Modified Artificial Ecosystem-Based Optimization for Multilevel Thresholding Image Segmentation
Abstract
:1. Introduction
- Propose an alternative multilevel thresholding image segmentation method based on hybrid AEO and DE algorithms.
- Blend the strength of the AEO and the DE to develop the proposed AEODE method for optimizing the thresholding value.
- Evaluate the efficiency of the AEODE, using a set of benchmark images.
- Compare the proposed image segmentation method with the state-of-the-art methods published in that domain.
2. Literature Review
3. Background
3.1. Problem Definition
3.2. Differential Evolution (DE)
3.3. Artificial Ecosystem-Based Optimization
- Production process: Zhao et al. [14] considered the producer as the worst agent in the populations. In AEO, the producer updates its location depending on randomly selected individual in the search space, as well as the decomposed (best agent) as presented below:where and are the upper and lower boundaries of the search space, respectively. t and refer to the iteration number and the maximum number of iterations, respectively. and represent random values withdrawn from the [0, 1] interval, and d represents a weight coefficient.
- Consumption process: in this stage, the consumer feeds on another consumer with a lower level of energy or on a producer. For the consumer classes, carnivores, herbivores, and omnivores, each one has its specific tactic for updating the location as illustrated below:
- (a)
- Herbivore consumers update their locations depending on the producers only (feed on the producers).where producer represents the producer location, and G represents a consumption factor, which is computed using levy flight as follows:where represents the normal distribution with zero mean and unit variance.
- (b)
- Carnivore consumers update their locations using a random consumer with high-level energy with an index , as carnivores feed on other animals only as mentioned earlier. The carnivore location can be formulated as follows:
- (c)
- Omnivore consumers update their locations depending on the producer and randomly selected consumer with index with a higher level of energy as modeled below:
- Decomposition process: this is the final process of the ecosystem as each individual in the agent dies, and the decomposer starts breaking down its remains. Zhao et al. [14] considered it to be the intensification phase of AEO and modeled it as follows:where the decomposition factor is represented by D, and weight parameters are represented by e and q.
4. The Proposed AEODE
Complexity of AEODE
5. Evaluation Experiment
5.1. Performance Measures
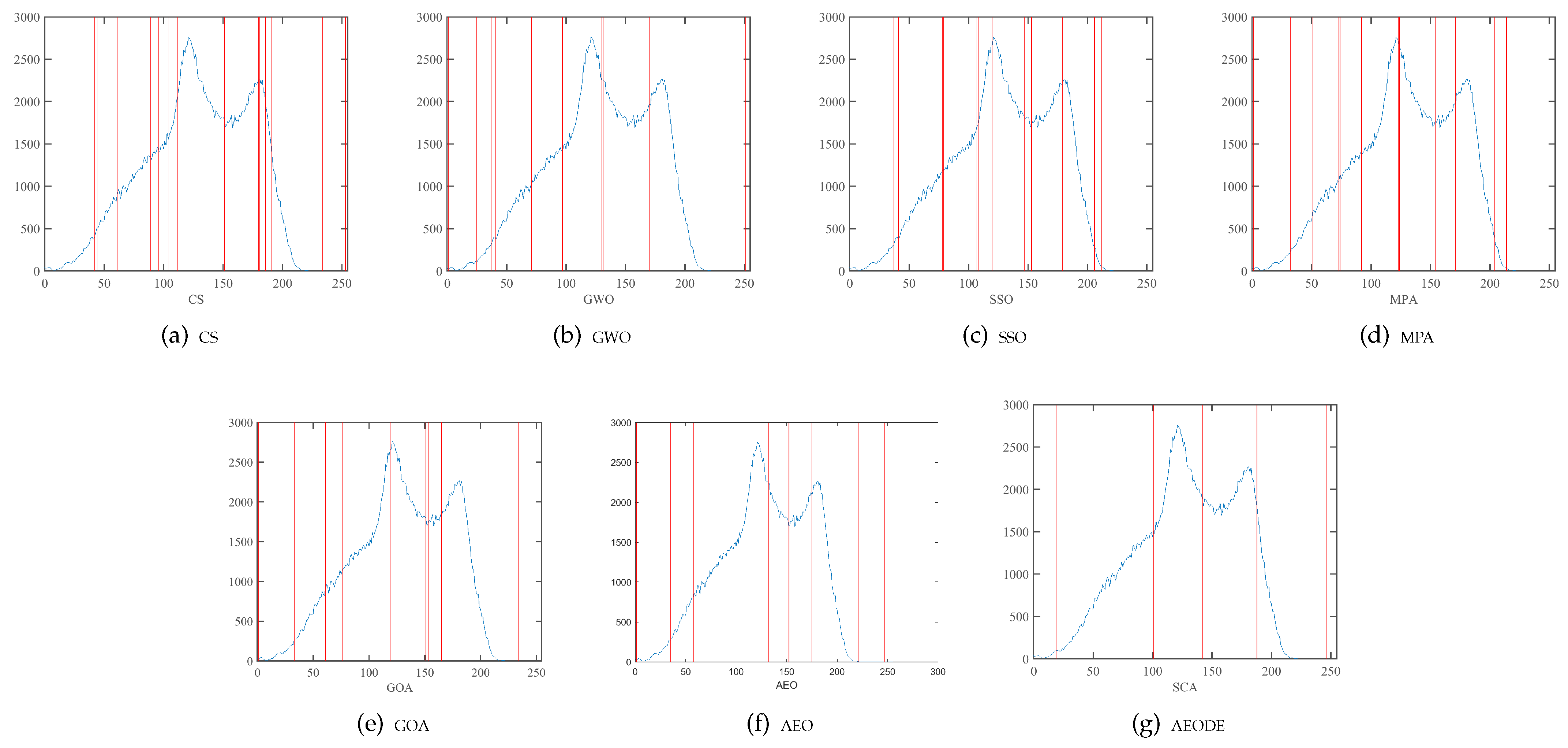
5.2. Results and Discussion
5.2.1. Performance Measure by Structural Similarity Index (SSIM)
5.2.2. Performance Measure by Peak Signal-to-Noise Ratio (PSNR)
5.2.3. Performance Measure by Fitness Function
5.3. Statistical Results
6. Conclusions and Future Work
Author Contributions
Funding
Acknowledgments
Conflicts of Interest
References
- Sathya, P.; Kayalvizhi, R. Modified bacterial foraging algorithm based multilevel thresholding for image segmentation. Eng. Appl. Artif. Intell. 2011, 24, 595–615. [Google Scholar] [CrossRef]
- Patra, D.K.; Si, T.; Mondal, S.; Mukherjee, P. Breast DCE-MRI segmentation for lesion detection by multi-level thresholding using student psychological based optimization. Biomed. Signal Process. Control 2021, 69, 102925. [Google Scholar] [CrossRef]
- Bhandari, A.K.; Singh, V.K.; Kumar, A.; Singh, G.K. Cuckoo search algorithm and wind driven optimization based study of satellite image segmentation for multilevel thresholding using Kapur’s entropy. Expert Syst. Appl. 2014, 41, 3538–3560. [Google Scholar] [CrossRef]
- Zhang, Z.; Yin, J. Bee Foraging Algorithm Based Multi-Level Thresholding For Image Segmentation. IEEE Access 2020, 8, 16269–16280. [Google Scholar] [CrossRef]
- Tan, K.S.; Isa, N.A.M. Color image segmentation using histogram thresholding–Fuzzy C-means hybrid approach. Pattern Recognit. 2011, 44, 1–15. [Google Scholar]
- Zhou, C.; Tian, L.; Zhao, H.; Zhao, K. A method of two-dimensional Otsu image threshold segmentation based on improved firefly algorithm. In Proceedings of the 2015 IEEE International Conference on Cyber Technology in Automation, Control, and Intelligent Systems (CYBER), Shenyang, China, 8–12 June 2015; pp. 1420–1424. [Google Scholar]
