Resolution of Glycerol, Ethanol and Methanol Employing a Voltammetric Electronic Tongue
Abstract
1. Introduction
2. Materials and Methods
2.1. Chemicals and Reagents
2.2. Apparatus and Measurements
2.3. Electrodes Preparation
2.3.1. Graphene Synthesis
2.3.2. Copper NPs Synthesis
2.3.3. Preparation of GECs
2.3.4. Preparation of Modified GECs
2.4. Characterization by Scanning Electron Microscopy
2.5. Samples Preparation
2.6. Data Processing
3. Results and Discussion
3.1. Characterization of GEC/Metal NPs-Modified Electrodes
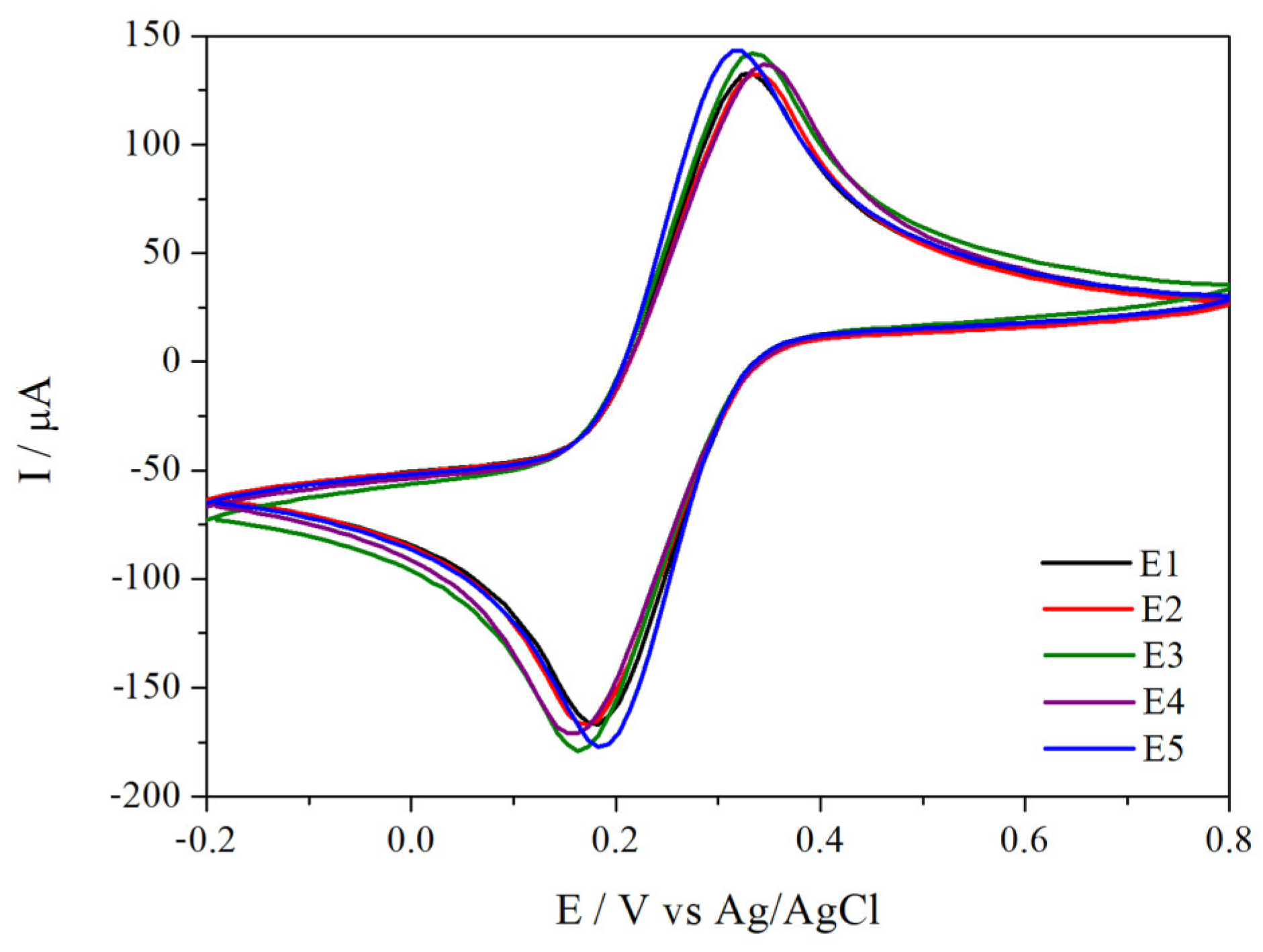
3.2. Voltammetric Responses of the Electrodes
3.3. ANN Model
4. Conclusions
Supplementary Materials
Author Contributions
Funding
Institutional Review Board Statement
Informed Consent Statement
Data Availability Statement
Conflicts of Interest
References
- Mumtaz, M.W.; Adnan, A.; Mukhtar, H.; Rashid, U.; Danish, M. Biodiesel production through chemical and biochemical transesterification: Trends, technicalities, and future perspectives. In Clean Energy for Sustainable Development; Rasul, M.G., Azad, A.K., Sharma, S.C., Eds.; Academic Press: London, UK, 2017; pp. 465–485. [Google Scholar]
- Babadi, A.A.; Rahmati, S.; Fakhlaei, R.; Barati, B.; Wang, S.; Doherty, W.; Ostrikov, K. Emerging technologies for biodiesel production: Processes, challenges, and opportunities. Biomass Bioenerg. 2022, 163, 106521. [Google Scholar] [CrossRef]
- Ruschel, C.F.C.; Ferrão, M.F.; Santos, F.P.D.; Samios, D. Otimização do processo de transesterificação em duas etapas para produção de biodiesel através do planejamento experimental Doehlert. Quim. Nova 2016, 39, 267–272. [Google Scholar]
- Veljković, V.B.; Banković-Ilić, I.B.; Stamenković, O.S. Purification of crude biodiesel obtained by heterogeneously-catalyzed transesterification. Renew. Sustain. Energ. Rev. 2015, 49, 500–516. [Google Scholar] [CrossRef]
- Sheldon, R.A. Green and sustainable manufacture of chemicals from biomass: State of the art. Green Chem. 2014, 16, 950–963. [Google Scholar] [CrossRef]
- Stojković, I.J.; Stamenković, O.S.; Povrenović, D.S.; Veljković, V.B. Purification technologies for crude biodiesel obtained by alkali-catalyzed transesterification. Renew. Sustain. Energ. Rev. 2014, 32, 1–15. [Google Scholar] [CrossRef]
- Jaganjac, M.; Prah, I.O.; Cipak, A.; Cindric, M.; Mrakovcic, L.; Tatzber, F.; Ilincic, P.; Rukavina, V.; Spehar, B.; Vukovic, J.P.; et al. Effects of bioreactive acrolein from automotive exhaust gases on human cells in vitro. Environ. Toxicol. 2012, 27, 644–652. [Google Scholar] [CrossRef]
- Heiden, R.W.; Schober, S.; Mittelbach, M. Solubility limitations of residual steryl glucosides, saturated monoglycerides and glycerol in commercial biodiesel fuels as determinants of filter blockages. J. Am. Oil Chem. 2021, 98, 1143–1165. [Google Scholar] [CrossRef]
- Maduraiveeran, G.; Sasidharan, M.; Ganesan, V. Electrochemical sensor and biosensor platforms based on advanced nanomaterials for biological and biomedical applications. Biosens. Bioelec. 2018, 103, 113–129. [Google Scholar] [CrossRef] [PubMed]
