Numerical Integral Transform Methods for Random Hyperbolic Models with a Finite Degree of Randomness
Abstract
1. Introduction
2. Numerical Solution of Random Linear Differential Problems via Simulations
3. Gauss–Hermite Solution of Random Telegraph Model
- Case 1.
- Case 2.
- Case 3.
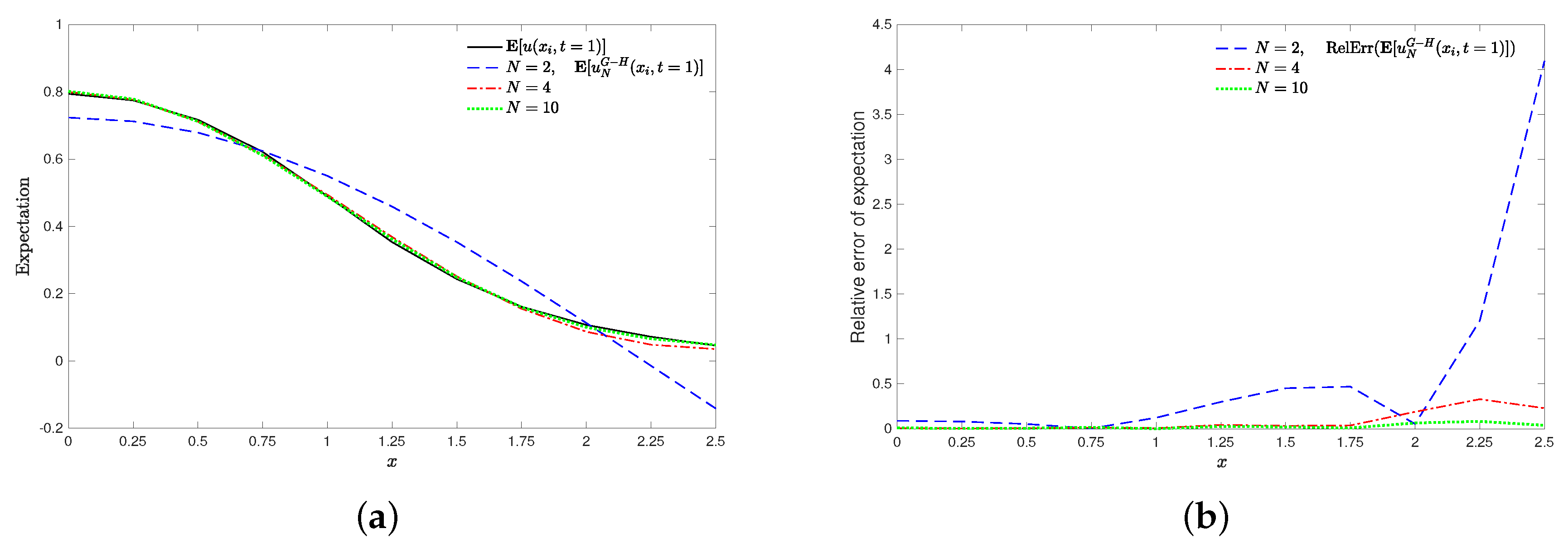
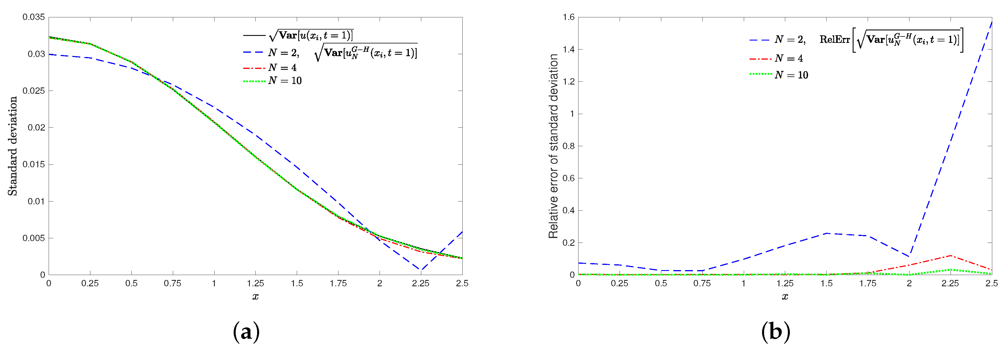
A Numerical Example
| Algorithm 1 Calculation procedure for the expectation and the standard deviation of the approximated solution s.p. (Equation (47)) of the problem in Equations (1)–(3). |
|
4. Gauss–Laguerre Solution of a Random Heterogeneous Telegraph Model
A Numerical Example
| Algorithm 2 Calculation procedure for the expectation and the standard deviation of the approximated solution s.p. (Equation (84)) of the problem in Equations (4)–(7). |
|
5. Conclusions
Author Contributions
Funding
Conflicts of Interest
References
- Casabán, M.C.; Company, R.; Cortés, J.C.; Jódar, L. Solving the random diffusion model in an infinite medium: A mean square approach. Appl. Math. Model. 2014, 38, 5922–5933. [Google Scholar] [CrossRef]
- Casabán, M.C.; Cortés, J.C.; Jódar, L. Solving random mixed heat problems: A random integral transform approach. J. Comput. Appl. Math. 2016, 291, 5–19. [Google Scholar] [CrossRef]
- Casabán, M.C.; Cortés, J.C.; Jódar, L. Analytic-Numerical solution of random parabolic models: A mean square Fourier transform approach. Math. Model. Anal. 2018, 23, 79–100. [Google Scholar] [CrossRef]
- Farlow, S.J. Partial Differential Equations for Scientists and Engineers; John Wiley & Sons: New York, NY, USA, 1993. [Google Scholar]
- Saadatmandi, A.; Dehghan, M. Numerical solution of hyperbolic telegraph equation using the Chebyshev tau method. Numer. Meth. Part. Differ. Equ. 2010, 26, 239–252. [Google Scholar] [CrossRef]
- Weston, V.H.; He, S. Wave splitting of the telegraph equation in ℝ3 and its application to inverse scattering. Inverse Probl. 1993, 9, 789–812. [Google Scholar] [CrossRef]
- Jordan, P.M.; Puri, A. Digital signal propagation in dispersive media. J. Appl. Phys. 1999, 85, 1273–1282. [Google Scholar] [CrossRef]
- Banasiak, J.; Mika, J.R. Singularly perturved telegraph equations with applications in the random walk theory. J. Appl. Math. Stoch. Annal. 1998, 11, 9–28. [Google Scholar] [CrossRef]
- Pozar, D.M. Microwave Engineering, 2nd ed.; John Wiley & Sons, Inc.: New York, NY, USA, 1998. [Google Scholar]
- Kac, M. A stochastic model related to the telegrapher’s equation. Rocky Mt. J. Math. 1974, 4, 497–509. [Google Scholar] [CrossRef]
- Iacus, S.M. Statistical analysis of the inhomogeneous telegrapher’s process. Stat. Probab. Lett. 2001, 55, 83–88. [Google Scholar] [CrossRef]