- Xing, Z. An improved emperor penguin optimization based multilevel thresholding for color image segmentation. Knowl.-Based Syst. 2020, 194, 105570. [Google Scholar] [CrossRef]
- Arora, S.; Acharya, J.; Verma, A.; Panigrahi, P.K. Multilevel thresholding for image segmentation through a fast statistical recursive algorithm. Pattern Recognit. Lett. 2008, 29, 119–125. [Google Scholar] [CrossRef] [Green Version]
- Otsu, N. A threshold selection method from gray-level histograms. IEEE Trans. Syst. Man Cybern. 1979, 9, 62–66. [Google Scholar] [CrossRef] [Green Version]
- Kapur, J.N.; Sahoo, P.K.; Wong, A.K. A new method for gray-level picture thresholding using the entropy of the histogram. Comput. Vis. Graph. Image Process. 1985, 29, 273–285. [Google Scholar] [CrossRef]
- Maitra, M.; Chatterjee, A. A hybrid cooperative–comprehensive learning based PSO algorithm for image segmentation using multilevel thresholding. Expert Syst. Appl. 2008, 34, 1341–1350. [Google Scholar] [CrossRef]
- Abualigah, L.; Diabat, A.; Mirjalili, S.; Abd Elaziz, M.; Gandomi, A.H. The arithmetic optimization algorithm. Comput. Methods Appl. Mech. Eng. 2020, 376, 113609. [Google Scholar] [CrossRef]
- Garcia-Lamont, F.; Cervantes, J.; López, A.; Rodriguez, L. Segmentation of images by color features: A survey. Neurocomputing 2018, 292, 1–27. [Google Scholar] [CrossRef]
- Zhao, W.; Wang, L.; Zhang, Z. Artificial ecosystem-based optimization: A novel nature-inspired meta-heuristic algorithm. Neural Comput. Appl. 2020, 32, 9383–9425. [Google Scholar] [CrossRef]
- Storn, R.; Price, K. Differential evolution—A simple and efficient heuristic for global optimization over continuous spaces. J. Glob. Optim. 1997, 11, 341–359. [Google Scholar] [CrossRef]
- Naji Alwerfali, H.S.; Al-qaness, M.A.; Abd Elaziz, M.; Ewees, A.A.; Oliva, D.; Lu, S. Multi-Level Image Thresholding Based on Modified Spherical Search Optimizer and Fuzzy Entropy. Entropy 2020, 22, 328. [Google Scholar] [CrossRef] [PubMed] [Green Version]
- Horng, M.H. Multilevel thresholding selection based on the artificial bee colony algorithm for image segmentation. Expert Syst. Appl. 2011, 38, 13785–13791. [Google Scholar] [CrossRef]
- Yousri, D.; Abd Elaziz, M.; Mirjalili, S. Fractional-order calculus-based flower pollination algorithm with local search for global optimization and image segmentation. Knowl.-Based Syst. 2020, 197, 105889. [Google Scholar] [CrossRef]
- Forouzanfar, M.; Forghani, N.; Teshnehlab, M. Parameter optimization of improved fuzzy c-means clustering algorithm for brain MR image segmentation. Eng. Appl. Artif. Intell. 2010, 23, 160–168. [Google Scholar] [CrossRef]
- Omran, M.G.; Salman, A.; Engelbrecht, A.P. Dynamic clustering using particle swarm optimization with application in image segmentation. Pattern Anal. Appl. 2006, 8, 332. [Google Scholar] [CrossRef]
- Elaziz, M.A.; Lu, S. Many-objectives multilevel thresholding image segmentation using knee evolutionary algorithm. Expert Syst. Appl. 2019, 125, 305–316. [Google Scholar] [CrossRef]
- Smith, A. Image segmentation scale parameter optimization and land cover classification using the Random Forest algorithm. J. Spat. Sci. 2010, 55, 69–79. [Google Scholar] [CrossRef]
- Shahrezaee, M. Image segmentation based on world cup optimization algorithm. Majlesi J. Electr. Eng. 2017, 11. Available online: http://mjee.iaumajlesi.ac.ir/index/index.php/ee/article/view/2213 (accessed on 14 September 2021).
- Elaziz, M.A.; Oliva, D.; Ewees, A.A.; Xiong, S. Multi-level thresholding-based grey scale image segmentation using multi-objective multi-verse optimizer. Expert Syst. Appl. 2019, 125, 112–129. [Google Scholar] [CrossRef]
- Chakraborty, R.; Verma, G.; Namasudra, S. IFODPSO-based multi-level image segmentation scheme aided with Masi entropy. J. Ambient. Intell. Humaniz. Comput. 2021, 12, 7793–7811. [Google Scholar] [CrossRef]
- Versaci, M.; Morabito, F.C. Image edge detection: A new approach based on fuzzy entropy and fuzzy divergence. Int. J. Fuzzy Syst. 2021, 1–19. [Google Scholar] [CrossRef]
- Bhandari, A.K. A novel beta differential evolution algorithm-based fast multilevel thresholding for color image segmentation. Neural Comput. Appl. 2020, 32, 4583–4613. [Google Scholar] [CrossRef]
