Effectiveness of a Spectacle Lens with a Specific Asymmetric Myopic Peripheral Defocus: 12-Month Results in a Spanish Population
Abstract
1. Introduction
2. Materials and Methods
- Sociodemographic questionnaire: Participants’ parents completed a questionnaire that included information regarding age (date of birth), gender, ocular and medical health records, ocular surgeries, history of parents’ myopia, age of myopia onset, history of myopia progression, and previous eye treatments.
- Objective refraction: Performed using an autorefractometer after cycloplegia using 3 drops of cyclopentolate.
- Biometry: AL was measured with the optical biometer IOL Master® (Carl Zeiss Meditec, Jena, Germany)
- Binocular vision: Distance and near vision phoria were measured using Von Graefe’s technique, the amplitude of accommodation was measured using the Sheard method, and the accommodative lag was measured using MEM retinoscopy.
- Wearability questionnaires: All of the children, with parental assistance, completed questionnaires to assess their satisfaction with the spectacles, record the time of use, and document any issues associated with the spectacles or any adverse effects.
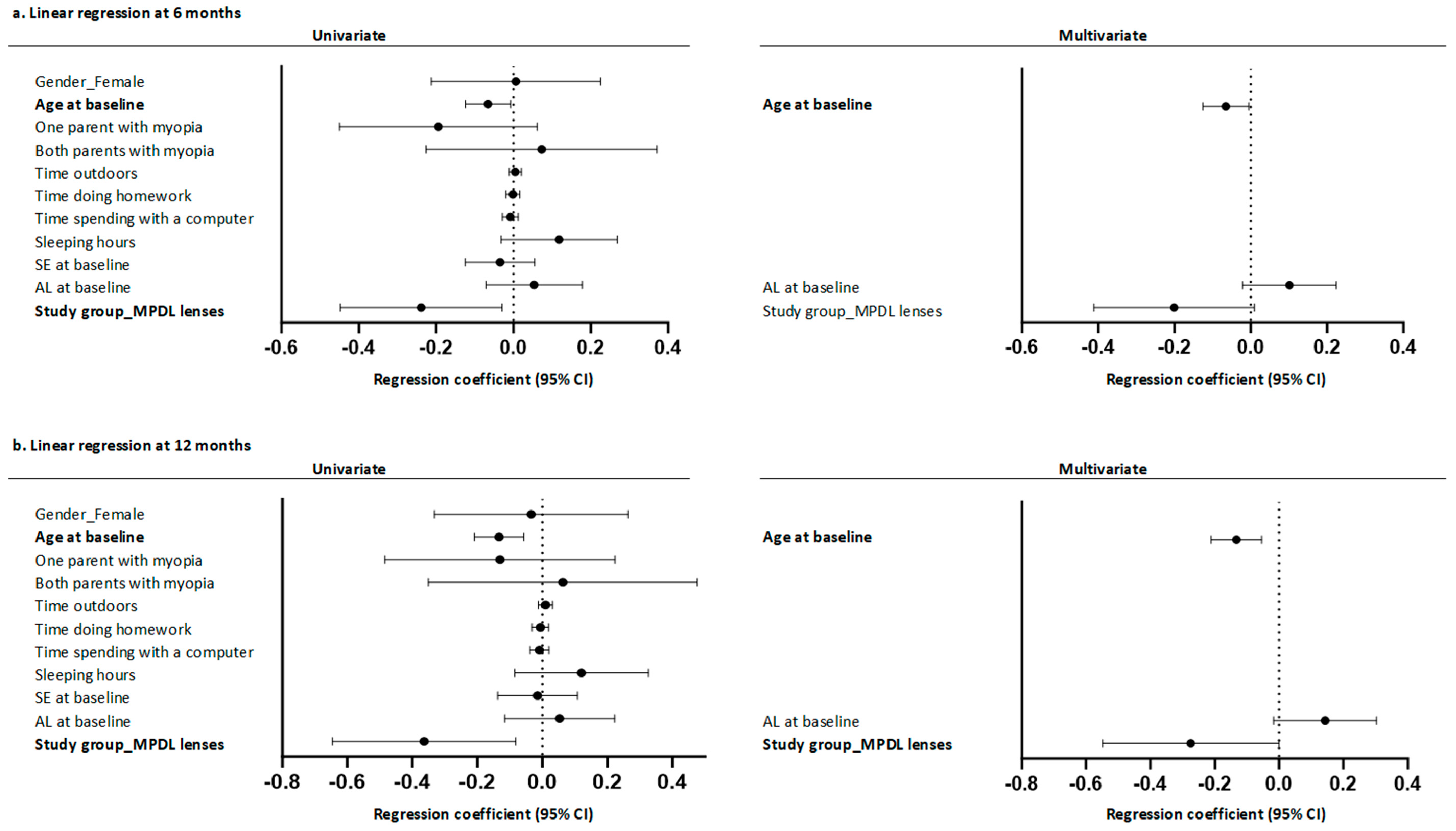
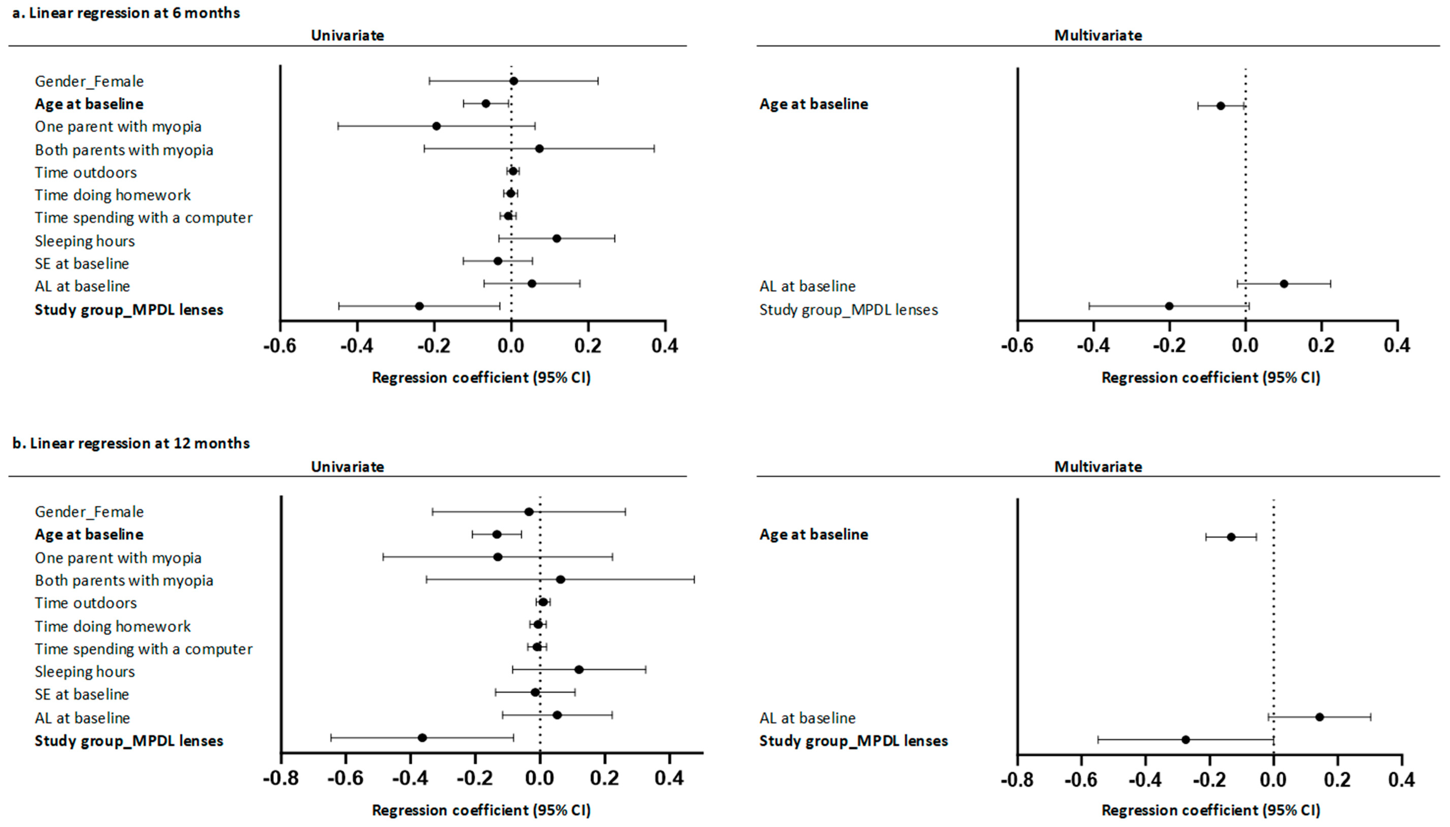
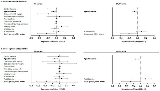
3. Results
4. Discussion
5. Conclusions
Author Contributions
Funding
Institutional Review Board Statement
Informed Consent Statement
Data Availability Statement
Conflicts of Interest
References
- Morgan, I.G.; French, A.N.; Ashby, R.S.; Guo, X.; Ding, X.; He, M.; Rose, K.A. The epidemics of myopia: Aetiology and prevention. Prog. Retin. Eye Res. 2018, 62, 134–149. [Google Scholar] [CrossRef] [PubMed]
- Resnikoff, S.; Jonas, J.B.; Friedman, D.; He, M.; Jong, M.; Nichols, J.J.; Ohno-Matsui, K.; Smith, E.L., III; Wildsoet, C.F.; Taylor, H.R.; et al. Myopia—A 21st Century Public Health Issue. Investig. Ophthalmol. Vis. Sci. 2019, 60, Mi–Mii. [Google Scholar] [CrossRef] [PubMed]
- Holden, B.A.; Fricke, T.R.; Wilson, D.A.; Jong, M.; Naidoo, K.S.; Sankaridurg, P.; Wong, T.Y.; Naduvilath, T.; Resnikoff, S. Global Prevalence of Myopia and High Myopia and Temporal Trends from 2000 through 2050. Ophthalmology 2016, 123, 1036–1042. [Google Scholar] [CrossRef] [PubMed]
