Next Article in Journal
ParaTaintGX: Detecting Memory Corruption Vulnerabilities in SGX Applications via Parameter-Taint Model
Previous Article in Journal
The Mathematical and Physical Inconsistencies of Strain-Gradient Theories
Previous Article in Special Issue
The Legendre Spectral Method for Solving the Nonlinear Time-Fractional Convection-Diffusion Equations
 
 
Font Type:
Arial Georgia Verdana
Font Size:
Aa Aa Aa
Line Spacing:
Column Width:
Background:
Article

A Linear Fully Discrete Spectral Scheme for the Time Fractional Allen–Cahn Equation

School of Mathematics & Computing Science, Guilin University of Electronic Technology, Guilin 541004, China
*
Author to whom correspondence should be addressed.
Mathematics 2026, 14(6), 1006; https://doi.org/10.3390/math14061006
Submission received: 12 January 2026 / Revised: 5 March 2026 / Accepted: 13 March 2026 / Published: 16 March 2026

Abstract

This paper considers the numerical approximation of the time fractional Allen–Cahn equation with initial and periodic boundary conditions, and a linear fully discrete scheme is constructed with the finite difference method in time and the Fourier spectral method in space. Based on a temporal–spatial error splitting argument, the boundedness of numerical solutions in the L norm is rigorously proved and the unconditional convergence of the proposed scheme is obtained. Numerical examples illustrate the theoretical results.

1. Introduction

Fractional differential operators are more suitable than integer-order ones for describing some practical problems. At present, fractional differential equations have been widely used to model scientific problems, such as microstructural evolution [1], image denoising [2], etc. However, owing to the existence of fractional differential operators, analytical solutions are difficult to derive for most fractional differential equations. It is therefore necessary to construct stable and high-precision discrete schemes for the numerical approximation of nonlinear fractional differential equations. Accordingly, numerical algorithms including the finite difference method [3,4], finite element method [5,6], and spectral method [7,8] have been extensively adopted.
The Allen–Cahn equation is one of the equations describing the phase field model, which was proposed by Allen and Cahn [9] in 1979 when they studied the motion of the antiphase boundary. Since the integer-order Allen–Cahn equation cannot fully describe phase transition processes in complex media, in many heterogeneous and porous media, particle motion often exhibits nonlocality and memory effects. The time fractional Allen–Cahn equation effectively describes dependency and memory effects in complex physical processes and has been extensively studied in recent years, such as in multi-phase image segmentation [10], a description of oil pollution in water [11], phase separation [12], and local image inpainting [13]. Based on cubic B-splines and the Crank–Nicolson formula, a linear scheme for the time fractional Allen–Cahn equation is proposed, and its stability and convergence are proved. The convergence order is O ( τ 2 + h 2 ) , where τ and h represent the time step and space step, respectively [14]. Zheng et al. [15] proposed the first- and second-order schemes of the time fractional Allen–Cahn equation by the Lagrange multiplier method; these two schemes preserve the maximum principle and energy stability of the equation. The orders of convergence are O ( τ + h 2 ) and O ( τ 2 α + h 2 ) , respectively, where α is the order of the fractional derivative with respect to time. Ghosh et al. [16] transformed the time fractional Allen–Cahn equation into a nonlinear generalized functional equation and solved this nonlinear system using Daftardar-Gejji and Jafari methods (DGJ). The L1 scheme on graded mesh is used for time discretization, while the central difference scheme on a uniform mesh is applied spatially and the convergence order is O ( N m i n { γ α , 2 α } + h 2 ) , where γ 1 is the grading parameter. Ji et al. [17] proposed two fast L1 time-step methods, the backward Euler scheme and the stabilized semi-implicit scheme, to solve the time fractional Allen–Cahn equation with convergence orders of O ( τ 2 α + h 2 ) and O ( τ + h 2 ) , respectively.
In this paper, we consider the following time fractional Allen–Cahn equation:
( 1 ) D t α 0 C u ε 2 u x x + u 3 u = f ( x , t ) , x R , 0 t T , ( 2 ) u ( x , t ) = u ( x + 2 π , t ) , x R , 0 t T , ( 3 ) u ( x , 0 ) = u ( x + 2 π , 0 ) = u 0 ( x ) , x R ,
where u 0 ( x ) is a known function and D t α 0 C u ( 0 < α < 1 ) represents the Caputo fractional derivative defined by
D t α 0 C u ( x , t ) = 1 Γ ( 1 α ) 0 t ( t s ) α u ( x , s ) s d s , t > 0 .
For nonlinear problems, many scholars analyze the equation based on the boundedness of the numerical solution, which requires some time-step constraints. Li et al. [18] employed a linear L1-Galerkin finite element method for the time fractional Schrödinger equation to derive its linear scheme and established the unconditional convergence by the temporal–spatial error splitting argument. In order to solve the two-dimensional nonlinear time fractional advection–diffusion equation, Zhang et al. [19] proposed a linear L1 Legendre–Galerkin spectral method and illustrated both unconditional stability and optimal error estimates for this numerical scheme by the temporal–spatial error splitting argument and a discrete fractional Gronwall-type inequality. For the semilinear time fractional parabolic equation, Han et al. [20] proposed a numerical scheme by combining the transformed L1 method in time with the finite element method in space and proved unconditional optimal error estimates for the resulting scheme using a temporal–spatial error splitting argument. Thus, the temporal–spatial error splitting approach is theoretically justified to derive unconditional convergence.
This paper employs the spectral method to construct a highly accurate linear scheme for (1)–(3) and establishes its unconditional convergence. Specifically, we adopt the L 2 - 1 σ scheme to approximate the Caputo fractional derivative, the Fourier spectral method for spatial discretization, and Newton linearization to formulate a linear fully discrete scheme. By the time–space error splitting argument, we present a rigorous analysis of the boundedness of the numerical solution and the convergence of the fully discrete scheme. Moreover, we derive convergence results independent of the spatial mesh size, thus eliminating the time-step restriction. Numerical experiments verify that the proposed scheme attains second-order convergence in time and spectral accuracy in space, provided that the solution is sufficiently smooth. Furthermore, there are weak singular kernels in fractional differential equations. Even with smooth source terms and smooth initial conditions, the solution of time fractional differential equations will exhibit singularity at t = 0 . Then the time accuracy will be significantly reduced. Therefore, we construct a modified scheme to handle equations with non-smooth solutions in order to maintain second-order temporal accuracy around t = 0 .
The paper is structured as follows: In Section 2, some preparations are introduced, and a linear fully discrete scheme is constructed in Section 3. In Section 4, the boundedness of the numerical solution is analyzed, and the convergence of the proposed scheme is rigorously proved in Section 5. In Section 6 we propose an improved scheme for the non-smooth solution problem. Some numerical experiments are given in Section 7 to demonstrate the theoretical results. Conclusions are given in Section 8.

