Next Article in Journal
Cluster Flows and Multiagent Technology
Next Article in Special Issue
A Multicriteria Goal Programming Model for Ranking Universities
Previous Article in Journal
Fundamentals of Synthesized Optimal Control
Previous Article in Special Issue
A Failure Mode Assessment Model Based on Neutrosophic Logic for Switched-Mode Power Supply Risk Analysis
 
 
Font Type:
Arial Georgia Verdana
Font Size:
Aa Aa Aa
Line Spacing:
Column Width:
Background:
Article

A Multiobjective Model for Analysis of the Relationships between Military Expenditures, Security, and Human Development in NATO Countries

by
Patricio Vallejo-Rosero
1,2,
M. Carmen García-Centeno
3,
Laura Delgado-Antequera
4,*,
Osvaldo Fosado
5 and
Rafael Caballero
4
1
Programa de Doctorado en Economía y Empresa, Universidad de Málaga, 29013 Málaga, Spain
2
Oficial de Estado Mayor Técnico de la Fuerza Aérea Ecuatoriana, Calle Exposición 208, La Recoleta, Quito 170403, Ecuador
3
Departamento de Matemática Aplicada y Estadística, Universidad CEU San Pablo, c/Julian Romea 23, 28003 Madrid, Spain
4
Departamento de Economia Aplicada (Matematicas), Universidad de Málaga, c/Ejido 6, 29013 Málaga, Spain
5
Instituto de Posgrado, Universidad Técnica de Manabí, Avenida Urbina y Ché Guevara, Portoviejo, Manabí 130105, Ecuador
*
Author to whom correspondence should be addressed.
Mathematics 2021, 9(1), 23; https://doi.org/10.3390/math9010023
Submission received: 27 November 2020 / Revised: 14 December 2020 / Accepted: 21 December 2020 / Published: 24 December 2020
(This article belongs to the Special Issue Recent Advances and Applications in Multi-Criteria Decision Analysis)

Abstract

The aim of this work is to design a multiobjective model to explain the behavior among military expenditures (MEs), the human development index, and the global peace index in countries belonging to the North Atlantic Treaty Organization (NATO) for the study period 2008–2016. In order to solve this problem, different decision variables have been considered: health expenditure, education expenditure, Gross Domestic Product (GDP), collected taxes, public debt, and R&D costs, which are related to health, education, and economic sectors. To determine the relationships among decision variables making up the objective functions and model constraints, different panel data models were estimated. The obtained results show that the major part of the NATO countries present a behavior which differs from what is efficient. In this context, this work highlights the path to follow by each country, such as the implementation of public budget policies in the health and education sectors, and for collected taxes and public debt, to achieve efficient solutions.