- Saw, S.-M.; Matsumura, S.; Hoang, Q.V. Prevention and management of myopia and myopic pathology. Investig. Ophthalmol. Vis. Sci. 2019, 60, 488–499. [Google Scholar] [CrossRef] [PubMed]
- Grzybowski, A.; Kanclerz, P.; Tsubota, K.; Lanca, C.; Saw, S.-M. A review on the epidemiology of myopia in school children worldwide. BMC Ophthalmol. 2020, 20, 27. Available online: https://pubmed.ncbi.nlm.nih.gov/31937276/ (accessed on 20 October 2023). [CrossRef] [PubMed]
- Recko, M.; Stahl, E.D. Childhood myopia: Epidemiology, risk factors, and prevention. Mo. Med. 2015, 112, 116–121. [Google Scholar] [PubMed]
- Xu, L.; Wang, Y.X.; Wang, S.; Jonas, J.B. Definition of high myopia by parapapillary atrophy. The Beijing Eye Study. Acta Ophthalmol. 2010, 88, e350–e351. [Google Scholar] [CrossRef] [PubMed]
- Jonas, J.B.; Jonas, R.A.; Bikbov, M.M.; Wang, Y.X.; Panda-Jonas, S. Myopia: Histology, clinical features, and potential implications for the etiology of axial elongation. Prog. Retin. Eye Res. 2023, 96, 101156. [Google Scholar] [CrossRef]
- Swenor, B.; Varadaraj, V.; Lee, M.J.; Whitson, H.; Ramulu, P. World Health Report on Vision: Aging Implications for Global Vision and Eye Health. Innov. Aging 2020, 4 (Suppl. S1), 807–808. [Google Scholar] [CrossRef]
- Németh, J.; Tapasztó, B.; Aclimandos, W.A.; Kestelyn, P.; Jonas, J.B.; De Faber, J.T.H.; Januleviciene, I.; Grzybowski, A.; Nagy, Z.Z.; Pärssinen, O.; et al. Update and guidance on management of myopia. European Society of Ophthalmology in cooperation with International Myopia Institute. Eur. J. Ophthalmol. 2021, 31, 853–883. [Google Scholar]
- Sankaridurg, P.; Berntsen, D.A.; Bullimore, M.A.; Cho, P.; Flitcroft, I.; Gawne, T.J.; Gifford, K.L.; Jong, M.; Kang, P.; Ostrin, L.A. IMI 2023 Digest. Investig. Ophthalmol. Vis. Sci. 2023, 64, 7. [Google Scholar] [CrossRef]
- Wallman, J.; Winawer, J. Homeostasis of Eye Growth and the Question of Myopia. Neuron 2004, 43, 447–468. [Google Scholar] [CrossRef] [PubMed]
