Slip Microrotation Flow of Silver-Sodium Alginate Nanofluid via Mixed Convection in a Porous Medium
Abstract
:1. Introduction
2. Mathematical Model
3. Numerical Technique
- Reduce Equations (11)–(13) and boundary conditions (14) to a first-order system of equations by introducing new dependent variables.
- Write the difference equations using central differences.
- Linearize the resulting algebraic equations by Newton’s method and write in a matrix-vector form.
- Use the block-tridiagonal-elimination technique to solve the linear system of equations.
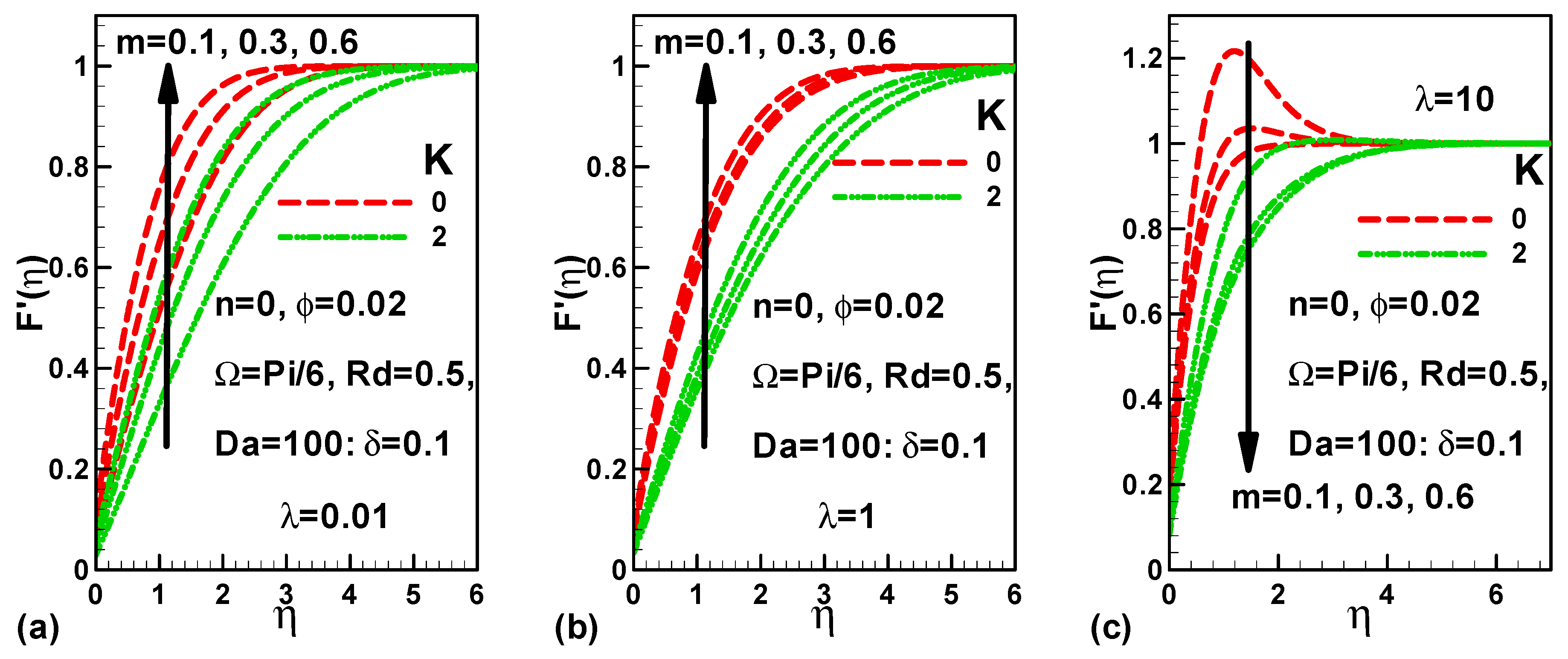
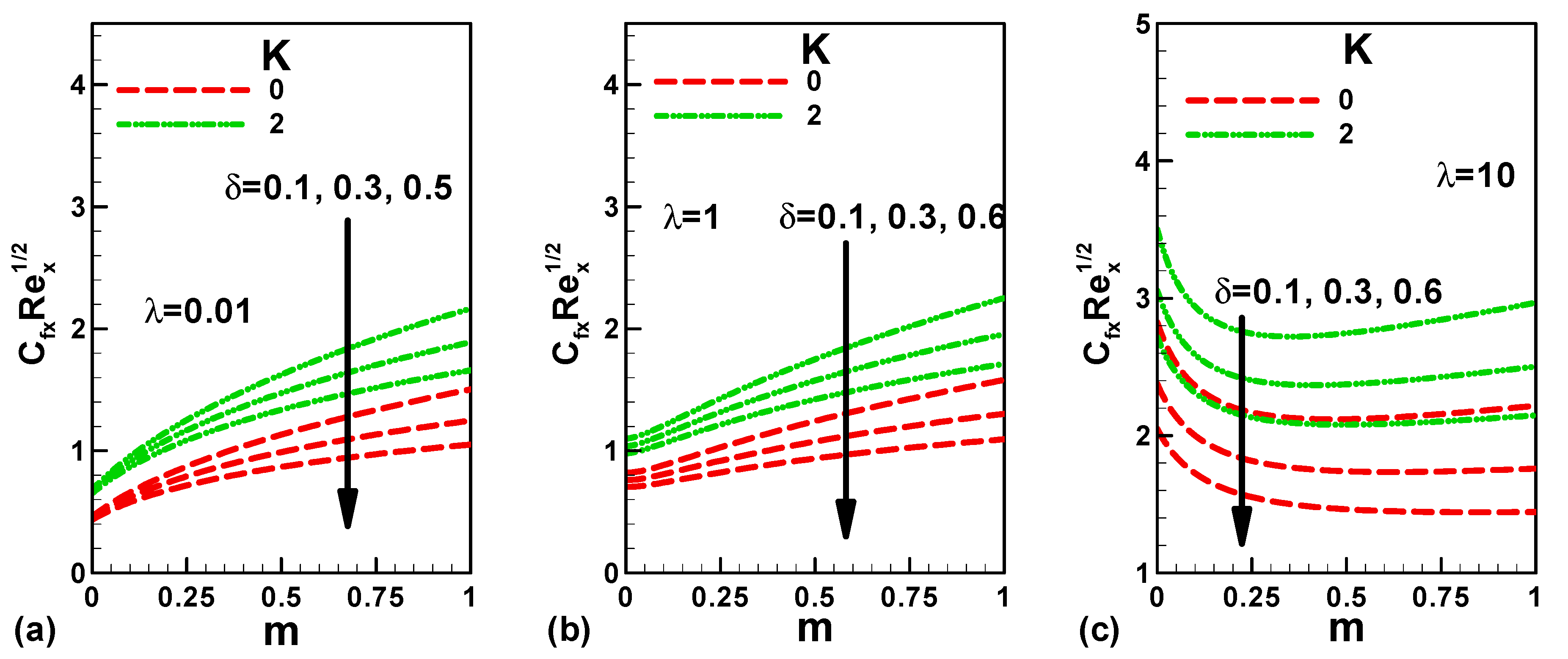
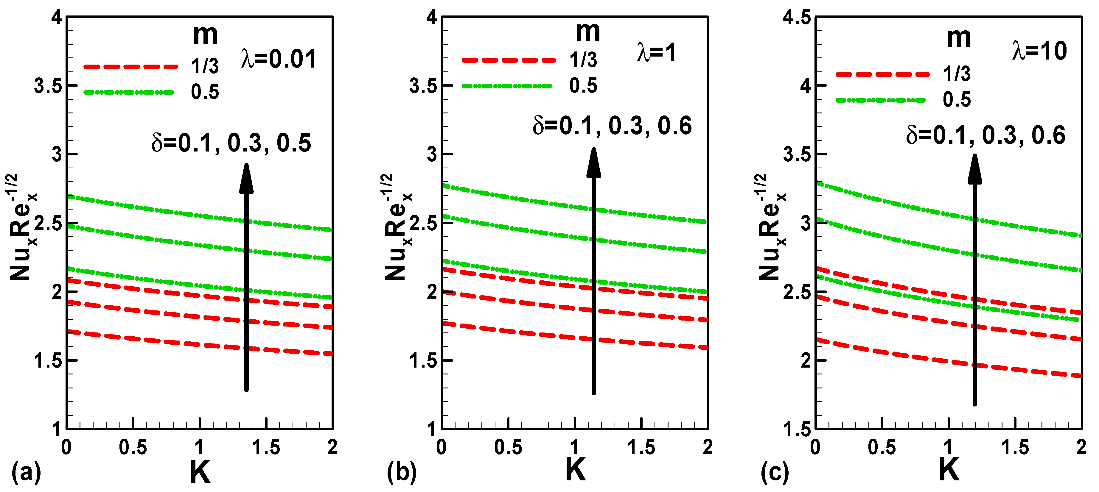
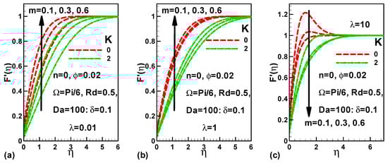
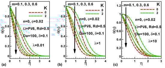
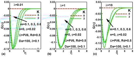
4. Results and Discussion
5. Final Conclusions
- An increase in the slip parameter or solid volume fraction of Ag nanoparticles causes an increase in the dimensionless velocity.
- The velocity slip and solid volume fraction of nanoparticles have a negligible effect on the dimensionless temperature.
- The dimensionless temperature decreases with an increase in the pressure gradient parameter.
- The velocity slip parameter also helps in enhancing the microrotation velocity inside the boundary layer.
- The skin friction is smaller for Newtonian fluids than micropolar nanofluids.
- The skin friction increases with the pressure gradient and micropolar parameters.
- Darcy number and radiation have no appreciable effect on the skin friction for the forced and mixed convection process
- Both velocity slip and pressure gradient parameters help in enhancing the Nusselt number for each fluid.
- The Nusselt numbers for Newtonian fluids are highest and decrease with the micropolar parameters.
Author Contributions
Funding
Data Availability Statement