1. Introduction

The security and development of states are constant national issues that define the strategic, political, economic, and social positions of governments. In general terms, governments’ aim is to define the best structure for the public budget to maximize societal well-being and development. Military expenditure (ME) is an important component of this budget, as it improves the state’s capacity to protect the national interest from possible threats [1]. In countries that belong to the North Atlantic Treaty Organization (NATO), however, other factors also contribute to the maintenance of security. In this work, we focus only on MEs among these factors.
MEs have been studied exhaustively to understand related decision making and its impacts on different aspects of society, such as the economy, security, and human development. These efforts, to prove the relation between MEs and the other state sectors, were made considering organizations such as OECD (Organization for Economic Co-operation and Development), NATO (North Atlantic Treaty Organization), BRICS (Brazil, Russia, India, China, and South Africa), G7 (Germany, Canada, the United States of America, France, Italy, Japan, and the United Kingdom), regions (i.e., from Europe, Asia, and Latin America), and also individual countries such as Brazil, United States, Spain, England, Sri Lanka, and Turkey. In [2], it was pointed out that empirical studies of MEs have been conducted from two different perspectives: models of the arms race based on [3], which introduced the increase in weapons within an action/reaction frame and seems to be appropriate for the analysis of the situations of countries involved in conflict; and the proposition that MEs are determined by economic, political, and military aspects and that the state maximizes the social well-being function, of which the security achieved by MEs is a key component [4,5].
In this work, we face several research questions: on the one hand, to determine the relation between military expenditure, Global Peace Index (GPI), and Human Development Index (HDI), as well as its conflict level, and to analyze the most influential variables in the performance of these objectives and their relationships. On the other hand, an important aspect is to determine if a given country could improve in terms of the objectives under study. Finally, we would like to analyze the differences between the situations of NATO countries, with respect to the efficient values of the objectives considered.
Several researchers have examined the relationship between MEs and economic growth [6,7,8]. [7] concluded that most of the models applied were ad hoc and lacked well-defined economic bases. In this context, [9] proposed a model to address the shortcoming noted by [7] with a fundamental two-sector model for examination of the effect of exportation on economic growth. According to [8], the study of MEs in developing countries focuses on fundamental questions related to development and growth, government, and security, which are difficult to quantify and model properly. They divide theoretical models of the relationship between MEs and growth into three sets: those analyzing the roles of offer and demand in capital gain (Keynesian), those that highlight positive or negative externalities, and those that emphasize that security is a public property. Empirical models have been established based on a single equation estimated using the ordinary least-squares method. However, a single equation cannot encompass the multiple and complex interrelationship of MEs with the economy. As defense and economic growth are related to security and development, theoretical models should encompass the broad context of the socioeconomic situation and yield multivariable explanations. Recently, [10,11] revised this multivariable relationship using countries panels between 1992–2006, 1998–2012, and 1970–2014. Hence, we propose that relationships among the objectives MEs, security, and development be analyzed simultaneously to answer the first question mentioned. This goal requires the use of a methodology that facilitates understanding of the combination of these objectives during decision making, such as multicriteria decision-making analysis. Multiobjective programming enables work with several objectives in a feasible region with the aim of determining their Pareto front [12]. The action plan for the countries, considering the given objectives, is far from being homogeneous, because of different intrinsic aspects related to each country: political, economic, social, cultural… For this reason, one of the best methods to embrace all these action disparities and to analyze a simultaneous study of the different performances is multiobjective programming, which enables the determination of efficient behaviors. In this context, the proposed model is one of the major contributions of our work, from a methodological point of view, as well as its utility in economy, politics, and social improvement.
In this work, our aim was to formulate a multiobjective programming model to identify the best solutions that simultaneously maximize the human development index (HDI) and minimize MEs and the global peace index (GPI) (The objective is to minimize the GPI, as lower values indicate better situations). We take a multiobjective perspective to identify a set of behaviors that efficiently achieves these objectives, which are initially in conflict with each other. A constraint set, in particular, a feasible set proposing different types of limit, must be defined. This set includes decision variables related to budget assignation, such as education expenditures, R&D costs, and those related to sanitary aspects, as well as variables such as taxes collected, public debt, and the gross domestic product (GDP). To formulate the multiobjective programing problem, the three objective functions and the set of constraints must be estimated. Although the ordinary least-squares method has been used for this purpose in many previous studies, we applied panel data models to take advantage of the available information and obtain better parameter estimates. This will allow us to determine the variables involved in the objectives and that relationship. In this context, one might find a few results, but using a goal programming perspective [13,14,15] instead of a constraint method. This will permit us to generate the Pareto front and the position of the NATO countries with respect to it.
Although no previous work has sought a solution to this kind of problem using a multiobjective perspective, this study could be framed partially as a budget assignation problem [16,17,18] addressed from a sustainability perspective [19]. The proposed model shows the effects of budget assignations (e.g., for education, healthcare, R&D, and taxes) on a country’s MEs, human development, and security. The findings will facilitate decision makers’ support of public policies that promote the efficient distribution of resources.
The rest of the paper is structured as follows. In Section 2, the data collected are described and the variables selected for the analysis are defined. Section 3 contains a description of the methodology. Results are detailed in Section 4 and conclusions are presented in Section 5.

2. Database and Variable Description

2.1. Data Set

We built a database with data from several official sources, due to differences in variable characteristics and to ensure the standardization, acceptance, and reliability of the study results. The dataset includes annual information applied to a balanced panel from NATO, with a set of three dependent variables and seven independent variables (Table 1), over the study period 2008–2016 (This is the last year with available data for all variables). We used data from 27 of the 29 countries covered by the NATO dataset (excluding Luxemburg and Montenegro due to missing data) for our analysis. The Stockholm International Peace Research Institute (Source: https://www.sipri.org/databases/milex), established in 1966, is the source for countries’ ME data. We also included data from the United Nations Development Programme (UNDP (Source: http://hdr.undp.org/en/data)), created in 1965; this organization determines HDIs, which are summary measures of average achievement in key dimensions of human development: people’s ability to live long healthy lives, be knowledgeable, and have a decent standard of living. The available data cover 2000–2016, but we focused on the study period of 2008–2016. We obtained information on GPIs (Source: http://visionofhumanity.org/indexes/global-peace-index/), representing the security sector, from the Institute for Economics and Peace, founded in 2007. The main source of data for most of the explanatory variables was the World Bank Group (Source: https://databank.worldbank.org/source/world-development-indicators), founded in 1944, as it provides a complete dataset that is well-accepted worldwide. We obtained information on public debt from the International Monetary Fund (Source: https://www.imf.org/en/About), founded in 1945.

