Anti-Cancer Potential of Transiently Transfected HER2-Specific Human Mixed CAR-T and NK Cell Populations in Experimental Models: Initial Studies on Fucosylated Chondroitin Sulfate Usage for Safer Treatment
Abstract
:1. Introduction
2. Materials and Methods
- mIGLK GCTCACTGGATGGTGGGAAGA
- mIGHG1 CTGGACAGGGATCCAGAGTTCCA
- PlugOligo adapter -AAGCAGTGGTATCAACGCAGAGTACGGGGG
- M1 AAGCAGTGGTATCAACGCAGAGT
- hCD3z-iA taaatgcttcatcctgtgtctca—for cDNA synthesis
- hCD3z-S1 GGCCTGCTGGATCCCAAACTC
- hCD3z-A1 GTTAGCGAGGGGGCAGGG
- hCD28-iA ctatccagagcagtgatattga for cDNA synthesis
- hCD28-S1 AAGCCCTTTTGGGTGCTGGT
- hCD28-A1 TCGCAGCCTATCGCTCCTGA
- hOX40-S1 AGGGACCAGAGGCTGCC
- hOX40-A1 TCAGATCTTGGCCAGGGTG
- h4-1BB-S1 CTGTTGTTAAACGGGGCAGAAAG
- h4-1BB-A1 CAGTTCACATCCTCCTTCCTTCCTT
- IC1-S1 TATCGCTCCAGAGTGAAGTTCAGCAGGAGCGC
- IC1-A1 CACTCTGGAGCGATAGGCTGCGAAGT
- IC2-S1 ATCGCTCCAGGGACCAGAGGCTGCC
- IC2-A1 TGGTCCCTGGAGCGATAGGCTGCGAA
- IC3-S2 GCCAAGATCAGAGTGAAGTTCAGCAGGAGCG
- IC3-A2 CTTCACTCTGATCTTGGCCAGGGTGGAGT
- CD8tm-S1 ATCTACATCTGGGCGCCCTTGGCCGG
- CD8tm-S2 GACTTGTGGGGTCCTTCTCCTGTCACTGGTTATCACC
- CD8tm-A1 CACAAGTCCCGGCCAAGGGCGCCCAGATGTAGAT
- CD8tm-A2 GGTGATAACCAGTGACAGGAGAAGGACCC
- IC3-S1 CACTGGTTATCACCAAACGGGGCAGAAAGAAA
- IC3-A1 GAACTTCACTCTCAGTTCACATCCTCCTTCTTCTT
- CD3z-EcoRI-A taatGAATTCTTAGCGAGGGGGCAGGGC
- CD28-hinge-S attaGTTAACtcacacatgcccaTTTTGGGTGCTGGTGGTGGTTGG
- CD8-hinge-S attaGTTAACtcacacatgcccaATCTACATCTGGGCGCCCTTGG
- aH2-k-S (start codon underlined) attaagatctATGGATTTTCAAGTGCAGATTTTCAG
- aH2-k-A CGGAGCCGCCCCGTTTTATTTCCAACTTTGTCCC
- GSLinker-BamHI-A TAATGGATCCGCCGCCGGAGCCGCC
- GSLinker-BamHI-S taatggatccggcggcggctccggc
- aH2-h-S cggctccggcATGAAATGCAGCTGGGTCATCttc
- aH2-h-hinge-A TTGTCACAAGATTTGGGCTCGGCTGAGGAGACGGTGACCG
3. Results
3.1. Evaluation of RONC-aH2 Antibody Interaction with Tumor Cells
3.2. Construction of HER2-Specific CARs
3.3. The CAR Construct Expression
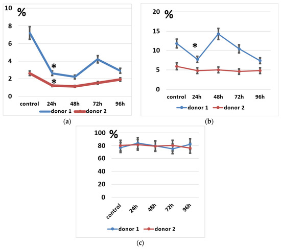
3.4. Electroporation Efficiency and Transfected Gene Expression Stability in Different Lymphocyte Subpopulations
3.5. Cytotoxicity of CD28-OX-40-CAR- and 4-1BB-CAR-T/NK Cells towards Selected Tumor Cell Lines
3.6. In Vivo Activity of the CAR-T/NK Cells in a Murine Model
4. Discussion
5. Patents
Supplementary Materials
Author Contributions
Funding
Institutional Review Board Statement
Informed Consent Statement
Data Availability Statement
Acknowledgments
Conflicts of Interest
References
- Lee, D.W.; Kochenderfer, J.N.; Stetler-Stevenson, M.; Cui, Y.K.; Delbrook, C.; Feldman, S.A.; Fry, T.J.; Orentas, R.; Sabatino, M.; Shah, N.N.; et al. T cells expressing CD19 chimeric antigen receptors for acute lymphoblastic leukemia in children and young adults: A phase 1 dose-escalation trial. Lancet 2015, 385, 517–528. [Google Scholar] [CrossRef]