2. Preliminaries

Let I = ( 0 , 2 π ) . ( · , · ) and · be the inner product and L 2 norm on I. · denotes the norm of L ( I ) . For any integer m , r 0 , W m , r ( I ) is the Sobolev space in the usual sense. In particular, H m ( I ) = W m , 2 ( I ) and L 2 ( I ) = H 0 ( I ) .
H p m ( I ) = v | v H m ( I ) , v ( l ) ( 0 ) = v ( l ) ( 2 π ) , 0 l m
Let X be a Hilbert space and C ( [ 0 , T ] ; X ) a space consisting of continuously differentiable functions v : [ 0 , T ] X , and the norm is
v C ( [ 0 , T ] ; X ) = max 0 t T v ( t ) X < .
For any positive integer N, S N is the set of trigonometric polynomials of a degree of at most N, i.e., S N = Span { e i l x | N l N } . Let P N be the orthogonal projection operator L p 2 ( I ) S N such that for any v L p 2 ( I ) ,
( v P N v , φ ) = 0 , φ S N .
For the orthogonal projection operator, one has the following approximation results:
Lemma 1
([21]). If v H p m ( I ) , then
v P N v μ C N μ m v m , 0 μ m .
The following Sobolev interpolation inequality and inverse inequality play an important role in the theoretical analysis for the error estimation.
Lemma 2
([22]). If v H 1 ( I ) , then
v C v 1 / 2 v 1 1 / 2 C v 1 .
In addition, if v S N , then
v C N 1 / 2 v .

3. Fully Discrete Scheme

Let τ = T M be the temporal step size, where M is a positive integer. Let t k = k τ , u k = u ( · , t k ) and t k + σ : = σ t k + 1 + ( 1 σ ) t k for k = 0 , 1 , , M . We denote σ = 1 α 2 and μ = Γ ( 2 α ) τ α . To simplify the representation, in this paper, C i ( i N ) is composed of the coefficients of the same terms obtained during the analysis, representing a constant that is independent of τ and N.
For the Caputo fractional derivative of order 0 < α < 1 , Alikhanov’s L 2 1 σ approximation formula at t = t k + σ is as follows [23]:
D τ α u k + σ = 1 μ j = 0 k c k j ( k + 1 ) ( u j + 1 u j ) ,
where c 0 ( 1 ) = a 0 , and for k 1 ,
c j ( k + 1 ) = a 0 + b 1 , j = 0 , a j + b j + 1 b j , 1 j k 1 , a j b j , j = k ,
where
a 0 = σ 1 α , a l = ( l + σ ) 1 α ( l 1 + σ ) 1 α ,
b l = 1 2 α ( l + σ ) 2 α ( l 1 + σ ) 2 α 1 2 ( l + σ ) 1 α + ( l 1 + σ ) 1 α , l 1 .
Lemma 3
([24,25]). For any 0 < α < 1 , if u ( · , t ) C 3 [ 0 , t k + 1 ] , 0 k M 1 , then
D t α 0 C u k + σ D τ α u k + σ ( 4 σ 1 ) σ α 12 Γ ( 2 α ) max 0 t t k + 1 | t 3 u ( · , t ) | τ 3 α .
Lemma 4
([25]). For any 0 k M 1 , then
D τ α u k + σ , σ u k + 1 + ( 1 σ ) u k 1 2 D τ α u k + σ 2 .
Let u N k be the approximation of u ( x , t ) at time t = t k for 0 k M . We denote x u N k = u N x k , u N k ¯ = σ u N k + 1 + ( 1 σ ) u N k and u N k ^ = ( 1 + σ ) u N k σ u N k 1 . Formula (4) is used to approximate the Caputo fractional derivative, extrapolation and Newton linearization are used to discretize the nonlinear term, and the spatial direction is discretized by the Fourier spectral method. The linearized fully discrete scheme of Equations (1)–(3) is as follows: we find u N k S N , such that
( 5 ) ( D τ α u N σ , φ ) + ε 2 ( u N x 0 ¯ , φ x ) + ( 3 ( u N 0 ) 2 u N 0 ¯ 2 ( u N 0 ) 3 , φ ) ( u N 0 ¯ , φ ) = ( f σ , φ ) , ( 6 ) ( D τ α u N k + σ , φ ) + ε 2 ( u N x k ¯ , φ x ) + ( ( u N k ^ ) 3 , φ ) ( u N k ¯ , φ ) = ( f k + σ , φ ) , ( 7 ) u N 0 = P N u 0 .
where k = 1 , , M 1 , φ S N .
The fully discrete scheme (5)–(7) is a linear scheme and the well-posedness is guaranteed by the Lax–Milgram lemma.