- Xing, Z.; Jia, H. Modified thermal exchange optimization based multilevel thresholding for color image segmentation. Multimed. Tools Appl. 2020, 79, 1137–1168. [Google Scholar] [CrossRef]
- Sepas-Moghaddam, A.; Yazdani, D.; Shahabi, J. A novel hybrid image segmentation method. Prog. Artif. Intell. 2014, 3, 39–49. [Google Scholar] [CrossRef]
- Mahajan, S.; Mittal, N.; Pandit, A.K. Image segmentation using multilevel thresholding based on type II fuzzy entropy and marine predators algorithm. Multimed. Tools Appl. 2021, 80, 19335–19359. [Google Scholar] [CrossRef]














| Threshold | Image | AEO | AEODE | MPA | CS | GWO | SSA | GOA | SSO |
|---|---|---|---|---|---|---|---|---|---|
| 6 | I1 | 0.53396 | 0.5618 | 0.50579 | 0.52352 | 0.51025 | 0.39938 | 0.48972 | 0.53913 |
| I2 | 0.44281 | 0.43436 | 0.41918 | 0.40398 | 0.40233 | 0.52873 | 0.38488 | 0.40887 | |
| I3 | 0.6135 | 0.62192 | 0.59835 | 0.61624 | 0.60716 | 0.64755 | 0.61252 | 0.63662 | |
| I4 | 0.52059 | 0.52952 | 0.48349 | 0.5448 | 0.55125 | 0.52551 | 0.53858 | 0.53506 | |
| I5 | 0.39568 | 0.4004 | 0.37672 | 0.29943 | 0.31531 | 0.39835 | 0.24689 | 0.35574 | |
| I6 | 0.4401 | 0.45909 | 0.41752 | 0.3415 | 0.36174 | 0.39093 | 0.30873 | 0.38448 | |
| I7 | 0.45267 | 0.46214 | 0.4291 | 0.41906 | 0.4188 | 0.54524 | 0.39571 | 0.42966 | |
| I8 | 0.56102 | 0.56591 | 0.54474 | 0.59211 | 0.57265 | 0.64572 | 0.54101 | 0.57902 | |
| I9 | 0.7241 | 0.73382 | 0.71886 | 0.57796 | 0.70238 | 0.71535 | 0.56442 | 0.54372 | |
| I10 | 0.75823 | 0.75492 | 0.73026 | 0.66034 | 0.66138 | 0.77956 | 0.62704 | 0.68312 | |
| 8 | I1 | 0.72614 | 0.72068 | 0.71035 | 0.71459 | 0.70441 | 0.54141 | 0.68052 | 0.70587 |
| I2 | 0.55282 | 0.56874 | 0.58633 | 0.45404 | 0.45667 | 0.52761 | 0.40373 | 0.46437 | |
| I3 | 0.72347 | 0.72196 | 0.70095 | 0.76111 | 0.75279 | 0.65808 | 0.75203 | 0.77642 | |
| I4 | 0.645 | 0.65213 | 0.65855 | 0.60049 | 0.58887 | 0.55473 | 0.57312 | 0.60482 | |
| I5 | 0.63042 | 0.63415 | 0.63535 | 0.55223 | 0.56527 | 0.52105 | 0.53659 | 0.53372 | |
| I6 | 0.6327 | 0.63537 | 0.6475 | 0.51139 | 0.5342 | 0.41109 | 0.44601 | 0.53234 | |
| I7 | 0.61356 | 0.61623 | 0.6379 | 0.58497 | 0.56852 | 0.58721 | 0.53671 | 0.58961 | |
| I8 | 0.72496 | 0.73439 | 0.71537 | 0.64796 | 0.70713 | 0.64018 | 0.63638 | 0.63361 | |
| I9 | 0.77189 | 0.76749 | 0.77213 | 0.80557 | 0.80464 | 0.74337 | 0.78055 | 0.80571 | |
| I10 | 0.8359 | 0.83796 | 0.81993 | 0.77708 | 0.76321 | 0.79199 | 0.73836 | 0.76977 | |
| 15 | I1 | 0.84257 | 0.84348 | 0.83516 | 0.8378 | 0.81281 | 0.6043 | 0.79505 | 0.83572 |
| I2 | 0.70787 | 0.72741 | 0.72224 | 0.67424 | 0.70364 | 0.58825 | 0.58646 | 0.66409 | |
| I3 | 0.82551 | 0.82882 | 0.78965 | 0.85413 | 0.84984 | 0.7061 | 0.82652 | 0.8465 | |
| I4 | 0.76668 | 0.76218 | 0.76217 | 0.73951 | 0.74846 | 0.58438 | 0.68076 | 0.76032 | |
| I5 | 0.80116 | 0.80893 | 0.798 | 0.76274 | 0.78447 | 0.55193 | 0.67289 | 0.76257 | |
| I6 | 0.76882 | 0.76403 | 0.75681 | 0.74085 | 0.72203 | 0.43352 | 0.61737 | 0.75585 | |
| I7 | 0.76895 | 0.77076 | 0.78581 | 0.76759 | 0.79293 | 0.61501 | 0.64608 | 0.76416 | |
| I8 | 0.84272 | 0.83542 | 0.84811 | 0.8248 | 0.83539 | 0.68349 | 0.76642 | 0.82585 | |
| I9 | 0.86649 | 0.87485 | 0.8676 | 0.84894 | 0.8542 | 0.8011 | 0.82481 | 0.83208 | |
| I10 | 0.90939 | 0.91455 | 0.9152 | 0.86198 | 0.84617 | 0.81927 | 0.82345 | 0.84518 | |
| 17 | I1 | 0.86894 | 0.86292 | 0.85717 | 0.87164 | 0.8434 | 0.59045 | 0.83058 | 0.86417 |
| I2 | 0.7478 | 0.76251 | 0.75533 | 0.73452 | 0.75615 | 0.54872 | 0.61554 | 0.72061 | |
| I3 | 0.84686 | 0.83269 | 0.82665 | 0.86869 | 0.86657 | 0.72056 | 0.85029 | 0.87188 | |
| I4 | 0.78076 | 0.80353 | 0.79274 | 0.77364 | 0.77225 | 0.56542 | 0.72636 | 0.77225 | |
| I5 | 0.83757 | 0.84195 | 0.83266 | 0.81014 | 0.82748 | 0.60601 | 0.74483 | 0.80114 | |
| I6 | 0.79235 | 0.79536 | 0.78603 | 0.77734 | 0.77474 | 0.47968 | 0.67667 | 0.80482 | |
| I7 | 0.80524 | 0.81419 | 0.79872 | 0.78759 | 0.81934 | 0.62238 | 0.72879 | 0.7812 | |
| I8 | 0.86742 | 0.87129 | 0.87037 | 0.84137 | 0.8635 | 0.68178 | 0.79223 | 0.85152 | |
| I9 | 0.86965 | 0.87394 | 0.87281 | 0.85917 | 0.85488 | 0.8118 | 0.83079 | 0.85502 | |
| I10 | 0.91904 | 0.91465 | 0.92399 | 0.88497 | 0.85498 | 0.83222 | 0.85329 | 0.87835 | |
| 19 | I1 | 0.87635 | 0.88501 | 0.87613 | 0.883 | 0.86528 | 0.59886 | 0.84743 | 0.88062 |
| I2 | 0.76872 | 0.77978 | 0.78149 | 0.7644 | 0.78806 | 0.59244 | 0.66842 | 0.74173 | |
