Abstract
We investigate the Pareto-scheduling problem with two competing agents on a single machine to minimize the total weighted completion time of agent A’s jobs and the total weighted late work of agent B’s jobs, the B-jobs having a common due date. Since this problem is known to be NP-hard, we present two pseudo-polynomial-time exact algorithms to generate the Pareto frontier and an approximation algorithm to generate a -approximate Pareto frontier. In addition, some numerical tests are undertaken to evaluate the effectiveness of our algorithms.
    1. Introduction
Problem description and motivation: Multi-agent scheduling has attracted an ever-increasing research interest due to its extensive applications (see the book of Agnetis et al. []). Among the common four problem-versions (including lexical-, positive-combination-, constrained-, and Pareto-scheduling, as shown in Li and Yuan []) for a given group of criteria for multiple agents, Pareto-scheduling has the most important practical value, since it reflects the effective tradeoff between the actual and (usually) conflicting requirements of different agents.
Our considered problem is formally stated as follows. Assume that two agents (A and B) compete to process their own sets of independent and non-preemptive jobs on a single machine. The set of the  jobs from agent  is  with . For convenience, we call a job from agent X an X-job. All jobs are available at time zero, and are scheduled consecutively without idle time due to the regularity of the objective functions as shown later. Each job  has a processing time  and a weight . In addition, each B-job  has also a common due date d. We assume that all parameters ,  and d are known integers.
Let  be a schedule. We use  to denote the completion time of job  in . The objective function of agent A is the total weighted completion time, denoted by , while the objective function of agent B is the total weighted late work, denoted by . Here, the late work  of job  indicates the amount processed after the due date d, specifically,
      
      
        
      
      
      
      