4. Boundedness of the Numerical Solution

In this section, we analyze the boundedness of the numerical solution. Using an approach similar to the proof of Theorem 3.1 in [26], the following discrete fractional Gronwall-type inequality can be proved:
Lemma 5.
Let { w k } k = 0 M be a sequence of functions defined in ( 0 , 2 π ) and let { g n } n = 1 M be given non-negative sequences if w 1 2 g 1 and
D τ α w k + σ 2 β 1 w k ¯ 2 + β 2 w k ^ 2 + g k , 1 k M 1 ,
where β 1 and β 2 are positive constants. Then, there exists a positive constant τ * = 1 4 Γ ( 2 α ) Λ α such that, when τ τ * ,
w k + 1 2 2 E α ( 4 Λ t k + 1 α ) ( w 0 2 + g 1 + 2 t k + 1 α Γ ( 1 + α ) max 2 j k + 1 g j ) , 0 k M 1 ,
where Λ = 2 β 1 + max 2 β 2 ( 1 + σ ) 2 σ , 2 β 2 σ 2 1 σ and E α ( z ) = k = 0 z k Γ ( 1 + k α ) is the Mittag-Leffler function.
To prove the boundedness of the solution of the numerical scheme (5)–(7), we first introduce a time-discrete system
( 8 ) D τ α U σ ε 2 U x x 0 ¯ + 3 ( U 0 ) 2 U 0 ¯ 2 ( U 0 ) 3 U 0 ¯ = f σ , ( 9 ) D τ α U k + σ ε 2 U x x k ¯ + ( U k ^ ) 3 U k ¯ = f k + σ , k = 1 , , M , ( 10 ) U 0 = u 0 , ( 11 ) U k ( x ) = U k ( x + 2 π ) , k = 0 , 1 , , M .
It is a linear elliptic system, and the existence and uniqueness of the solution U k can be easily proved. Let
K = u 0 H p m ( I ) + u C ( [ 0 , T ] ; H p m ( I ) ) + t u C ( [ 0 , T ] ; H p 1 ( I ) ) + t 2 u C ( [ 0 , T ] ; H p 2 ( I ) ) + t 3 u C ( [ 0 , T ] ; L p 2 ( I ) ) ,
K 1 = max 1 k M u k + max 1 k M u k 1 + 1 .
Now, we prove the error estimate of u k U k and the boundedness of the numerical solution U k of the time discretization scheme (8)–(11).
Theorem 1.
Let u be the solution of (1)–(3) and { U k } k = 0 M be the solution of the time-discrete system (8)–(11). Then there exists a positive constant τ 1 * when τ τ 1 * ,
u k U k 1 C * τ 2 , k = 1 , , M ,
U k K 1 , U k 1 K 1 , k = 1 , , M .
Proof. 
Let e k = u k U k , k = 0 , 1 , , M , using mathematical induction to prove (14). For k = 1 , subtracting (8) from (1) yields the following error equation:
c 0 ( 1 ) μ e 1 ε 2 σ e x x 1 + 3 σ ( u 0 ) 2 e 1 σ e 1 = R 1 ,
where R 1 = D τ α u σ D t α 0 C u σ + ε 2 ( u x x σ u x x 0 ¯ ) + 3 ( u 0 ) 2 u 0 ¯ 2 ( u 0 ) 3 ( u σ ) 3 + u σ u 0 ¯ . According to Lemma 3, (12) and Taylor’s theorem, we have
R 1 C 1 τ 2 .
Within the interval I, we compute the inner product of both sides of (16) with respect to e 1 , arriving at
c 0 ( 1 ) μ e 1 2 + ε 2 σ e x 1 2 = 3 σ ( ( u 0 ) 2 e 1 , e 1 ) + σ e 1 2 + ( R 1 , e 1 ) .
Using the Hölder inequality, the Young inequality and (17), we have
c 0 ( 1 ) μ e 1 2 3 σ u 0 2 e 1 2 + σ e 1 2 + R 1 e 1 3 σ u 0 2 e 1 2 + σ e 1 2 + 1 4 e 1 2 + R 1 2 C 2 e 1 2 + R 1 2 .
When τ τ 1 = 2 Γ ( 2 α ) C 2 c 0 ( 1 ) 1 / α , we get
e 1 2 1 C 2 R 1 C 3 τ 2 .
Multiplying by e x x 1 on both sides of (16) and integrating over I, by using the Hölder inequality, the Young inequality and (17), we obtain
c 0 ( 1 ) μ e x 1 2 + ε 2 σ e x x 1 2 = 3 σ ( ( ( u 0 ) 2 e 1 ) x , e x 1 ) + σ e x 1 2 ( R 1 , e x x 1 ) 3 σ ( ( ( u 0 ) 2 ) x e 1 + u 0 2 e x 1 ) e x 1 + σ e x 1 2 + R 1 e x x 1 C 4 ( e 1 + e x 1 ) e x 1 + σ e x 1 2 + R 1 e x x 1 C 5 e x 1 2 + C 4 2 e 1 2 + 1 4 ε 2 σ R 1 2 + ε 2 σ e x x 1 2 .
From the above equation, we have
c 0 ( 1 ) μ e x 1 2 C 5 e x 1 2 + C 4 2 e 1 2 + 1 4 ε 2 σ R 1 2 .
When τ τ 2 = 2 Γ ( 2 α ) C 5 c 0 ( 1 ) 1 / α , we can infer that
e x 1 2 1 C 5 C 4 2 e 1 2 + 1 4 ε 2 σ R 1 2 C 6 τ 4 .
It follows from (18) and (19) that
e 1 1 C 3 + C 6 1 2 τ 2 .
Supposing that (14) holds for 1 k l ( 1 l M 1 ) and C 1 * = ( C 3 + C 6 ) 1 2 , by virtue of Lemma 2, when τ τ 3 = ( C C 1 * ) 1 2 , it holds that
U l u l + e l u l + C e l 1 K 1 .
Subtracting (9) from (1), we obtain the following error equation:
D τ , θ α e k + σ ε 2 e x x k ¯ + ( u k ^ ) 3 ( U k ^ ) 3 e k ¯ = R k + 1 , k = 1 , , M 1 ,
where R k + 1 = D τ α u k + σ D t α 0 C u k + σ + ε 2 ( u x x k + σ u x x k ¯ ) + ( u k ^ ) 3 ( u k + σ ) 3 + u k + σ u k ¯
According to Lemma 3, (12) and Taylor’s theorem, we have
R k + 1 C 7 τ 2 .
Taking k = l in (22), multiplying by e l ¯ on both sides of (22), and integrating over I, we get
( D τ α e l + σ , e l ¯ ) + ε 2 e x l ¯ 2 = ( u l ^ ) 3 ( U l ^ ) 3 , e l ¯ + e l ¯ 2 + R l + 1 , e l ¯ .
By using the Hölder inequality, the Young inequality, (12) and (21), we conclude that
( D τ α e l + σ , e l ¯ ) ( e l ^ j = 0 2 ( u l ^ ) 2 j ( U l ^ ) j , e l ¯ ) + e l ¯ 2 + ( R l + 1 , e l ¯ ) j = 0 2 u l ^ 2 j U l ^ j e l ^ e l ¯ + e l ¯ 2 + R l + 1 e l ¯ C 8 e l ^ e l ¯ + e l ¯ 2 + R l + 1 e l ¯ C 8 2 e l ^ 2 + 3 2 e l ¯ 2 + R l + 1 2 .
By Lemma 4, Lemma 5 and (23), there exists a positive constant τ 4 when τ τ 4 ,
e l + 1 2 2 E α ( 4 Λ 1 t l + 1 α ) ( C 1 2 τ 4 + 2 t l + 1 α Γ ( 1 + α ) max 2 j l + 1 R j 2 ) C 9 2 τ 4 .
Letting k = l in (22), multiplying by e x x l ¯ on both sides of (22) and integrating over I, we obtain
( D τ α e x l + σ , e x l ¯ ) + ε 2 e x x l ¯ 2 = ( ( u l ^ ) 3 ( U l ^ ) 3 , e x x l ¯ ) + e x l ¯ 2 ( R l + 1 , e x x l ¯ ) = ( e l ^ j = 0 2 ( u l ^ ) 2 j ( U l ^ ) j , e x x l ¯ ) + e x l ¯ 2 ( R l + 1 , e x x l ¯ ) .
By using the Hölder inequality, the Young inequality, (12) and (21), similar results can be obtained
( D τ α e x l + σ , e x l ¯ ) + ε 2 e x x l ¯ 2 C 10 e x l ^ e x l ¯ + e x l ¯ 2 + R l + 1 e x x l ¯ C 10 2 2 e x l ^ 2 + 3 2 e x l ¯ 2 + 1 4 ε 2 R l + 1 2 + ε 2 e x x l ¯ 2 .
According to Lemma 4, Lemma 5, and (23), there is a constant number τ 5 when τ τ 5 ,
e x l + 1 2 C 11 2 τ 4 .
By (25) and (27), we have
e l + 1 1 ( C 9 2 + C 11 2 ) 1 2 τ 2 .
when τ τ 6 = min { τ 1 , τ 2 , τ 3 , τ 4 , τ 5 } , e l + 1 1 C * τ 2 , and C * = ( C 9 2 + C 11 2 ) 1 2 ; thus, (14) holds for k = l + 1 ( 1 l M 1 ) . The induction is complete. Using Lemma 2, when τ τ 1 * = min { τ 6 , ( C C * ) 1 / 2 } , we have
U k 1   u k 1 +   e k 1   u k 1 + C * τ 2 K 1 , U k u k + e k u k + C e k 1 u k + C C * τ 2 K 1
The proof of Theorem 1 is complete. □
Next, we give an error estimate for P N U k u N k and prove the boundedness of the numerical solution u N k .
Theorem 2.
Let U k k = 0 M be the solution of the time-discrete system (8)–(11) and u N k k = 0 M be the solution of the fully discrete scheme (5)–(7). Then there exists a positive constant τ 2 * and N 0 when τ τ 2 * , N N 0
P N U k u N k C 16 N 1 ,
u N k K 2 ,
where k = 1 , , M , K 2 = max 1 k M P N U k + 1 .
Proof. 
Let θ N k = P N U k u N k , k = 0 , 1 , , M . We prove (29) by mathematical induction, for k = 1 , from (8) and (5), using the properties of projection operator P N and θ N 0 = 0 . The error equation of θ N 1 is
c 0 ( 1 ) μ ( θ N 1 , φ ) + ε 2 σ ( θ N x 1 , φ x ) = ( 2 ( U 0 ) 3 2 ( u N 0 ) 3 3 ( U 0 ) 2 U 0 ¯ + 3 ( u N 0 ) 2 u N 0 ¯ ) , φ ) + σ ( θ N 1 , φ ) .
Taking φ = θ N 1 in (31), it holds that
c 0 ( 1 ) μ θ N 1 2 + ε 2 σ θ N x 1 2 = ( 2 ( U 0 ) 3 2 ( u N 0 ) 3 3 ( U 0 ) 2 U 0 ¯ + 3 ( u N 0 ) 2 u N 0 ¯ ) , θ N 1 ) + σ θ N 1 2 .
By applying the Hölder inequality, the Young inequality, Lemma 1, (12) and (15), we can conclude that
c 0 ( 1 ) μ θ N 1 2 C 12 ( U 1 u N 1 + U 0 u N 0 ) θ N 1 + σ θ N 1 2 C 12 ( θ N 1 + U 1 P N U 1 + u 0 P N u 0 ) θ N 1 + σ θ N 1 2 C 13 θ N 1 2 + C 12 2 2 ( C N 2 U 1 1 2 + C N 2 m u 0 m 2 ) .
When τ τ 7 = 2 Γ ( 2 α ) C 13 c 0 ( 1 ) 1 / α , we can obtain
θ N 1 C 14 N 1 .
Suppose that (29) holds for 1 k l ( 1 l M 1 ) , by Lemma 2, when N N 1 = ( C C 14 ) 2 ,
u N l P N U l + θ N l P N U l + C N 1 2 θ N l K 2 .
Subtracting (9) and (6) gives the following equation:
( D τ α θ N k + σ , φ ) + ε 2 ( θ N x k ¯ , φ x ) + ( ( U k ^ ) 3 ( u N k ^ ) 3 , φ ) ( θ N k ¯ , φ ) = 0 .
Taking k = l and φ = θ N l ¯ in (35), we obtain
( D τ α θ N l + σ , θ N l ¯ ) + ε 2 θ N x l ¯ 2 = ( ( U l ^ ) 3 ( u N l ^ ) 3 , θ N l ¯ ) + θ N l ¯ 2 = ( ( U l ^ u N l ^ ) i = 0 2 ( U l ^ ) 2 j ( u N l ^ ) j , θ N l ¯ ) + θ N l ¯ 2 .
Using the Hölder inequality, the Young inequality, (15), (34) and Lemma 1, yields
( D τ α θ N l + σ , θ N l ¯ ) C 15 ( θ N l ^ + U l ^ P N U l ^ ) θ N l ¯ + θ N l ¯ 2 C 15 2 2 θ N l ^ 2 + 2 θ N l ¯ 2 + C 15 2 2 C N 2 U l ^ 1 2 .
Through Lemma 4 and Lemma 5, there exists a positive constant τ 8 such that when τ τ 8 ,
θ N l + 1 2 2 E α ( 4 Λ 2 t l + 1 α ) C 15 2 2 C N 2 U 1 ^ 1 2 + 2 t l + 1 α Γ ( 1 + α ) max 2 j l + 1 C 15 2 2 C N 2 U j ^ 1 2 C 16 2 N 2 ,
where Λ 2 is a positive constant. Equation (29) holds for k = l + 1 ( 1 l M 1 ) ; the induction is complete. Thus, using Lemma 2, when N N 0 = max { N 1 , ( C C 16 ) 2 } , we obtain
u N k P N U k + θ N k P N U k + C N 1 2 θ N k K 2 .
Taking τ 2 * = min { τ 1 * , τ 7 , τ 8 } , the proof is complete. □