- Arumugam, B.; Hung, L.-F.; To, C.-H.; Holden, B.; Smith, E.L. The Effects of Simultaneous Dual Focus Lenses on Refractive Development in Infant Monkeys. Investig. Opthalmology Vis. Sci. 2014, 55, 7423–7432. [Google Scholar] [CrossRef] [PubMed]
- Benavente-Perez, A.; Nour, A.; Troilo, D. The Effect of Simultaneous Negative and Positive Defocus on Eye Growth and Development of Refractive State in Marmosets. Investig. Opthalmology Vis. Sci. 2012, 53, 6479–6487. [Google Scholar] [CrossRef] [PubMed]
- Ashby, R.; Ohlendorf, A.; Schaeffel, F. The Effect of Ambient Illuminance on the Development of Deprivation Myopia in Chicks. Investig. Opthalmology Vis. Sci. 2009, 50, 5348–5354. [Google Scholar] [CrossRef] [PubMed]
- McFadden, S.A.; Tse, D.Y.; Bowrey, H.E.; Leotta, A.J.; Lam, C.S.; Wildsoet, C.F.; To, C.-H. Integration of Defocus by Dual Power Fresnel Lenses Inhibits Myopia in the Mammalian Eye. Investig. Opthalmology Vis. Sci. 2014, 55, 908–917. [Google Scholar] [CrossRef]
- Lawrenson, J.G.; Shah, R.; Huntjens, B.; E Downie, L.; Virgili, G.; Dhakal, R.; Verkicharla, P.K.; Li, D.; Mavi, S.; Kernohan, A.; et al. Interventions for myopia control in children: A living systematic review and network meta-analysis. Cochrane Database Syst. Rev. 2023, 2023, CD014758. [Google Scholar]
- Sarkar, S.; Khuu, S.; Kang, P. A systematic review and meta-analysis of the efficacy of different optical interventions on the control of myopia in children. Acta Ophthalmol. 2023; early view. [Google Scholar] [CrossRef]
- Ma, J.-X.; Liu, Q.-P.; Tian, S.-W. Effectiveness of peripheral defocus spectacle lenses in myopia control: A Meta-analysis and systematic review. Int. J. Ophthalmol. 2022, 15, 1699–1706. [Google Scholar] [CrossRef]
- Sankaridurg, P.; Donovan, L.; Varnas, S.; Ho, A.; Chen, X.; Martinez, A.; Fisher, S.; Lin, Z.; Smith, E.L.I.; Ge, J.; et al. Spectacle Lenses Designed to Reduce Progression of Myopia: 12-Month Results. Optom. Vis. Sci. 2010, 87, 631–641. [Google Scholar] [CrossRef]
- Tarutta, E.P.; Proskurina, O.V.; Tarasova, N.A.; Milash, S.V.; Markosyan, G.A. Long-term results of perifocal defocus spectacle lens correction in children with progressive myopia. Vestn. Oftalmol. 2019, 135, 46–53. [Google Scholar] [CrossRef]
