less than 901 g: Development and behaviour after 4 years of life. Acta Paediatr. 1995, 84, 500–506. [Google Scholar] [CrossRef]
- Aylward, G.P. Is it correct to correct for prematurity? Theoretic analysis of the Bayley-4 normative data. J. Dev. Behav. Pediatr. 2020, 41, 128–133. [Google Scholar] [CrossRef]
- D’Agostino, J.A. An evidentiary review regarding the use of chronological and adjusted age in the assessment of preterm infants. J. Spec. Pediatr. Nurs. 2010, 15, 26–32. [Google Scholar] [CrossRef] [PubMed]
- Wehrle, F.M.; Stöckli, A.; Disselhoff, V.; Schnider, B.; Grunt, S.; Mouthon, A.L.; Everts, R. Effects of correcting for prematurity on executive function scores of children born very preterm at school age. J. Pediatr. 2021, 238, 145–152. [Google Scholar] [CrossRef]
- Morsan, V.; Fantoni, C.; Tallandini, M.A. Age correction in cognitive, linguistic, and motor domains for infants born preterm. Dev. Med. Child Neurol. 2018, 60, 820–825. [Google Scholar] [CrossRef]
- Parekh, S.A.; Boyle, E.M.; Guy, A.; Blaggan, S.; Manktelow, B.N.; Wolke, D.; Johnson, S. Correcting for prematurity affects developmental test scores in infants born late and moderately preterm. Early Hum. Dev. 2016, 94, 1–6. [Google Scholar] [CrossRef]
- Gould, J.F.; Fuss, B.G.; Roberts, R.M.; Collins, C.T.; Makrides, M. Consequences of using chronological age versus corrected age when testing cognitive and motor development in infancy and IQ at school age for children born preterm. PLoS ONE 2021, 16, e0256824. [Google Scholar] [CrossRef]
- Wilson-Ching, M.; Pascoe, L.; Doyle, L.W.; Anderson, P.J. Effects of correcting for prematurity on cognitive test scores in childhood. J. Paediatr. Child Health 2014, 50, 182–188. [Google Scholar] [CrossRef] [PubMed]
- Ferri, R.; Orsini, A.; Rea, M.; Stoppa, E.; Mascellani, F. Bayley III—Manuale dell’adattamento Italiano; Giunti: Firenze, Italy, 2015. [Google Scholar]