5. Convergence Analysis of the Fully Discrete Scheme

In this section, we analyze the convergence of the scheme (5)–(7).
Theorem 3.
Let u be the solution of (1)–(3) and { u N k } k = 0 M be the solution of (5)–(7). Assume that u C ( [ 0 , T ] ; H p m ( I ) ) . Then, there exist positive constants τ 0 and N 0 , and when τ τ 0 , N N 0 ,
u k u N k C 0 ( τ 2 + N m ) , 0 k M ,
where C 0 is a positive constant independent of τ k and N.
Proof. 
Let η N k = P N u k u N k , k = 0 , 1 , , M . From (1) and (5), we obtain the error equation
c 0 ( 1 ) μ ( η N 1 , φ ) + ε 2 σ ( η N x 1 , φ x ) = ( 3 ( u 0 ) 2 u 0 ¯ 3 ( u N 0 ) 2 u N 0 ¯ , φ ) + σ ( η N 1 , φ ) + ( R 1 , φ ) .
Taking φ = η N 1 in (39), we have
c 0 ( 1 ) μ η N 1 2 + ε 2 σ η N x 1 ¯ 2 = ( 3 ( u 0 ) 2 u 0 ¯ 3 ( u N 0 ) 2 u N 0 ¯ , η N 1 ) + σ η N 1 2 + ( R 1 , η N 1 ) .
Making use of the Hölder inequality, the Young inequality, (12), (17), and Lemma 1, we obtain
c 0 ( 1 ) μ η N 1 2 3 ( ( u 0 u N 0 ) ( u 0 + u N 0 ) u 0 ¯ + ( u N 0 ) 2 ( u 0 ¯ u N 0 ¯ ) , η N 1 ) + σ η N 1 2 + ( R 1 , η N 1 ) C 17 ( u 1 u N 1 + u 0 u N 0 ) η N 1 + σ η N 1 2 + R 1 η N 1 C 17 ( η N 1 + u 1 P N u 1 + u 0 P N u 0 ) η N 1 + σ η N 1 2 + R 1 η N 1 C 18 η N 1 2 + C 17 2 2 u 1 P N u 1 2 + C 17 2 2 u 0 P N u 0 2 + R 1 2 C 18 η N 1 2 + C 17 2 C N 2 m u C ( [ 0 , T ] ; H p m ( I ) ) 2 + C 1 2 τ 4 .
When τ τ 9 = 2 Γ ( 2 α ) C 18 c 0 ( 1 ) 1 / α , we get
η N 1   C 19 ( τ 2 + N m ) .
Next, for 1 k M 1 , from (1) and (6),
( D τ α η N k + σ , φ ) + ε 2 ( η N x k ¯ , φ x ) + ( ( u k ^ ) 3 ( u N k ^ ) 3 , φ ) ( η N k ¯ , φ ) = ( R k + 1 , φ ) .
Taking φ = η N k ¯ in (42), we have
( D τ α η N k + σ , η N k ¯ ) + ε 2 η N x k ¯ 2 = ( ( u k ^ ) 3 ( u N k ^ ) 3 , η N k ¯ ) + η N k ¯ 2 + ( R k + 1 , η N k ¯ ) .
By using the Hölder inequality, the Young inequality, (12), (23), (30) and Lemma 1, we obtain
( D τ α η N k + σ , η N k ¯ ) ( ( u k ^ u N k ^ ) j = 0 2 ( u k ^ ) 2 j ( u N k ^ ) j , η N k ¯ ) + η N k ¯ 2 + ( R k + 1 , η N k ¯ ) C 20 u k ^ u N k ^ η N k ¯ + η N k ¯ 2 + R k + 1 η N k ¯ C 20 2 ( η N k ^ 2 + u k ^ P N u k ^ 2 ) + 7 4 η N k ¯ 2 + R k + 1 2 C 20 2 η N k ^ 2 + 7 4 η N k ¯ 2 + C 20 2 C N 2 m u C ( [ 0 , T ] ; H p m ( I ) ) 2 + C 5 τ 4 .
Using Lemma 4, Lemma 5 and (23), there exists a positive constant τ 10 , which, when τ τ 10 , yields
η N k C 21 ( τ 2 + N m ) .
Using the triangle inequality, Lemma 1 and (44), we get the conclusion
u k u N k u k P N u k + η N k C N m u C ( [ 0 , T ] ; H p m ( I ) ) + C 21 ( τ 2 + N m ) C 0 ( τ 2 + N m ) ,
where τ τ 0 = min { τ 2 * , τ 9 , τ 10 } , N N 0 . The proof is complete. □

