A New Approach to Solving Stochastic Optimal Control Problems
Abstract
1. Introduction
2. Materials and Methods
2.1. Case Study: Production of Biodiesel in a Batch Reactor
2.2. A New Approach for Stochastic Optimal Control Problems
2.2.1. Discretization
2.2.2. The BONUS Algorithm
2.2.3. BONUS: Extending the Scope of the Algorithm for SOCP with Time-Dependent Uncertainties
Initialization
NLP Optimization
3. Results and Discussions
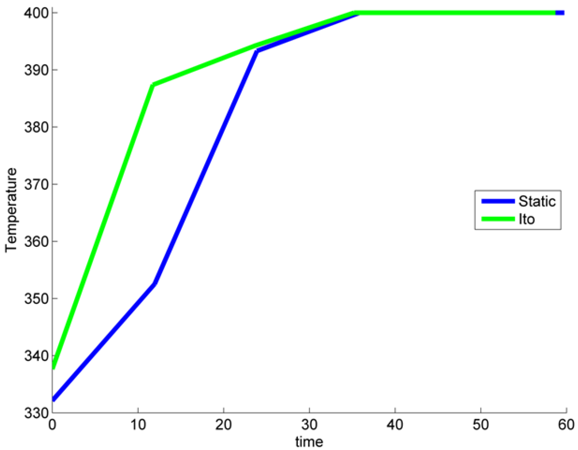
3.1. Using BONUS with Static and Time-Dependent Approaches to Uncertainty
3.2. A Comparison between Bonus and the Stochastic Maximum Principle
4. Conclusions
Author Contributions
Funding
Conflicts of Interest
References
- Dixit, A.K.; Pindyck, R.S. Investment under Uncertainty; Princeton University Press: Princeton, NJ, USA, 1994. [Google Scholar]
- Hajek, B. Notes for ECE 534 An Exploration of Random Processes for Engineers; University of Illinois at Urbana: Champaign, IL, USA, 2014. [Google Scholar]
- Diwekar, U.M. Introduction to Applied Optimization; Kluwer Academic Publishers: New York, NY, USA, 2003. [Google Scholar]
- Andrew, W. Maximum likelihood estimation of generalized itô processes with discretely sampled data. Econom. Theory 1988, 4, 231–247. [Google Scholar]
- Rico-Ramirez, V.; Diwekar, U.M.; Morel, B. Real option theory from finance to batch distillation. Comput. Chem. Eng. 2003, 27, 1867–1882. [Google Scholar] [CrossRef]
- Rico-Ramirez, V.; Diwekar, U.M. Stochastic maximum principle for optimal control under uncertainty. Comput. Chem. Eng. 2004, 28, 2845–2849. [Google Scholar] [CrossRef]
- Ulas, S.; Diwekar, U.M. Thermodynamic uncertainties in batch processing and optimal control. Comput. Chem. Eng. 2004, 28, 2245–2258. [Google Scholar] [CrossRef]
- Yenkie, K.M.; Diwekar, U. Stochastic Optimal Control of Seeded Batch Crystallizer Applying the Ito Process. Ind. Eng. Chem. Res. 2013, 52, 108–122. [Google Scholar] [CrossRef]
- Benavides, P.T.; Diwekar, U. Optimal control of biodiesel production in a batch reactor Part II: Stochastic control. Fuel 2012, 94, 218–226. [Google Scholar] [CrossRef]
- Benavides, P.T.; Diwekar, U. Studying various optimal control problems in biodiesel production in a batch reactor under uncertainty. Fuel 2013, 103, 585–592. [Google Scholar] [CrossRef]
- Shastri, Y.; Diwekar, U. Optimal control of lake pH for mercury bioaccumulation control. Ecol. Model. 2008, 216, 1–17. [Google Scholar] [CrossRef]
- Shastri, Y.; Diwekar, U. Sustainable ecosystem management using optimal control theory: Part 2 (stochastic systems). J. Theor. Biol. 2006, 241, 522–532. [Google Scholar] [CrossRef]
- Ulas, S.; Diwekar, U.M. Blood glucose regulation with stochastic optimal control for insulin-dependent diabetic patients. Chem. Eng. Sci. 2010, 65, 1227–1236. [Google Scholar] [CrossRef]
- Yenkie, K.M.; Diwekar, U. Optimal control for predicting customized drug dosage for superovulation stage of in-vitro fertilization. J. Theor. Biol. 2014, 355, 219–228. [Google Scholar] [CrossRef] [PubMed]
- Diwekar, U.; David, A. BONUS Algorithm for Large Scale Stochastic Nonlinear Programming Problems; Springer: Berlin, Germany, 2005. [Google Scholar]
- Charnes, A.; Cooper, W.W. Chance-Constrained Programming. Manag. Sci. 1959, 6, 73–79. [Google Scholar] [CrossRef]
- Birge, J.R.; Louveaux, F. Introduction to Stochastic Programming; Springer: New York, NY, USA, 1997. [Google Scholar]
- Sahin, K.H.; Diwekar, U.M. Better Optimization of Nonlinear Uncertain Systems (BONUS): A New Algorithm for Stochastic Programming Using Reweighting through Kernel Density Estimation. Ann. Oper. Res. 2004, 132, 47–68. [Google Scholar] [CrossRef]
- Salazar, J.M.; Zitney, S.E.; Diwekar, U.M. Minimization of Water Consumption under Uncertainty for a Pulverized Coal Power Plant. Environ. Sci. Technol. 2011, 45, 4645–4651. [Google Scholar] [CrossRef]