Conflicts of Interest
Nomenclature
| A | Slip factor |
| skin friction coefficient | |
| specific heat at constant pressure | |
| Darcy number | |
| stream function | |
| acceleration due to gravity | |
| Grashof number | |
| micropolar parameter | |
| K1 | premeability of porous medium |
| k | thermal conductivity |
| m | Falkner-Skan power-law parameter |
| Nusselt number | |
| Prandtl number | |
| radiative heat flux | |
| wall heat flux | |
| Rex | Reynolds number |
| radiation parameter | |
| n, C | constants |
| wall temperature | |
| temperature of the ambient nanofluid | |
| , | velocity components along and —directions, respectively |
| and are Cartesian coordinates measured along the wedge surface and normal to it | |
| microinertia density | |
| angular velocity | |
| thermal diffusivity | |
| thermal expansion coefficient | |
| Hartree pressure gradient parameter | |
| nanoparticle volume fraction | |
| similarity variable | |
| δ | velocity slip parameter |
| mixed convection parameter | |
| dynamic viscosity | |
| κ | vortex viscosity |
| kinematic viscosity | |
| dimensionless temperature | |
| density | |
| skin friction or shear stress | |
| stream function | |
| Ω | angle of the wedge |
| J | the micro-inertia density |
| the coefficient of average absorption. | |
| the Stefan Boltzmann constant. | |
| Subscripts | |
| nanofluid | |
| base fluid | |
| solid particle | |
| wall | |
| infinity | |
References
- Daungthongsuk, W.; Wongwises, S. A critical review of convective heat transfer of nanofluids. Renew. Sustain. Energy Rev. 2007, 11, 797–817. [Google Scholar] [CrossRef]
- Choi, S.U. Enhancing thermal conductivity of fluids with nanoparticles. ASME Fluids Eng. Div. 1995, 231, 99–105. [Google Scholar]
- Rao, Y. Nanofluids: Stability, phase diagram, rheology, and applications. Particuology 2010, 8, 549–555. [Google Scholar] [CrossRef]
