One-Machine Scheduling with Time-Dependent Capacity via Efficient Memetic Algorithms
Abstract
1. Introduction
- •
- First, new efficient local search procedures for the problem are proposed and their relevant properties, as correctness and worst-case complexity, are studied. As the previous local search approach, the new methods rely on the notion of C-paths in a feasible schedule. However, they incorporate mechanisms to make them more effective. These include a new condition for swapping pairs of consecutive jobs, the integration of a hill climbing approach, a procedure that operates on several C-paths at the same time and a new way of improving the quality of schedules by interchanging jobs between different C-paths.
- •
- Then, the local search procedures are exploited in combination with a genetic algorithm, giving rise to new memetic algorithms. These algorithms have been designed with the aim of achieving a proper balance between the exploration of the search space and the intensification in its most promising areas.
- •
- An extensive experimental study demonstrates that the memetic algorithms proposed in this work achieve conclusive improvements in practice. The results reveal that the new local search procedures enable the memetic algorithms to reach far better solutions than other methods, including the memetic algorithm proposed in [32] and a constraint programming approach.
2. Definition of the Problem
- The capacity of the machine cannot be exceeded at any time, i.e., for all , where denotes the total consumption of the machine in the interval due to the jobs scheduled. This corresponds to the number of jobs that are processed in parallel in that interval.
- The processing of a job cannot be preempted, i.e., for all , where denotes the completion time of job i.
| i | 1 | 2 | 3 | 4 | 5 | 6 | 7 | 8 | 9 | 10 | 11 | 12 |
| 4 | 4 | 2 | 3 | 4 | 3 | 2 | 3 | 2 | 3 | 3 | 5 | |
| 4 | 9 | 13 | 4 | 7 | 8 | 10 | 3 | 13 | 5 | 9 | 7 |
3. Preliminaries
3.1. Schedule Builder
| Algorithm 1 Schedule Builder ([31,32]) |
![]() |
3.2. Genetic Algorithm
| Algorithm 2 Genetic Algorithm ([31,32]) |
![]() |
3.3. Local Search Procedure
| Algorithm 3 Single C-path local search (SCP) |
Data: A feasible schedule S. Result: A feasible schedule with . ; ; return ; |
| Algorithm 4 |
![]() |
3.4. Memetic Algorithm
4. New Local Search Procedures
4.1. Enhancements to Single C-Path Local Search
4.1.1. Slack-Aware Improvement Condition
4.1.2. Hill Climbing on a Single C-Path
| Algorithm 5 |
![]() |
| Algorithm 6 SCP with Hill Climbing (SCP+) |
Data: A feasible schedule S. Result: A feasible schedule with . ; ; return ; |
4.2. Cover-Based Local Search
| Algorithm 7 |
![]() |
| Algorithm 8 Cover-based Local Search Procedure (CB) |
![]() |
4.3. Interchanging Jobs between C-Paths
| Algorithm 9 Local search by interchanging jobs between C-paths (ICP) |
![]() |
4.4. Hybrid Approach
5. New Memetic Algorithms
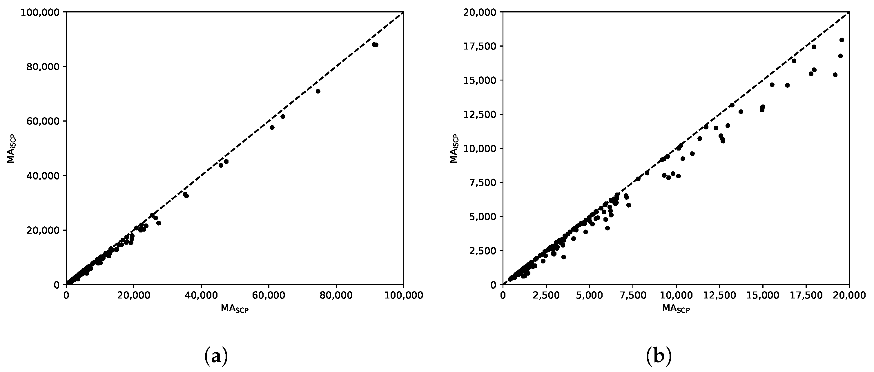