- Kanda, H.; Oshika, T.; Hiraoka, T.; Hasebe, S.; Ohno-Matsui, K.; Ishiko, S.; Hieda, O.; Torii, H.; Varnas, S.R.; Fujikado, T. Effect of spectacle lenses designed to reduce relative peripheral hyperopia on myopia progression in Japanese children: A 2-year multicenter randomized controlled trial. Jpn. J. Ophthalmol. 2018, 62, 537–543. [Google Scholar] [CrossRef]
- Yuval, C.; Otzem, C.; Laura, B.-S.; Shirel, R.; Dana, G.-N.; Atalia, W.; Noam, B.; Nir, E.; Yair, M. Evaluating the Effect of a Myopia Control Spectacle Lens Among Children in Israel: 12-Month Results. Am. J. Ophthalmol. 2024, 257, 103–112. [Google Scholar] [CrossRef]
- Lam, C.S.Y.; Tang, W.C.; Tse, D.Y.-Y.; Lee, R.P.K.; Chun, R.K.M.; Hasegawa, K.; Qi, H.; Hatanaka, T.; To, C.H. Defocus incorporated multiple segments (DIMS) spectacle lenses slow myopia progression: A 2-year randomised clinical trial. Br. J. Ophthalmol. 2020, 104, 363–368. [Google Scholar] [CrossRef] [PubMed]
- Bao, J.; Yang, A.; Huang, Y.; Li, X.; Pan, Y.; Ding, C.; Lim, E.W.; Zheng, J.; Spiegel, D.P.; Drobe, B.; et al. One-year myopia control efficacy of spectacle lenses with aspherical lenslets. Br. J. Ophthalmol. 2022, 106, 1171–1176. [Google Scholar] [CrossRef]
- Bao, J.; Huang, Y.; Li, X.; Yang, A.; Zhou, F.; Wu, J.; Wang, C.; Li, Y.; Lim, E.W.; Spiegel, D.P.; et al. Spectacle Lenses with Aspherical Lenslets for Myopia Control vs Single-Vision Spectacle Lenses: A Randomized Clinical Trial. JAMA Ophthalmol. 2022, 140, 472–478. [Google Scholar] [CrossRef] [PubMed]
- Liu, X.; Wang, P.; Xie, Z.; Sun, M.; Chen, M.; Wang, J.; Huang, J.; Chen, S.; Chen, Z.; Wang, Y.; et al. One-year myopia control efficacy of cylindrical annular refractive element spectacle lenses. Acta Ophthalmol. 2023, 101, 651–657. [Google Scholar] [CrossRef]
- Rappon, J.; Chung, C.; Young, G.; Hunt, C.; Neitz, J.; Neitz, M.; Chalberg, T. Control of myopia using diffusion optics spectacle lenses: 12-month results of a randomised controlled, efficacy and safety study (CYPRESS). Br. J. Ophthalmol. 2022, 107, 1709–1715. [Google Scholar] [CrossRef]