- Sing, P.J.; Roy, S.; Ravindran, R. Unsteady mixed convection flow over a vertical wedge. Int. J. Heat Mass Transf. 2009, 52, 415–421. [Google Scholar] [CrossRef]
- Makinde, O.D.; Aziz, A. Boundary layer flow of a nanofluid past a stretching sheet with a convective boundary condition. Int. J. Therm. Sci. 2011, 50, 1326–1332. [Google Scholar] [CrossRef]
- Patrulescu, F.-O.; Groşan, T.; Pop, I. Mixed convection boundary layer flow from a vertical truncated cone in a nanofluid. Int. J. Numer. Methods Heat Fluid Flow 2014, 24, 1175–1190. [Google Scholar] [CrossRef]
- Chamkha, A.J.; Abbasbandy, S.; Rashad, A.M.; Vajravelu, K. Radiation Effects on Mixed Convection over a Wedge Embedded in a Porous Medium Filled with a Nanofluid. Transp. Porous Media 2011, 91, 261–279. [Google Scholar] [CrossRef]
- Gorla, R.S.R.; Chamkha, A.; Rashad, A.M. Mixed convective boundary layer flow over a vertical wedge embedded in a porous medium saturated with a nanofluid. Int. Conf. Therm. Issues Emerg. Technol. Theory Appl. 2010, 6, 445–451. [Google Scholar] [CrossRef]
- Imtiaz, M.; Hayat, T.; Alsaedi, A. Mixed Convection Flow of CassonNanofluid over a Stretching Cylinder with Convective Boundary Conditions. Adv. Powder Technol. 2016, 27, 2245–2256. [Google Scholar] [CrossRef]
- Eringen, A. Theory of micropolar fluids. J. Math. Mech. 1966, 16, 1–18. [Google Scholar] [CrossRef]
- Eringen, A. Theory of thermomicrofluids. J. Math. Anal. Appl. 1972, 38, 480–496. [Google Scholar] [CrossRef] [Green Version]
- El-Aziz, A.M. Mixed convection flow of micropolar fluid from an unsteady stretching surface with viscous dissipation. J. Egypt. Math. Soc. 2013, 21, 385–394. [Google Scholar] [CrossRef] [Green Version]
- Roy, N.; Gorla, R. Unsteady MHD Mixed Convection Flow of a Micropolar Fluid over a Vertical Wedge. Int. J. Appl. Mech. Eng. 2017, 22, 363–391. [Google Scholar] [CrossRef] [Green Version]