6. Results
6.1. Analyzing the Slack-Aware Improvement Condition
6.2. Analyzing MA, MA, MA and MA
6.3. Final Comparison
7. Conclusions
Author Contributions
Funding
Institutional Review Board Statement
Informed Consent Statement
Data Availability Statement
Conflicts of Interest
References
- Pinedo, M.L. Planning and Scheduling in Manufacturing and Services; Springer: New York, NY, USA, 2009. [Google Scholar] [CrossRef]
- Zhan, Z.H.; Liu, X.F.; Gong, Y.J.; Zhang, J.; Chung, H.S.H.; Li, Y. Cloud Computing Resource Scheduling and a Survey of Its Evolutionary Approaches. ACM Comput. Surv. 2015, 47, 1–33. [Google Scholar] [CrossRef]
- Garey, M.R.; Johnson, D.S. Computers and Intractability; A Guide to the Theory of NP-Completeness; W. H. Freeman & Co.: New York, NY, USA, 1979. [Google Scholar]
- Brucker, P. Scheduling Algorithms, 4th ed.; Springer: Berlin/Heidelberg, Germany, 2004. [Google Scholar]
- Ganian, R.; Hamm, T.; Mescoff, G. The Complexity Landscape of Resource-Constrained Scheduling. In Proceedings of the Twenty-Ninth International Joint Conference on Artificial Intelligence, IJCAI 2020, Yokohama, Japan, 7–15 January 2021; IJCAI: Los Angeles, CA, USA, 2021; pp. 1741–1747. [Google Scholar] [CrossRef]
- Knust, S.; Brucker, P. Complexity Results for Scheduling Problems. Available online: http://www.informatik.uni-osnabrueck.de/knust/class/ (accessed on 19 November 2021).
- Carlier, J. The one-machine sequencing problem. Eur. J. Oper. Res. 1982, 11, 42–47. [Google Scholar] [CrossRef]
- Brucker, P.; Jurisch, B.; Sievers, B. A Branch and Bound Algorithm for the Job-Shop Scheduling Problem. Discret. Appl. Math. 1994, 49, 107–127. [Google Scholar] [CrossRef]
- Laborie, P.; Rogerie, J.; Shaw, P.; Vilím, P. IBM ILOG CP optimizer for scheduling - 20+ years of scheduling with constraints at IBM/ILOG. Constraints Int. J. 2018, 23, 210–250. [Google Scholar] [CrossRef]
- Ku, W.; Beck, J.C. Mixed Integer Programming models for job shop scheduling: A computational analysis. Comput. Oper. Res. 2016, 73, 165–173. [Google Scholar] [CrossRef]
- Mustu, S.; Eren, T. The single machine scheduling problem with sequence-dependent setup times and a learning effect on processing times. Appl. Soft Comput. 2018, 71, 291–306. [Google Scholar] [CrossRef]
- Soares, L.C.R.; Carvalho, M.A.M. Biased random-key genetic algorithm for scheduling identical parallel machines with tooling constraints. Eur. J. Oper. Res. 2020, 285, 955–964. [Google Scholar] [CrossRef]
- Gonçalves, J.F.; Resende, M.G.C. An extended Akers graphical method with a biased random-key genetic algorithm for job-shop scheduling. Int. Trans. Oper. Res. 2014, 21, 215–246. [Google Scholar] [CrossRef]
- Gonçalves, J.; Mendes, J.; Resende, M. A genetic algorithm for the resource constrained multi-project scheduling problem. Eur. J. Oper. Res. 2008, 189, 1171–1190. [Google Scholar] [CrossRef]