- Nucci, P.; Lembo, A.; Schiavetti, I.; Shah, R.; Edgar, D.F.; Evans, B.J.W. A comparison of myopia control in European children and adolescents with defocus incorporated multiple segments (DIMS) spectacles, atropine, and combined DIMS/atropine. PLoS ONE 2023, 18, e0281816. [Google Scholar] [CrossRef]
- Lam, C.S.Y.; Tang, W.C.; Zhang, H.Y.; Tse, D.Y.Y.; To, C.H. Myopia control in children wearing DIMS spectacle lens: 6 years results. Investig. Ophthalmol. Vis. Sci. 2022, 63, 4247. [Google Scholar]
- Lam, C.S.Y.; Tang, W.C.; Qi, H.; Radhakrishnan, H.; Hasegawa, K.; To, C.H.; Charman, W.N. Effect of defocus incorporated multiple segments spectacle lens wear on visual function in myopic chinese children. Transl. Vis. Sci. Technol. Transl. Vis. Sci. Technol. 2020, 9, 11. [Google Scholar] [CrossRef]
- Drobe, B.; Xue, L.; Huang, Y.; Lim, E.W.; Bao, J. Spectacle lenses with highly aspherical lenslets for myopia control: 4-year clinical trial results. Investig. Ophthalmol. Vis. Sci. 2023, 64, 4162. [Google Scholar]
- Sankaridurg, P.; Weng, R.; Tran, H.; Spiegel, D.P.; Drobe, B.; Ha, T.; Tran, Y.H.; Naduvilath, T. Spectacle Lenses with Highly Aspherical Lenslets for Slowing Myopia: A Randomized, Double-Blind, Cross-Over Clinical Trial: Parts of these data were presented as a poster at the Annual Research in Vision and Ophthalmology meeting, 2022. Am. J. Ophthalmol. 2023, 247, 18–24. [Google Scholar] [CrossRef] [PubMed]
- Shamp, W.; Brennan, N.A.; Bullimore, M.A.; Cheng, X.; Maynes, E. Influence of Age and Race on Axial Elongation in Myopic Children. Investig. Ophthalmol. Vis. Sci. 2022, 63, 257. [Google Scholar]
- Ruiz-Pomeda, A.; Pérez-Sánchez, B.; Valls, I.; Prieto-Garrido, F.L.; Gutiérrez-Ortega, R.; Villa-Collar, C. MiSight Assessment Study Spain (MASS). A 2-year randomized clinical trial. Graefe’s Arch. Clin. Exp. Ophthalmol. 2018, 256, 1011–1021. [Google Scholar] [CrossRef] [PubMed]
- Tideman, J.W.L.; Polling, J.R.; Vingerling, J.R.; Jaddoe, V.W.V.; Williams, C.; Guggenheim, J.A.; Klaver, C.C.W. Axial length growth and the risk of developing myopia in European children. Acta Ophthalmol. 2018, 96, 301–309. [Google Scholar] [CrossRef] [PubMed]