- Yücel, A. Mixed convection in micropolar fluid flow over a horizontal plate with surface mass transfer. Int. J. Eng. Sci. 1989, 27, 1593–1602. [Google Scholar] [CrossRef]
- Singh, K.; Kumar, M. Effects of Thermal Radiation on Mixed Convection Flow of a Micropolar Fluid from an Unsteady Stretching Surface with Viscous Dissipation and Heat Generation/Absorption. Int. J. Chem. Eng. 2016, 2016, 8190234. [Google Scholar] [CrossRef]
- Alwawi, F.A.; Alkasasbeh, H.T.; Rashad, A.M.; Idris, R. MHD Natural Convection of Sodium Alginate Casson Nanofluid over A Solid Sphere. Results Phys. 2020, 16, 102818. [Google Scholar] [CrossRef]
- Peddieson, J. An application of the micropolar fluid model to the calculation of a turbulent shear flow. Int. J. Eng. Sci. 1972, 10, 23–32. [Google Scholar] [CrossRef]
- Jena, S.; Mathur, M. Similarity solutions for laminar free convection flow of a thermomicropolar fluid past a non-isothermal vertical flat plate. Int. J. Eng. Sci. 1981, 19, 1431–1439. [Google Scholar] [CrossRef]
- Ahmadi, G. Self-similar solution of incompressible micropolar boundary layer flow over a semi-infinite plate. Int. J. Eng. Sci. 1976, 14, 639–646. [Google Scholar] [CrossRef]
- Cebeci, T.; Bradshaw, P. Physical and Computational Aspects of Convective Heat Transfer; Springer: New York, NY, USA, 1988. [Google Scholar]
- Cebeci, T.; Bradshaw, P. Momentum Transfer in Boundary Layers; Hemisphere Publishing Corporation: New York, NY, USA, 1977. [Google Scholar]
- Yih, K.A. MHD forced convection flow adjacent to a non-isothermal wedge. Int. Commun. Heat Mass Transf. 1999, 26, 819–827. [Google Scholar] [CrossRef]
- Chamkha, A.J.; Mujtaba, M.; Quadri, A. Thermal radiation effects on MHD forced convection flow adjacent to a non-isothermal wedge in the presence of a heat source or sink. Heat Mass Transf. 2003, 39, 305–312. [Google Scholar] [CrossRef]