- Queiroga, E.; Pinheiro, R.G.S.; Christ, Q.; Subramanian, A.; Pessoa, A.A. Iterated local search for single machine total weighted tardiness batch scheduling. J. Heuristics 2021, 27, 353–438. [Google Scholar] [CrossRef]
- Nowicki, E.; Smutnicki, C. An Advanced Tabu Search Algorithm for the Job Shop Problem. J. Sched. 2005, 8, 145–159. [Google Scholar] [CrossRef]
- Chen, Y.; Lu, J.; He, R.; Ou, J. An Efficient Local Search Heuristic for Earth Observation Satellite Integrated Scheduling. Appl. Sci. 2020, 10, 5616. [Google Scholar] [CrossRef]
- França, P.M.; Mendes, A.; Moscato, P. A memetic algorithm for the total tardiness single machine scheduling problem. Eur. J. Oper. Res. 2001, 132, 224–242. [Google Scholar] [CrossRef]
- Abdel-Basset, M.; Mohamed, R.; Abouhawwash, M.; Chakrabortty, R.K.; Ryan, M.J. A Simple and Effective Approach for Tackling the Permutation Flow Shop Scheduling Problem. Mathematics 2021, 9, 270. [Google Scholar] [CrossRef]
- Onwubolu, G.; Davendra, D. Scheduling flow shops using differential evolution algorithm. Eur. J. Oper. Res. 2006, 171, 674–692. [Google Scholar] [CrossRef]
- Merkle, D.; Middendorf, M.; Schmeck, H. Ant colony optimization for resource-constrained project scheduling. IEEE Trans. Evol. Comput. 2002, 6, 333–346. [Google Scholar] [CrossRef]
- Zhou, H.; Pang, J.; Chen, P.K.; Chou, F.D. A modified particle swarm optimization algorithm for a batch-processing machine scheduling problem with arbitrary release times and non-identical job sizes. Comput. Ind. Eng. 2018, 123, 67–81. [Google Scholar] [CrossRef]
- Malakar, S.; Ghosh, M.; Bhowmik, S.; Sarkar, R.; Nasipuri, M. A GA based hierarchical feature selection approach for handwritten word recognition. Neural Comput. Appl. 2020, 32, 2533–2552. [Google Scholar] [CrossRef]
- Bacanin, N.; Stoean, R.; Zivkovic, M.; Petrovic, A.; Rashid, T.A.; Bezdan, T. Performance of a Novel Chaotic Firefly Algorithm with Enhanced Exploration for Tackling Global Optimization Problems: Application for Dropout Regularization. Mathematics 2021, 9, 2705. [Google Scholar] [CrossRef]
- Hall, N.G.; Potts, C.N. Supply Chain Scheduling: Batching and Delivery. Oper. Res. 2003, 51, 566–584. [Google Scholar] [CrossRef][Green Version]
- Wang, X.; Ren, T.; Bai, D.; Ezeh, C.; Zhang, H.; Dong, Z. Minimizing the sum of makespan on multi-agent single-machine scheduling with release dates. Swarm Evol. Comput. 2021, 100996. [Google Scholar] [CrossRef]
- Jin, F.; Song, S.; Wu, C. A simulated annealing algorithm for single machine scheduling problems with family setups. Comput. Oper. Res. 2009, 36, 2133–2138. [Google Scholar] [CrossRef]
- Adams, J.; Balas, E.; Zawack, D. The Shifting Bottleneck Procedure for Job Shop Scheduling. Manag. Sci. 1988, 34, 391–401. [Google Scholar] [CrossRef]
- Hernández-Arauzo, A.; Puente, J.; Varela, R.; Sedano, J. Electric vehicle charging under power and balance constraints as dynamic scheduling. Comput. Ind. Eng. 2015, 85, 306–315. [Google Scholar] [CrossRef]