- Ali, S.; Kjeken, R.; Niederlaender, C.; Markey, G.; Saunders, T.S.; Opsata, M.; Moltu, K.; Bremnes, B.; Grønevik, E.; Muusse, M.; et al. The European Medicines Agency Review of Kymriah (Tisagenlecleucel) for the Treatment of Acute Lymphoblastic Leukemia and Diffuse Large B-Cell Lymphoma. Oncologist 2019, 25, e321–e327. [Google Scholar] [CrossRef]
- Caruso, H.G.; Heimberger, A.B.; Cooper, L.J.N. Steering CAR T cells to distinguish friend from foe. Oncoimmunology 2018, 8, e1271857. [Google Scholar] [CrossRef]
- Mehrabadi, A.Z.; Ranjbar, R.; Farzanehpour, M.; Shahriary, A.; Dorostkar, R.; Hamidinejad, M.A.; Ghaleh, H.E.G. Therapeutic potential of CAR T cell in malignancies: A scoping review. Biomed. Pharmacother. 2022, 146, 112512. [Google Scholar] [CrossRef]
- Iqbal, N.; Iqbal, N. Human epidermal growth factor receptor 2 (HER2) in cancers: Overexpression and therapeutic implications. Mol. Biol. Int. 2014, 2014, 852748. [Google Scholar] [CrossRef]
- Yan, M.; Schwaederle, M.; Arguello, D.; Millis, S.Z.; Gatalica, Z.; Kurzrock, R. HER2 expression status in diverse cancers: Review of results from 37,992 patients. Cancer Metastasis Rev. 2015, 34, 157–164. [Google Scholar] [CrossRef]
- Chua, T.C.; Merrett, N.D. Clinicopathologic factors associated with HER2-positive gastric cancer and its impact on survival outcomes—A systematic review. Int. J. Cancer 2012, 130, 2845–2856. [Google Scholar] [CrossRef]
- Monilola, A.O. Update on HER-2 as a target for cancer therapy: Intracellular signaling pathways of ErbB2/HER-2 and family members. Breast Cancer Res. 2001, 3, 385–389. [Google Scholar] [CrossRef]
- Sarup, J.C.; Johnson, R.M.; King, K.L.; Fendly, B.M.; Lipari, M.T.; Napier, M.A.; Ullrich, A.; Shepard, H.M. Characterization of an anti-p185HER2 monoclonal antibody that stimulates receptor function and inhibits tumor cell growth. Growth Regul. 1991, 1, 72–82. [Google Scholar]
- Cheng, L.S.; Liu, A.P.; Yang, J.H.; Dong, Y.Q.; Li, L.W.; Wang, J.; Wang, C.C.; Liu, J. Construction, expression and characterization of the engineered antibody against tumor surface antigen, p185(c-erbB-2). Cell Res. 2003, 13, 35–48. [Google Scholar] [CrossRef]
- Vu, T.; Claret, F.X. Trastuzumab: Updated mechanisms of action and resistance in breast cancer. Front Oncol. 2012, 2, 62. [Google Scholar] [CrossRef] [PubMed]
- Hu, W.X.; Chen, H.P.; Yu, K.; Shen, L.X.; Wang, C.Y.; Su, S.Z.; Sui, W.J.; Shan, D.M.; Li, H.Z. Gene therapy of malignant solid tumors by targeting erbB2 receptors and by activating T cells. Cancer Biother. Radiopharm. 2012, 27, 711–718. [Google Scholar] [CrossRef] [PubMed]
- Lavaud, P.; Andre, F. Strategies to overcome trastuzumab resistance in HER2-overexpressing breast cancers: Focus on new data from clinical trials. BMC Med. 2014, 12, 132. [Google Scholar] [CrossRef] [PubMed]