6. An Improved Fully Discrete Scheme for Non-Smooth Solutions

Since the solution of the time fractional differential equation will show singularity at t = 0 [27], even if the initial conditions and source terms are sufficiently smooth, this singularity will lead to a decrease in the time accuracy of the constructed fully discrete scheme. To solve this problem and obtain the desired accuracy, we follow Lubich’s approach [28] by adding correction terms.
First, we revise the L 2 - 1 σ scheme as follows:
D t α 0 C u ( x , t ) = D τ α u k + σ + τ α j = 1 m ω k + 1 , j ( u j u 0 ) ,
where the starting weights ω k + 1 , j are chosen such that (45) is exact for u = t r l , 0 < r l < r l + 1 , 1 l m . Specifically, ω k + 1 , j can be computed by
j = 1 m ω k + 1 , j j r l = Γ ( 1 + r l ) Γ ( 1 + r l α ) ( k + σ ) r l α 1 Γ ( 2 α ) c 0 k + 1 ( k + 1 ) r l j = 0 k 1 ( c j k + 1 c j + 1 k + 1 ) ( k j ) r l .
According to [29], the linear system (46) is known to be ill-conditioned. In fact, for equations with solutions of low regularity, we only need to add a few terms to significantly improve temporal accuracy. Then we can solve ω k + 1 , j effectively.
We next correct the approximation of u k + σ . Choosing the starting weight ω k + 1 , j satisfies that
u k + σ = u k ¯ + j = 1 m ω k + 1 , j ( u j u 0 )
is exact for u = t r l , 0 < r l < r l + 1 , 1 l m .
The fully discrete scheme for correcting Equations (1)–(3) is as follows: find u N k S N ,
( D τ α u N σ , φ ) + ε 2 ( u N x 0 ¯ , φ x ) + ( 3 ( u N 0 ) 2 u N 0 ¯ 2 ( u N 0 ) 3 , φ ) ( u N 0 ¯ , φ ) + τ α ω 1 , 1 ( u N 1 u N 0 , φ ) + ε 2 ω 1 , 1 ( u N x 1 u N x 0 , φ x ) ω 1 , 1 ( u N 1 u N 0 , φ ) = ( f σ , φ ) , ( D τ α u N k + σ , φ ) + ε 2 ( u N x k ¯ , φ x ) + ( ( u N k ^ ) 3 , φ ) ( u N k ¯ , φ ) = ( f k + σ , φ )
τ α j = 1 m ω k + 1 , j ( u N j u N 0 , φ ) ε 2 j = 1 m 1 ω k + 1 , j ( u N x j u N x 0 , φ x ) + j = 1 m 2 ω k + 1 , j ( u N j u N 0 , φ ) ,
u N 0 = P N u 0 .
Scheme (47)–(49) is made accurate for low-regularity terms t r l by adding correction terms. Therefore, for equations with weakly singular points, scheme (47)–(49) exhibits higher temporal accuracy than scheme (5)–(7).