    
Following Hariri et al. (1995) [], job  is said to be early, partially early, and late in , if , , and , respectively.
Falling into the category of Pareto-scheduling, the problem studied in this paper aims at generating all Pareto-optimal points (PoPs) and the corresponding Pareto-optimal schedules (PoSs) (the definitions of PoPs and PoSs will be given in Section 2) of all jobs with regard to  and ). Using the notations in Agnetis et al. [], our studied scheduling problem can be denoted by . For this problem, we will devise some efficient approximate algorithms.
Our considered scheduling model arises from many practical scenarios. For example, in a factory, two concurrent projects (A and B), each containing a certain amount of activities with distinct importance, have to share a limited resource. The former focuses on the mean completion time of its activities. In contrast, the latter requires its activities to be completed before the due date as much as possible, since, otherwise, the shortcomings of some key technical forces after the due date will occur and result in irretrievable loss. It is necessary to model the goal of project B as the weighted late work, that is, minimizing the parts left unprocessed before the due date. In addition, two projects naturally have to negotiate to seek a trade-off method of utilizing the common resource.
For another example, in a distribution center, two categories (A- and B-) goods are stored in a warehouse, in which the former comprises common goods and the latter comprises fresh goods with a shelf life. It is hoped that the shipping preparations for the A-goods will be completed as soon as possible. However, due to their limited shelf life, if they are transported after a certain time, the B-goods will not be fresh enough when they reach the customers. Therefore, it is reasonable to respectively model the goals of A-goods and B-goods by minimizing the total weighted completion time and the total weighted late work, and seek an efficient transportation method.
Related works and our contribution: Numerous works have addressed multi-agent scheduling problems in the literature. With the aim of this paper, we only summarize briefly some related results. Wan et al. [] provided a strongly polynomial-time algorithm for the two-agent Pareto-scheduling problem on a single machine to minimize the number of the tardy A-jobs and the maximum cost of the B-jobs. Later, Wan et al. [] investigated two Pareto-scheduling problems on a single machine with two competing agents and a linear-deterioration processing time:  and , where  is the total earliness of the A-jobs and  is the maximum earliness of the X-jobs. For these two problems, they respectively proposed a polynomial-time algorithm. Gao and Yuan [] showed that the following two Pareto-scheduling problems with a positional due index and precedence constraints are both polynomially solvable:  and , where  indicates the maximum cost of the X-jobs. He et al. [] extensively considered the versions of the problems in Gao and Yuan [] with deteriorating or shortening processing times and without positional due indices and precedence constraints, and devised polynomial-time algorithms. Yuan et al. [] showed the single-machine preemptive problem  can be solved in a polynomial time, where  indicates the maximum lateness of the X-jobs. Wan [] investigated the single-machine two-agent scheduling problem to minimize the maximum costs with position-dependent jobs, and developed a polynomial-time algorithm.
While most results on Pareto-scheduling concentrate on devising exact algorithms to obtain the Pareto frontier, there are also some methods (such as [,,,,])  of developing approximate algorithms to generate the approximate Pareto frontier. Dabia et al. [] adopted the trimming technique to derive the approximate Pareto frontier for some multi-objective scheduling problems. Yin et al. [] considered two just-in-time (JIT) scheduling problems with two competing agents on unrelated parallel machines, in which the one agent’s criterion is to maximize the weighted number of its JIT jobs, and another agent’s criterion is either to maximize its maximum gains from its JIT jobs or to maximize the weighted number of its JIT jobs. They showed that the two problems are both unary NP-hard when the machine number is not fixed, and proposed either a polynomial-time algorithm or a fully polynomial-time approximation scheme (FPTAS) when the machine number is a constant. Yin et al. [] also considered similar problems in the setting of a two-machine flow shop, and provided two pseudo-polynomial-time exact algorithms to find the Pareto frontier. Chen et al. [] studied a multi-agent Pareto-scheduling problem in a no-wait flow shop setting, in which each agent’s criterion is to maximize its own weighted number of JIT jobs. They showed that it is unary NP-hard when the number of agents is arbitrary, and presented pseudo-polynomial time algorithms and an -approximation algorithm when the number of agents is fixed.
From the perspective of methodology, as a type of optimization problem, the multi-agent scheduling problem’s solution algorithms potentially allow for exploiting the optimal robot path planning by a gravitational search algorithm (Purcaru et al. []) and optimization based on phylogram analysis (Soares et al. []).
In the prophase work (Zhang and Yuan []), we proved that the constrained scheduling problem of minimizing the total late work of agent A’s jobs with equal due dates subject to the makespan of agent B’s jobs not exceeding a given upper bound, is NP-hard even if agent B has only one job. It implies the NP-hardness of our considered problem in this paper. Thus we limit the investigation to devising pseudo-polynomial-time exact algorithms and an approximation algorithm to generate the approximate Pareto frontier.
In addition, in our recent work (Zhang et al. []), we considered several three-agent scheduling problems under different constraints on a single machine, in which the three agents’ criteria are to minimize the total weighted completion time, the weighted number of tardy jobs, and the total weighted late work. Among those problems, there are two questions related to this paper: , which is solved in , and , which is solved in . The notation  represents that the jobs of the first agent have inversely agreeable processing times and weights, i.e., the smaller the processing time for a job, the greater its weight, and the notation  represents that the jobs of agent B have inversely agreeable due dates and weights.  and  are the upper bounds on the criteria  and , respectively. In contrast to Zhang et al. [], in this article we remove the constraint  and turn to the optimization problem of B-jobs having a common due date.
The remainder of the paper is organized as follows. In Section 2, some preliminaries are provided. In Section 3 and Section 4, we present two dynamic programming algorithms and an FPTAS. In Section 5, some numeral tests are undertaken to show the algorithms’ efficiency. Section 6 concludes the paper and suggests the future research direction.
2. Preliminaries
For self-consistency, in this section we describe some notions and properties related to Pareto-scheduling, and we present other useful notations in the description of the algorithms in the following sections.
Definition 1. 
Consider two m-vectors  and .
(i) We say that  dominates , denoted by , if  for .
(ii) We say that  strictly dominates , denoted by , if  and .
(iii) Given a constant , we say that  -dominates , denoted by , if and only if  for .
Definition 2. 
Given two agents’ criteria  and , a feasible schedule σ is called Pareto-optimal and the corresponding objective vector  is called a Pareto-optimal point, if no other feasible schedule π satisfies . All the Pareto-optimal points form the Pareto frontier, denoted by .
Let  be the set of the objective vectors of all feasible schedules, and  be a subset of .
Definition 3. 
A vector  is called non-dominated in , if there exists no other vector  such that .
It is not difficult to see that, for the above definitions, the latter is an extension of the former, and especially when  is exactly equal to , all the non-dominated vectors in  compose the Pareto-optimal frontier. The following lemma establishes the relationship between sets  and a subset .
Lemma 1. 
For any set  with , if  is the set including all the non-dominated vectors in , then .
Proof.  
By Definition 2, for each Pareto-optimal point , there is no other vector  such that , and naturally, such a fact also holds for the set , since . Then, it follows that  by the definition of the set . Next we show that . If not, we pick up one vector  from . Again by Definition 2, there is some vector  such that . Nevertheless, this is impossible, since  leads to no existence of such a vector  in  by the assumption of  and Definition 3. Thus . □
From Lemma 1, to generate the Pareto frontier , an alternative is to first determine a set  with , and then delete the dominated vectors in . Throughout the reminder of this paper, such a subset  is called an intermediate set. Obviously,  is also an intermediate set.
Definition 4. 
For a given constant , a -approximate Pareto frontier, denoted by , is a set of the objective vectors satisfying, for any , there exists at least one objective vector  such that .
Definition 5. 
A family of algorithms  is called afully polynomial-time approximation scheme(FPTAS) if, for each ,  generates a -approximate Pareto frontier with a running time in the polynomial in the instance size and .
Besides those already mentioned in Section 1, the following notations will also be used later:
- indicates the set of the first j jobs in , namely, .
 - indicates that job immediately precedes in schedule , where .
 - indicates the starting time of job in .
 - indicates the total processing time of all X-jobs.
 - indicates the total processing time of all jobs, and .
 - indicates the total weight of all X-jobs.
 - indicates the total weight of all jobs, and .
 - indicates the maximum processing time of the X-jobs, namely, .
 - indicates the maximum weight of the X-jobs, namely, .
 