- Sun, M.; Shi, H.; Liu, C.; Liu, J.; Liu, X.; Sun, Y. Construction and evaluation of a novel humanized HER2-specific chimeric receptor. Breast Cancer Res. 2014, 16, R61. [Google Scholar] [CrossRef]
- Tóth, G.; Szöllősi, J.; Abken, H.; Vereb, G.; Szöőr, Á. A Small Number of HER2 Redirected CAR T Cells Significantly Improves Immune Response of Adoptively Transferred Mouse Lymphocytes against Human Breast Cancer Xenografts. Int. J. Mol. Sci. 2020, 21, E1039. [Google Scholar] [CrossRef]
- Li, H.; Yuan, W.; Bin, S.; Wu, G.; Li, P.; Liu, M.; Yang, J.; Li, X.; Yang, K.; Gu, H. Overcome trastuzumab resistance of breast cancer using anti-HER2 chimeric antigen receptor T cells and PD1 blockade. Am. J. Cancer Res. 2020, 10, 688–703. [Google Scholar]
- Szöőr, Á.; Tóth, G.; Zsebik, B.; Szabó, V.; Eshhar, Z.; Abken, H.; Vereb, G. Trastuzumab derived HER2-specific CARs for the treatment of trastuzumab-resistant breast cancer: CAR T cells penetrate and eradicate tumors that are not accessible to antibodies. Cancer Lett. 2020, 484, 1–8. [Google Scholar] [CrossRef]
- Morgan, R.A.; Yang, J.C.; Kitano, M.; Dudley, M.E.; Laurencot, C.M.; Rosenberg, S.A. Case Report of a Serious Adverse Event following the Administration of T Cells Transduced with a Chimeric Antigen Receptor Recognizing ERBB2. Mol. Ther. 2010, 18, 843–851. [Google Scholar] [CrossRef]
- Chimeric Antigen Receptor-Modified T Cells for Breast Cancer. Available online: https://clinicaltrials.gov/ct2/show/NCT02547961 (accessed on 13 January 2022).
- A Clinical Research of CAR T Cells Targeting HER2 Positive Cancer. Available online: https://clinicaltrials.gov/ct2/show/NCT02713984 (accessed on 13 January 2022).
- Her2 Chimeric Antigen Receptor Expressing T Cells in Advanced Sarcoma. Available online: https://www.clinicaltrials.gov/ct2/show/NCT00902044?term=CAR&cond=HER2&draw=4&rank=9 (accessed on 11 January 2022).
- Ahmed, N.; Brawley, V.S.; Hegde, M.; Robertson, C.; Ghazi, A.; Gerken, C.; Liu, E.; Dakhova, O.; Ashoori, A.; Corder, A.; et al. Human Epidermal Growth Factor Receptor 2 (HER2)–Specific Chimeric Antigen Receptor–Modified T Cells for the Immunotherapy of HER2-Positive Sarcoma. J. Clin. Oncol. 2015, 33, 1688–1696. [Google Scholar] [CrossRef]
- Hegde, M.; Joseph, S.K.; Pashankar, F.; DeRenzo, C.; Sanber, K.; Navai, S.; Byrd, T.T.; Hicks, J.; Xu, M.L.; Gerken, C.; et al. Tumor response and endogenous immune reactivity after administration of HER2 CAR T cells in a child with metastatic rhabdomyosarcoma. Nat. Commun. 2020, 11, 3549. [Google Scholar] [CrossRef]
- CMV-Specific Cytotoxic T Lymphocytes Expressing CAR Targeting HER2 in Patients with GBM (HERT-GBM). Available online: https://clinicaltrials.gov/ct2/show/NCT01109095?term=CAR&cond=HER2&draw=4&rank=5 (accessed on 13 January 2022).