| I3 | 0.85051 | 0.84382 | 0.83837 | 0.87621 | 0.87408 | 0.69963 | 0.85775 | 0.87997 | |
| I4 | 0.81724 | 0.83029 | 0.82357 | 0.79278 | 0.80193 | 0.55642 | 0.73432 | 0.78558 | |
| I5 | 0.86194 | 0.86551 | 0.84376 | 0.85091 | 0.85249 | 0.57686 | 0.78763 | 0.82448 | |
| I6 | 0.81372 | 0.81319 | 0.81469 | 0.8361 | 0.80929 | 0.49202 | 0.71495 | 0.81491 | |
| I7 | 0.82006 | 0.82438 | 0.83027 | 0.83388 | 0.84005 | 0.64693 | 0.76148 | 0.82062 | |
| I8 | 0.87385 | 0.88711 | 0.87839 | 0.87664 | 0.88092 | 0.72755 | 0.80646 | 0.86929 | |
| I9 | 0.88497 | 0.88746 | 0.88334 | 0.87026 | 0.87113 | 0.81153 | 0.83718 | 0.86986 | |
| I10 | 0.90722 | 0.91623 | 0.92831 | 0.90501 | 0.88699 | 0.82973 | 0.87028 | 0.87877 | |
| 25 | I1 | 0.91122 | 0.91809 | 0.91088 | 0.91508 | 0.90582 | 0.64155 | 0.8951 | 0.91449 |
| I2 | 0.82578 | 0.83129 | 0.82393 | 0.83724 | 0.8647 | 0.63701 | 0.79231 | 0.8200 | |
| I3 | 0.86761 | 0.88327 | 0.88309 | 0.90407 | 0.90137 | 0.7196 | 0.88303 | 0.89804 | |
| I4 | 0.86909 | 0.87565 | 0.85928 | 0.86056 | 0.85436 | 0.60861 | 0.82264 | 0.85181 | |
| I5 | 0.90929 | 0.91231 | 0.90371 | 0.91259 | 0.91112 | 0.60574 | 0.86639 | 0.89367 | |
| I6 | 0.86516 | 0.87165 | 0.86501 | 0.87474 | 0.88643 | 0.57681 | 0.82227 | 0.8918 | |
| I7 | 0.86834 | 0.87462 | 0.86578 | 0.87983 | 0.87767 | 0.66865 | 0.84386 | 0.87017 | |
| I8 | 0.91503 | 0.91964 | 0.91417 | 0.9118 | 0.91455 | 0.75603 | 0.88377 | 0.90359 | |
| I9 | 0.90205 | 0.90818 | 0.90161 | 0.90348 | 0.8934 | 0.81819 | 0.87403 | 0.89324 | |
| I10 | 0.91263 | 0.91849 | 0.91732 | 0.92418 | 0.92226 | 0.8431 | 0.9025 | 0.92624 |
| Threshold | Image | AEO | AEODE | MPA | CS | GWO | GOA | SSO |
|---|---|---|---|---|---|---|---|---|
| 6 | I1 | 14.3825 | 14.8805 | 14.0022 | 14.2535 | 14.123 | 13.5623 | 14.5985 |
| I2 | 16.776 | 16.5781 | 16.25 | 15.8815 | 15.6123 | 15.4548 | 15.9642 | |
| I3 | 10.301 | 10.4584 | 10.0393 | 12.8807 | 12.6054 | 11.3303 | 13.4835 | |
| I4 | 15.5356 | 15.6956 | 14.7613 | 16.2105 | 16.3312 | 16.0247 | 16.0098 | |
| I5 | 13.002 | 13.0219 | 12.7031 | 11.6661 | 11.9035 | 10.8805 | 12.5634 | |
| I6 | 13.8393 | 14.1526 | 13.4173 | 11.9244 | 12.183 | 11.5066 | 12.6031 | |
| I7 | 12.1668 | 12.2929 | 11.7442 | 11.983 | 11.8217 | 11.6867 | 12.3337 | |
| I8 | 13.8981 | 13.9791 | 13.5196 | 14.4894 | 14.0186 | 13.3968 | 14.1717 | |
| I9 | 11.5561 | 12.0803 | 11.0956 | 10.1514 | 10.5988 | 9.38632 | 10.1912 | |
| I10 | 11.394 | 11.3348 | 10.7158 | 14.212 | 14.4238 | 13.0733 | 14.7021 | |
| 8 | I1 | 18.0812 | 18.0815 | 17.6837 | 18.1512 | 17.7062 | 17.0512 | 18.1623 |
| I2 | 19.713 | 19.895 | 20.1166 | 16.8944 | 16.5392 | 15.6426 | 17.0666 | |
| I3 | 12.554 | 12.6388 | 11.8524 | 15.7199 | 15.9636 | 14.909 | 16.5606 | |
| I4 | 18.3923 | 18.567 | 18.5216 | 17.6977 | 17.0637 | 16.7765 | 17.7364 | |
| I5 | 16.5871 | 16.7741 | 16.2219 | 16.0126 | 16.1572 | 15.7477 | 15.7234 | |
| I6 | 17.726 | 17.9671 | 18.0062 | 15.1837 | 15.5847 | 14.0664 | 15.7411 | |
| I7 | 14.8103 | 14.9134 | 14.6142 | 15.9958 | 15.5439 | 15.1388 | 16.2394 | |
| I8 | 17.7434 | 18.0346 | 17.2219 | 15.1528 | 16.8989 | 14.7088 | 15.0617 | |
| I9 | 13.7439 | 13.7056 | 12.8298 | 15.5042 | 15.4239 | 14.2372 | 15.6629 | |
| I10 | 13.6444 | 13.8088 | 12.5811 | 19.1078 | 19.316 | 18.1821 | 18.3384 | |
| 15 | I1 | 22.9214 | 22.977 | 22.2853 | 23.0132 | 21.5091 | 20.8354 | 22.8682 |
| I2 | 23.5558 | 23.861 | 23.5189 | 22.437 | 22.187 | 20.0346 | 22.4572 | |
| I3 | 19.1193 | 19.4112 | 16.7735 | 21.5282 | 19.6672 | 19.2986 | 21.9266 | |
| I4 | 22.3949 | 22.249 | 22.0038 | 21.6674 | 21.6847 | 19.8822 | 22.5474 | |
| I5 | 21.7982 | 22.1718 | 21.3887 | 21.1647 | 21.2952 | 18.609 | 21.1493 | |
| I6 | 22.6571 | 22.4339 | 21.9557 | 21.1505 | 20.3099 | 17.7507 | 21.9507 | |
| I7 | 21.2712 | 22.3375 | 20.2573 | 21.3237 | 20.229 | 18.4218 | 21.5466 | |
| I8 | 22.219 | 22.1627 | 22.2886 | 21.8225 | 21.2988 | 18.7217 | 21.6013 | |
| I9 | 20.1963 | 20.8863 | 18.9355 | 20.9695 | 18.0963 | 17.7748 | 19.9499 | |
| I10 | 21.2212 | 21.558 | 19.7074 | 21.4588 | 21.4665 | 19.492 | 21.4161 | |
| 17 | I1 | 24.0811 | 23.8706 | 23.5962 | 24.5295 | 23.0746 | 22.3151 | 24.2334 |
| I2 | 24.7625 | 25.1301 | 24.5872 | 24.1457 | 24.0483 | 20.8547 | 23.8381 | |
| I3 | 20.8615 | 21.862 | 19.2265 | 23.327 | 20.6577 | 20.9033 | 23.3563 | |
| I4 | 22.9854 | 23.9083 | 23.2481 | 22.8942 | 22.4866 | 20.9846 | 22.8827 | |