- Lee, A.J.; Diwekar, U.M. Optimal sensor placement in integrated gasification combined cycle power systems. Appl. Energy 2012, 99, 255–264. [Google Scholar] [CrossRef]
- Sen, P.; Sen, K.; Diwekar, U. Multi-objective Optimization Approach to Sensor Placement in IGCC Power Plant. Appl. Energy 2016, 181, 527–535. [Google Scholar] [CrossRef]
- Salazar, J.M.; Diwekar, U.; Constantinescu, E.; Zavala, V.M. Stochastic optimization approach to water management in cooling-constrained power plants. Appl. Energy 2013, 112, 12–22. [Google Scholar] [CrossRef]
- Erdogan, S.; Balki, M.; Aydın, S.; Sayin, C. The best fuel selection with hybrid multiple-criteria decision making approaches in a CI engine fueled with their blends and pure biodiesels produced from different sources. Renew. Energy 2018, 134, 653–668. [Google Scholar] [CrossRef]
- Demirbas, A. Progress and recent trends in biodiesel fuels. Energy Convers. Manag. 2009, 50, 14–34. [Google Scholar] [CrossRef]
- Kouzu, M.; Hidaka, J. Transesterification of vegetable oil into biodiesel catalyzed by CaO: A review. Fuel 2012, 93, 1–12. [Google Scholar] [CrossRef]
- Wong, K.Y.; Jo-Han, N.; Chong, C.T.; Lam, S.; Chong, W.T. Biodiesel process intensification through catalytic enhancement and emerging reactor designs: A critical review. Renew. Sustain. Energy Rev. 2019, 116, 109399. [Google Scholar] [CrossRef]
- Shan, R.; Lu, L.; Shi, Y.; Yuan, H.; Shi, J. Catalysts from renewable resources for biodiesel production. Energy Convers. Manag. 2018, 178, 277–289. [Google Scholar] [CrossRef]
- Aghbashlo, M.; Tabatabaei, M.; Rastegari, H.; Ghaziaskar, H.S. Exergy-based sustainability analysis of acetins synthesis through continuous esterification of glycerol in acetic acid using Amberlyst® 36 as catalyst. J. Clean. Prod. 2018, 183, 1265–1275. [Google Scholar] [CrossRef]
- Noureddini, H.; Zhu, D. Kinetic of transesterification of soybean oil. J. Am. Oil Chem. Soc. 1997, 74, 1457–1463. [Google Scholar] [CrossRef]
- Chuah, L.F.; Yusup, S.; Abd, A.R.; Jaromír, J.; Bokhari, A.; Abdullah, M.Z. Influence of fatty acids content in non-edible oil for biodiesel properties. Clean Technol. Environ. Policy 2016, 18, 473–482. [Google Scholar] [CrossRef]
- Ghayal, D.; Pandit, A.B.; Rathod, V.K. Optimization of biodiesel production in a hydrodynamic cavitation reactor using used frying oil. Ultrason. Sonochemistry 2013, 20, 322–328. [Google Scholar] [CrossRef]
- Chuah, L.F.; Klemes, J.J.; Yusup, S.; Bokhari, A.; Majeed, M. A review of cleaner intensification technologies in biodiesel production. J. Clean. Prod. 2017, 146, 181–193. [Google Scholar] [CrossRef]
- Mohammadshirazi, A.; Akram, A.; Rafiee, S.; Bagheri, K.E. Energy and cost analyses of biodiesel production from waste cooking oil. Renew. Sustain. Energy Rev. 2014, 33, 44–49. [Google Scholar] [CrossRef]
- Buasri, A.; Chaiyut, N.; Loryuenyong, V.; Worawanitchaphong, P.; Trongyong, S. Calcium Oxide Derived from Waste Shells of Mussel, Cockle, and Scallop as the Heterogeneous Catalyst for Biodiesel Production. Sci. World J. 2013, 2013, 460923. [Google Scholar] [CrossRef]
- Chua, S.Y.; Periasamy, L.; Hui, C.M.; Hua, Y.; Mujawar, N.; KAnsedo, J.; Khalid, R.; Walvekar, R.; Abdullah, E.C. Biodiesel Synthesis using Natural Solid Catalyst Derived from Biomass Waste—A Review. J. Ind. Eng. Chem. 2020, 8, 41–60. [Google Scholar] [CrossRef]
- Bashiri, H.; Pourbeiram, N. Biodiesel production through transesterification of soybean oil: A kinetic Monte Carlo study. J. Mol. Liq. 2016, 223, 10–15. [Google Scholar] [CrossRef]
- De, R.; Bhartiya, S.; Shastri, Y. Multi-objective optimization of integrated biodiesel production and separation system. Fuel 2019, 243, 519–532. [Google Scholar] [CrossRef]