- Ahmed, N.; Brawley, V.; Hegde, M.; Bielamowicz, K.; Wakefield, A.; Ghazi, A.; Ashoori, A.; Diouf, O.; Gerken, C.; Landi, D.; et al. Autologous HER2 CMV bispecific CAR T cells are safe and demonstrate clinical benefit for glioblastoma in a Phase I trial. J. Immunother. Cancer 2015, 3, O11. [Google Scholar] [CrossRef]
- Intracranial Injection of NK-92/5.28.z Cells in Patients with Recurrent HER2-Positive Glioblastoma (CAR2BRAIN). Available online: https://www.clinicaltrials.gov/ct2/show/NCT03383978?term=CAR&cond=HER2&draw=2&rank=8 (accessed on 13 January 2022).
- Nowakowska, P.; Romanski, A.; Miller, N.; Odendahl, M.; Bonig, H.; Zhang, C.; Seifried, E.; Wels, W.S.; Tonn, T. Clinical grade manufacturing of genetically modified, CAR-expressing NK-92 cells for the treatment of ErbB2-positive malignancies. Cancer Immunol. Immunother. 2018, 67, 25–38. [Google Scholar] [CrossRef] [PubMed]
- CAR-Macrophages for the Treatment of HER2 Overexpressing Solid Tumors. Available online: https://clinicaltrials.gov/ct2/show/NCT04660929?term=CAR&cond=HER2-positive+cancer&draw=3&rank=11 (accessed on 17 January 2022).
- HER2-Specific CAR T Cell Locoregional Immunotherapy for HER2-Positive Recurrent/Refractory Pediatric CNS Tumors. Available online: https://www.clinicaltrials.gov/ct2/show/NCT03500991?term=CAR&cond=HER2&draw=2&rank=1 (accessed on 17 January 2022).
- HER2/Mesothelin/Lewis-Y/PSCA/MUC1/GPC3/AXL/EGFR/B7-H3/Claudin18.2-CAR-T Cells Immunotherapy against Cancers. Available online: https://www.clinicaltrials.gov/ct2/show/NCT03198052?term=CAR&cond=HER2&draw=2&rank=3 (accessed on 18 January 2022).
- HER2 Chimeric Antigen Receptor (CAR) T Cells in Combination with Checkpoint Blockade in Patients with Advanced Sarcoma. Available online: https://clinicaltrials.gov/ct2/show/NCT04995003?term=CAR&cond=HER2&draw=2&rank=1 (accessed on 17 January 2022).
- Binary Oncolytic Adenovirus in Combination with HER2-Specific Autologous CAR VST, Advanced HER2 Positive Solid Tumors (VISTA). Available online: https://www.clinicaltrials.gov/ct2/show/NCT03740256?term=CAR&cond=HER2&draw=2&rank=7 (accessed on 17 January 2022).
- Her2 and TGFBeta Cytotoxic T Cells in Treatment of Her2 Positive Malignancy (HERCREEM). Available online: https://www.clinicaltrials.gov/ct2/show/NCT00889954?term=CAR&cond=HER2&draw=5&rank=11 (accessed on 11 June 2021).
- Liu, X.; Zhang, N.; Shi, H. Driving better and safer HER2-specific CARs for cancer therapy. Oncotarget 2017, 8, 62730–62741. [Google Scholar] [CrossRef] [PubMed]
- Safety and Activity Study of HER2-Targeted Dual Switch CAR-T Cells (BPX-603) in Subjects with HER2-Positive Solid Tumors. Available online: https://clinicaltrials.gov/ct2/show/NCT04650451?term=CAR&cond=HER2&draw=2&rank=2 (accessed on 17 January 2022).