- Brainina, K.; Stozhko, N.; Bukharinova, M.; Vikulova, E. Nanomaterials: Electrochemical properties and application in sensors. Phys. Sci. Rev. 2018, 3, 20188050. [Google Scholar]
- Baranwal, J.; Barse, B.; Gatto, G.; Broncova, G.; Kumar, A. Electrochemical sensors and their applications: A review. Chemosensors 2022, 10, 363. [Google Scholar] [CrossRef]
- Ferrag, C.; Kerman, K. Grand challenges in nanomaterial-based electrochemical sensors. Front. Sens. 2020, 1, 583822. [Google Scholar] [CrossRef]
- Squissato, A.L.; Almeida, E.S.; Silva, S.G.; Richter, E.M.; Batista, A.D.; Munoz, R.A.A. Screen-printed electrodes for quality control of liquid (bio)fuels. TrAC-Trend. Anal. Chem. 2018, 108, 210–220. [Google Scholar] [CrossRef]
- Arévalo, F.J.; Osuna-Sánchez, Y.; Sandoval-Cortés, J.; Di Tocco, A.; Granero, A.M.; Robledo, S.N.; Zon, M.A.; Vettorazzi, N.R.; Martínez, J.L.; Segura, E.P.; et al. Development of an electrochemical sensor for the determination of glycerol based on glassy carbon electrodes modified with a copper oxide nanoparticles/multiwalled carbon nanotubes/pectin composite. Sensor Actuat. B-Chem. 2017, 244, 949–957. [Google Scholar] [CrossRef]
- Honório, G.G.; da Cunha, J.N.; dos Santos Castro Assis, K.L.; de Aguiar, P.F.; de Andrade, D.F.; de Souza, C.G.; d’Avila, L.A.; Archanjo, B.S.; Achete, C.A.; Pradelle, R.N.C.; et al. Free glycerol determination in biodiesel samples using palladium nanoparticles modified glassy carbon electrode associated with solid phase extraction. J. Solid State Electr. 2019, 23, 3057–3066. [Google Scholar] [CrossRef]
- Paiva, V.M.; Assis, K.L.d.S.C.; Archanjo, B.S.; Ferreira, D.R.; Senna, C.A.; Ribeiro, E.S.; Achete, C.A.; D’Elia, E. Electrochemical analysis of free glycerol in biodiesel using reduced graphene oxide and gold/palladium core-shell nanoparticles modified glassy carbon electrode. Processes 2021, 9, 1389. [Google Scholar] [CrossRef]
- Assis, K.L.d.S.C.; Archanjo, B.S.; Achete, C.A.; D’Elia, E. A new sensor based on reduced graphene oxide/Au nanoparticles for glycerol detection. Mater. Res. 2020, 23, e20190513. [Google Scholar] [CrossRef]
- Ravipati, M.; Badhulika, S. Nanoporous copper–metal organic framework microneedles on nickel foam as a bifunctional electrocatalyst for glycerol fuel cell and electrochemical glycerol detection in biodiesel. ACS Appl. Nano Mater. 2024, 7, 7277–7288. [Google Scholar] [CrossRef]
- Cetó, X.; Voelcker, N.H.; Prieto-Simón, B. Bioelectronic tongues: New trends and applications in water and food analysis. Biosens. Bioelec. 2016, 79, 608–626. [Google Scholar] [CrossRef]
- Ciosek, P.; Wroblewski, W. Sensor arrays for liquid sensing-electronic tongue systems. Analyst 2007, 132, 963–978. [Google Scholar] [CrossRef]
- Cetó, X.; del Valle, M. Electronic tongue applications for wastewater and soil analysis. iScience 2022, 25, 104304. [Google Scholar] [CrossRef]