- Graham, R.; Lawler, E.; Lenstra, J.; Kan, A. Optimization and Approximation in Deterministic Sequencing and Scheduling: A Survey. Ann. Discret. Math. 1979, 5, 287–326. [Google Scholar]
- Mencía, C.; Sierra, M.R.; Mencía, R.; Varela, R. Genetic Algorithm for Scheduling Charging Times of Electric Vehicles Subject to Time Dependent Power Availability. In International Work-Conference on the Interplay between Natural and Artificial Computation; Springer International Publishing: Cham, Switzerland, 2017; pp. 160–169. [Google Scholar]
- Mencía, C.; Sierra, M.R.; Mencía, R.; Varela, R. Evolutionary one-machine scheduling in the context of electric vehicles charging. Integr. Comput. Aided Eng. 2019, 26, 49–63. [Google Scholar] [CrossRef]
- Vepsalainen, A.P.J.; Morton, T.E. Priority Rules for Job Shops with Weighted Tardiness Costs. Manag. Sci. 1987, 33, 1035–1047. [Google Scholar] [CrossRef]
- Gil-Gala, F.J.; Mencía, C.; Sierra, M.R.; Varela, R. Evolving priority rules for on-line scheduling of jobs on a single machine with variable capacity over time. Appl. Soft Comput. 2019, 85, 105782. [Google Scholar] [CrossRef]
- Gil-Gala, F.J.; Sierra, M.R.; Mencía, C.; Varela, R. Combining hyper-heuristics to evolve ensembles of priority rules for on-line scheduling. Nat. Comput. 2020. [Google Scholar] [CrossRef]
- Koulamas, C. The total tardiness problem: Review and extensions. Oper. Res. 1994, 42, 1025–1041. [Google Scholar] [CrossRef]
- Giffler, B.; Thompson, G.L. Algorithms for Solving Production Scheduling Problems. Oper. Res. 1960, 8, 487–503. [Google Scholar] [CrossRef]
- Kolisch, R. Serial and parallel resource-constrained project scheduling methods revisited: Theory and computation. Eur. J. Oper. Res. 1996, 90, 320–333. [Google Scholar] [CrossRef]
- Artigues, C.; Lopez, P.; Ayache, P. Schedule Generation Schemes for the Job Shop Problem with Sequence-Dependent Setup Times: Dominance Properties and Computational Analysis. Ann. Oper. Res. 2005, 138, 21–52. [Google Scholar] [CrossRef]
- Palacios, J.J.; Vela, C.R.; Rodríguez, I.G.; Puente, J. Schedule Generation Schemes for Job Shop Problems with Fuzziness. In Proceedings of the 21st European Conference On Artificial Intelligence, Prague, Czech Republic, 18–22 August 2014; pp. 687–692. [Google Scholar]
- Sierra, M.R.; Mencía, C.; Varela, R. New schedule generation schemes for the job-shop problem with operators. J. Intell. Manuf. 2015, 26, 511–525. [Google Scholar] [CrossRef]
- Mencía, R.; Sierra, M.R.; Mencía, C.; Varela, R. Schedule Generation Schemes and Genetic Algorithm for the Scheduling Problem with Skilled Operators and Arbitrary Precedence Relations. In Proceedings of the Twenty-Fifth International Conference on Automated Planning and Scheduling, ICAPS 2015, Jerusalem, Israel, 7–11 June 2015; AAAI Press: Palo Alto, CA, USA, 2015; pp. 165–173. [Google Scholar]
- Sprecher, A.; Kolisch, R.; Drexl, A. Semi-active, active, and non-delay schedules for the resource-constrained project scheduling problem. Eur. J. Oper. Res. 1995, 80, 94–102. [Google Scholar] [CrossRef]