7. Numerical Experiments

In this section, we present numerical results to support the theoretical analysis. The maximum L 2 norm error between the exact solution and the numerical solution, as well as the temporal error, are computed using the following formulas: E r r o r : = max 1 k M u ( t k ) u N k , R a t e : = log M 2 M 1 E r r o r ( M 1 ) E r r o r ( M 2 ) . Moreover, in [30], it was first proved that the Allen–Cahn equation for time fractions satisfies the following energy laws: E ( t ) E ( 0 ) , where E ( t ) is the total energy defined by E ( t ) : = Ω ε 2 2 | D t α u | 2 + F ( u ) d x , where F ( u ) = 1 4 ( 1 u 2 ) 2 . And the principle of maximum values holds: if | u ( x , 0 ) | 1 , then u ( x , t ) | 1 .
Example 1.
Consider the time fractional Allen–Cahn equation with a smooth solution u ( x , t ) = t 3 + α sin ( 3 x ) :
D t α 0 C u ε 2 u x x + u 3 u = f ( x , t )
where f ( x , t ) = Γ ( 4 + α ) t 3 sin ( 3 x ) 6 + 9 ε 2 t 3 + α sin ( 3 x ) + t 9 + 3 α sin 3 ( 3 x ) t 3 + α sin ( 3 x ) and u ( x , 0 ) = 0 .
We first consider the temporal accuracy. To avoid the influence of spatial discretization, we take T = 1 , N = 40 and ε = 0.1 . Table 1 gives the maximum L 2 norm error and time convergence rates varying different τ and α. The results show that the temporal accuracy is τ 2 , which is consistent with the theoretical analysis.
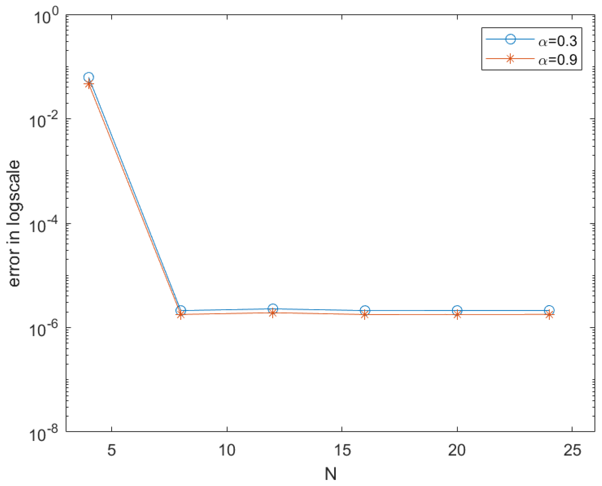
Next, we consider the spatial convergence rate. To eliminate the impact of temporal direction error, we set τ = 0.001 . Taking T = 1 and ε = 0.1 , Figure 1 plots the maximum L 2 norm errors with respect to polynomial degree N in semi-log scale for α = 0.3 and 0.9 . The exponential decay of the maximum L 2 norm errors indicates that spectral accuracy in space is achieved when the solution is sufficiently smooth.
Finally, we verify the maximum value principle and the law of energy dissipation. We set T = 1 , M = 64 , N = 60 , and ε = 0.01 . Figure 2 and Figure 3 show the maximum norm and energy E ( t ) over time for different values of α = 0.2 , α = 0.5 , and α = 0.9 . The results demonstrate that our approach is effective, satisfying both the energy dissipation law and the maximum value principle.
Next, we give an example where the solution of (1)–(3) exhibits finite regularity.
Example 2.
Consider the time fractional Allen–Cahn equation with a non-smooth solution u ( x , t ) = t 3 + α sin 14 3 ( x ) :
D t α 0 C u ε 2 u x x + u 3 u = f ( x , t )
where
f ( x , t ) = t 3 Γ ( 4 + α ) 6 sin 14 3 ( x ) ε 2 t 3 + α ( 154 9 sin 8 3 ( x ) cos 2 ( x ) 14 3 sin 14 3 ( x ) ) + t 9 + 3 α sin 14 ( x ) t 3 + α sin 14 3 ( x ) ,
and u ( x , 0 ) = 0 . Obviously, u ( x , t ) H 4 ( I ) but u ( x , t ) H 5 ( I ) .
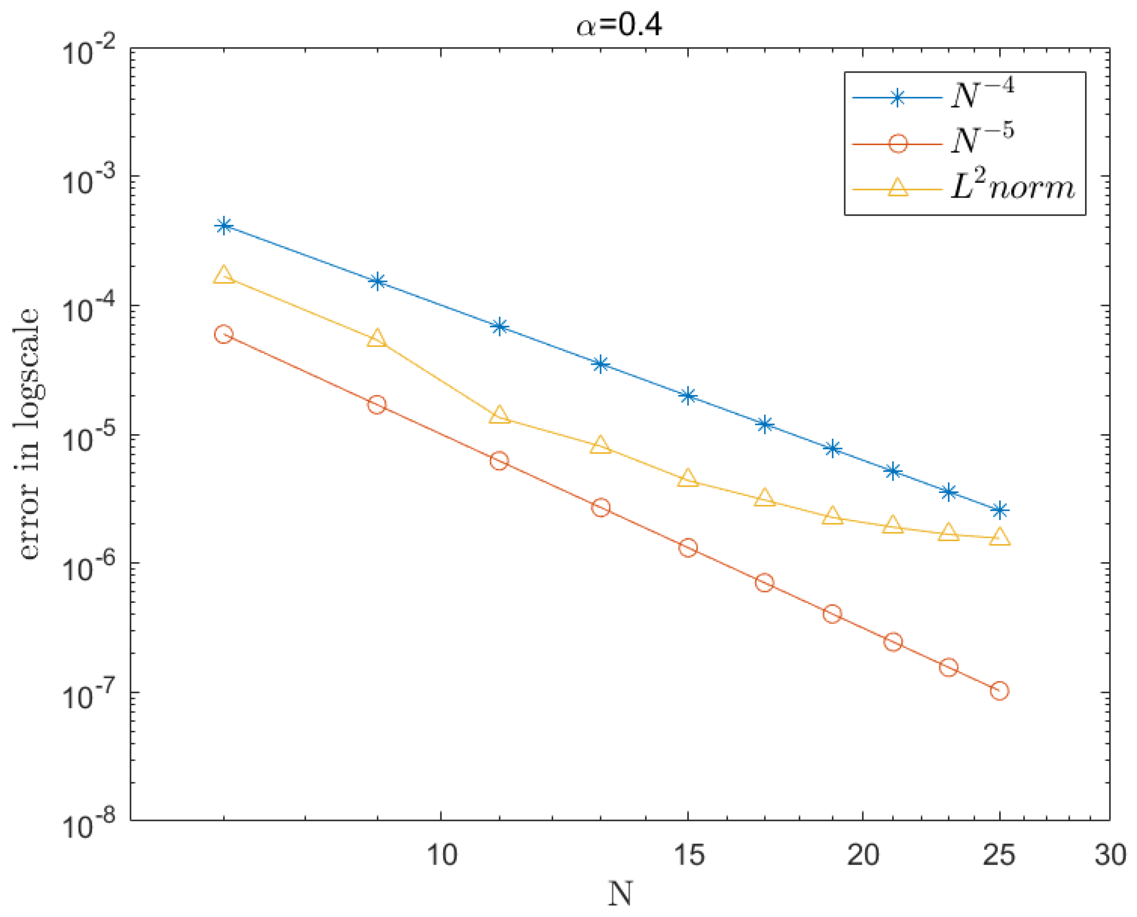
We investigate the time and space accuracy. First, taking T = 1 and N = 60 , Table 2 shows the L 2 norm error and time convergence rates for different values of τ and α. The results show that the scheme has second-order temporal accuracy. Next, taking τ = 0.0005 , α = 0.4 and ε = 0.01 , Figure 4 plots the maximum L 2 norm errors with respect to polynomial degree N in a semi-log scale. The results indicate that the convergence rate of the numerical scheme lies between N 4 and N 5 , which is consistent with the theoretical analysis.
In the last example, we explore the problem of non-smooth solutions in time.
Example 3.
Consider the time fractional Allen–Cahn equation with solution u ( x , t ) = t 0.3 + α sin ( 2 x ) :
D t α 0 C u ε 2 u x x + u 3 u = f ( x , t )
where f ( x , t ) = Γ ( 1.3 + α ) t 0.3 sin ( 2 x ) Γ ( 1.3 ) + 4 ε 2 t 0.3 + α sin ( 2 x ) + t 0.9 + 3 α sin 3 ( 2 x ) t 0.3 + α sin ( 2 x ) and u ( x , 0 ) = 0 .
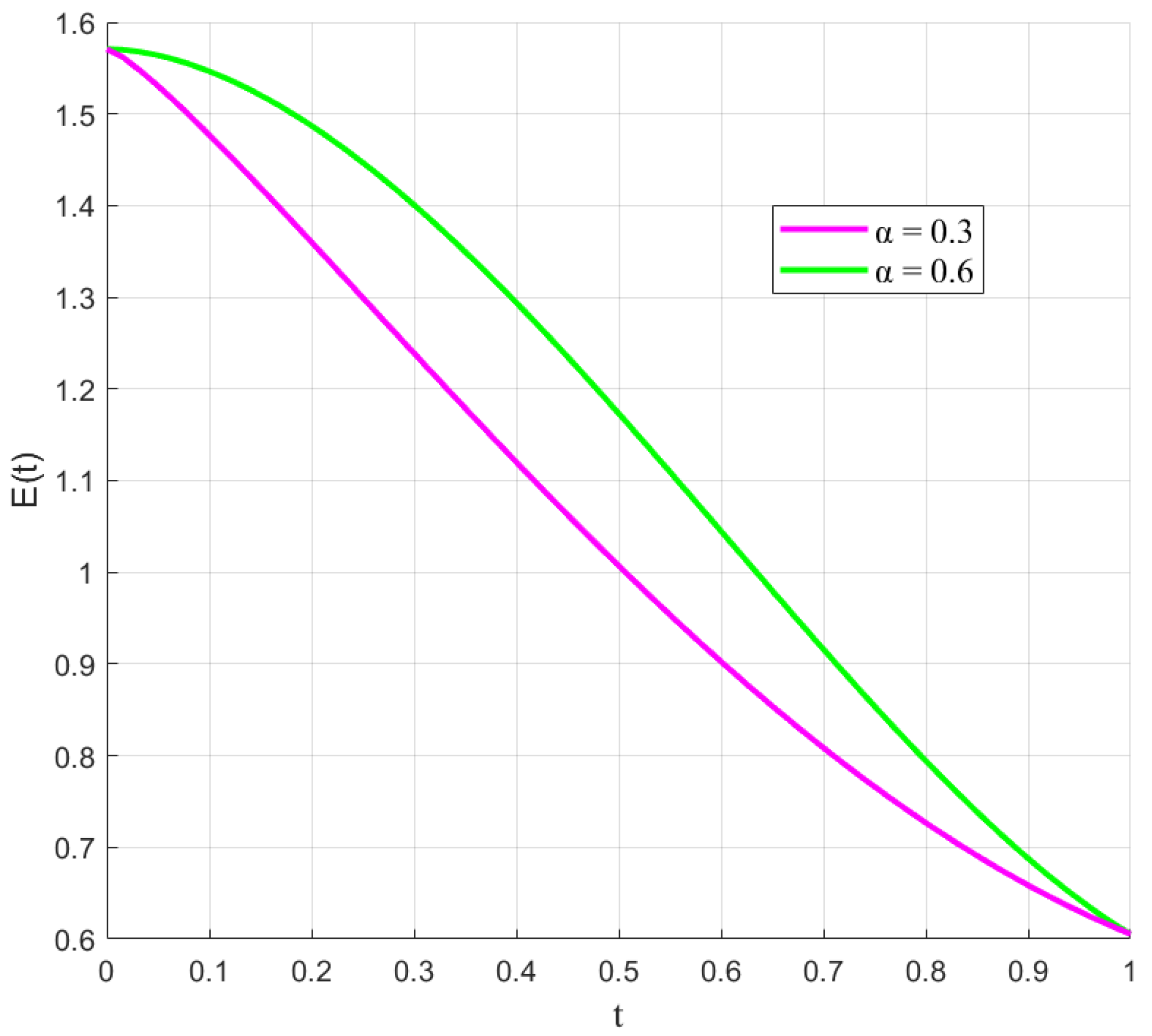
First, we verify the principle of maximum value and the law of energy dissipation in the scheme. Taking T = 1 , M = 64 , N = 40 , and ε = 0.05 , Figure 5 and Figure 6 show the maximum norm value and energy E ( t ) over time for α = 0.3 and α = 0.6 . The results demonstrate that this scheme is effective for equations with weakly initial singularities, simultaneously satisfying the energy dissipation law and the maximum principle.
Taking T = 1 , N = 40 , and ε = 0.5 , Table 3 and Table 4 describes the L 2 norm errors and temporal convergence rates for α = 0.3 , 0.6 , and 0.9. In these tables, m = 0 indicates that the error and temporal convergence rates are obtained via scheme (5)–(7), meaning we do not correct the approximation of Caputo fractional derivatives. m = 1 indicates that we have added a correction term for the discrete Caputo fractional derivative, namely the error and convergence order obtained according to scheme (47)–(49). It should be noted that in this example, the corrections to u k + σ and the nonlinear term have a minor impact on temporal accuracy; therefore, we do not modify them.
In Table 3, Table 4 and Table 5, we observe that when m = 0 , the time convergence order of the L 2 norm errors is less than two, which is caused by the singularity of the solution. When a correction term is added to the approximated fractional derivative, the time accuracy improves to second order.
The results above demonstrate that adding appropriate correction terms is highly effective for non-smooth solutions. Not only does this ensure approximate accuracy for low-regularity terms, but it also preserves precision for high-regularity terms.