- Duong, M.T.; Collinson-Pautz, M.R.; Morschl, E.; Lu, A.; Szymanski, S.P.; Zhang, M.; Brandt, M.E.; Chang, W.C.; Sharp, K.L.; Toler, S.M.; et al. Two-Dimensional Regulation of CAR-T Cell Therapy with Orthogonal Switches. Mol. Ther. Oncolytics 2018, 12, 124–137. [Google Scholar] [CrossRef] [PubMed]
- Hardee, C.L.; Arévalo-Soliz, L.M.; Hornstein, B.D.; Zechiedrich, L. Advances in Non-Viral DNA Vectors for Advances in Non-Viral DNA Vectors for Gene Therapy. Genes 2017, 8, 65. [Google Scholar] [CrossRef]
- Milone, M.C.; O’Doherty, U. Clinical use of lentiviral vectors. Leukemia 2018, 32, 1529–1541. [Google Scholar] [CrossRef]
- Wolf, B.; Zimmermann, S.; Arber, C.; Irving, M.; Trueb, L.; Coukos, G. Safety and Tolerability of Adoptive Cell Therapy in Cancer. Drug Saf. 2019, 42, 315–334. [Google Scholar] [CrossRef]
- Adkins, S. CAR T-Cell Therapy: Adverse Events and Management. J. Adv. Pract. Oncol. 2019, 10 (Suppl. S3), 21–28. [Google Scholar] [CrossRef]
- Fried, S.; Avigdor, A.; Bielorai, B.; Meir, A.; Besser, M.J.; Schachter, J.; Shimoni, A.; Nagler, A.; Toren, A.; Jacoby, E. Early and late hematologic toxicity following CD19 CAR-T cells. Bone Marrow Transpl. 2019, 54, 1643–1650. [Google Scholar] [CrossRef]
- Anisimova, N.; Ustyuzhanina, N.; Bilan, M.; Donenko, F.; Usov, A.; Kiselevskiy, M.; Nifantiev, N. Fucoidan and Fucosylated Chondroitin Sulfate Stimulate Hematopoiesis in Cyclophosphamide-Induced Mice. Mar. Drugs 2017, 15, 301. [Google Scholar] [CrossRef]
- Anisimova, N.Y.; Ustyuzhanina, N.E.; Bilan, M.I.; Donenko, F.V.; Ushakova, N.A.; Usov, A.I.; Kiselevskiy, M.V.; Nifantiev, N.E. Influence of Modified Fucoidan and Related Sulfated Oligosaccharides on Hematopoiesis in Cyclophosphamide-Induced Mice. Mar. Drugs 2018, 16, 333. [Google Scholar] [CrossRef] [PubMed]
- Kiselevskiy, M.V.; Anisimova, N.Y.; Ustyuzhanina, N.E.; Vinnitskiy, D.Z.; Tokatly, A.I.; Reshetnikova, V.V.; Chikileva, I.O.; Shubina, I.Z.; Kirgizov, K.I.; Nifantiev, N.E. Perspectives for the Use of Fucoidans in Clinical Oncology. Int. J. Mol. Sci. 2022, 23, 11821. [Google Scholar] [CrossRef] [PubMed]
- Ustyuzhanina, N.E.; Anisimova, N.Y.; Bilan, M.I.; Donenko, F.V.; Morozevich, G.E.; Yashunskiy, D.V.; Usov, A.I.; Siminyan, N.G.; Kirgisov, K.I.; Varfolomeeva, S.R.; et al. Chondroitin Sulfate and Fucosylated Chondroitin Sulfate as Stimulators of Hematopoiesis in Cyclophosphamide-Induced Mice. Pharmaceuticals 2021, 14, 1074. [Google Scholar] [CrossRef]
- Li, C.; Niu, Q.; Li, S.; Zhang, X.; Liu, C.; Cai, C.; Li, G.; Yu, G. Fucoidan from sea cucumber Holothuria polii: Structural elucidation and stimulation of hematopoietic activity. Int. J. Biol. Macromol. 2020, 154, 1123–1131. [Google Scholar] [CrossRef] [PubMed]
- Mikhailova, I.N.; Baryshnikov AYu Morozova, L.F.; Burova, O.S.; Shubina, I.Z.; Kovalevsky, D.A.; Voronina, E.S.; Treshalina, H.M.; Lushnikova, A.A.; Tsyganova, I.V.; Mazurenko, N.N. Human Skin Melanoma Cell Lines Collection, 2016. Management of Malignant Melanoma|www.smgebooks.com. Available online: https://smjournals.com/ebooks/management-of-malignant-melanoma/chapters/MMM-16-06.pdf (accessed on 30 June 2021).