2.2. Variables

The continuous variables included in the econometric and multiobjective analyses are summarized in Table 1. The three objective functions considered in this analysis are MEs, the HDI, and the GPI, for 27 countries from the NATO dataset (Albania, Belgium, Bulgaria, Canada, Croatia, Czech Republic, Denmark, Estonia, France, Germany, Greece, Hungary, Iceland, Italy, Latvia, Lithuania, the Netherlands, Norway, Poland, Portugal, Romania, Slovakia, Slovenia, Spain, Turkey, the United Kingdom, and the United States).
MEs include usual and capital costs related to (i) the armed forces, including peace-keeping forces; (ii) defense ministries and other government agencies engaged in defense projects; (iii) paramilitary forces provided for military operations; and (iv) military space activities. These costs include all labor expenditures for current military and civilian personnel and expenditures for retirees’ pensions and social services, operations and maintenance, procurement, military research and development, military infrastructure (including construction), and military aid.
The HDI is the main tool used to measure well-being and development among countries. According to the UNDP, it was introduced in 1990 to provide a novel perspective for the improvement of humanity’s well-being. It aims to aid the expansion of human wealth, instead of economic wealth alone. It focuses on people and their opportunities and decisions, summarizing three key dimensions: a long and healthy life, acquirement of knowledge, and the capacity to achieve a decent level of lifestyle. Therefore, HDI is the geometric mean of the normalized indices for each of the three dimensions [20].
The GPI measures the relative peacefulness of the world’s nation states and ranks countries according to their level of peace, defined as the absence of violence. The GPI is determined using information from three areas of peace: active national or international conflict, security and protection of society, and national militarization. Lower GPIs indicate better internal and external conditions for countries. The GPI is the newest index, available since 2008; however, it has already been used in works where safety, security, and socio-economic factors inside of countries are investigated [21,22].
Summary statistics for the model variables are provided in Table 2. According to the obtained statistics, the Pearson’s correlation coefficient suggests that the HDI and LGDP have the most representative averages. Public debt and R&D costs, both measured as percentages of GDP, and MEs have the least representative averages, implying greater dispersion between variable values. Furthermore, variable ranges differ markedly, although MEs, the HDI, and GPI show less variation. Finally, the variables show marked asymmetry, in particular positive asymmetry, meaning that values to the right of the average are more separated. This might mean that efficient solutions would tend to reach their maximum values when finding the Pareto front for the multiobjective model.

3. Methodology

The aim of this multiobjective problem is to identify efficient and admissible behaviors for all countries that maximize the HDI and minimize MEs and the GPI. To obtain as much information as possible from the analyzed variables, we applied a panel data model with fixed effects to determine the objectives and constraints. The model constraints are mortality (deaths/1000 inhabitants), health expenditures (%GDP), education expenditures (%GDP), LGDP, collected taxes (%GDP), public debt (%GDP), and research and development expenditures (%GDP). Once the equations are estimated, the multiobjective problem is designed and solved to obtain the Pareto front, thereby determining the best budget distribution that optimizes the results for each country.

3.1. Estimating the Objective Functions

For each objective function, three panel data models were applied. Previous works [10,23,24,25,26] have used this technique for econometric analyses to determine the relationships between MEs and variables related to economic growth, development, and well-being. In panel data models, dependent variables,   y k i , t , can be expressed as functions of the characteristics of a given country at every moment, collected in the vector, x j i , t . Under the assumptions of linearity, homoscedasticity, and absence of temporal and spatial correlation in the random noise, the models can be expressed as follows:
y k it = j = 1 7 a kj x j it   +   α k + μ k it   μ k it ~   i . e . , d . ( 0 ,   σ 2 ) ,   Cov   ( μ k it   , μ k js   ) = 0   i j ,   t s
where i denotes the country and t represents the year under study. Dependent variables are y 1 = ME   ( k = 1 ) ; y 2 = HDI   ( k = 2 ) , and y 3 = GPI   ( k = 3 ) . Then, a kj represents the coefficient given by the econometric estimation for each explicative variable,   x j it (Table 3), with notation x 1 ,   x 2 ,   x 3 ,   x 4 ,   x 5 ,   x 6   and   x 7 . Additionally, the equation considers an idiosyncratic component, α k , and the variable μ k it is included to retain random noise, assuming that the noise is independent and equally distributed (i.e., d) with null mean and constant variance.
In this problem, the idiosyncratic component is considered to be a constant parameter estimated as a different interceptor for each variable. The Hausman test was applied to define the application of fixed and random effects. The null hypothesis of random effects was not supported in any case, justifying the use of fixed effects models. Random effects models would have been more appropriate with a larger sample of countries; in this case, the appropriate estimation method is the ordinary least-squares method with a single dummy variable, or a fixed effects model. Model estimation was performed using the econometric software PcGive (OxMetrics) [27]. To obtain efficient parameter estimates in all cases, identified problems related to autocorrelation and heteroscedasticity were rectified. Table 3 shows the results of model regression.
According to the p values obtained for the t statistic, the variables most relevant to MEs are LGDP, health expenditures, and R&D costs. The R&D cost variable is also the most important for the HDI and GPI. Analysis of the influence of each explicative variable reveals that R&D costs contribute to the improvement of all objective variables; the estimated values for this variable are negative for MEs and the GPI, which are to be minimized, and positive for the HDI, which is to be maximized. The public debt and collected taxes variables behave similarly. The negative values estimated for the mortality variable implies that its reduction would confer, for instance, an increase in the HDI, ceteris paribus. Given its estimated values, the education expenditure variable helps to improve the HDI and GPI, but not MEs. Finally, the values estimated for LGDP and health expenditures are positive for all of the objective variables.
The goodness of fit of the estimated models, measured by the coefficient of determination, shows that the model with the greatest explicative capacity is that estimated for the HDI ( R 2 0.7 ).