- Howson, C.P.; Kinney, M.V.; Lawn, J.; March of Dimes; PMNCH; Save the Children; WHO. Born Too Soon: The Global Action Report on Preterm Birth; WHO: Geneva, Switzerland, 2012. [Google Scholar]
- Hyde, J.S. The gender similarities hypothesis. Am. Psychologist 2005, 60, 581. [Google Scholar] [CrossRef] [PubMed]
- Johnson, S.; Marlow, N. Preterm birth and childhood psychiatric disorders. Pediatr. Res. 2011, 69, 11R–18R. [Google Scholar] [CrossRef]
- Allen, M.C. Neurodevelopmental outcomes of preterm infants. Curr. Opin. Neurol. 2008, 21, 123–128. [Google Scholar] [CrossRef]
- Sansavini, A.; Guarini, A.; Caselli, M.C. Preterm birth: Neuropsychological profiles and atypical developmental pathways. Dev. Disabil. Res. Rev. 2011, 17, 102–113. [Google Scholar] [CrossRef]
- Greene, M.M.; Patra, K.; Nelson, M.N.; Silvestri, J.M. Evaluating preterm infants with the Bayley-III: Patterns and correlates of development. Res. Dev. Disabil. 2012, 33, 1948–1956. [Google Scholar] [CrossRef] [PubMed]
- Anderson, P.J.; De Luca, C.R.; Hutchinson, E.; Roberts, G.; Doyle, L.W. Victorian Infant Collaborative Group. Underestimation of developmental delay by the new Bayley-III Scale. Arch. Pediatr. Adolesc. Med. 2010, 164, 352–356. [Google Scholar] [CrossRef]
- Palomero-Sierra, B.; Sánchez-Gómez, V.; Magán-Maganto, M.; Bejarano-Martín, Á.; Ruiz-Ayúcar, I.; de Vena-Díez, V.B.; Mannarino, G.V.; Díez-Villoria, E.; Canal-Bedia, R. Early social communication and language development in moderate-to-late preterm infants: A longitudinal study. Front. Psychol. 2025, 16, 1556416. [Google Scholar] [CrossRef]
- Montgomery, C.; Setänen, S.; Kaul, Y.F.; Farooqi, A.; Broström, L.; Aden, U.; Serenius, F. Predictive value of Bayley-III Motor Index for later motor difficulties in children born extremely preterm. Acta Paediatr. 2023, 112, 742–752. [Google Scholar] [CrossRef] [PubMed]