- Holland, J. Adaptation in Natural and Artificial Systems; University of Michigan Press: Ann Arbor, MI, USA, 1975. [Google Scholar]
- Guo, W.; Xu, P.; Zhao, Z.; Wang, L.; Zhu, L. Scheduling for airport baggage transport vehicles based on diversity enhancement genetic algorithm. Nat. Comput. 2020, 19, 663–672. [Google Scholar] [CrossRef]
- Mencía, R.; Mencía, C.; Varela, R. Efficient repairs of infeasible job shop problems by evolutionary algorithms. Eng. Appl. Artif. Intell. 2021, 104, 104368. [Google Scholar] [CrossRef]
- Davis, L. Applying Adaptive Algorithms to Epistatic Domains. In Proceedings of the 9th International Joint Conference on Artificial Intelligence, Los Angeles, CA, USA, 18–23 August 1985; pp. 162–164. [Google Scholar]
- Kirkpatrick, S.; Gelatt, C.D.; Vecchi, M.P. Optimization by Simulated Annealing. Science 1983, 220, 671–680. [Google Scholar] [CrossRef]
- Glover, F.W.; Laguna, M. Tabu Search; Kluwer: Alphen aan den Rijn, The Netherlands, 1997. [Google Scholar] [CrossRef]
- Idzikowski, R.; Rudy, J.; Gnatowski, A. Solving Non-Permutation Flow Shop Scheduling Problem with Time Couplings. Appl. Sci. 2021, 11, 4425. [Google Scholar] [CrossRef]
- Du, J.; Leung, J.Y.T. Minimizing Total Tardiness on One Machine Is NP-Hard. Math. Oper. Res. 1990, 15, 483–495. [Google Scholar] [CrossRef]
- Talbi, E. Metaheuristics—From Design to Implementation; Wiley: Hoboken, NJ, USA, 2009. [Google Scholar]
- Gao, L.; Zhang, G.; Zhang, L.; Li, X. An efficient memetic algorithm for solving the job shop scheduling problem. Comput. Ind. Eng. 2011, 60, 699–705. [Google Scholar] [CrossRef]
- Mencía, R.; Mencía, C.; Varela, R. A memetic algorithm for restoring feasibility in scheduling with limited makespan. Nat. Comput. 2020. [Google Scholar] [CrossRef]
- Machado-Domínguez, L.F.; Paternina-Arboleda, C.D.; Vélez, J.I.; Sarmiento, A.B. A memetic algorithm to address the multi-node resource-constrained project scheduling problem. J. Sched. 2021, 24, 413–429. [Google Scholar] [CrossRef]
- Williams, J.W.J. Algorithm 232 - Heapsort. Commun. ACM 1964, 7, 347–348. [Google Scholar] [CrossRef]
- Vilím, P.; Laborie, P.; Shaw, P. Failure-Directed Search for Constraint-Based Scheduling. In Proceedings of the International Conference on Integration of Constraint Programming, Artificial Intelligence, and Operations Research; CPAIOR 2015, Barcelona, Spain, 18–22 May 2015; Springer: Cham, Switzerland, 2015; pp. 437–453. [Google Scholar] [CrossRef]
- Derrac, J.; García, S.; Molina, D.; Herrera, F. A practical tutorial on the use of nonparametric statistical tests as a methodology for comparing evolutionary and swarm intelligence algorithms. Swarm Evol. Comput. 2011, 1, 3–18. [Google Scholar] [CrossRef]
- Gallardo, J.E.; Cotta, C. A GRASP-based memetic algorithm with path relinking for the far from most string problem. Eng. Appl. Artif. Intell. 2015, 41, 183–194. [Google Scholar] [CrossRef]










| n | MA | MA | |||||