- Vijayan, A.; Prakash, J. Emerging analytical methods for quantitative determination of biofuel-petroleum blend composition. Anal. Lett. 2024, 1–18. [Google Scholar] [CrossRef]
- Mazivila, S.J. Trends of non-destructive analytical methods for identification of biodiesel feedstock in diesel-biodiesel blend according to european commission directive 2012/0288/EC and detecting diesel-biodiesel blend adulteration: A brief review. Talanta 2018, 180, 239–247. [Google Scholar] [CrossRef] [PubMed]
- Moro, M.K.; dos Santos, F.D.; Folli, G.S.; Romão, W.; Filgueiras, P.R. A review of chemometrics models to predict crude oil properties from nuclear magnetic resonance and infrared spectroscopy. Fuel 2021, 303, 121283. [Google Scholar] [CrossRef]
- de Sá, A.C.; Cipri, A.; González-Calabuig, A.; Stradiotto, N.R.; del Valle, M. Resolution of galactose, glucose, xylose and mannose in sugarcane bagasse employing a voltammetric electronic tongue formed by metals oxy-hydroxide/MWCNT modified electrodes. Sensor Actuat. B-Chem. 2016, 222, 645–653. [Google Scholar] [CrossRef]
- Hummers, W.S., Jr.; Offeman, R.E. Preparation of graphitic oxide. J. Am. Chem. Soc. 1958, 80, 1339. [Google Scholar] [CrossRef]
- Aceta, Y.; del Valle, M. Graphene electrode platform for impedimetric aptasensing. Electrochim. Acta 2017, 229, 458–466. [Google Scholar] [CrossRef]
- Ma, X.-H.; Jia, W.; Wang, J.; Zhou, J.-H.; Wu, Y.-D.; Wei, Y.-Y.; Zi, Z.-F.; Dai, J.-M. Synthesis of copper hexacyanoferrate nanoflake as a cathode for sodium-ion batteries. Ceram. Int. 2019, 45, 740–746. [Google Scholar] [CrossRef]
- Olivé-Monllau, R.; Baeza, M.; Bartrolí, J.; Céspedes, F. Novel amperometric sensor based on rigid near-percolation composite. Electroanalysis 2009, 21, 931–938. [Google Scholar] [CrossRef]
- de Oliveira, J.P.J.; de Sá, A.C.; Sousa, M.S.P.; Hiranobe, C.T.; Paim, L.L. A facile controlled-synthesis method of nanoparticles of nickel oxide/hydroxide anchored in graphite/rgo for alcohol oxidation. ECS J. Solid State Sci. Technol. 2021, 10, 011001. [Google Scholar] [CrossRef]
- Schneider, C.A.; Rasband, W.S.; Eliceiri, K.W. NihIMAGE to IMAGEJ: 25 years of image analysis. Nat. Methods 2012, 9, 671–675. [Google Scholar] [CrossRef]
- Cetó, X.; Céspedes, F.; del Valle, M. Comparison of methods for the processing of voltammetric electronic tongues data. Microchim. Acta 2013, 180, 319–330. [Google Scholar] [CrossRef]
- Richards, E.; Bessant, C.; Saini, S. Optimisation of a neural network model for calibration of voltammetric data. Chemometr. Intell. Lab. 2002, 61, 35–49. [Google Scholar] [CrossRef]
- Dantas, L.M.F.; De Souza, A.P.R.; Castro, P.S.; Paixão, T.R.L.C.; Bertotti, M. SECM studies on the electrocatalytic oxidation of glycerol at copper electrodes in alkaline medium. Electroanalysis 2012, 24, 1778–1782. [Google Scholar] [CrossRef]
- Ganesh, V.; Latha Maheswari, D.; Berchmans, S. Electrochemical behaviour of metal hexacyanoferrate converted to metal hydroxide films immobilized on indium tin oxide electrodes—Catalytic ability towards alcohol oxidation in alkaline medium. Electrochim. Acta 2011, 56, 1197–1207. [Google Scholar] [CrossRef]