- Cuesta-Gómez, A.; Fernández-González, P.; Carratalá-Tejada, M.; Aguilar-Bejines, I. Differences in motor development between preterm infants and full-term preschool children. Children 2024, 11, 252. [Google Scholar] [CrossRef]
- de Kieviet, J.F.; Piek, J.P.; Aarnoudse-Moens, C.S.; Oosterlaan, J. Motor development in very preterm and very low-birth-weight children from birth to adolescence: A meta-analysis. JAMA 2009, 302, 2235–2242. [Google Scholar] [CrossRef] [PubMed]
- Aarnoudse-Moens, C.S.H.; Weisglas-Kuperus, N.; Van Goudoever, J.B.; Oosterlaan, J. Meta-analysis of neurobehavioral outcomes in very preterm and/or very low birth weight children. Pediatrics 2009, 124, 717–728. [Google Scholar] [CrossRef] [PubMed]
- Neri, E.; Genova, F.; Monti, F.; Trombini, E.; Biasini, A.; Stella, M.; Agostini, F. Developmental dimensions in preterm infants during the first year of life: The influence of severity of prematurity and maternal generalized anxiety. Front. Psychol. 2020, 11, 455. [Google Scholar] [CrossRef]


| Total N | Females N | Males N | Chronological Age (Months) M (SD) | Corrected Age (Months) M (SD) | |
|---|---|---|---|---|---|
| Preterm group (PRE) | 161 | 84 | 77 | 25.43 (1.17) | 23.26 (1.22) |
| E-PRE (<28 wks) | 30 | 18 | 12 | 25.92 (1.24) | 22.96 (1.30) |
| V-PRE (28–31 wks) | 68 | 28 | 40 | 25.46 (1.16) | 23.13 (1.27) |
| ML-PRE (32–36 wks) | 63 | 33 | 30 | 25.16 (1.07) | 23.53 (1.11) |
| Control groups Control–Corr | 88 | 44 | 44 | 23.39 (1.42) | — |
| Control–Chron | 87 | 42 | 45 | 25.31 (1.30) | — |
| Total PRE Group (N = 161) | Extreme (E) (N = 30) | Very (V) (N = 68) | Moderate/Late (ML) (= 63) | p | η2 * | Planned Contrast | |
|---|---|---|---|---|---|---|---|