|---|---|---|---|---|---|---|---|
| Best | Avg. | Best | Avg. | ||||
| 120 | 3 | 0.01 | 0.49 | 0.01 | 0.18 | ||
| 5 | 0.08 | 0.98 | 0.07 | 0.29 | |||
| 7 | 0.35 | 1.50 | 0.08 | 0.48 | |||
| 10 | 0.65 | 1.97 | 0.30 | 1.13 | |||
| Avg. | 0.27 | 1.23 | 0.11 | 0.52 | |||
| 250 | 10 | 1.46 | 4.09 | 0.27 | 0.99 | ||
| 20 | 1.64 | 3.81 | 0.59 | 1.95 | |||
| 30 | 1.98 | 4.71 | 1.51 | 3.39 | |||
| Avg. | 1.70 | 4.20 | 0.79 | 2.11 | |||
| 500 | 10 | 8.54 | 20.00 | 0.53 | 1.40 | ||
| 20 | 4.35 | 11.55 | 2.01 | 3.46 | |||
| 30 | 6.92 | 13.41 | 4.55 | 7.11 | |||
| Avg. | 6.60 | 14.99 | 2.36 | 3.99 | |||
| 750 | 10 | 7.88 | 16.21 | 0.36 | 1.79 | ||
| 20 | 6.08 | 14.81 | 0.97 | 2.17 | |||
| 30 | 12.97 | 21.98 | 6.59 | 9.70 | |||
| 50 | 18.58 | 25.21 | 11.62 | 14.65 | |||
| Avg. | 11.38 | 19.55 | 4.88 | 7.08 | |||
| 1000 | 10 | 15.72 | 41.02 | 0.80 | 2.88 | ||
| 20 | 5.86 | 11.63 | 1.61 | 3.03 | |||
| 30 | 21.08 | 31.39 | 9.42 | 13.50 | |||
| 50 | 27.97 | 41.59 | 12.55 | 17.17 | |||
| 100 | 43.66 | 50.27 | 36.71 | 42.45 | |||
| Avg. | 22.86 | 35.18 | 12.22 | 15.81 | |||
| All | 9.78 | 16.66 | 4.76 | 6.72 | |||
| n | MA | MA | MA | MA | |||||||||
|---|---|---|---|---|---|---|---|---|---|---|---|---|---|
| Best | Avg. | Best | Avg. | Best | Avg. | Best | Avg. | ||||||
| 120 | 3 | 0.00 | 0.16 | 0.00 | 0.11 | 0.12 | 2.20 | 0.00 | 0.01 | ||||
| 5 | 0.07 | 0.27 | 0.05 | 0.20 | 0.00 | 1.10 | 0.00 | 0.03 | |||||
| 7 | 0.09 | 0.42 | 0.07 | 0.32 | 0.06 | 0.75 | 0.00 | 0.07 | |||||
| 10 | 0.33 | 1.19 | 0.15 | 0.68 | 0.16 | 1.06 | 0.00 | 0.17 | |||||
| Avg. | 0.12 | 0.51 | 0.07 | 0.33 | 0.08 | 1.28 | 0.00 | 0.07 | |||||
| 250 | 10 | 0.39 | 1.18 | 0.15 | 0.56 | 1.05 | 2.12 | 0.00 | 0.12 | ||||
| 20 | 0.81 | 2.10 | 0.25 | 0.80 | 0.51 | 1.17 | 0.00 | 0.14 | |||||
| 30 | 1.61 | 3.53 | 0.34 | 1.45 | 1.10 | 1.85 | 0.07 | 0.37 | |||||
| Avg. | 0.94 | 2.27 | 0.25 | 0.94 | 0.89 | 1.71 | 0.02 | 0.21 | |||||
| 500 | 10 | 0.49 | 1.26 | 0.21 | 0.58 | 3.28 | 5.31 | 0.00 | 0.12 | ||||
| 20 | 2.08 | 3.63 | 0.65 | 1.21 | 2.71 | 3.92 | 0.12 | 0.37 | |||||
| 30 | 4.83 | 7.48 | 0.98 | 2.38 | 3.28 | 5.08 | 0.16 | 0.38 | |||||
| Avg. | 2.47 | 4.12 | 0.61 | 1.39 | 3.09 | 4.77 | 0.09 | 0.29 | |||||
| 750 | 10 | 0.39 | 1.48 | 0.06 | 0.67 | 7.82 | 10.16 | 0.14 | 0.62 | ||||
| 20 | 1.13 | 2.27 | 0.16 | 0.70 | 2.71 | 3.84 | 0.17 | 0.28 | |||||
| 30 | 6.64 | 10.28 | 1.53 | 2.87 | 4.09 | 5.93 | 0.00 | 0.27 | |||||
| 50 | 11.23 | 14.00 | 1.79 | 3.23 | 7.13 | 8.78 | 0.00 | 0.29 | |||||
| Avg. | 4.85 | 7.01 | 0.89 | 1.87 | 5.44 | 7.18 | 0.08 | 0.36 | |||||
| 1000 | 10 | 0.42 | 2.15 | 0.00 | 0.78 | 21.25 | 27.28 | 0.64 | 1.07 | ||||
| 20 | 1.48 | 2.40 | 0.12 | 0.90 | 6.21 | 7.56 | 0.23 | 0.39 | |||||
| 30 | 7.45 | 10.05 | 0.20 | 1.40 | 19.00 | 22.91 | 0.34 | 0.83 | |||||
| 50 | 11.45 | 14.98 | 2.72 | 4.21 | 4.07 | 5.89 | 0.08 | 0.14 | |||||
| 100 | 21.18 | 25.20 | 2.86 | 4.03 | 5.53 | 6.44 | 0.00 | 0.20 | |||||
| Avg. | 8.40 | 10.95 | 1.18 | 2.26 | 11.21 | 14.02 | 0.26 | 0.53 | |||||