8. Conclusions

In this paper, we study the time fractional Allen–Cahn equation and propose a linear fully discrete scheme for it. The time derivative is discretized using the L 2 1 σ format on a uniform grid, while the spatial part is discretized using the Fourier spectral method. The boundedness of the approximate solution and the convergence of the numerical scheme are proved rigorously. We prove the unconditional convergence of the numerical scheme and that its order is O ( τ 2 + N m ) by the temporal–spatial error splitting argument, and numerical experiments verify the theoretical results obtained. The linearization method used in this paper can also be used to solve other fractional reaction–diffusion equations, as well as high-dimensional problems.

Author Contributions

Methodology, X.L., W.C. and L.J.; writing—original draft preparation, X.L., W.C. and L.J.; writing—review and editing, Q.L., W.C., L.J. and T.L. All authors have read and agreed to the published version of the manuscript.

Funding

This research was funded by the Natural Science Foundation of Guangxi, China (2021GXNSFAA220109, 2025GXNSFAA069197, 2023GXNSFAA026284); the Innovation Project of Guangxi Graduate Education (JGY2023123); and the Education and teaching reform curriculum construction project of GUET (JGKT202355).

Informed Consent Statement

Written informed consent has been obtained from the participants to publish this paper.

Data Availability Statement

The original contributions presented in this study are included in the article. Further inquiries can be directed to the corresponding author.

Conflicts of Interest

The authors declare no conflicts of interest.