| Birth weight (g) M ± SD [range] | 1418.7 ± 394.2 [1350.9–1486.6] | 1079.6 ± 202.4 [992.1–1167.1] | 1369.29 ± 381.4 [1269.9–1468.7] | 1633.1 ± 348 [1534.2–1732] | <0.001 | 0.250 | [E] < [V] < [ML] |
| 5′ Apgar score M ± SD [range] | 6.8 ± 1.6 [7.5–8] | 7.7 ± 1.4 [6.24–7.42] | 7.7 ± 1.2 [7.3–8] | 8.3 ± 1.4 [7.9–8.6] | <0.001 | 0.134 | [E] < [V] < [ML] |
| Length of stay (days) M ± SD [range] | 52 ± 27.1 [47.47–56.45] | 76.2 ± 25 [66.65–85.69] | 56 ± 24.3 [49.7–62.7] | 35.6 ± 18.9 [30.4–40.5] | <0.001 | 0.324 | [E] > [V] > [ML] |
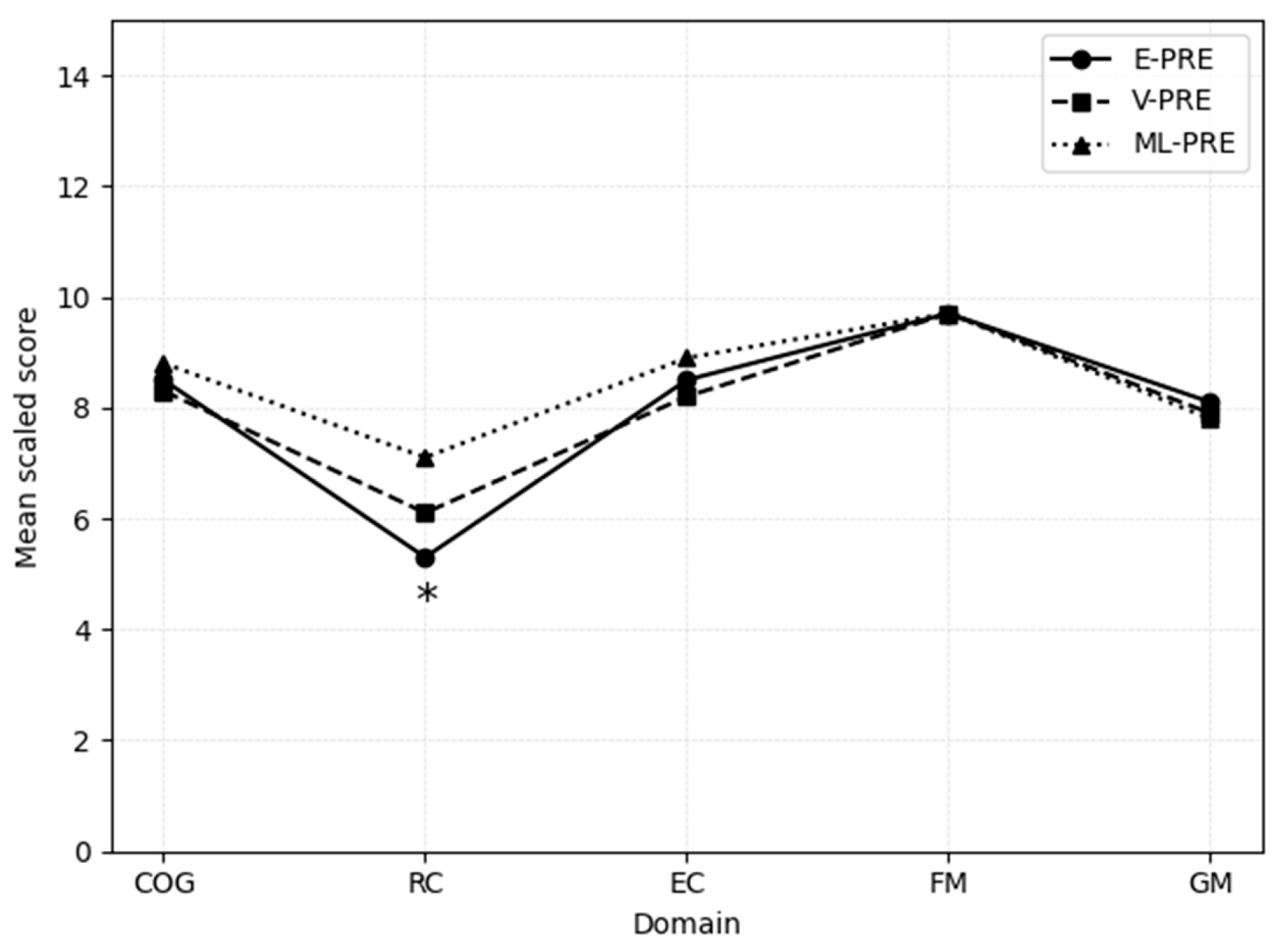
| Bayley-III Subscale | PRE–Corr (M ± SD) | Control–Corr (M ± SD) | Mean Diff. | t | df | p | Cohen’s d ¥ | 95% CI |
|---|---|---|---|---|---|---|---|---|
| COG | 8.46 ± 2.95 | 9.53 ± 3.14 | −1.07 | −2.68 | 247 | 0.008 | −0.36 | [−0.62, −0.09] |
| RC | 6.45 ± 2.99 | 9.89 ± 2.98 | −3.44 | −8.68 | 247 | <0.001 | −1.15 | [−1.43, −0.87] |
| EC | 8.53 ± 2.90 | 9.65 ± 2.97 | −1.11 | −2.87 | 247 | 0.004 | −0.38 | [−0.64, −0.12] |
| FM | 9.61 ± 3.03 | 9.43 ± 3.30 | +0.18 | 0.44 | 247 | 0.660 | 0.06 | [−0.20, 0.32] |
| GM | 7.81 ± 2.25 | 9.84 ± 3.16 | −2.03 | −5.35 | 137 # | <0.001 | −0.78 | [−1.05, −0.51] |
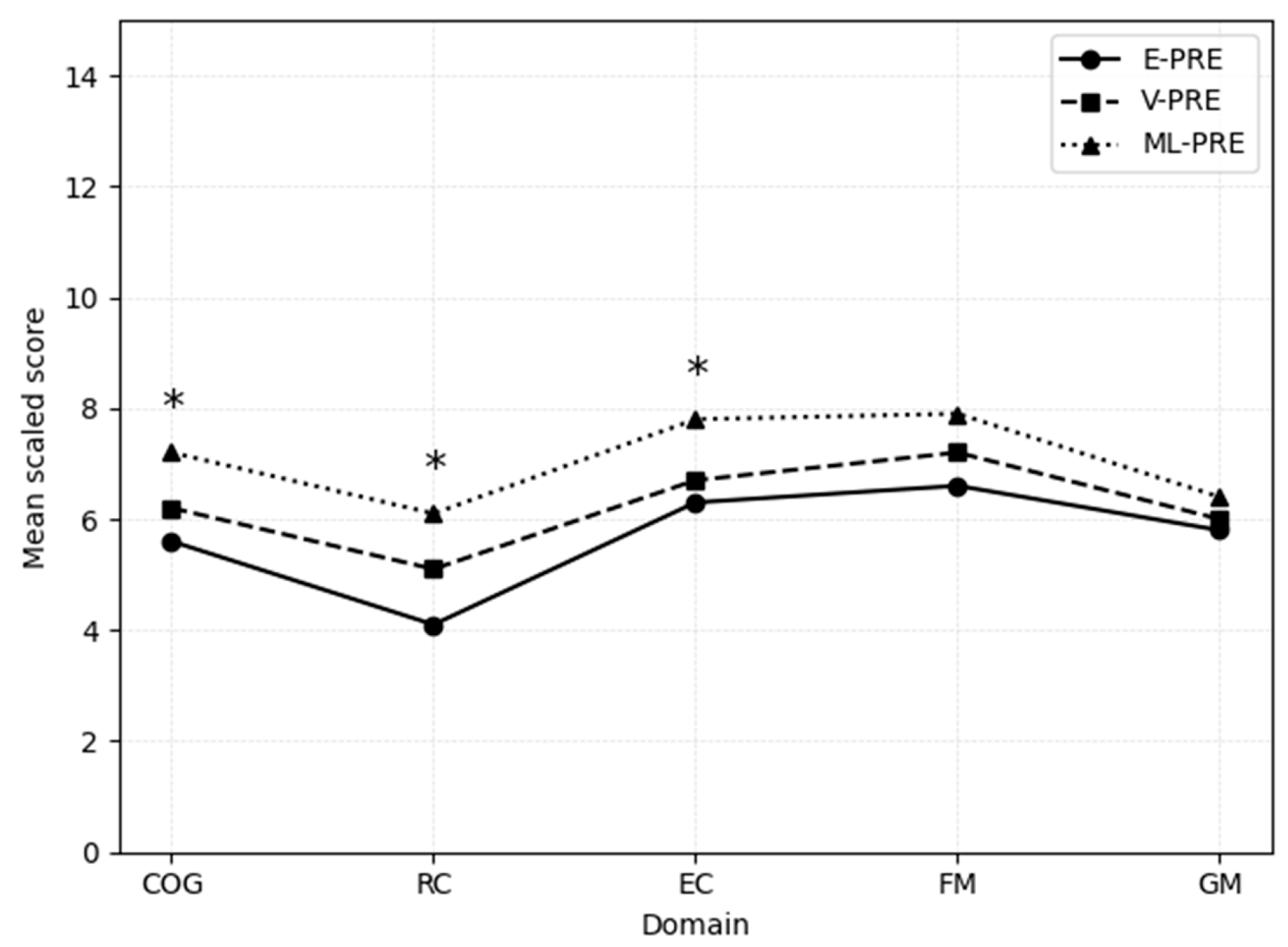
| Bayley-III Subscales | PRE–Chron (M ± SD) | Control–Chron (M ± SD) | MeanDiff. | t | df | p | Cohen’s d ¥ | 95% CI |
|---|---|---|---|---|---|---|---|---|
| COG | 6.57 (2.66) | 10.08 (2.89) | −3.51 | −9.59 | 246 | <0.001 | −1.28 | [−1.56, −0.99] |
| RC | 5.38 (2.58) | 9.68 (2.65) | −4.30 | −12.69 | 246 | <0.001 | −1.69 | [−1.99, −1.38] |
| EC | 7.05 (2.59) | 9.74 (2.62) | −2.69 | −7.76 | 246 | <0.001 | −1.03 | [−1.31, −0.76] |
| FM | 7.40 (2.71) | 9.89 (2.97) | −2.49 | −6.67 | 246 | <0.001 | −0.89 | [−1.16, −0.61] |
| GM | 6.12 (1.87) | 9.69 (2.85) | −3.57 | −10.53 | 126.94 # | <0.001 | −1.58 | [−1.87, −1.28] |