3. An Exact Algorithm
In this section a dynamic programming algorithm for problem  is presented. For description convenience, for a given schedule , the job set  is divided into the following four subsets: , , , and . Obviously, such a partition of the job set is well defined for a given schedule.
The following lemma establishes the structural properties of the Pareto-optimal schedule.
Lemma 2. 
For each Pareto-optimal point  of problem , there is a Pareto-optimal schedule σ such that
(i) .
(ii) the jobs in  are sequenced in the non-increasing order of their weights and the jobs in  are sequenced arbitrarily.
(iii) the jobs in  and  are sequenced according to the weighted shortest processing time (WSPT) rule.
Proof.  
In Lemma 2, statement (i) can easily be observed, since the jobs in  are late and this will not result in any increase in their total late work when moving them to the end of the schedule, and as many A-jobs as possible can be positioned before the B-jobs in , provided that the last job in  is not late. The left two statements in Lemma 2 can easily be proved by an interchange argument and the detail is omitted here. □
Lemma 2 allows us only to consider the feasible schedules simultaneously satisfying the conditions (i)-(iii). To this end, we re-number the  jobs in  in the WSPT order and the  B-jobs in the maximum weight first (MW) order so that
      
      
        
      
      
      
      
    
      
        
      
      
      
      
    
Such a sorting takes  time.
According to Lemma 1, the algorithm to be described adopts the strategy of first finding the intermediate set dynamically and then deleting the dominated points in it. It is necessary to mention that in the proposed algorithm we appropriately relax the conditions to find a modestly larger intermediate set. For briefly describing the dynamic programming algorithm, we introduce the following terminologies and notations.
      