- Ustyuzhanina, N.E.; Bilan, M.I.; Dmitrenok, A.S.; Shashkov, A.S.; Kusaykin, M.I.; Stonik, V.A.; Nifantiev, N.E.; Usov, A.I. Structure and biological activity of a fucosylated chondroitin sulfate from the sea cucumber Cucumaria japonica. Glycobiology 2016, 26, 449–459. [Google Scholar] [CrossRef]
- UniProtKB—A0A0G2JFU6 (A0A0G2JFU6_MOUSE). Available online: https://www.uniprot.org/uniprot/A0A0G2JFU6 (accessed on 28 June 2021).
- Dhar, P.; Wu, J.D. NKG2D and its ligands in cancer. Curr. Opin. Immunol. 2018, 51, 55–61. [Google Scholar] [CrossRef]
- Ma, J.; Han, H.; Liu, D.; Li, W.; Feng, H.; Xue, X.; Wu, X.; Niu, G.; Zhang, G.; Zhao, Y.; et al. HER2 as a promising target for cytotoxicity T cells in human melanoma therapy. PLoS ONE 2013, 8, e73261. [Google Scholar] [CrossRef]
- Strobel, S.B.; Machiraju, D.; Hülsmeyer, I.; Becker, J.C.; Paschen, A.; Jäger, D.; Wels, W.S.; Bachmann, M.; Hassel, J.C. Expression of Potential Targets for Cell-Based Therapies on Melanoma Cells. Life 2021, 11, 269. [Google Scholar] [CrossRef]
- Forsberg, E.M.V.; Lindberg, M.F.; Jespersen, H.; Alsén, S.; Bagge, R.O.; Donia, M.; Svane, I.M.; Nilsson, O.; Ny, L.; Nilsson, L.M.; et al. HER2 CAR-T Cells Eradicate Uveal Melanoma and T-cell Therapy-Resistant Human Melanoma in IL2 Transgenic NOD/SCID IL2 Receptor Knockout Mice. Cancer Res. 2019, 79, 899–904. [Google Scholar] [CrossRef]
- Maus, M.V.; Grupp, S.A.; Porter, D.L.; June, C.H. Antibody-modified T cells: CARs take the front seat for hematologic malignancies. Blood 2014, 123, 2625–2635. [Google Scholar] [CrossRef]
- Pule, M.A.; Savoldo, B.; Myers, G.D.; Rossig, C.; Russell, H.V.; Dotti, G.; Huls, M.H.; Liu, E.; Gee, A.P.; Mei, Z.; et al. Virus-specific T cells engineered to coexpress tumor-specific receptors: Persistence and antitumor activity in individuals with neuroblastoma. Nat. Med. 2008, 14, 1264–1270. [Google Scholar] [CrossRef]
- Loskog, A.; Giandomenico, V.; Rossig, C.; Pule, M.; Dotti, G.; Brenner, M.K. Addition of the CD28 signaling domain to chimeric T-cell receptors enhances chimeric T-cell resistance to T regulatory cells. Leukemia 2006, 20, 1819–1828. [Google Scholar] [CrossRef] [PubMed]
- Hombach, A.A.; Abken, H. Costimulation by chimeric antigen receptors revisited the T cell antitumor response benefits from combined CD28–OX40 signalling. Int. J. Cancer 2011, 129, 2935–2944. [Google Scholar] [CrossRef] [PubMed]
- Finney, H.M.; Akbar, A.N.; Lawson, A.D. Activation of resting human primary T cells with chimeric receptors: Costimulation from CD28, inducible costimulator, CD134, and CD137 in series with signals from the TCRζ chain. J. Immunol. 2004, 172, 104–113. [Google Scholar] [CrossRef] [PubMed]
- Chicaybam, L.; Sodre, A.L.; Curzio, B.A.; Bonamino, M.H. An Efficient Low Cost Method for Gene Transfer to T Lymphocytes. PLoS ONE 2013, 8, e60298. [Google Scholar] [CrossRef]