- Benavides, P.T.; Diwekar, U. Optimal control of biodiesel production in a batch reactor: Part I: Deterministic control. Fuel 2012, 94, 211–217. [Google Scholar] [CrossRef]
- Senthil, S.A.; Sundaramoorthy, S. Optimal control policy for tracking optimal progression of temperature in a batch reactor—Some insights into the choice of objective function. IFAC Pap. 2018, 51, 112–117. [Google Scholar] [CrossRef]
- Abbasi, S.; Diwekar, U. Characterization and stochastic modeling of uncertainties in the biodiesel production. Clean Technol. Environ. Policy 2014, 16, 79–94. [Google Scholar] [CrossRef]
- Verma, P.; Sharma, M. Review of process parameters for biodiesel production from different feedstocks. Renew. Sustain. Energy Rev. 2016, 62, 1063–1071. [Google Scholar] [CrossRef]
- Diwekar, U.M.; Rubin, E.S. Stochastic modeling of chemical processes. Comput. Chem. Eng. 1991, 15, 105–114. [Google Scholar] [CrossRef][Green Version]
- Kerkhof, L.H.J.; Vissers, J.M. On the profit of optimum control in batch distillation. Chem. Eng. Sci. 1978, 33, 961–970. [Google Scholar] [CrossRef]
- Haas, M.J.; McAloon, A.J.; Yee, W.C.; Foglia, T.A. A process model to estimate biodiesel production costs. Bioresour. Technol. 2006, 97, 671–678. [Google Scholar] [CrossRef]
- Myint, L.L.; El-Halwagi, M.M. Process analysis and optimization of biodiesel production from soybean oil. Clean Technol. Environ. Policy 2009, 11, 263–276. [Google Scholar] [CrossRef]
- Kapalakarn, K.; Peugtong, A. A comparison of cost of biodiesel production from transesterification. Int. Energy J. 2007, 8, 1–6. [Google Scholar]
- Zhang, Y.; Dube, M.A.; McLean, D.D.; Kates, M. Biodiesel production from waste cooking oil: 2. Economic assessment and sensitivity analysis. Bioresour. Technol. 2003, 90, 229–240. [Google Scholar] [CrossRef]
- Kalagnanam, J.R.; Diwekar, U.M. An efficient sampling technique for off-line quality control. Technometrics 1997, 39, 308–319. [Google Scholar] [CrossRef]







| Item | Data |
|---|---|
| Raw materials a | |
| Soy bean oil (Triglycerides) | $0.573/kg |
| Methanol | $0.320/kg |
| Product | |
| Biodiesel (methyl ester) | $3/gallon = $0.9/kg |
| Additional parameters | |
| Biodiesel density | 0.88 kg/L |
| Triglyceride density | 885.446 kg/L |
| Methanol density | 32.04 kg/L |
| Set-up time | 10 min |
| Volume | 10,000 L |
| Approach | Profit ($/h) | Biodiesel (mol/L) | Time (min) |
|---|---|---|---|
| Stochastic Maximum Principle a | 160.8670 | 0.7791 | 44.912 |
| BONUS static uncertainties | 321.0393 | 0.9668 | 59.729 |
| BONUS Ito processes | 325.8686 | 0.9668 | 58.696 |
© 2019 by the authors. Licensee MDPI, Basel, Switzerland. This article is an open access article distributed under the terms and conditions of the Creative Commons Attribution (CC BY) license (http://creativecommons.org/licenses/by/4.0/).
Share and Cite
Rodriguez-Gonzalez, P.T.; Rico-Ramirez, V.; Rico-Martinez, R.; Diwekar, U.M. A New Approach to Solving Stochastic Optimal Control Problems. Mathematics 2019, 7, 1207. https://doi.org/10.3390/math7121207
Rodriguez-Gonzalez PT, Rico-Ramirez V, Rico-Martinez R, Diwekar UM. A New Approach to Solving Stochastic Optimal Control Problems. Mathematics. 2019; 7(12):1207. https://doi.org/10.3390/math7121207
Chicago/Turabian StyleRodriguez-Gonzalez, Pablo T., Vicente Rico-Ramirez, Ramiro Rico-Martinez, and Urmila M. Diwekar. 2019. "A New Approach to Solving Stochastic Optimal Control Problems" Mathematics 7, no. 12: 1207. https://doi.org/10.3390/math7121207
APA StyleRodriguez-Gonzalez, P. T., Rico-Ramirez, V., Rico-Martinez, R., & Diwekar, U. M. (2019). A New Approach to Solving Stochastic Optimal Control Problems. Mathematics, 7(12), 1207. https://doi.org/10.3390/math7121207