| I5 | 23.4436 | 23.4242 | 22.3991 | 22.6849 | 22.8679 | 20.3653 | 22.2991 | |
| I6 | 23.6858 | 23.9178 | 23.1132 | 22.2126 | 22.1551 | 19.2307 | 23.9446 | |
| I7 | 23.0405 | 23.2971 | 21.5097 | 22.6135 | 21.4138 | 20.1451 | 22.1639 | |
| I8 | 23.5485 | 23.847 | 23.4845 | 22.6809 | 22.8869 | 19.9435 | 23.2374 | |
| I9 | 21.3322 | 22.7893 | 20.6068 | 22.7039 | 19.356 | 18.9158 | 21.635 | |
| I10 | 22.9969 | 23.5863 | 21.6966 | 23.1547 | 21.9301 | 20.5416 | 23.0256 | |
| 19 | I1 | 24.4745 | 25.1133 | 24.517 | 25.2359 | 24.251 | 23.0769 | 25.1513 |
| I2 | 25.6186 | 25.4214 | 25.5213 | 25.35 | 24.9708 | 22.2735 | 24.5691 | |
| I3 | 22.5205 | 23.8711 | 20.6197 | 24.743 | 21.7863 | 21.5832 | 25.1239 | |
| I4 | 24.6237 | 25.2183 | 24.561 | 23.7095 | 23.9133 | 21.4378 | 23.342 | |
| I5 | 24.2058 | 24.3305 | 23.3839 | 24.1541 | 23.8568 | 21.7525 | 23.1785 | |
| I6 | 24.6762 | 24.7183 | 24.4006 | 24.8508 | 23.6233 | 20.3269 | 24.0407 | |
| I7 | 23.6407 | 23.9977 | 23.3394 | 24.5317 | 22.6665 | 21.2738 | 24.2728 | |
| I8 | 23.8093 | 24.8603 | 24.0163 | 24.1517 | 23.8789 | 20.4655 | 24.1552 | |
| I9 | 24.225 | 22.7931 | 21.2062 | 22.5229 | 20.8636 | 19.7875 | 22.4684 | |
| I10 | 24.7213 | 24.4432 | 22.0929 | 24.3168 | 22.7555 | 21.4517 | 24.1257 | |
| 25 | I1 | 26.9248 | 27.4147 | 26.7551 | 27.4008 | 26.7323 | 25.7589 | 27.4094 |
| I2 | 27.912 | 28.2136 | 27.5864 | 28.2266 | 28.058 | 26.214 | 27.7472 | |
| I3 | 26.8428 | 27.1681 | 24.4243 | 26.8027 | 23.9304 | 23.9079 | 27.4464 | |
| I4 | 27.1151 | 27.5947 | 26.5531 | 26.7518 | 26.2573 | 24.955 | 26.3363 | |
| I5 | 26.8594 | 27.1087 | 26.1684 | 27.3946 | 26.9059 | 24.8264 | 26.3298 | |
| I6 | 27.1197 | 27.4133 | 26.8836 | 26.7446 | 27.1805 | 23.7763 | 28.3197 | |
| I7 | 26.7169 | 27.0784 | 25.6628 | 27.4061 | 25.9714 | 24.7308 | 26.7924 | |
| I8 | 27.1753 | 27.3743 | 26.6731 | 27.2032 | 26.7091 | 24.6398 | 26.6686 | |
| I9 | 25.9341 | 26.2033 | 24.8043 | 26.5647 | 24.4355 | 23.3068 | 25.7296 | |
| I10 | 26.8821 | 27.2701 | 26.1785 | 27.6637 | 25.9562 | 24.6613 | 27.6004 |
| Threshold | Image | AEO | AEODE | MPA | CS | GWO | SSA | GOA | SSO |
|---|---|---|---|---|---|---|---|---|---|
| 6 | I1 | 17.5265 | 17.5167 | 17.5348 | 17.5163 | 17.5245 | 14.555 | 17.5398 | 17.4546 |
| I2 | 17.5215 | 17.5209 | 17.5372 | 17.2918 | 17.2894 | 15.5694 | 17.3161 | 17.2726 | |
| I3 | 17.5249 | 17.52 | 17.5372 | 17.0874 | 17.0818 | 13.9699 | 17.1016 | 17.0616 | |
| I4 | 17.5298 | 17.5217 | 17.5364 | 17.5522 | 17.5704 | 15.3916 | 17.5896 | 17.5283 | |
| I5 | 17.5273 | 17.5211 | 17.5362 | 15.5982 | 15.5925 | 12.7276 | 15.6182 | 15.6395 | |
| I6 | 17.531 | 17.5214 | 17.5366 | 15.0703 | 15.0806 | 11.5213 | 15.1272 | 15.0172 | |
| I7 | 17.5305 | 17.5192 | 17.5379 | 17.6206 | 17.6236 | 15.135 | 17.3165 | 17.4764 | |
| I8 | 17.5323 | 17.5327 | 17.5334 | 17.5738 | 17.5903 | 15.4892 | 17.6009 | 17.5415 | |
| I9 | 17.5272 | 17.5201 | 17.5359 | 17.4772 | 17.5094 | 14.9546 | 17.5371 | 17.4722 | |
| I10 | 17.5233 | 17.5177 | 17.5364 | 16.7679 | 16.7749 | 14.0574 | 16.7988 | 16.7677 | |
| 8 | I1 | 20.8258 | 20.8222 | 20.8474 | 20.7724 | 20.8195 | 15.6432 | 20.8393 | 20.6894 |
| I2 | 20.8179 | 20.818 | 20.8467 | 20.7772 | 20.8182 | 16.2007 | 20.914 | 20.6923 | |
| I3 | 20.8335 | 20.8203 | 20.8516 | 20.443 | 20.4538 | 14.4673 | 20.5345 | 20.3825 | |
| I4 | 20.8315 | 20.8183 | 20.8546 | 20.9136 | 20.9509 | 16.3078 | 21.0092 | 20.8526 | |
| I5 | 20.8266 | 20.816 | 20.8484 | 18.2622 | 18.322 | 14.1362 | 18.3769 | 18.2611 | |
| I6 | 20.8341 | 20.8238 | 20.8486 | 17.3866 | 17.4261 | 11.5681 | 17.5021 | 17.2807 | |
| I7 | 20.8299 | 20.8306 | 20.8422 | 20.8701 | 20.9101 | 15.3929 | 20.9493 | 20.8268 | |
| I8 | 20.842 | 20.8136 | 20.8474 | 20.8738 | 20.8353 | 15.306 | 20.9881 | 20.8589 | |
| I9 | 20.8349 | 20.8287 | 20.8386 | 20.9832 | 21.0398 | 15.6711 | 21.0546 | 20.9873 | |
| I10 | 20.826 | 20.8282 | 20.8418 | 19.9763 | 20.0173 | 14.7812 | 20.0601 | 19.9178 | |
| 15 | I1 | 29.6442 | 29.6133 | 29.6279 | 29.3907 | 29.4684 | 16.2101 | 29.8008 | 29.2784 |
| I2 | 29.6674 | 29.6322 | 29.6724 | 29.6823 | 29.7556 | 16.0706 | 28.5566 | 29.6875 | |
| I3 | 29.6503 | 29.5867 | 29.5937 | 29.2606 | 29.2624 | 14.0884 | 28.5465 | 29.131 | |
| I4 | 29.6753 | 29.5881 | 29.6813 | 29.5308 | 29.6343 | 15.9021 | 30.0178 | 29.5538 | |
| I5 | 29.6461 | 29.6588 | 29.6368 | 25.204 | 25.2145 | 13.7662 | 25.7182 | 25.2165 | |