- Zaib, A.; Haq, R. Magnetohydrodynamics mixed convective flow driven through a static wedge including TiO2 nanomaterial with micropolar liquid: Similarity dual solutions via finite difference method. Proc. Inst. Mech. Eng. Part C J. Mech. Eng. Sci. 2019, 233, 5813–5825. [Google Scholar] [CrossRef]











| Properties | Base Fluid (Sodium Alginate) | Silver (Ag) |
|---|---|---|
| Density, ρ (kg/m3) | 989 | 10,500 |
| Specific heat, cp (J/kg-K) | 4175 | 235 |
| Thermal conductivity, k (W/m-K) | 0.6376 | 429 |
| Prandtl number, Pr | 6.5 | - |
Publisher’s Note: MDPI stays neutral with regard to jurisdictional claims in published maps and institutional affiliations. |
© 2021 by the authors. Licensee MDPI, Basel, Switzerland. This article is an open access article distributed under the terms and conditions of the Creative Commons Attribution (CC BY) license (https://creativecommons.org/licenses/by/4.0/).
Share and Cite
Nabwey, H.A.; Rashad, A.M.; Khan, W.A. Slip Microrotation Flow of Silver-Sodium Alginate Nanofluid via Mixed Convection in a Porous Medium. Mathematics 2021, 9, 3232. https://doi.org/10.3390/math9243232
Nabwey HA, Rashad AM, Khan WA. Slip Microrotation Flow of Silver-Sodium Alginate Nanofluid via Mixed Convection in a Porous Medium. Mathematics. 2021; 9(24):3232. https://doi.org/10.3390/math9243232
Chicago/Turabian StyleNabwey, Hossam A., Ahmed M. Rashad, and Waqar A. Khan. 2021. "Slip Microrotation Flow of Silver-Sodium Alginate Nanofluid via Mixed Convection in a Porous Medium" Mathematics 9, no. 24: 3232. https://doi.org/10.3390/math9243232
APA StyleNabwey, H. A., Rashad, A. M., & Khan, W. A. (2021). Slip Microrotation Flow of Silver-Sodium Alginate Nanofluid via Mixed Convection in a Porous Medium. Mathematics, 9(24), 3232. https://doi.org/10.3390/math9243232