- Kolesnik, A.D. Moment analysis of the telegraph random process. Bull. Acad. Sci. Mold. Ser. Math. 2012, 68, 90–107. [Google Scholar]
- Soong, T.T. Random Differential Equations in Science and Engineering; Academic Press: New York, NY, USA, 1973. [Google Scholar]
- Casabán, M.C.; Cortés, J.C.; Jódar, L. A random Laplace transform method for solving random mixed parabolic differential problems. Appl. Math. Comput. 2015, 259, 654–667. [Google Scholar] [CrossRef]
- Casabán, M.C.; Cortés, J.C.; Jódar, L. Solving linear and quadratic random matrix differential equations using: A mean square approach. The non-autonomous case. J. Comput. Appl. Math. 2018, 330, 937–954. [Google Scholar] [CrossRef]
- Casabán, M.C.; Cortés, J.C.; Jódar, L. Solving linear and quadratic random matrix differential equations: A mean square approach. Appl. Math. Model. 2016, 40, 9362–9377. [Google Scholar] [CrossRef]
- Kroese, D.P.; Taimre, T.; Botev, Z.I. Handbook of Monte Carlo Methods; Wiley Series in Probability and Statistics; John Wiley & Sons: New York, NY, USA, 2011. [Google Scholar]
- Wolfram Research, Inc. Mathematica, version 11.3; Wolfram Research, Inc.: Champaign, IL, USA, 2018. [Google Scholar]
- Abramowitz, M.; Stegun, I.A. Handbook of Mathematical Functions with Formulas, Graphs, and Mathematical Tables; Dover Publications, Inc.: New York, NY, USA, 1972. [Google Scholar]
- Polyanin, A.D.; Zaitsev, V.F. Handbook of Nonlinear Partial Differential Equations; Chapman & Hall: New York, NY, USA, 2004. [Google Scholar]





| − | ||||
| − | ||||
| − | ||||
| − | ||||
| N | ||
|---|---|---|
| 2 | ||
| 4 | ||
| 6 | ||
| 8 | ||
| 10 |
© 2019 by the authors. Licensee MDPI, Basel, Switzerland. This article is an open access article distributed under the terms and conditions of the Creative Commons Attribution (CC BY) license (http://creativecommons.org/licenses/by/4.0/).
Share and Cite
Casabán, M.C.; Company, R.; Jódar, L. Numerical Integral Transform Methods for Random Hyperbolic Models with a Finite Degree of Randomness. Mathematics 2019, 7, 853. https://doi.org/10.3390/math7090853
Casabán MC, Company R, Jódar L. Numerical Integral Transform Methods for Random Hyperbolic Models with a Finite Degree of Randomness. Mathematics. 2019; 7(9):853. https://doi.org/10.3390/math7090853
Chicago/Turabian StyleCasabán, M. Consuelo, Rafael Company, and Lucas Jódar. 2019. "Numerical Integral Transform Methods for Random Hyperbolic Models with a Finite Degree of Randomness" Mathematics 7, no. 9: 853. https://doi.org/10.3390/math7090853
APA StyleCasabán, M. C., Company, R., & Jódar, L. (2019). Numerical Integral Transform Methods for Random Hyperbolic Models with a Finite Degree of Randomness. Mathematics, 7(9), 853. https://doi.org/10.3390/math7090853