| I6 | 29.6671 | 29.6193 | 29.6527 | 23.6303 | 23.6167 | 11.6248 | 24.2313 | 23.1818 | |
| I7 | 29.6416 | 29.6049 | 29.6934 | 29.4742 | 29.5973 | 14.9086 | 28.6135 | 29.4155 | |
| I8 | 29.6577 | 29.6269 | 29.6843 | 30.0662 | 30.1392 | 15.5166 | 28.6444 | 30.0349 | |
| I9 | 29.6793 | 29.6249 | 29.6955 | 29.748 | 30.0096 | 15.2901 | 28.5204 | 29.9023 | |
| I10 | 29.6519 | 29.5961 | 29.6896 | 28.8684 | 28.9454 | 14.781 | 29.281 | 28.8635 | |
| 17 | I1 | 32.3488 | 32.2296 | 32.3095 | 31.9577 | 31.9444 | 16.0424 | 31.0762 | 31.8416 |
| I2 | 32.2875 | 32.2371 | 32.3061 | 32.3915 | 32.4331 | 15.7114 | 33.0069 | 32.4197 | |
| I3 | 32.3439 | 32.214 | 32.3012 | 31.7861 | 31.7911 | 15.0282 | 32.4284 | 31.6946 | |
| I4 | 32.2961 | 32.2027 | 32.2791 | 32.1339 | 32.1396 | 16.4578 | 32.7554 | 32.1749 | |
| I5 | 32.3251 | 32.2187 | 32.3283 | 27.1632 | 27.2144 | 13.1787 | 27.7373 | 27.2223 | |
| I6 | 32.3018 | 32.1828 | 32.2808 | 25.2824 | 25.287 | 11.5259 | 26.1223 | 24.6364 | |
| I7 | 32.2647 | 32.2341 | 32.3332 | 32.1072 | 32.1944 | 15.0693 | 32.6285 | 32.099 | |
| I8 | 32.3107 | 32.215 | 32.3415 | 32.6783 | 32.71 | 15.2613 | 33.3399 | 32.6571 | |
| I9 | 32.347 | 32.2675 | 32.2917 | 32.4441 | 32.5326 | 14.957 | 30.9936 | 32.4632 | |
| I10 | 32.3163 | 32.1987 | 32.3126 | 31.4601 | 31.5808 | 14.6868 | 31.0726 | 31.5033 | |
| 19 | I1 | 34.8139 | 34.8003 | 34.8714 | 34.3638 | 34.2342 | 16.3417 | 33.2823 | 34.2175 |
| I2 | 34.8117 | 34.7727 | 34.8053 | 34.9751 | 34.9733 | 16.3809 | 33.3096 | 35.0698 | |
| I3 | 34.8028 | 34.6484 | 34.7831 | 34.2196 | 34.14 | 14.9697 | 35.0649 | 34.0982 | |
| I4 | 34.8114 | 34.7633 | 34.8187 | 34.6671 | 34.6481 | 15.7964 | 35.3929 | 34.6825 | |
| I5 | 34.8495 | 34.7301 | 34.826 | 28.9961 | 29.036 | 13.6795 | 29.684 | 29.1493 | |
| I6 | 34.8331 | 34.7356 | 34.8254 | 26.7512 | 26.5405 | 11.5293 | 27.536 | 25.9821 | |
| I7 | 34.82 | 34.7292 | 34.8609 | 34.6364 | 34.73 | 15.3604 | 35.3216 | 34.5569 | |
| I8 | 34.808 | 34.7364 | 34.799 | 35.2033 | 35.228 | 15.4885 | 35.9805 | 35.2658 | |
| I9 | 34.8603 | 34.7427 | 34.8427 | 34.9619 | 35.0218 | 15.9977 | 33.319 | 35.0619 | |
| I10 | 34.8632 | 34.768 | 34.8505 | 33.9221 | 34.0155 | 15.1945 | 33.3191 | 34.0152 | |
| 25 | I1 | 41.8453 | 41.7239 | 41.6587 | 41.0703 | 40.6435 | 17.1863 | 39.5637 | 40.9583 |
| I2 | 41.8725 | 41.6996 | 41.7333 | 42.1871 | 41.8686 | 16.6713 | 42.9219 | 42.1336 | |
| I3 | 41.8546 | 41.756 | 41.7622 | 40.6073 | 40.2479 | 15.2268 | 41.681 | 40.417 | |
| I4 | 41.8022 | 41.6242 | 41.7986 | 41.5551 | 41.2241 | 17.3623 | 42.4607 | 41.6875 | |
| I5 | 41.8499 | 41.7091 | 41.724 | 33.8368 | 33.7225 | 14.7999 | 34.7461 | 33.9924 | |
| I6 | 41.8209 | 41.6941 | 41.7224 | 30.4701 | 29.6229 | 12.2152 | 32.0503 | 29.2935 | |
| I7 | 41.8718 | 41.7143 | 41.6714 | 41.5924 | 41.4857 | 16.0446 | 39.5462 | 41.5544 | |
| I8 | 41.8436 | 41.6505 | 41.671 | 42.3413 | 42.1102 | 16.375 | 39.7254 | 42.3516 | |
| I9 | 41.8299 | 41.632 | 41.6478 | 41.8899 | 41.9941 | 16.2916 | 39.5576 | 42.1339 | |
| I10 | 41.8737 | 41.7306 | 41.7884 | 40.8165 | 40.4964 | 15.9225 | 39.7665 | 40.7734 |
| PSNR | SSIM | Fitness | |||||||||||||||||
|---|---|---|---|---|---|---|---|---|---|---|---|---|---|---|---|---|---|---|---|
| T | I | AEO | MPA | CS | GWO | GOA | SSO | AEO | MPA | CS | GWO | GOA | SSO | AEO | MPA | CS | GWO | GOA | SSO |
| 6 | I1 | −5.0 | −10.0 | −6.8 | −9.2 | −12.8 | −4.0 | −3.3 | −5.9 | −4.2 | −5.1 | −8.9 | −1.9 | 0.1 | 0.1 | −0.0 | 0.0 | 0.1 | −0.4 |
| I2 | 1.9 | −3.5 | −7.0 | −7.4 | −11.4 | −5.9 | 1.2 | −2.0 | −4.2 | −5.8 | −6.8 | −3.7 | 0.0 | 0.1 | −1.3 | −1.3 | −1.2 | −1.4 | |
| I3 | −1.4 | −3.8 | −0.9 | −2.4 | −1.5 | 2.4 | −1.5 | −4.0 | 23.2 | 20.5 | 8.3 | 28.9 | 0.0 | 0.1 | −2.5 | −2.5 | −2.4 | −2.6 | |
| I4 | −1.7 | −8.7 | 2.9 | 4.1 | 1.7 | 1.0 | −1.0 | −6.0 | 3.3 | 4.0 | 2.1 | 2.0 | 0.0 | 0.1 | 0.2 | 0.3 | 0.4 | 0.0 | |
| I5 | −1.2 | −5.9 | −25.2 | −21.3 | −38.3 | −11.2 | −0.2 | −2.4 | −10.4 | −8.6 | −16.4 | −3.5 | 0.0 | 0.1 | −11.0 | −11.0 | −10.9 | −10.7 | |
| I6 | −4.1 | −9.1 | −25.6 | −21.2 | −32.8 | −16.3 | −2.2 | −5.2 | −15.7 | −13.9 | −18.7 | −10.9 | 0.1 | 0.1 | −14.0 | −13.9 | −13.7 | −14.3 | |
| I7 | −2.0 | −7.1 | −9.3 | −9.4 | −14.4 | −7.0 | −1.0 | −4.5 | −2.5 | −3.8 | −4.9 | 0.3 | 0.1 | 0.1 | 0.6 | 0.6 | −1.2 | −0.2 | |
| I8 | −0.9 | −3.7 | 4.6 | 1.2 | −4.4 | 2.3 | −0.6 | −3.3 | 3.7 | 0.3 | −4.2 | 1.4 | −0.0 | 0.0 | 0.2 | 0.3 | 0.4 | 0.1 | |