3.2. Estimating the Constraint

Equations for the constraints were estimated using the fixed-effects panel data model (Table 4).
With the aim of making behaviors feasible for the countries, the constraint estimations were evaluated with the whole dataset, with the establishment of two constraints where the value of the right hand sides are calculated by evaluating the estimates, in all countries. From them we choose the lowest and highest value, which were used for both restrictions. In addition to these constraints, we must include one that establishes that health expenditures are equal to or exceed education expenditures. Corresponding bounds were calculated, taking the maximum and minimum values (Table 2) of each variable into account.

3.3. Designing the Multiobjective Model

As mentioned, the results of the analysis and econometric estimations were used to define the multiobjective model for optimization of the objective functions [MEs (f1), HDI (f2) and GPI (f3)]. The expression of these objective functions depends on the other variables, with the goal of identifying efficient behavior that maximizes development, well-being, and security benefits with the lowest possible MEs. The set of constraints and bounds included in the model will reveal significant relationships between variables, based on feasible behaviors of countries.
Formally, the multiobjective model can be expressed as:
{ Min   ME = Min y 1 = i = 1 7 a i 1 x i + b 1 Max   HDI = Max y 2 = i = 1 7 a i 2 x i + b 2 Min   GPI = Min y 3 = i = 1 7 a i 3 x i + b 3 s t :   { L i i n f r c i r x r L i s u p ; i { 1 , 2 , 7 } N i M i n x i N i M a x ;   i { 1 , 2 , 7 } x i 0   i ;   y 1 0 ,   0 y 2 1 ,   y 3 1    
where a i j is the coefficient for equation y j , with respect to x i   i , j (Table 3);   b j is the constant for the equation, y j   j (Table 3);   c i is the coefficient for constraint definition (Table 4);   L i i n f and   L i s u p are the lower and upper bounds for the constraints; and N i M i n   and   N i M a x   are   the lower and upper bounds for the decision variables.
For estimation of the Pareto front, exact optimization is used with an iterative procedure based on a combination of traditional multiobjective programming techniques (weighting and augmented-constrained methods) in MATLAB 2018b [28]. More than 20,000 problems are solved to generate a cloud of points in the objective space. Then, this set is filtered to obtain efficient solutions and identify decision variable values associated with them. Figure 1 shows the Pareto front.
Additionally, the payoff matrix is obtained for the problem; the ranges of variation for the objective functions are provided in Table 5.
Analysis of the Pareto front dataset reveals a coherent, valid, and significant range of variation for the objective function values. In contrast, the decision variable values show low density in some relevant areas, in terms of reference values used by countries to identify efficient behaviors. Thus, we considered the use of the ε- Pareto front concept [29,30]: starting from the previous Pareto front, the boundaries of decision variables with lower densities are scanned. For inclusion in the ε- Pareto front, a particular point must have a distance from any other point on the Pareto front that is <5% of the value of the objective function. Application of this approach yields greater variability of the decision variable values, with behaviors very close to efficiency (Figure 2).