- an -schedule is defined to be a schedule for satisfying (i) , where among the four mutually disjointed subschedules , the A-jobs are included in and , and the B-jobs are included in and ; (ii) no idle time exists between the jobs in each subschedule, but this is not necessarily so between two subschedules. Moreover, the idle time between and is supposed to be long enough; (iii) the jobs in each subschedule are sequenced in the increasing order of their indices.
 - an -schedule is defined to be an -schedule for with no idle time existing between subschedules and , where and .
 - a vector is introduced to denote a state of , in which , and Y, respectively, stand for the end point of , the start point of , the end point of , the total weighted completion time of the A-jobs of , and the total weighted late work of the B-jobs of . Note that a state of at least corresponds to some -schedule.
 - denotes the set of all the states of .
 - denotes the set obtained from by deleting the vectors , for which there is another vector with , and .
 - Let , and let be the set of the non-dominated vectors in .
 
To solve problem , we have to first compute  and then obtain the Pareto-frontier . This can be realized by dynamically computing the sets  for all the possible choices of the tuple . Note that each -schedule can be obtained either by adding job  to some -schedule, or by adding job  to some -schedule. Therefore, we can informally describe our dynamic programming algorithm as follows.
Initially, set  and  if . Then we recursively generate all the state sets  from the previously-generated sets  and . Specifically,
- For each state with , add two states and to the set , withand
 
These two states respectively correspond to the newly obtained -schedules by scheduling job  immediately following the subschedule  and immediately following the subschedule , in some  schedule  that corresponds to the state . Note that the first case occurs only when  is satisfied.
- For each state , also add two two states and to the set , withand
 
These two states respectively correspond to the newly obtained -schedules by scheduling job  immediately preceding the subschedule  and immediately following the subschedule , in some  schedule  that corresponds to the state . Note that the first case occurs only when  is satisfied.
Note that, if in the above state-generation procedures we replace sets  and  with sets  and , then the resulting set of new states, denoted by , may be different from . Recall that, when deleting those dominated vectors in the sets  and , the newly obtained sets are respectively denoted by  and , which will be shown to be identical in the following lemma.
Lemma 3. 
.
Proof.  
Since  and , it follows that  by the generation procedure of the new states as described previously. If , then naturally . In the following, suppose that . We next show that each state  is dominated by a state , namely, .
Let  be an -schedule corresponding to . According to the above discussion, there are four possibilities of deriving  from some schedule , which is assumed to correspond to the state  in  or .
Case 1. is obtained from  by scheduling job  directly after subschedule . Then  with , and there is a state  such that , and . Let  be an -schedule corresponding to , and let  be the -schedule obtained from  by scheduling  directly after schedule . Let  be the state corresponding to . Note that the above operation to get  is feasible since . Then we have  Combining with the fact that , we have
        
      
        
      
      
      
      
    
Case 2. is obtained from  by scheduling  directly after schedule . Then , and there is a state  such that , and . Let  be an -schedule corresponding to , and let  be the -schedule obtained from  by scheduling  directly after schedule . Let  be the state corresponding to . Then we have  Combining with the fact that , we have
        
      
        
      
      
      
      
    
Case 3. is obtained from  by scheduling  directly before schedule . Note that in this case, the condition  must be satisfied. Then , and there is a state  such that , and . Let  be an -schedule corresponding to , and let  be the -schedule obtained from  by scheduling  directly before schedule . Let  be the state corresponding to . The above operation to obtain  is feasible. In fact, , which means there are enough spaces for  to be scheduled in. In the following we will illustrate that the condition  is satisfied.
Claim 1.If , then .
Suppose to the contrary that , then  is partially early or late in , implying that  are all late in , i.e., there is no job in , which further suggests that . What is more, since , the jobs  are also late in , which also indicates that  and . From , , , and  we know that  contradicts . Thus, . Claim 1 follows.
If , then . From Claim 1 we have , i.e., , which is a contradiction. Thus the condition  is satisfied and the operation to get  is feasible. Then we have  Combining with the fact that , we have
        
      
        
      
      
      
      
    
Next we prove that . In fact, if , then . If , then from Claim 1 we know that , and then . Thus we have .
Case 4. is obtained from  by scheduling  directly after schedule . Then , and there is a state  such that , and . Let  be an -schedule corresponding to , and let  be the -schedule obtained from  by scheduling  directly after schedule . Let  be the state corresponding to . Then we have  Combining with the fact that , we have
        