| All | 3.79 | 5.47 | 0.65 | 1.42 | 4.74 | 6.49 | 0.10 | 0.31 | |||||
| n | MA | CPO | MA | |||||||
|---|---|---|---|---|---|---|---|---|---|---|
| Best | Avg. | Best | Avg. | Best | Avg. | |||||
| 120 | 3 | 0.01 | 0.49 | 3.82 | 3.85 | 0.00 | 0.01 | |||
| 5 | 0.08 | 0.98 | 4.54 | 4.54 | 0.00 | 0.03 | ||||
| 7 | 0.35 | 1.50 | 5.47 | 5.47 | 0.00 | 0.07 | ||||
| 10 | 0.65 | 1.97 | 6.43 | 6.63 | 0.00 | 0.17 | ||||
| Avg. | 0.27 | 1.23 | 5.06 | 5.12 | 0.00 | 0.07 | ||||
| 250 | 10 | 1.46 | 4.09 | 6.29 | 6.36 | 0.00 | 0.12 | |||
| 20 | 1.64 | 3.81 | 9.45 | 9.46 | 0.00 | 0.14 | ||||
| 30 | 1.98 | 4.71 | 12.74 | 12.74 | 0.07 | 0.37 | ||||
| Avg. | 1.70 | 4.20 | 9.49 | 9.52 | 0.02 | 0.21 | ||||
| 500 | 10 | 8.54 | 20.00 | 8.97 | 8.97 | 0.00 | 0.12 | |||
| 20 | 4.35 | 11.55 | 9.89 | 9.94 | 0.12 | 0.37 | ||||
| 30 | 6.92 | 13.41 | 16.90 | 17.24 | 0.16 | 0.38 | ||||
| Avg. | 6.60 | 14.99 | 11.92 | 12.05 | 0.09 | 0.29 | ||||
| 750 | 10 | 7.88 | 16.21 | 6.93 | 6.95 | 0.14 | 0.62 | |||
| 20 | 6.08 | 14.81 | 10.62 | 10.63 | 0.17 | 0.28 | ||||
| 30 | 12.97 | 21.98 | 15.70 | 16.14 | 0.00 | 0.27 | ||||
| 50 | 18.58 | 25.21 | 13.46 | 13.46 | 0.00 | 0.29 | ||||
| Avg. | 11.38 | 19.55 | 11.68 | 11.79 | 0.08 | 0.36 | ||||
| 1000 | 10 | 15.72 | 41.02 | 9.23 | 9.39 | 0.64 | 1.07 | |||
| 20 | 5.86 | 11.63 | 5.64 | 5.67 | 0.23 | 0.39 | ||||
| 30 | 21.08 | 31.39 | 14.79 | 14.85 | 0.34 | 0.83 | ||||
| 50 | 27.97 | 41.59 | 14.46 | 14.46 | 0.08 | 0.14 | ||||
| 100 | 43.66 | 50.27 | 8.77 | 8.77 | 0.00 | 0.20 | ||||
| Avg. | 22.86 | 35.18 | 10.58 | 10.63 | 0.26 | 0.53 | ||||
| All | 9.78 | 16.66 | 9.69 | 9.76 | 0.10 | 0.31 | ||||
| Position | Algorithm | Ranking |
|---|---|---|
| 1 | MA | 121.12 |
| 2 | CPO | 335.75 |
| 3 | MA | 399.62 |
| Algorithm | ||||||||
|---|---|---|---|---|---|---|---|---|
| MA | 0.0 | 0.0 | ||||||
| CPO | 0.0 | 0.0 |
Publisher’s Note: MDPI stays neutral with regard to jurisdictional claims in published maps and institutional affiliations. |
© 2021 by the authors. Licensee MDPI, Basel, Switzerland. This article is an open access article distributed under the terms and conditions of the Creative Commons Attribution (CC BY) license (https://creativecommons.org/licenses/by/4.0/).
Share and Cite
Mencía, R.; Mencía, C. One-Machine Scheduling with Time-Dependent Capacity via Efficient Memetic Algorithms. Mathematics 2021, 9, 3030. https://doi.org/10.3390/math9233030
Mencía R, Mencía C. One-Machine Scheduling with Time-Dependent Capacity via Efficient Memetic Algorithms. Mathematics. 2021; 9(23):3030. https://doi.org/10.3390/math9233030
Chicago/Turabian StyleMencía, Raúl, and Carlos Mencía. 2021. "One-Machine Scheduling with Time-Dependent Capacity via Efficient Memetic Algorithms" Mathematics 9, no. 23: 3030. https://doi.org/10.3390/math9233030
APA StyleMencía, R., & Mencía, C. (2021). One-Machine Scheduling with Time-Dependent Capacity via Efficient Memetic Algorithms. Mathematics, 9(23), 3030. https://doi.org/10.3390/math9233030