- Brennan, N.A.; Toubouti, Y.M.; Cheng, X.; Bullimore, M.A. NC-ND license Efficacy in myopia control. Prog. Retin. Eye Res. 2021, 83, 100923. [Google Scholar] [CrossRef]
- Yu, X.; Zhang, B.; Bao, J.; Zhang, J.; Wu, G.; Xu, J.; Zheng, J.; Drobe, B.; Chen, H. Design, methodology, and baseline data of the Personalized Addition Lenses Clinical Trial (PACT). Medicine 2017, 6, e6069. [Google Scholar] [CrossRef] [PubMed]
- Smith, E.L. Optical treatment strategies to slow myopia progression: Effects of the visual extent of the optical treatment zone. Exp. Eye Res. 2013, 114, 77–88. [Google Scholar] [CrossRef]
- Walline, J.J.; Walker, M.K.; Mutti, D.O.; Jones-Jordan, L.A.; Sinnott, L.T.; Giannoni, A.G.; Bickle, K.M.; Schulle, K.L.; Nixon, A.; Pierce, G.E.; et al. Effect of high add power, medium add power, or single-vision contact lenses on myopia progression in children: The BLINK randomized clinical trial. JAMA J. Am. Med. Assoc. 2020, 324, 571–580. [Google Scholar] [CrossRef]
- McCullough, S.; Barr, H.; Fulton, J.; Logan, N.S.; Nagra, M.; Pardhan, S.; Richardson, P.; Saunders, K.; Whayeb, Y.; Williamson, P.; et al. 2-Year Multi-Site Observational Study of MiYOSMART myopia control spectacle lenses in UK children: 1-year results. Investig. Ophthalmol. Vis. Sci. 2023, 64, 4945. [Google Scholar]
- Wolffsohn, J.S.; Whayeb, Y.; Logan, N.S.; Weng, R.; the International Myopia Institute Ambassador Group. IMI—Global Trends in Myopia Management Attitudes and Strategies in Clinical Practice—2022 Update. Investig. Ophthalmol. Vis. Sci. 2023, 64, 6. [Google Scholar] [CrossRef] [PubMed]





| Visit | V0 | V1 | V2 | V3 | |
|---|---|---|---|---|---|
| Consent form signed | X | ||||
| Basic Information | Demographics | X | |||
| History | X | ||||
| Refraction | Subjective Refraction | X | X | X | |
| Cycloplegic autorefraction | X | X | X | ||
| Visual acuity | Uncorrected visual acuity | X | X | X | |
| Best corrected visual acuity | X | X | X | ||
| Eye examination | Keratometry | X | |||
| Slit lamp examination | X | ||||
| Fundus examination | X | ||||
| Intraocular pressure measurement | X | ||||
| Axial length | X | X | X | ||
| Binocular vision | LAG | X | X | X | |
| Accommodation Amplitude | X | X | X | ||