      
        
      
      
      
      
    
The result follows. □
Theorem 1. 
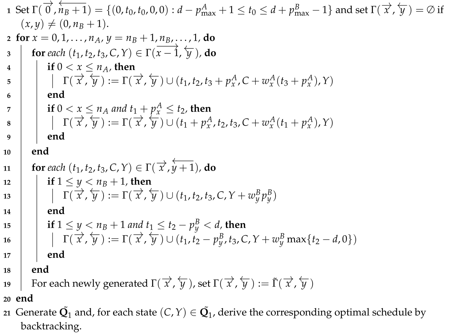
Algorithm 1 solves the Pareto-frontier scheduling problem  in  time.
| Algorithm 1: For problem | 
![]()  | 
Proof.  
The correctness of Algorithm 1 is guaranteed by Lemma 2, Lemma 1, and Lemma 3. Here we only analyze its time complexity. The initialization step takes  time, which is dominated by the final time complexity of Algorithm 1. In the implementation of Algorithm 1, we guarantee that . Note that  and , then each state set  contains  states. Moreover,  is obtained by performing at most two (constant) operations on the states in  for , . Note that the upper bounds of  and  are given by  and , respectively. Thus, the overall running time of Algorithm 1 is . □
4. An FPTAS
In this section, for problem , we first give another dynamic programming algorithm, and then turn it into an FPTAS by the trimming technique. As for Algorithm 1, we first introduce the following terminologies and notations.
- An -schedule is defined to be an ABAB-schedule for with no idle time existing between subschedules , and , where and .
 - A vector is introduced to denote a state of , in which and Y, respectively, stand for the end point of , the end point of , the end point of , the total weight of the jobs in , the index of the last B-job in , the total weighted completion time of the A-jobs of , and the total weighted late work of the B-jobs of . Note that a state of at least corresponds to some -schedule.
 - denotes the set of all the states of .
 - denotes the set obtained from by deleting the vectors , for which there is another vector with .
 - Let , and let be the set of the non-dominated vectors in .
 
Clearly,  is an intermediate set. Similarly to the discussion for Algorithm 1, we can generate all the  for all the possible choices of the tuple  dynamically in the following way.
Initially, set  and  if . Then we recursively generate all the state sets  from the previously generated sets  and . Specifically,
- For each state with , add two states and to the set , with
 
These two states respectively correspond to the newly obtained -schedules by scheduling job  immediately following the subschedule  and immediately following the subschedule , in some  schedule  that corresponds to the state . Note that the first case occurs only when  is satisfied.
- For each state , also add two two states and to the set , withand
 
These two states respectively correspond to the newly obtained -schedules by scheduling job  immediately after  and immediately following the subschedule , in some  schedule  that corresponds to the state . Note that the first case occurs only when  is satisfied.
Note that, if in the above state-generation procedures we replace sets  and  with sets  and , then the resulting set of new states, denoted by , may be different from . Recall that, when deleting those dominated vectors in the sets  and , the newly obtained sets are respectively denoted by  and , which will be shown to be identical in the following lemma, and its proof is similar to that of Lemma 3.
Lemma 4. 
.
Theorem 2. 
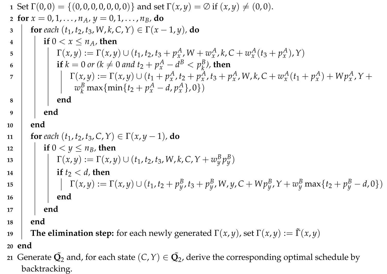
Algorithm 2 solves  in  time.
| Algorithm 2: For solving | 
![]()  | 
Proof.  
The correctness of Algorithm 2 is guaranteed by the discussion above. Next we only analyze its time complexity. The initialization step takes  time, which is dominated by the final time complexity of Algorithm 2. In the implementation of Algorithm 2, we guarantee that . Note that  and ,  and , then each state set  contains  states. Moreover,  is obtained by performing at most two (constant) operations on the states in  for , . Thus, the overall running time of Algorithm 2 is . □
Next we turn Algorithm 2 into an FPTAS in the following way. Set , , , ,  and . Set  for ,  for ,  for ,  for  and  for . For  and ,  is obtained from  by the following operation: for any two states  and  in , if  and  fall into the same box  for , , ,  and  with , remaining the first one. Note that it takes  time to partition the boxes. Moreover, we define
      