4. Discussion of Results

Table 6 and Table 7 provide further information about the ε-Pareto front and ε-efficient frontier, namely, the maximum and minimum values defining the ε-Pareto front and the boundaries defining the set of decision variables corresponding to the efficient solution, respectively. Note that the proposed model generates a complete efficient frontier for a problem with multiple objectives without any a priori information. Therefore, if one desired to obtain a particular solution, this would depend on the decision maker’s preferences. Moreover, despite that one could increase the number of objectives to analyze in this study, that approach would make us lose the graphical image of the ε-Pareto front.
The limits for the objective functions on the ε-Pareto front (Table 6) and corresponding observed values in the countries during the study period (Table 3) are compared in Figure 3.
The ranges of objective function variation obtained by multiobjective programming are narrower than those of the observed values (Figure 3). The maximum ME and GPI values should be lower than the observed (2.77 and 1.51, respectively), and the maximum HDI value should be slightly higher than the observed, which is 1. In some years, some countries (e.g., Norway, Germany, Iceland, the Netherlands, Denmark, and Canada) fall very close to the ε-Pareto front, but are not the Pareto front (Figure 4).
Minimum ME values approach the ε-Pareto front, differing only by 0.01. The minimum HDI value (0.71) is less than the ε-Pareto front (0.89), suggesting that countries with lower values might increase their HDIs. The minimum GPI value (1.10) is greater than the ε-Pareto front (1.0), suggesting that countries might improve conditions by reducing their GPIs (Figure 3).
These results indicate that the ME values of the efficient solutions promote a relief over the budget of the state, as it demands less use of resources for the military sector and allocation of liberated resources to other sectors. In case of the HDI, its narrowed variation range implies a reduction in differences in the level of human development among countries. For the GPI, the narrow range shows the possibility of reducing the dispersion of countries’ peace conditions.
The ranges of values for ε-efficient solutions (Table 6) and corresponding observed values for countries included in the analysis are compared in Figure 5.
Figure 5 shows the lack of homogeneity between the behaviors of the ε-efficient solutions and the sample values. Mortality and GDP-related variables show the same ranges of variation. Other variation ranges are narrower for the ε-efficient solutions than observed; observed and frontier values for education expenditures, taxes, and R&D costs are the largest.
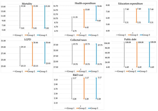
Now, we analyze the solutions of the ε-Pareto front, after sorting and dividing them into three groups according to the MEs (as a percentage of the GDP): the lower third (MEs of 0.01 to 0.92; group 1), the middle third (MEs of 0.92 to 1.84; group 2) and the upper third (MEs of 1.84 to 2.77; group 3). Of 20,152 solutions, 12,399 are assigned to group 1, 4883 are assigned to group 2, and 2870 are assigned to group 3. This distribution agrees with the shape of the ε-Pareto front, whose density is more relevant for lower and medium ME values, with lower density of the largest values. The aim of this analysis is to visualize the behaviors of the objective functions (Figure 6) and decision variables (Figure 7).
Group 1 provides the best ME solution. The GPI shows a good range for peace conditions, but the best level of human development is not achieved. For these objective function values, the values obtained for the education expenditures, R&D, collected taxes, and public debt decision variables vary along the range of the ε-efficient frontier. The GDP and health expenditure variables have variation ranges that exclude some upper values.
In group 2, better HDI results might be obtained at the expense of the GPI, relative to group 1. Nevertheless, the variation ranges for decision variables that determine these objective function values are maintained, except those for health expenditures and the GDP.
For group 3, the GPI range is nearly all-inclusive, including the worst peace conditions, whereas the HDI range reflects better human development, excluding the worst values. The decision variables show behavior similar to that observed in the other groups, with all variables maintaining their ranges of variation except healthcare expenditures and GDP, which are shifted upward.
To provide coherence with these analytical findings, a similar analysis was performed for the GPI. It yielded similar results, with ε-efficient frontier ranges coinciding with the previous analyzed case, except for healthcare expenditures and the GDP, which move upward as the GPI increases. Finally, the HDI does not vary significantly among groups, whereas ME values are the worst, with the exclusion of the best values as the GPI increases.
In comparison to what has been previously studied, one of the main contributions of this work is to provide an ε-Pareto front that represents the tendency that the NATO countries should follow with the aim of improving the objectives considered.
Figure 8 suggests a direction of improvement, starting from the current performance of each country, and several changes should be made in order to get closer to the efficient nearest solution. The figure represents how much each country could be improved, in percentage, for every objective if they reach the ε-efficient closest solution. For instance, in the case of Turkey, its ε-efficient closest solution shows a minimum increase in ME, whereas it needs to improve by around 20% for the HDI objective and around 45% for the GPI objective. In this context, observe the situation of countries such as Denmark and Norway, whose changes are, almost, insignificant to reach their ε-efficient closest solution. Hence, the improvement would be minimum in these countries, as they are already close to the ε-Pareto front (see Figure 4).

5. Conclusions

In this work, one may find the answer to the key questions described in Section 1. In this line, we deduce that if ME increases, then HDI and GPI increase within the range analyzed in the text. Nevertheless, one should take into consideration that a larger value of GPI implies lower peace conditions in the country. This situation represents the compensation that exists when the decision maker must select a possible solution with an ME level which will allow one to achieve or maintain the desired levels of HDI and peace conditions. In particular, this work introduces a multiobjective programming approach to the study of relationships among MEs, human development, and security, considered as objective functions in conflict to be analyzed simultaneously to identify efficient behaviors for optimization. Its intent is to offer a novel contribution to the debate about the management of budget assignments, formulated based on public policies and inspired by the search of efficiency among the objective functions considered.
In relation to the influence of the variables in the objectives, the analysis revealed that LGDP, healthcare costs, and R&D investment are relevant to MEs, and that the latter is the most important variable for the HDI and GPI. Education expenditures also contribute positively to the HDI and GPI.
The ε-Pareto front establishes the efficient behavior to achieve. It was also determined, to—maintaining values close to efficiency—obtain relevant variability for the decision variables. The results show that MEs, the GPI, and the HDI can be optimized; in particular, values from Norway, Germany, Iceland, the Netherlands, Denmark, and Canada approach or align with the generated ε-Pareto front, while others are found further.
Finally, as a future line of research, setting some aspiration levels for the different countries would define an efficient solution, or an efficient and reduced Pareto-front, according to such levels.
Additionally, the results show wide variability of the decision variables needed to obtain efficiency in the objective, which allows for the formulation of budget policies according to each country’s resources. Nevertheless, the solutions to our problem promote high levels of spending on education, R&D, and healthcare, and the collection of large tax amounts, to achieve the desired goals.

Author Contributions

Formal analysis, P.V.-R., M.C.G.-C., L.D.-A., O.F. and R.C.; Funding acqui-sition, P.V.-R., M.C.G.-C., L.D.-A., O.F. and R.C.; Investigation, P.V.-R., M.C.G.-C., L.D.-A., O.F. and R.C.; Methodology, P.V.-R., M.C.G.-C., L.D.-A., O.F. and R.C.; Project administration, P.V.-R., M.C.G.-C., L.D.-A., O.F. and R.C.; Resources, P.V.-R., M.C.G.-C., L.D.-A., O.F. and R.C.; Software, P.V.-R., M.C.G.-C., L.D.-A., O.F. and R.C.; Supervision, P.V.-R., M.C.G.-C., L.D.-A., O.F. and R.C.; Validation, P.V.-R., M.C.G.-C., L.D.-A., O.F. and R.C.; Visualization, P.V.-R., M.C.G.-C., L.D.-A., O.F. and R.C.; Writing—original draft, M.C.G.-C., L.D.-A., O.F. and R.C.; Writing—review & ed-iting, P.V.-R., M.C.G.-C., L.D.-A., O.F. and R.C. All authors have read and agreed to the published version of the manuscript.