| I9 | −1.3 | −2.0 | −21.2 | −4.3 | −23.1 | −25.9 | −4.3 | −8.2 | −16.0 | −12.3 | −22.3 | −15.6 | 0.0 | 0.1 | −0.2 | −0.1 | 0.1 | −0.3 | |
| I10 | 0.4 | −3.3 | −12.5 | −12.4 | −16.9 | −9.5 | 0.5 | −5.5 | 25.4 | 27.3 | 15.3 | 29.7 | 0.0 | 0.1 | −4.3 | −4.2 | −4.1 | −4.3 | |
| 8 | I1 | 0.8 | −1.4 | −0.8 | −2.3 | −5.6 | −2.1 | −0.0 | −2.2 | 0.4 | −2.1 | −5.7 | 0.4 | 0.0 | 0.1 | −0.2 | −0.0 | 0.1 | −0.6 |
| I2 | −2.8 | 3.1 | −20.2 | −19.7 | −29.0 | −18.4 | −0.9 | 1.1 | −15.1 | −16.9 | −21.4 | −14.2 | −0.0 | 0.1 | −0.2 | 0.0 | 0.5 | −0.6 | |
| I3 | 0.2 | −2.9 | 5.4 | 4.3 | 4.2 | 7.5 | −0.7 | −6.2 | 24.4 | 26.3 | 18.0 | 31.0 | 0.1 | 0.2 | −1.8 | −1.8 | −1.4 | −2.1 | |
| I4 | −1.1 | 1.0 | −7.9 | −9.7 | −12.1 | −7.3 | −0.9 | −0.2 | −4.7 | −8.1 | −9.6 | −4.5 | 0.1 | 0.2 | 0.5 | 0.6 | 0.9 | 0.2 | |
| I5 | −0.6 | 0.2 | −12.9 | −10.9 | −15.4 | −15.8 | −1.1 | −3.3 | −4.5 | −3.7 | −6.1 | −6.3 | 0.1 | 0.2 | −12.3 | −12.0 | −11.7 | −12.3 | |
| I6 | −0.4 | 1.9 | −19.5 | −15.9 | −29.8 | −16.2 | −1.3 | 0.2 | −15.5 | −13.3 | −21.7 | −12.4 | 0.0 | 0.1 | −16.5 | −16.3 | −16.0 | −17.0 | |
| I7 | −0.4 | 3.5 | −5.1 | −7.7 | −12.9 | −4.3 | −0.7 | −2.0 | 7.3 | 4.2 | 1.5 | 8.9 | −0.0 | 0.1 | 0.2 | 0.4 | 0.6 | −0.0 | |
| I8 | −1.3 | −2.6 | −11.8 | −3.7 | −13.3 | −13.7 | −1.6 | −4.5 | −16.0 | −6.3 | −18.4 | −16.5 | 0.1 | 0.2 | 0.3 | 0.1 | 0.8 | 0.2 | |
| I9 | 0.6 | 0.6 | 5.0 | 4.8 | 1.7 | 5.0 | 0.3 | −6.4 | 13.1 | 12.5 | 3.9 | 14.3 | 0.0 | 0.0 | 0.7 | 1.0 | 1.1 | 0.8 | |
| I10 | −0.2 | −2.2 | −7.3 | −8.9 | −11.9 | −8.1 | −1.2 | −8.9 | 38.4 | 39.9 | 31.7 | 32.8 | −0.0 | 0.1 | −4.1 | −3.9 | −3.7 | −4.4 | |
| 15 | I1 | −0.1 | −1.0 | −0.7 | −3.6 | −5.7 | −0.9 | −0.2 | −3.0 | 0.2 | −6.4 | −9.3 | −0.5 | 0.1 | 0.0 | −0.8 | −0.5 | 0.6 | −1.1 |
| I2 | −2.7 | −0.7 | −7.3 | −3.3 | −19.4 | −8.7 | −1.3 | −1.4 | −6.0 | −7.0 | −16.0 | −5.9 | 0.1 | 0.1 | 0.2 | 0.4 | −3.6 | 0.2 | |
| I3 | −0.4 | −4.7 | 3.1 | 2.5 | −0.3 | 2.1 | −1.5 | −13.6 | 10.9 | 1.3 | −0.6 | 13.0 | 0.2 | 0.0 | −1.1 | −1.1 | −3.5 | −1.5 | |
| I4 | 0.6 | −0.0 | −3.0 | −1.8 | −10.7 | −0.2 | 0.7 | −1.1 | −2.6 | −2.5 | −10.6 | 1.3 | 0.3 | 0.3 | −0.2 | 0.2 | 1.5 | −0.1 | |
| I5 | −1.0 | −1.4 | −5.7 | −3.0 | −16.8 | −5.7 | −1.7 | −3.5 | −4.5 | −4.0 | −16.1 | −4.6 | −0.0 | −0.1 | −15.0 | −15.0 | −13.3 | −15.0 | |
| I6 | 0.6 | −0.9 | −3.0 | −5.5 | −19.2 | −1.1 | 1.0 | −2.1 | −5.7 | −9.5 | −20.9 | −2.2 | 0.2 | 0.1 | −20.2 | −20.3 | −18.2 | −21.7 | |
| I7 | −0.2 | 2.0 | −0.4 | 2.9 | −16.2 | −0.9 | −4.8 | −9.3 | −4.5 | −9.4 | −17.5 | −3.5 | 0.1 | 0.3 | −0.4 | −0.0 | −3.3 | −0.6 | |
| I8 | 0.9 | 1.5 | −1.3 | −0.0 | −8.3 | −1.1 | 0.3 | 0.6 | −1.5 | −3.9 | −15.5 | −2.5 | 0.1 | 0.2 | 1.5 | 1.7 | −3.3 | 1.4 | |
| I9 | −1.0 | −0.8 | −3.0 | −2.4 | −5.7 | −4.9 | −3.3 | −9.3 | 0.4 | −13.4 | −14.9 | −4.5 | 0.2 | 0.2 | 0.4 | 1.3 | −3.7 | 0.9 | |
| I10 | −0.6 | 0.1 | −5.7 | −7.5 | −10.0 | −7.6 | −1.6 | −8.6 | −0.5 | −0.4 | −9.6 | −0.7 | 0.2 | 0.3 | −2.5 | −2.2 | −1.1 | −2.5 | |
| 17 | I1 | 0.7 | −0.7 | 1.0 | −2.3 | −3.7 | 0.1 | 0.9 | −1.1 | 2.8 | −3.3 | −6.5 | 1.5 | 0.4 | 0.2 | −0.8 | −0.9 | −3.6 | −1.2 |
| I2 | −1.9 | −0.9 | −3.7 | −0.8 | −19.3 | −5.5 | −1.5 | −2.2 | −3.9 | −4.3 | −17.0 | −5.1 | 0.2 | 0.2 | 0.5 | 0.6 | 2.4 | 0.6 | |
| I3 | 1.7 | −0.7 | 4.3 | 4.1 | 2.1 | 4.7 | −4.6 | −12.1 | 6.7 | −5.5 | −4.4 | 6.8 | 0.4 | 0.3 | −1.3 | −1.3 | 0.7 | −1.6 | |
| I4 | −2.8 | −1.3 | −3.7 | −3.9 | −9.6 | −3.9 | −3.9 | −2.8 | −4.2 | −5.9 | −12.2 | −4.3 | 0.3 | 0.2 | −0.2 | −0.2 | 1.7 | −0.1 | |
| I5 | −0.5 | −1.1 | −3.8 | −1.7 | −11.5 | −4.8 | 0.1 | −4.4 | −3.2 | −2.4 | −13.1 | −4.8 | 0.3 | 0.3 | −15.7 | −15.5 | −13.9 | −15.5 | |
| I6 | −0.4 | −1.2 | −2.3 | −2.6 | −14.9 | 1.2 | −1.0 | −3.4 | −7.1 | −7.4 | −19.6 | 0.1 | 0.4 | 0.3 | −21.4 | −21.4 | −18.8 | −23.4 | |
| I7 | −1.1 | −1.9 | −3.3 | 0.6 | −10.5 | −4.1 | −1.1 | −7.7 | −2.9 | −8.1 | −13.5 | −4.9 | 0.1 | 0.3 | −0.4 | −0.1 | 1.2 | −0.4 | |
| I8 | −0.4 | −0.1 | −3.4 | −0.9 | −9.1 | −2.3 | −1.3 | −1.5 | −4.9 | −4.0 | −16.4 | −2.6 | 0.3 | 0.4 | 1.4 | 1.5 | 3.5 | 1.4 | |
| I9 | −0.5 | −0.1 | −1.7 | −2.2 | −4.9 | −2.2 | −6.4 | −9.6 | −0.4 | −15.1 | −17.0 | −5.1 | 0.2 | 0.1 | 0.5 | 0.8 | −3.9 | 0.6 | |
| I10 | 0.5 | 1.0 | −3.2 | −6.5 | −6.7 | −4.0 | −2.5 | −8.0 | −1.8 | −7.0 | −12.9 | −2.4 | 0.4 | 0.4 | −2.3 | −1.9 | −3.5 | −2.2 | |
| 19 | I1 | −1.0 | −1.0 | −0.2 | −2.2 | −4.2 | −0.5 | −2.5 | −2.4 | 0.5 | −3.4 | −8.1 | 0.2 | 0.0 | 0.2 | −1.3 | −1.6 | −4.4 | −1.7 |