      
        
      
      
      
      
    
      and let  be the set of non-dominated vectors in .
Theorem 3. 
Algorithm 3 is an FPTAS for solving .
| Algorithm 3: For solving | 
![]()  | 
Proof.  
By induction on , We prove that, for any state , there is a state  such that , , , ,  and .
This is obviously true for . Inductively suppose that it holds up to . Next we show that it also holds for z. Recall that each state  is derived from some state  in  or . Let  be an -schedule corresponding to , and let  be a schedule corresponding to the state . Using the induction hypothesis, there is a state  in  or  such that , and . Let  be an -schedule or -schedule corresponding to , and if it is feasible, let  be the -schedule obtained from  by performing the same operation that we perform on  to get . Let  be the state corresponding to . Furthermore, there is a state  in the same box with  such that , , , ,  and . There are four possible ways to get  from .
Case 1. is obtained from  by scheduling  directly after schedule . Note that in this case, the condition  must be satisfied. Then , and the operation to get  is feasible since . Then we have  Combining with the fact that , we have
        
      
        
      
      
      
      
    
Case 2. is obtained from  by scheduling  directly after schedule . Then , and  is clearly a feasible schedule. Then we have  Combining with the fact that , we have
        
      
        
      
      
      
      
    
Case 3. is obtained from  by scheduling  directly after schedule . Note that in this case, the condition  must be satisfied. Then , and the operation to get  is feasible since . Then we have  Combining with the fact that , we have
        
      
        
      
      
      
      
    
Case 4. is obtained from  by scheduling  directly after schedule . Then , and  is clearly a feasible schedule. Then we have  Combining with the fact that , we have
        
      
        
      
      
      
      
    
Thus, for each state  in , there is a state  in  such that  and .
Next we analyze its time complexity. The initialization step takes  time, which is dominated by the final time complexity of Algorithm 3. In the implementation of Algorithm 3, we guarantee that . Note that there are  distinct boxes and , then there are at most  different states  in . Moreover,  is obtained by performing at most two (constant) operations on the states in  for , . Thus, the overall running time of Algorithm 3 is . □
5. Numerical Results
In this section some numerical results are provided to show the efficiency of our proposed algorithms. For running our optimization algorithms, we need to input the following parameters relative with the job instances: the numbers of A-jobs and B-jobs, the processing times and weights of all the jobs, and the common due date of B-jobs. By running Algorithms 1 and 2, we get the Pareto frontier. To use Algorithm 3, we need to choose the value of  (>0) to get a -approximate Pareto frontier. Note that for the same instance, the Pareto frontiers obtained by Algorithms 1 and 2 are the same, except that the running time of Algorithm 1 is theoretically faster than that of Algorithm 2. The closer the -approximate Pareto frontier obtained by Algorithm 3 is to the curve obtained by Algorithms 1 and 2, the closer it is to the optimal solution.
We randomly generate some job instances, in which the numbers of the jobs are set to be  (),  (), and  (). The processing times and the weights of the jobs are randomly generated between 1 and 2. The common due date of B-jobs is set to be 5. What is more, we set . We ran our algorithms on these instances in a Matlab R2016b environment on an Intel(R) Core(TM) CPU, 2.50 GHz, 4 GB of RAM computer. In fact, when the number of the jobs is small, the Pareto frontier or the approximate Pareto frontier can be found relatively quickly, but when the number of the jobs increases, the running time will increase hugely. The following three Figure 1, Figure 2 and Figure 3 present the Pareto frontier and -approximate Pareto frontier generated by Algorithms 1–3. As can be seen from the three figures, the results obtained by Algorithms 1 and 2 are exactly the same. The results of Algorithm 3 are consistent with those of Algorithms 1 and 2, which may be due to the coincidence caused by the small size of the instance we chose and the few choices in the sizes of the jobs. In fact, considering that the problem we studied is NP-hard, our algorithm can only reach pseudo-polynomial-time theoretically. Therefore, our algorithm is theoretically more suitable for small-scale instances, where the sizes of the jobs are relatively uniform, which fits with the nature of such problems in real life, such as in logistics distribution centers where we use boxes of fixed sizes.
      