| Phoria (distance and near) | X | X | X | ||
| Spectacle fitting | Frame position and lens condition | X | |||
| Questionnaire | Lifestyle | X | |||
| Wearability | X | X | |||
| Baseline Characteristics * | Total (n = 83) | MPDL (n = 41) | SVL (n = 42) | p-Value ** |
|---|---|---|---|---|
| Age (Median [Q1, Q3]) | 10.81 [9.53–11.92] | 11.7 [9.97–11.98] | 10.49 [8.76–11.32] | 0.022 |
| Gender (n, %) | 0.212 | |||
| Boys | 41.0 (34) | 34.1 (14) | 47.6 (20) | |
| Girls | 59.0 (34) | 65.9 (27) | 52.4 (22) | |
| Initial cycloplegic refraction (Mean ± SD) | −2.32 ± 1.20 | −2.63 ± 1.28 | −2.01 ± 1.03 | 0.018 |
| Initial axial length (Mean ± SD) | 24.07 ± 0.86 | 24.17 ± 0.91 | 23.98 ± 0.82 | 0.329 |
| Myopic parents (%, n) | 0.657 | |||
| 0 | 40.3 (31) | 36.8 (14) | 43.6 (17) | |
| 1 | 37.7 (29) | 36.8 (14) | 38.5 (17) | |
| 2 | 22.1 (17) | 26.3 (10) | 18.0 (7) | |
| Hours/week outdoors (Median [Q1, Q3]) | 6.5 [2.5–10] | 6 [3–10] | 7 [2–10.50] | 0.604 |
| Hours/week doing homework (Median [Q1, Q3]) | 6 [2.5–10] | 6 [2.5–12] | 5.5 [3–10] | 0.697 |
| Computer Hours/Week (Median [Q1, Q3]) | 3 [0.5–8] | 4 [1–7] | 2.25 [0–8] | 0.652 |
| Sleeping hours (Mean ± SD) | 9.58 ± 0.71 | 9.52 ± 0.59 | 9.64 ± 0.82 | 0.461 |
| MPDL (n = 41) | SVL (n = 42) | p-Value | |
|---|---|---|---|
| Initial axial length (Mean ± SD) | 24.17 ± 0.91 | 23.98 ± 0.82 | 0.329 |
| 6-month visit axial length (Mean ± SD) | 24.23 ± 0.93 | 24.10 ± 0.84 | 0.507 |
| 12-month visit axial length (Mean ± SD) | 24.32 ± 0.95 | 24.22 ± 0.85 | 0.610 |
| Axial Length Change at 6 Months | |||
| Absolute axial length change (mm) | 0.06 ± 0.09 | 0.12 ± 0.11 | 0.018 |
| Relative change in axial length (Mean) | 0.27 ± 0.42 | 0.51 ± 0.53 | 0.026 |
| Relative change in axial length (Median [Q1, Q3]) (AL at 6 months—AL at baseline/AL at baseline) × 100 (%) | 0.20 [0.07–0.35] | 0.36 [0.16–0.74] | 0.020 |
| Change in Axial Length at 12 Months | |||
| Absolute axial length change (mm) | 0.14 ± 0.14 | 0.23 ± 0.15 | 0.014 |
| Relative change in axial length (Mean) | 0.61 ± 0.64 | 0.98 ± 0.65 | 0.012 |
| Relative change in axial length (Median [Q1, Q3]) (AL per year—AL at baseline/AL at baseline) × 100 (%) | 0.57 [0.20–0.87] | 0.74 [0.54–1.31] | 0.010 |