Funding

This research was funded by Junta de Andalucía grant number P18-RT-1566, Junta de Andalucía, and Universidad de Málaga grant number UMA18-FEDERJA-065.

Data Availability Statement

Not applicable.

Acknowledgments

We would like to acknowledge Write Science Right for their work revising the writing English of this paper.

Conflicts of Interest

The funders had no role in the design of the study; in the collection, analyses, or interpretation of data; in the writing of the manuscript, or in the decision to publish the results.

References

  1. Hartley, K. The case for defence. Def. Peace Econ. 2010, 21, 409–426. [Google Scholar] [CrossRef]
  2. Dunne, P.; Perlo-Freeman, S. The demand for military spending in developing countries. Int. Rev. Appl. Econ. 2003, 17, 23–48. [Google Scholar] [CrossRef]
  3. Richardson, F. Arms and Insecurity: A Mathematical Study of Causes and Origins of War; Boxwood Press: Pittsburgh, PA, USA, 1960. [Google Scholar]
  4. Smith, R. The demand for military expenditure. In Handbook of Defense Economics; Elsevier: Amsterdam, The Netherlands, 1995; Volume 1, pp. 71–87. [Google Scholar]
  5. Smith, R. The demand for military expenditure. Econ. J. 1980, 90, 811–820. [Google Scholar] [CrossRef]
  6. Hitch, C.; McKean, N. The Economics of Defense in the Nuclear Age; The Rand Corporation: Santa Mónica, CA, USA, 1960. [Google Scholar]
  7. Ram, R. Defense expenditure and economic growth. In Handbook of Defense Economics; Elsevier: Amsterdam, The Netherlands, 1995; Volume 1, pp. 253–273. [Google Scholar]
  8. Deger, S.; Sen, S. Military expenditure and developing countries. In Handbook of Defense Economics; Elsevier: Amsterdam, The Netherlands, 1995; Volume 1, pp. 275–307. [Google Scholar]
  9. Feder, G. On exports and economic growth. J. Dev. Econ. 1983, 12, 59–73. [Google Scholar] [CrossRef]
  10. Chang, H.; Huang, B.; Yang, C. Military expenditure and economic growth across different groups: A dynamic panel Granger-casuality approach. Econ. Model. 2011, 28, 2416–2423. [Google Scholar] [CrossRef]
  11. D’Agostino, G.; Dunne, P.; Pieroni, L. Does military spending matter for long-run growth? Def. Peace Econ. 2017, 28, 429–436. [Google Scholar] [CrossRef]
  12. Steuer, R. Multiple Criteria Optimization: Theory, Computation and Application; Wiley: New York, NY, USA, 1986. [Google Scholar]
  13. González, A.; Rubio, M.; Ruiz, F. Goal programming to evaluate the profile of the most profitable insurers: An application to the Spanish insurance industry. Int. Trans. Oper. Res. 2020, 27, 2976–3006. [Google Scholar] [CrossRef]
  14. Romero, C. Handbook of Critial Issues in Goal Programming; Pergamon Press: Oxford, UK, 1991. [Google Scholar]
  15. Luque, M.; Marcenaro-Gutérrez, O.; López-Agudo, L. On the potential balance among compulsory education outcomes through econometric and multiobjective programming analysis. Eur. J. Oper. Res. 2015, 2015 241, 527–540. [Google Scholar] [CrossRef]
  16. Pérez, F.; Gómez, T. Multiobjective project portfolio selection with fuzzy constraints. Ann. Oper. Res. 2016, 245, 7–29. [Google Scholar] [CrossRef]
  17. Liern, V.; Pérez-Gladish, B. Multiple criteria ranking method based on functional proximity index: Unweighted TOPSIS. Ann. Oper. Res. 2020. [Google Scholar] [CrossRef]
  18. Arratia, N.; López-Irarragorri, F.; Schaeffer, S.; Cruz-Reyes, L. Static R&D project portfolio selection in public organizations. Decis. Support Syst. 2016, 84, 53–63. [Google Scholar]
  19. Diaz-Balteiro, L.; González-Pachón, J.; Romero, C. Sustainability as a multi-criteria concept: New development and applications. Sustainability 2020, 12, 7527. [Google Scholar] [CrossRef]
  20. U.N.D. Programme “UNDP” 2008–2016. Available online: http://hdr.undp.org/en/data (accessed on 5 May 2020).
  21. Ghazaliana, P.; Mohammad, M. The peace level of nations: An empirical investigation into the determining factors. Def. Peace Econ. 2020, 1–24. [Google Scholar] [CrossRef]
  22. Kabát, L.; Filip, S.; Filipová, L. Safety measurement pecularities in selected countries. J. Secur. Sustain. Issues 2017, 6, 343–356. [Google Scholar]
  23. Baltagi, B. Econometric Analysis of Panel Data, 3rd ed.; John Wiley & Sons Inc.: New York, NY, USA, 2005. [Google Scholar]
  24. Greene, W. Econometric Analysis; Prentice-Hall: Upper Saddle River, NJ, USA, 2008; Volume 7. [Google Scholar]
  25. Kollias, C.; Mylonidis, N.; Paleologou, S. A panel data analysis of the nexus between defence spending and growth in the european union. Def. Peace Econ. 2007, 18, 75–81. [Google Scholar] [CrossRef]
  26. D’Agostino, G.; Dunne, J.; Pieroni, L. Military expenditure, endogeneity and economic growth. Def. Peace Econ. 2018, 30, 509–524. [Google Scholar] [CrossRef]
  27. Doornik, J. Object-Oriented Matrix Programming Using Ox, 3rd ed.; Timberlake Consultants Press: London, UK, 2002. [Google Scholar]
  28. MATLAB; The MathWorks Inc.: Natick, MA, USA, 2018.
  29. White, D.J. Epsilon efficiency. J. Optim. Theory Appl. 1986, 49, 319–337. [Google Scholar] [CrossRef]
  30. Engau, A.; Wiecek, M. Generating e-efficient solutions in multiobjective programming. Eur. J. Oper. Res. 2007, 177, 1566–1579. [Google Scholar] [CrossRef]
Figure 1. Pareto front generated considering the objectives for MEs, the HDI, and the GPI for the NATO countries included in this study.
Figure 1. Pareto front generated considering the objectives for MEs, the HDI, and the GPI for the NATO countries included in this study.
Mathematics 09 00023 g001
Figure 2. ε-Pareto front.
Figure 2. ε-Pareto front.
Mathematics 09 00023 g002
Figure 3. Comparison of objective function variation ranges between the modeled ε-Pareto front and observed values from the dataset.
Figure 3. Comparison of objective function variation ranges between the modeled ε-Pareto front and observed values from the dataset.