    
    Figure 1.
      The black stars are the points generated by Algorithms 1 and 2, the red circles are points generated by Algorithm 3.
  
      
    
    Figure 2.
      The black stars are the points generated by Algorithms 1 and 2, the red circles are points generated by Algorithm 3.
  
      
    
    Figure 3.
      The black stars are the points generated by Algorithms 1 and 2, the red circles are points generated by Algorithm 3.
  
6. Conclusions
In this paper we investigated a Pareto-optimal problem of scheduling two agents’ jobs on a single machine to minimize one agent’s total weighted completion time and the other’s total weighted late work. For this problem, we devised two dynamic programming algorithms to obtain the Pareto frontier, and an FPTAS to generate an approximate Pareto frontier. Some numerical results were also provided. Compared with the two problems  and  studied in Zhang et al. [], the constraint  was removed from the problem considered in this paper and we turned to the optimization problem under the condition that B-jobs had a common due date. Table 1 lists the computational complexity of the above three problems. As we can see from Table 1, the condition  seems to have a greater impact on the complexity result of the problem. In future research, we can try to devise more efficient approximation algorithms for our considered problem with a constant performance-ratio, and we can also study two-agent problems with other combinations of objective functions.
       
    
    Table 1.
    Complexity of three problems.
  
Author Contributions
Supervision, J.Y.; writing–original draft, Y.Z.; writing–review and editing, Z.G. All authors have read and agreed to the published version of the manuscript.
Funding
This research was supported in part by the NSFC under grant numbers 12071442, 11671368 and 11771406.
Conflicts of Interest
The authors declare no conflict of interest.
Abbreviations
The following abbreviations are used in this manuscript:
      