Disclaimer/Publisher’s Note: The statements, opinions and data contained in all publications are solely those of the individual author(s) and contributor(s) and not of MDPI and/or the editor(s). MDPI and/or the editor(s) disclaim responsibility for any injury to people or property resulting from any ideas, methods, instructions or products referred to in the content. |
© 2024 by the authors. Licensee MDPI, Basel, Switzerland. This article is an open access article distributed under the terms and conditions of the Creative Commons Attribution (CC BY) license (https://creativecommons.org/licenses/by/4.0/).
Share and Cite
Sánchez-Tena, M.Á.; Cleva, J.M.; Villa-Collar, C.; Álvarez, M.; Ruiz-Pomeda, A.; Martinez-Perez, C.; Andreu-Vazquez, C.; Chamorro, E.; Alvarez-Peregrina, C. Effectiveness of a Spectacle Lens with a Specific Asymmetric Myopic Peripheral Defocus: 12-Month Results in a Spanish Population. Children 2024, 11, 177. https://doi.org/10.3390/children11020177
Sánchez-Tena MÁ, Cleva JM, Villa-Collar C, Álvarez M, Ruiz-Pomeda A, Martinez-Perez C, Andreu-Vazquez C, Chamorro E, Alvarez-Peregrina C. Effectiveness of a Spectacle Lens with a Specific Asymmetric Myopic Peripheral Defocus: 12-Month Results in a Spanish Population. Children. 2024; 11(2):177. https://doi.org/10.3390/children11020177
Chicago/Turabian StyleSánchez-Tena, Miguel Ángel, Jose Miguel Cleva, Cesar Villa-Collar, Marta Álvarez, Alicia Ruiz-Pomeda, Clara Martinez-Perez, Cristina Andreu-Vazquez, Eva Chamorro, and Cristina Alvarez-Peregrina. 2024. "Effectiveness of a Spectacle Lens with a Specific Asymmetric Myopic Peripheral Defocus: 12-Month Results in a Spanish Population" Children 11, no. 2: 177. https://doi.org/10.3390/children11020177
APA StyleSánchez-Tena, M. Á., Cleva, J. M., Villa-Collar, C., Álvarez, M., Ruiz-Pomeda, A., Martinez-Perez, C., Andreu-Vazquez, C., Chamorro, E., & Alvarez-Peregrina, C. (2024). Effectiveness of a Spectacle Lens with a Specific Asymmetric Myopic Peripheral Defocus: 12-Month Results in a Spanish Population. Children, 11(2), 177. https://doi.org/10.3390/children11020177