Mathematics 09 00023 g003
Figure 4. Situations of a subset of countries with respect to the ε-Pareto front.
Figure 4. Situations of a subset of countries with respect to the ε-Pareto front.
Mathematics 09 00023 g004
Figure 5. Comparison of ε-efficient solution variation ranges and observed values from the dataset.
Figure 5. Comparison of ε-efficient solution variation ranges and observed values from the dataset.
Mathematics 09 00023 g005
Figure 6. Ranges of the objective functions by groups of the ε-Pareto front, defined by MEs.
Figure 6. Ranges of the objective functions by groups of the ε-Pareto front, defined by MEs.
Mathematics 09 00023 g006
Figure 7. Range of ε-efficient frontier by groups defined by MEs.
Figure 7. Range of ε-efficient frontier by groups defined by MEs.
Mathematics 09 00023 g007
Figure 8. Situation of the countries with respect to their ε-efficient closest solution.
Figure 8. Situation of the countries with respect to their ε-efficient closest solution.
Mathematics 09 00023 g008
Table 1. Decision variables of the problem.
Table 1. Decision variables of the problem.
SectorVariableNotation Description
MilitaryMilitary expenditure y1Resources invested in military expenditure by a country (%GDP).
Human DevelopmentHuman Development Index (HDI)y2Measurement of the average achievement in three key dimensions of human development.
SecurityGlobal Peace Index (GPI)y3Measurement of the negative peace level of a country.
HealthMortality ratex1Number of deaths per 1000 inhabitants, estimated in the middle of each year.
HealthHealth expenditurex2Resources invested in health by a country (%GDP).
EducationEducation expenditurex3Resources invested in education by a country (%GDP).
EconomicLGDP x4Natural logarithm for the aggregated gross value of the homebased producers and the taxes on the products, subtracting those subventions not included in the value of the product. (To avoid heteroscedastic problems in the estimated models we use Ln (GDP) instead of GDP)
EconomicCollected taxesx5Resources raised by a country from taxes (%GDP).
EconomicPublic Debtx6Resources owed by a country (%GDP).
Development/EducationR&D costx7Resources invested in research and development by a country (%GDP).
Table 2. Statistical description.
Table 2. Statistical description.
VariableNotation AverageSDCV (CV Denotes Coefficient of Variation)MinMaxSkewness
Military expenditure (ME) (%GDP) y 1 1.54940.71980.460.00004.65701.5256
Human Development Index (HDI) y 2 0.86240.05030.060.71400.95100.47388
Global Peace Index (GPI) y 3 1.66780.29160.171.09902.71400.88470
Mortality x 1 9.98092.32410.235.814015.30000.38076
Health expenditure (%GDP) x 2 8.44612.39680.284.138517.07341.0869
Education expenditure (%GDP) x 3 5.19121.05290.202.80007.40000.094896
LGDP x 4 26.35741.83600.0723.13330.4630.10853
Collected taxes (%GDP) x 5 19.16715.59550.297.919637.75290.46091
Public Debt (%GDP) x 6 65.681935.35570.544.4870183.4530.80344
R&D cost (%GDP) x 7 1.47720.75310.510.38253.17040.41486
Table 3. Determinants of MEs, the HDI, and the GPI for NATO countries (fixed effects panel data model, 2008–2016).
Table 3. Determinants of MEs, the HDI, and the GPI for NATO countries (fixed effects panel data model, 2008–2016).
VariableNotationME (SD)HDIGPI
Mortality x 1 −0.003961
(0.042)
−0.000349
(0.002)
−0.015672
(0.022)
Health expenditure (%GDP) x 2 0.207197 **
(0.094)
0.003598
(0.004)
0.015668
(0.048)
Education expenditure (%GDP) x 3 0.042206
(0.111)
0.005010
(0.005)
−0.026371
(0.050)
LGDP x 4 0.152166 **
(0.072)
0.005149
(0.003)
0.059264
(0.037)
Collected taxes (%GDP) x 5 −0.004669
(0.018)
0.001826
(0.001)
−0.009082
(0.007)
Public Debt (%GDP) x 6 −0.003122
(0.003)
0.000005
(0.0001)
−0.000446
(0.001)
R&D cost (%GDP) x 7 −0.61 ***
(0.188)
0.031807 ***
(0.008)
−0.200546 ***
(0.074)
Constant −3.195310 *
(1.915)
0.591451 ***
(0.094)
0.763754
(0.821)
R2 0.42077640.70045550.3726441
Number of countries 272727
Number of observations 243243243
Number of observations for each country 999
*** significant at 1%, ** at 5%, * at 10%. Standard errors are shown in parentheses.
Table 4. Estimated parameters for the constraint of the multiobjective model.
Table 4. Estimated parameters for the constraint of the multiobjective model.
Constraint x 1 x 2 x 3 x 4 x 5 x 6 x 7 Constant
Mortality 1.000 −0.299 0.368 0.314 −0.119 0.018 1.238 −18.433
Health expenditure (%GDP)−0.109 1.000 −0.232 −0.435 0.053 −0.019 −1.741 8.147
Education expenditure (%GDP) 0.042 −0.062 1.000 0.284 −0.039 - −0.815 −10.507
LGDP 0.125 −0.454 0.739 1.000 - - −0.449 −26.882
Collected taxes (%GDP)−0.702 0.924 −1.927 - 1.000 −0.051 −2.533 −8.855
Public Debt (%GDP) 3.666 −11.311 4.682 - −1.790 1.000 21.739 15.982
R&D cost (%GDP) 0.049 −0.191 −0.220 −0.060 −0.018 0.005 - 2.384
The significance level was set to p < 0.15.
Table 5. Payoff matrix.
Table 5. Payoff matrix.
ObjectivesMinimumMaximum
ME0.0142.726
HDI0.9441
PGI11.506
Table 6. Limits of the ε-Pareto front for the objective functions applied to NATO data from 27 countries.
Table 6. Limits of the ε-Pareto front for the objective functions applied to NATO data from 27 countries.
VariableNotation MinMax
Military expenditure (ME) y 1 0.0142.774
Human Development Index (HDI) y 2 0.8951.000
Global Peace Index (GPI) y 3 1.0001.512
Table 7. Limits of the ε-efficient frontier.
Table 7. Limits of the ε-efficient frontier.
VariableNotation MinMax
Mortality x 1 5.81415.300
Health expenditure (%GDP) x 2 4.74716.658
Education expenditure (%GDP) x 3 5.3157.400
LGDP x 4 23.13330.463
Collected taxes (%GDP) x 5 19.70437.753
Public Debt (%GDP) x 6 4.487118.08
R&D cost (%GDP) x 7 2.2773.170
Publisher’s Note: MDPI stays neutral with regard to jurisdictional claims in published maps and institutional affiliations.