Disclaimer/Publisher’s Note: The statements, opinions and data contained in all publications are solely those of the individual author(s) and contributor(s) and not of MDPI and/or the editor(s). MDPI and/or the editor(s) disclaim responsibility for any injury to people or property resulting from any ideas, methods, instructions or products referred to in the content. |
© 2026 by the authors. Licensee MDPI, Basel, Switzerland. This article is an open access article distributed under the terms and conditions of the Creative Commons Attribution (CC BY) license.
Share and Cite
Caravale, B.; Focaroli, V.; Caramuscio, E.; Zitarelli, C.; Pisani, F.; Gasparini, C.; Ottaviano, P.; Castronovo, A.; Paoletti, M.; Regoli, D.; et al. Neurodevelopment at Two Years in Preterm Infants: Corrected Versus Chronological Age. Children 2026, 13, 219. https://doi.org/10.3390/children13020219
Caravale B, Focaroli V, Caramuscio E, Zitarelli C, Pisani F, Gasparini C, Ottaviano P, Castronovo A, Paoletti M, Regoli D, et al. Neurodevelopment at Two Years in Preterm Infants: Corrected Versus Chronological Age. Children. 2026; 13(2):219. https://doi.org/10.3390/children13020219
Chicago/Turabian StyleCaravale, Barbara, Valentina Focaroli, Elvira Caramuscio, Cristina Zitarelli, Francesco Pisani, Corinna Gasparini, Paola Ottaviano, Antonella Castronovo, Marzia Paoletti, Daniela Regoli, and et al. 2026. "Neurodevelopment at Two Years in Preterm Infants: Corrected Versus Chronological Age" Children 13, no. 2: 219. https://doi.org/10.3390/children13020219
APA StyleCaravale, B., Focaroli, V., Caramuscio, E., Zitarelli, C., Pisani, F., Gasparini, C., Ottaviano, P., Castronovo, A., Paoletti, M., Regoli, D., Dito, L., Terrin, G., & Ferri, R. (2026). Neurodevelopment at Two Years in Preterm Infants: Corrected Versus Chronological Age. Children, 13(2), 219. https://doi.org/10.3390/children13020219