- Heli, H.; Jafarian, M.; Mahjani, M.G.; Gobal, F. Electro-oxidation of methanol on copper in alkaline solution. Electrochim. Acta 2004, 49, 4999–5006. [Google Scholar] [CrossRef]
- Shabnam, L.; Faisal, S.N.; Roy, A.K.; Gomes, V.G. Nickel-nanoparticles on doped graphene: A highly active electrocatalyst for alcohol and carbohydrate electrooxidation for energy production. ChemElectroChem 2018, 5, 3799–3808. [Google Scholar] [CrossRef]
- Berchmans, S.; Gomathi, H.; Rao, G.P. Electrooxidation of alcohols and sugars catalysed on a nickel oxide modified glassy carbon electrode. J. Electroanal. Chem. 1995, 394, 267–270. [Google Scholar] [CrossRef]
- Despagne, F.; Massart, D.L. Neural networks in multivariate calibration. Analyst 1998, 123, 157R–178R. [Google Scholar] [CrossRef]






| Sensor | Compound | LOD (mM) | Sensitivity (µM/mM) | Concentration Range (mM) |
|---|---|---|---|---|
| CuHCF | Glycerol | 0.28 | 6.6 ± 0.6 | 1.0–4.0 |
| Ethanol | n.d. 1 | n.d. 1 | 10–40 | |
| Methanol | n.d. 1 | n.d. 1 | 10–40 | |
| Ni(OH)2 | Glycerol | 0.09 | 0.31 ± 0.07 | 1.0–4.0 |
| Ethanol | 2.73 | 9.1± 1.6 | 10–40 | |
| Methanol | 2.16 | 7.2 ± 0.9 | 10–40 |
Disclaimer/Publisher’s Note: The statements, opinions and data contained in all publications are solely those of the individual author(s) and contributor(s) and not of MDPI and/or the editor(s). MDPI and/or the editor(s) disclaim responsibility for any injury to people or property resulting from any ideas, methods, instructions or products referred to in the content. |
© 2024 by the authors. Licensee MDPI, Basel, Switzerland. This article is an open access article distributed under the terms and conditions of the Creative Commons Attribution (CC BY) license (https://creativecommons.org/licenses/by/4.0/).
Share and Cite
de Oliveira, J.P.J.; Bonet-San-Emeterio, M.; de Sá, A.C.; Cetó, X.; Paim, L.L.; del Valle, M. Resolution of Glycerol, Ethanol and Methanol Employing a Voltammetric Electronic Tongue. Chemosensors 2024, 12, 173. https://doi.org/10.3390/chemosensors12090173
de Oliveira JPJ, Bonet-San-Emeterio M, de Sá AC, Cetó X, Paim LL, del Valle M. Resolution of Glycerol, Ethanol and Methanol Employing a Voltammetric Electronic Tongue. Chemosensors. 2024; 12(9):173. https://doi.org/10.3390/chemosensors12090173
Chicago/Turabian Stylede Oliveira, João Pedro Jenson, Marta Bonet-San-Emeterio, Acelino Cardoso de Sá, Xavier Cetó, Leonardo Lataro Paim, and Manel del Valle. 2024. "Resolution of Glycerol, Ethanol and Methanol Employing a Voltammetric Electronic Tongue" Chemosensors 12, no. 9: 173. https://doi.org/10.3390/chemosensors12090173
APA Stylede Oliveira, J. P. J., Bonet-San-Emeterio, M., de Sá, A. C., Cetó, X., Paim, L. L., & del Valle, M. (2024). Resolution of Glycerol, Ethanol and Methanol Employing a Voltammetric Electronic Tongue. Chemosensors, 12(9), 173. https://doi.org/10.3390/chemosensors12090173