| MDPI | Multidisciplinary Digital Publishing Institute | 
| DOAJ | Directory of open access journals | 
| TLA | Three letter acronym | 
| LD | linear dichroism | 
References
- Agnetis, A.; Billaut, J.C.; Gawiejnowicz, S.; Pacciarelli, D.; Soukhal, A. Multiagent Scheduling: Models and Algorithms; Springer: Berlin/Heidelberg, Germany, 2014. [Google Scholar]
 - Li, S.S.; Yuan, J.J. Single-machine scheduling with multi-agents to minimize total weighted late work. J. Sched. 2020, 23, 497–512. [Google Scholar] [CrossRef]
 - Hariri, A.M.A.; Potts, C.N.; Van Wassenhove, L.N. Single machine scheduling to minimize total weighted late work. ORSA J. Comput. 1995, 7, 232–242. [Google Scholar] [CrossRef]
 - Wan, L.; Yuan, J.J.; Wei, L.J. Pareto optimization scheduling with two competing agents to minimize the number of tardy jobs and the maximum cost. Appl. Math. Comput. 2016, 273, 912–923. [Google Scholar] [CrossRef]
 - Wan, L.; Wei, L.J.; Xiong, N.X.; Yuan, J.J.; Xiong, J.C. Pareto optimization for the two-agent scheduling problems with linear non-increasing deterioration based on Internet of Things. Future Gene. Comp. Syst. 2017, 76, 293–300. [Google Scholar] [CrossRef]
 - Gao, Y.; Yuan, J.J. Bi-criteria Pareto-scheduling on a single machine with due indices and precedence constraints. Discret. Optim. 2017, 25, 105–119. [Google Scholar] [CrossRef]
 - He, C.; Leung, J. Two-agent scheduling of time-dependent jobs. J. Comb. Optim. 2017, 34, 362–377. [Google Scholar] [CrossRef]
 - Yuan, J.J.; Ng, C.T.; Cheng, T.C.E. Two-agent single-machine scheduling with release dates and preemption to minimize the maximum lateness. J. Sched. 2015, 18, 147–153. [Google Scholar] [CrossRef]
 - Wan, L. Two-Agent Scheduling to Minimize the Maximum Cost with Position-Dependent Jobs. Discrete Dyn. Nat. Soc. 2015. [Google Scholar] [CrossRef]
 - Dabia, S.; Talbi, E.G.; Van Woensel, T.; De Kok, T. Approximating multi-objective scheduling problems. Comput. Oper. Res. 2013, 40, 1165–1175. [Google Scholar] [CrossRef]
 - Lee, K.; Choi, B.C.; Leung, J.Y.T.; Pinedo, M.L. Approximation algorithms for multi-agent scheduling to minimize total weighted completion time. Inf. Process. Lett. 2009, 109, 913–917. [Google Scholar] [CrossRef]
 - Legriel, J.; Guernic, C.L.; Cotton, S.; Maler, O. Approximating the pareto front of multi-criteria optimization problems. In Proceedings of the 16th International Conference on Tools and Algorithms for the Construction and Analysis of Systems held at the 13th Joint European Conferences on Theory and Practice of Software, Paphos, Cyprus, 20–28 March 2010. [Google Scholar]
 - Marinescu, R. Efficient approximation algorithms for multi-objective constraint optimization. In Proceedings of the 2nd International Conference on Algorithmic Decision Theory, Piscataway, NJ, USA, 26–28 October 2011. [Google Scholar]
 - Vassilvitskii, S.; Yannakakis, M. Efficiently computing succinct trade-off curves. Theor. Comput. Sci. 2005, 348, 334–356. [Google Scholar] [CrossRef]
 - Yin, Y.Q.; Cheng, S.R.; Cheng, T.C.E.; Wang, D.J.; Wu, C.C. Just-in-time scheduling with two competing agents on unrelated parallel machines. Omega-Int. J. Manag. Sci. 2016, 63, 41–47. [Google Scholar] [CrossRef]
 - Yin, Y.Q.; Cheng, T.; Wang, D.J.; Wu, C.C. Two-agent flowshop scheduling to maximize the weighted number of just-in-time jobs. J. Sched. 2017, 20, 313–335. [Google Scholar] [CrossRef]
 - Chen, R.X.; Li, S.S.; Li, W.J. Multi-agent scheduling in a no-wait flow shop system to maximize the weighted number of just-in-time jobs. Eng. Optim. 2019, 51, 217–230. [Google Scholar] [CrossRef]
 - Purcaru, C.; Precup, R.E.; Iercan, D.; Fedorovici, L.O.; David, R.C.; Dragan, F. Optimal robot path planning using gravitational search algorithm. Int. J. Artif. Intell. 2013, 10, 1–20. [Google Scholar]
 - Soares, A.; Râbelo, R.; Delbem, A. Optimization based on phylogram analysis. Expert Syst. Appl. 2017, 78, 32–50. [Google Scholar] [CrossRef]
 - Zhang, Y.; Yuan, J.J. A note on a two-agent scheduling problem related to the total weighted late work. J. Comb. Optim. 2019, 37, 989–999. [Google Scholar] [CrossRef]
 - Zhang, Y.; Yuan, J.J.; Ng, C.T.; Cheng, T.C.E. Pareto-optimization of three-agent scheduling to minimize the total weighted completion time, weighted number of tardy jobs, and total weighted late work. Nav. Res. Logist. 2020, in press. [Google Scholar]
 
Publisher’s Note: MDPI stays neutral with regard to jurisdictional claims in published maps and institutional affiliations.  | 
© 2020 by the authors. Licensee MDPI, Basel, Switzerland. This article is an open access article distributed under the terms and conditions of the Creative Commons Attribution (CC BY) license (http://creativecommons.org/licenses/by/4.0/).