| I2 | −1.4 | 0.2 | −2.0 | 1.1 | −14.3 | −4.9 | 0.8 | 0.4 | −0.3 | −1.8 | −12.4 | −3.4 | 0.1 | 0.1 | 0.6 | 0.6 | −4.2 | 0.9 | |
| I3 | 0.8 | −0.6 | 3.8 | 3.6 | 1.7 | 4.3 | −5.7 | −13.6 | 3.7 | −8.7 | −9.6 | 5.2 | 0.4 | 0.4 | −1.2 | −1.5 | 1.2 | −1.6 | |
| I4 | −1.6 | −0.8 | −4.5 | −3.4 | −11.6 | −5.4 | −2.4 | −2.6 | −6.0 | −5.2 | −15.0 | −7.4 | 0.1 | 0.2 | −0.3 | −0.3 | 1.8 | −0.2 | |
| I5 | −0.4 | −2.5 | −1.7 | −1.5 | −9.0 | −4.7 | −0.5 | −3.9 | −0.7 | −1.9 | −10.6 | −4.7 | 0.3 | 0.3 | −16.5 | −16.4 | −14.5 | −16.1 | |
| I6 | 0.1 | 0.2 | 2.8 | −0.5 | −12.1 | 0.2 | −0.2 | −1.3 | 0.5 | −4.4 | −17.8 | −2.7 | 0.3 | 0.3 | −23.0 | −23.6 | −20.7 | −25.2 | |
| I7 | −0.5 | 0.7 | 1.2 | 1.9 | −7.6 | −0.5 | −1.5 | −2.7 | 2.2 | −5.5 | −11.4 | 1.1 | 0.3 | 0.4 | −0.3 | 0.0 | 1.7 | −0.5 | |
| I8 | −1.5 | −1.0 | −1.2 | −0.7 | −9.1 | −2.0 | −4.2 | −3.4 | −2.9 | −3.9 | −17.7 | −2.8 | 0.2 | 0.2 | 1.3 | 1.4 | 3.6 | 1.5 | |
| I9 | −0.3 | −0.5 | −1.9 | −1.8 | −5.7 | −2.0 | 6.3 | −7.0 | −1.2 | −8.5 | −13.2 | −1.4 | 0.3 | 0.3 | 0.6 | 0.8 | −4.1 | 0.9 | |
| I10 | −1.0 | 1.3 | −1.2 | −3.2 | −5.0 | −4.1 | 1.1 | −9.6 | −0.5 | −6.9 | −12.2 | −1.3 | 0.3 | 0.2 | −2.4 | −2.2 | −4.2 | −2.2 | |
| 25 | I1 | −0.7 | −0.8 | −0.3 | −1.3 | −2.5 | −0.4 | −1.8 | −2.4 | −0.1 | −2.5 | −6.0 | −0.0 | 0.3 | −0.2 | −1.6 | −2.6 | −5.2 | −1.8 |
| I2 | −0.7 | −0.9 | 0.7 | 4.0 | −4.7 | −1.4 | −1.1 | −2.2 | 0.0 | −0.6 | −7.1 | −1.7 | 0.4 | 0.1 | 1.2 | 0.4 | 2.9 | 1.0 | |
| I3 | −1.8 | −0.0 | 2.4 | 2.0 | −0.0 | 1.7 | −1.2 | −10.1 | −1.3 | −11.9 | −12.0 | 1.0 | 0.2 | 0.0 | −2.8 | −3.6 | −0.2 | −3.2 | |
| I4 | −0.7 | −1.9 | −1.7 | −2.4 | −6.1 | −2.7 | −1.7 | −3.8 | −3.1 | −4.8 | −9.6 | −4.6 | 0.4 | 0.4 | −0.2 | −1.0 | 2.0 | 0.2 | |
| I5 | −0.3 | −0.9 | 0.0 | −0.1 | −5.0 | −2.0 | −0.9 | −3.5 | 1.1 | −0.7 | −8.4 | −2.9 | 0.3 | 0.0 | −18.9 | −19.1 | −16.7 | −18.5 | |
| I6 | −0.7 | −0.8 | 0.4 | 1.7 | −5.7 | 2.3 | −1.1 | −1.9 | −2.4 | −0.8 | −13.3 | 3.3 | 0.3 | 0.1 | −26.9 | −29.0 | −23.1 | −29.7 | |
| I7 | −0.7 | −1.0 | 0.6 | 0.3 | −3.5 | −0.5 | −1.3 | −5.2 | 1.2 | −4.1 | −8.7 | −1.1 | 0.4 | −0.1 | −0.3 | −0.5 | −5.2 | −0.4 | |
| I8 | −0.5 | −0.6 | −0.9 | −0.6 | −3.9 | −1.7 | −0.7 | −2.6 | −0.6 | −2.4 | −10.0 | −2.6 | 0.5 | 0.0 | 1.7 | 1.1 | −4.6 | 1.7 | |
| I9 | −0.7 | −0.7 | −0.5 | −1.6 | −3.8 | −1.6 | −1.0 | −5.3 | 1.4 | −6.7 | −11.1 | −1.8 | 0.5 | 0.0 | 0.6 | 0.9 | −5.0 | 1.2 | |
| I10 | −0.6 | −0.1 | 0.6 | 0.4 | −1.7 | 0.8 | −1.4 | −4.0 | 1.4 | −4.8 | −9.6 | 1.2 | 0.3 | 0.1 | −2.2 | −3.0 | −4.7 | −2.3 | |
| AEODE | AEO | MPA | CS | GWO | SSA | GOA | SSO | |
|---|---|---|---|---|---|---|---|---|
| SSIM | 6.617 | 5.617 | 5.267 | 5.017 | 4.742 | 2.083 | 2.183 | 4.475 |
| PSNR | 5.750 | 4.700 | 3.350 | 4.783 | 3.300 | 1.100 | 1.483 | 4.633 |
| Fitness | 4.750 | 6.100 | 6.267 | 4.233 | 4.633 | 1.000 | 5.217 | 3.800 |
Publisher’s Note: MDPI stays neutral with regard to jurisdictional claims in published maps and institutional affiliations. |
© 2021 by the authors. Licensee MDPI, Basel, Switzerland. This article is an open access article distributed under the terms and conditions of the Creative Commons Attribution (CC BY) license (https://creativecommons.org/licenses/by/4.0/).
Share and Cite
Ewees, A.A.; Abualigah, L.; Yousri, D.; Sahlol, A.T.; Al-qaness, M.A.A.; Alshathri, S.; Elaziz, M.A. Modified Artificial Ecosystem-Based Optimization for Multilevel Thresholding Image Segmentation. Mathematics 2021, 9, 2363. https://doi.org/10.3390/math9192363
Ewees AA, Abualigah L, Yousri D, Sahlol AT, Al-qaness MAA, Alshathri S, Elaziz MA. Modified Artificial Ecosystem-Based Optimization for Multilevel Thresholding Image Segmentation. Mathematics. 2021; 9(19):2363. https://doi.org/10.3390/math9192363
Chicago/Turabian StyleEwees, Ahmed A., Laith Abualigah, Dalia Yousri, Ahmed T. Sahlol, Mohammed A. A. Al-qaness, Samah Alshathri, and Mohamed Abd Elaziz. 2021. "Modified Artificial Ecosystem-Based Optimization for Multilevel Thresholding Image Segmentation" Mathematics 9, no. 19: 2363. https://doi.org/10.3390/math9192363
APA StyleEwees, A. A., Abualigah, L., Yousri, D., Sahlol, A. T., Al-qaness, M. A. A., Alshathri, S., & Elaziz, M. A. (2021). Modified Artificial Ecosystem-Based Optimization for Multilevel Thresholding Image Segmentation. Mathematics, 9(19), 2363. https://doi.org/10.3390/math9192363