- Ingegnere, T.; Mariotti, F.R.; Pelosi, A.; Quintarelli, C.; De Angelis, B.; Tumino, N.; Besi, F.; Cantoni, C.; Locatelli, F.; Vacca, P.; et al. Human CAR NK Cells: A New Non-viral Method Allowing High Efficient Transfection and Strong Tumor Cell Killing. Front. Immunol. 2019, 10, 957. [Google Scholar] [CrossRef]
- Carlsten, M.; Childs, R.W. Genetic manipulations of NK cells for cancer immunotherapy. Front. Immunol. 2015, 6, 266. [Google Scholar] [CrossRef]
- Simonetta, F.; Alvarez, M.; Negrin, R.S. Natural Killer Cells in Graft-versus-Host-Disease after Allogeneic Hematopoietic Cell Transplantation. Front. Immunol. 2017, 8, 465. [Google Scholar] [CrossRef]
- Mehta, R.S.; Rezvani, K. Chimeric Antigen Receptor Expressing Natural Killer Cells for the Immunotherapy of Cancer. Front. Immunol. 2018, 9, 283. [Google Scholar] [CrossRef]
- Rezvani, K.; Rouce, R.; Liu, E.; Shpall, E. Engineering Natural Killer Cells for Cancer Immunotherapy. Mol. Ther. 2017, 25, 1769–1781. [Google Scholar] [CrossRef]
- Sutlu, T.; Nyström, S.; Gilljam, M.; Stellan, B.; Applequist, S.E.; Alici, E. Inhibition of intracellular antiviral defense mechanisms augments lentiviral transduction of human natural killer cells: Implications for gene therapy. Hum. Gene Ther. 2012, 23, 1090–1100. [Google Scholar] [CrossRef] [PubMed]
- Naeimi Kararoudi, M.; Dolatshad, H.; Trikha, P.; Hussain, S.A.; Elmas, E.; Foltz, J.A.; Moseman, J.E.; Thakkar, A.; Nakkula, R.J.; Lamb, M.; et al. Generation of Knock-out Primary and Expanded Human NK Cells Using Cas9 Ribonucleoproteins. J. Vis. Exp. 2018, 136, 58237. [Google Scholar] [CrossRef]
- Heipertz, E.L.; Zynda, E.R.; Stav-Noraas, T.E.; Hungler, A.D.; Boucher, S.E.; Kaur, N.; Vemuri, M.C. Current Perspectives on “Off-The-Shelf” Allogeneic NK and CAR-NK Cell Therapies. Front. Immunol. 2021, 12, 732135. [Google Scholar] [CrossRef]
- Goryacheva, N.A.; Rzhevskii, D.I.; Slashcheva, G.A.; Novikova, N.I.; Murashev, A.N.; Bondarenko, D.A.; Kiselevskii, M.V.; Chikileva, I.O.; Vlasenko, R.Y. Toxicity and Local Irritation Action of the Biomedical Cell Product Anti-HER2-CAR-T-NK upon Multiply Repeated Administration. Pharm. Chem. J. 2022, 55, 1276–1281. [Google Scholar] [CrossRef]
- Ershov, A.V.; Demyanov, G.V.; Nasrullaeva, D.A.; Radkevich, E.R.; Dolgikh, V.T.; Sidorova, N.V.; Valiev, T.T.; Efimova, M.M.; Machneva, E.B.; Kirgizov, K.I.; et al. The latest trends in improving CAR-T cell therapy: From leukemia to solid malignant tumors. Russ. J. Pediatr. Hematol. Oncol. 2021, 8, 84–95. [Google Scholar] [CrossRef]
- Bremm, M.; Pfeffermann, L.M.; Cappel, C.; Katzki, V.; Erben, S.; Betz, S.; Quaiser, A.; Merker, M.; Bonig, H.; Schmidt, M.; et al. Improving Clinical Manufacturing of IL-15 Activated Cytokine-Induced Killer (CIK) Cells. Front. Immunol. 2019, 10, 1218. [Google Scholar] [CrossRef] [PubMed]
- Wu, X.; Sharma, A.; Oldenburg, J.; Weiher, H.; Essler, M.; Skowasch, D.; Schmidt-Wolf, I.G.H. NKG2D Engagement Alone Is Sufficient to Activate Cytokine-Induced Killer Cells While 2B4 Only Provides Limited Coactivation. Front. Immunol. 2021, 12, 731767. [Google Scholar] [CrossRef] [PubMed]