Share and Cite

MDPI and ACS Style

Vallejo-Rosero, P.; García-Centeno, M.C.; Delgado-Antequera, L.; Fosado, O.; Caballero, R. A Multiobjective Model for Analysis of the Relationships between Military Expenditures, Security, and Human Development in NATO Countries. Mathematics 2021, 9, 23. https://doi.org/10.3390/math9010023

AMA Style

Vallejo-Rosero P, García-Centeno MC, Delgado-Antequera L, Fosado O, Caballero R. A Multiobjective Model for Analysis of the Relationships between Military Expenditures, Security, and Human Development in NATO Countries. Mathematics. 2021; 9(1):23. https://doi.org/10.3390/math9010023

Chicago/Turabian Style

Vallejo-Rosero, Patricio, M. Carmen García-Centeno, Laura Delgado-Antequera, Osvaldo Fosado, and Rafael Caballero. 2021. "A Multiobjective Model for Analysis of the Relationships between Military Expenditures, Security, and Human Development in NATO Countries" Mathematics 9, no. 1: 23. https://doi.org/10.3390/math9010023

APA Style

Vallejo-Rosero, P., García-Centeno, M. C., Delgado-Antequera, L., Fosado, O., & Caballero, R. (2021). A Multiobjective Model for Analysis of the Relationships between Military Expenditures, Security, and Human Development in NATO Countries. Mathematics, 9(1), 23. https://doi.org/10.3390/math9010023

Note that from the first issue of 2016, this journal uses article numbers instead of page numbers. See further details here.

Article Metrics

Back to TopTop