- Dehno, M.N.; Li, Y.; Weiher, H. Schmidt-Wolf IGH. Increase in Efficacy of Checkpoint Inhibition by Cytokine-Induced-Killer Cells as a Combination Immunotherapy for Renal Cancer. Int. J. Mol. Sci. 2020, 21, 3078. [Google Scholar] [CrossRef]












| Cell Line | Relative Interaction |
|---|---|
| SKBR3 | +++ |
| MCF7 | ++ |
| SKOV3 | +++ |
| MTP | + |
| HELA | - |
| K562 | - |
Disclaimer/Publisher’s Note: The statements, opinions and data contained in all publications are solely those of the individual author(s) and contributor(s) and not of MDPI and/or the editor(s). MDPI and/or the editor(s) disclaim responsibility for any injury to people or property resulting from any ideas, methods, instructions or products referred to in the content. |
© 2023 by the authors. Licensee MDPI, Basel, Switzerland. This article is an open access article distributed under the terms and conditions of the Creative Commons Attribution (CC BY) license (https://creativecommons.org/licenses/by/4.0/).
Share and Cite
Chikileva, I.O.; Bruter, A.V.; Persiyantseva, N.A.; Zamkova, M.A.; Vlasenko, R.Y.; Dolzhikova, Y.I.; Shubina, I.Z.; Donenko, F.V.; Lebedinskaya, O.V.; Sokolova, D.V.; et al. Anti-Cancer Potential of Transiently Transfected HER2-Specific Human Mixed CAR-T and NK Cell Populations in Experimental Models: Initial Studies on Fucosylated Chondroitin Sulfate Usage for Safer Treatment. Biomedicines 2023, 11, 2563. https://doi.org/10.3390/biomedicines11092563
Chikileva IO, Bruter AV, Persiyantseva NA, Zamkova MA, Vlasenko RY, Dolzhikova YI, Shubina IZ, Donenko FV, Lebedinskaya OV, Sokolova DV, et al. Anti-Cancer Potential of Transiently Transfected HER2-Specific Human Mixed CAR-T and NK Cell Populations in Experimental Models: Initial Studies on Fucosylated Chondroitin Sulfate Usage for Safer Treatment. Biomedicines. 2023; 11(9):2563. https://doi.org/10.3390/biomedicines11092563
Chicago/Turabian StyleChikileva, Irina O., Alexandra V. Bruter, Nadezhda A. Persiyantseva, Maria A. Zamkova, Raimonda Ya. Vlasenko, Yuliya I. Dolzhikova, Irina Zh. Shubina, Fedor V. Donenko, Olga V. Lebedinskaya, Darina V. Sokolova, and et al. 2023. "Anti-Cancer Potential of Transiently Transfected HER2-Specific Human Mixed CAR-T and NK Cell Populations in Experimental Models: Initial Studies on Fucosylated Chondroitin Sulfate Usage for Safer Treatment" Biomedicines 11, no. 9: 2563. https://doi.org/10.3390/biomedicines11092563
APA StyleChikileva, I. O., Bruter, A. V., Persiyantseva, N. A., Zamkova, M. A., Vlasenko, R. Y., Dolzhikova, Y. I., Shubina, I. Z., Donenko, F. V., Lebedinskaya, O. V., Sokolova, D. V., Pokrovsky, V. S., Fedorova, P. O., Ustyuzhanina, N. E., Anisimova, N. Y., Nifantiev, N. E., & Kiselevskiy, M. V. (2023). Anti-Cancer Potential of Transiently Transfected HER2-Specific Human Mixed CAR-T and NK Cell Populations in Experimental Models: Initial Studies on Fucosylated Chondroitin Sulfate Usage for Safer Treatment. Biomedicines, 11(9), 2563. https://doi.org/10.3390/biomedicines11092563