References

  1. Chen, L.Q. Phase-Field Models for Microstructure Evolution. Annu. Rev. Mater. Res. 2002, 32, 113–140. [Google Scholar] [CrossRef]
  2. Gatto, P.; Hesthaven, J.S. Numerical approximation of the fractional Laplacian via hp-finite elements, with an application to image denoising. J. Sci. Comput. 2013, 57, 515–544. [Google Scholar] [CrossRef]
  3. Zhou, Y.; Xu, W. Second-order error analysis of a corrected average finite difference scheme for time-fractional Cable equations with nonsmooth solutions. Math. Comput. Simul. 2024, 226, 631–644. [Google Scholar] [CrossRef]
  4. Qing, L.Y.; Li, X.L. Meshless analysis of fractional diffusion-wave equations by generalized finite difference method. Appl. Math. Lett. 2024, 157, 109204. [Google Scholar] [CrossRef]
  5. Xu, C.; Pei, L. Unconditional superconvergence analysis of two modified finite element fully discrete schemes for nonlinear Burgers’ equation. Appl. Numer. Math. 2023, 185, 1–17. [Google Scholar] [CrossRef]
  6. Xie, C.M.; Feng, M.F.; Wei, H.Y. An H1 weak Galerkin mixed finite element method for Sobolev equation. J. Comput. Appl. Math. 2023, 423, 114979. [Google Scholar] [CrossRef]
  7. Sang, L.; Wu, H. Error estimates of a space-time Legendre spectral method for solving the Korteweg-de Vries equation. Commun. Nonlinear Sci. Numer. Simul. 2024, 133, 107991. [Google Scholar] [CrossRef]
  8. Wu, H.; Gao, Q.Y. A space-time spectral method for solving the nonlinear Klein-Gordon equation. Appl. Numer. Math. 2023, 190, 110–137. [Google Scholar] [CrossRef]
  9. Allen, S.M.; Cahn, J.W. A microscopic theory for antiphase boundary motion and its application to antiphase domain coarsening. Acta Metall. 1979, 27, 1085–1095. [Google Scholar] [CrossRef]
  10. Liu, C.; Qiao, Z.; Zhang, Q. Multi-phase image segmentation by the Allen-Cahn Chan-Vese model. Comput. Math. Appl. 2023, 141, 207–220. [Google Scholar] [CrossRef]
  11. Patel, H.; Patel, T.; Pandit, D. An efficient technique for solving fractional-order diffusion equations arising in oil pollution. J. Ocean Eng. Sci. 2023, 8, 217–225. [Google Scholar] [CrossRef]
  12. Lee, D.; Kim, H. The time-fractional Allen-Cahn equation on geometric computational domains. Commun. Nonlinear Sci. Numer. Simul. 2025, 141, 108455. [Google Scholar] [CrossRef]
  13. Wang, J.; Han, Z.; Kim, J. An efficient and explicit local image inpainting method using the Allen-Cahn equation. Z. Angew. Math. Phys. 2024, 75, 44. [Google Scholar] [CrossRef]
  14. Choudhary, R.; Kumar, D. Collocation-based numerical simulation of fractional order Allen-Cahn equation. J. Math. Chem. 2024, 62, 145–168. [Google Scholar] [CrossRef]
  15. Zheng, Z.; Ni, X.; He, J. Lagrange multiplier structure-preserving algorithm for time-fractional Allen-Cahn equation. Comput. Math. Appl. 2024, 164, 67–78. [Google Scholar] [CrossRef]
  16. Ghosh, B.; Mohapatra, J. A novel numerical technique for solving time fractional nonlinear diffusion equations involving weak singularities. Math. Methods Appl. Sci. 2023, 46, 12811–12825. [Google Scholar] [CrossRef]
  17. Ji, B.; Liao, H.L.; Zhang, L. Simple maximum principle preserving time-stepping methods for time-fractional Allen-Cahn equation. Adv. Comput. Math. 2020, 46, 37. [Google Scholar] [CrossRef]
  18. Li, D.; Wang, J.; Zhang, J. Unconditionally convergent L1-Galerkin FEMs for nonlinear time-fractional Schrodinger equations. SIAM J. Sci. Comput. 2017, 39, A3067–A3088. [Google Scholar] [CrossRef]
  19. Zhang, H.; Jia, J.; Jiang, X. An optimal error estimate for the two-dimensional nonlinear time fractional advection-diffusion equation with smooth and non-smooth solutions. Comput. Math. Appl. 2020, 79, 2819–2831. [Google Scholar] [CrossRef]
  20. Han, Y.; Huang, X.; Gu, W.; Zheng, B. Linearized transformed L1 finite element methods for semi-linear time-fractional parabolic problems. Appl. Math. Comput. 2023, 458, 128242. [Google Scholar] [CrossRef]
  21. Canuto, C.; Quarteroni, A. Approximation results for orthogonal polynomials in Sobolev spaces. Math. Comp. 1982, 38, 67–86. [Google Scholar] [CrossRef]
  22. Maz’Ja, V.G. Sobolev Space; Springer: New York, USA, 1985. [Google Scholar]
  23. Alikhanov, A.A. A new difference scheme for the time fractional diffusion equation. J. Comput. Phys. 2015, 280, 424–438. [Google Scholar] [CrossRef]
  24. Chen, H.; Stynes, M. Error analysis of a second-order method on fitted meshes for a time-fractional diffusion problem. J. Sci. Comput. 2019, 79, 624–647. [Google Scholar] [CrossRef]
  25. Liao, H.L.; McLean, W.; Zhang, J.W. A second-order scheme with nonuniform time steps for a linear reaction-subdiffusion problem. Commun. Comput. Phys. 2021, 30, 567–601. [Google Scholar] [CrossRef]
  26. Liao, H.; McLean, W.J. A discrete Grönwall inequality with application to numerical schemes for subdiffusion problems. SIAM J. Numer. Anal. 2018, 56, 1112–1133. [Google Scholar] [CrossRef]
  27. Stynes, M.; O’Riordan, E.; Gracia, J.L. Error analysis of a finite difference method on graded meshes for a time-fractional diffusion equation. SIAM J. Numer. Anal. 2017, 55, 1057–1079. [Google Scholar] [CrossRef]
  28. Lubich, C. Discretized fractional calculus. SIAM J. Math. Anal. 1986, 17, 704–719. [Google Scholar] [CrossRef]
  29. Diethelm, K.; Ford, J.M.; Ford, N.J.; Weilbeer, M. Pitfalls in fast numerical solvers for fractional differential equations. J. Comput. Appl. Math. 2006, 186, 482–503. [Google Scholar] [CrossRef]
  30. Tang, T.; Yu, H.; Zhou, T. On energy dissipation theory and numerical stability for time-fractional phase-field equations. SIAM J. Sci. Comput. 2019, 41, A3757–A3778. [Google Scholar] [CrossRef]
Figure 1. Spatial convergence rates with α = 0.3 and α = 0.9 for Example 1.
Figure 1. Spatial convergence rates with α = 0.3 and α = 0.9 for Example 1.
Mathematics 14 01006 g001
Figure 2. The maximum norm value of the numerical solution over time for Example 1.
Figure 2. The maximum norm value of the numerical solution over time for Example 1.
Mathematics 14 01006 g002
Figure 3. Energy dissipation over time for Example 1.
Figure 3. Energy dissipation over time for Example 1.
Mathematics 14 01006 g003
Figure 4. L 2 norm errors with respect to polynomial degree N for Example 2.
Figure 4. L 2 norm errors with respect to polynomial degree N for Example 2.
Mathematics 14 01006 g004
Figure 5. The maximum norm value of the numerical solution over time for Example 3.
Figure 5. The maximum norm value of the numerical solution over time for Example 3.
Mathematics 14 01006 g005
Figure 6. Energy dissipation over time for Example 3.
Figure 6. Energy dissipation over time for Example 3.
Mathematics 14 01006 g006
Table 1. L 2 errors and temporal convergence rates for Example 1.
Table 1. L 2 errors and temporal convergence rates for Example 1.
τ α = 0.2 α = 0.5 α = 0.9
ErrorRateErrorRateErrorRate
1 / 20 2.1673 × 10 2 1.5384 × 10 2 5.5584 × 10 3
1 / 40 5.5962 × 10 3 1.9534 3.9632 × 10 3 1.9567 1.4623 × 10 3 1.9264
1 / 80 1.4219 × 10 3 1.9767 1.0095 × 10 3 1.9730 3.7787 × 10 4 1.9523
1 / 160 3.5827 × 10 4 1.9887 2.5516 × 10 4 1.9841 9.6771 × 10 5 1.9652
1 / 320 8.9915 × 10 5 1.9944 6.4207 × 10 5 1.9906 2.4661 × 10 5 1.9724
Table 2. L 2 errors and temporal convergence rates for Example 2.
Table 2. L 2 errors and temporal convergence rates for Example 2.
τ α = 0.2 α = 0.5 α = 0.9
ErrorRateErrorRateErrorRate
1 / 16 2.4444 × 10 2 1.7388 × 10 2 6.5475 × 10 3
1 / 32 6.3497 × 10 3 1.9447 4.4847 × 10 3 1.9550 1.6869 × 10 3 1.9566
1 / 64 1.6202 × 10 3 1.9705 1.1450 × 10 3 1.9697 4.3167 × 10 4 1.9664
1 / 128 4.0910 × 10 4 1.9857 2.8993 × 10 4 1.9815 1.1009 × 10 4 1.9713
1 / 256 1.0276 × 10 4 1.9932 7.3044 × 10 5 1.9889 2.8010 × 10 5 1.9746
Table 3. L 2 errors and temporal convergence rates of scheme (5)–(7) and scheme (47)–(49) for α = 0.6 in Example 3.
Table 3. L 2 errors and temporal convergence rates of scheme (5)–(7) and scheme (47)–(49) for α = 0.6 in Example 3.
τ m = 0 m = 1
ErrorRateErrorRate
1 / 64 6.1425 × 10 4 1.8968 × 10 5
1 / 128 3.2942 × 10 4 0.8989 4.6852 × 10 6 2.0173
1 / 256 1.7656 × 10 4 0.8998 1.1642 × 10 6 2.0088
1 / 512 9.4616 × 10 5 0.9000 2.9016 × 10 7 2.0044
1 / 1024 5.0704 × 10 5 0.9000 7.2428 × 10 8 2.0022
Table 4. L 2 errors and temporal convergence rates of scheme (5)–(7) and scheme (47)–(49) for α = 0.9 in Example 3.
Table 4. L 2 errors and temporal convergence rates of scheme (5)–(7) and scheme (47)–(49) for α = 0.9 in Example 3.
τ m = 0 m = 1
ErrorRateErrorRate
1 / 64 4.5488 × 10 4 2.8196 × 10 5
1 / 128 1.9799 × 10 4 1.2000 7.0038 × 10 6 2.0093
1 / 256 8.6182 × 10 5 1.2000 1.7454 × 10 6 2.0046
1 / 512 3.7513 × 10 5 1.2000 4.3566 × 10 7 2.0023
1 / 1024 1.6328 × 10 5 1.2000 1.0883 × 10 7 2.0011
Table 5. L 2 errors and temporal convergence rates of scheme (5)–(7) and scheme (47)–(49) for α = 0.3 in Example 3.
Table 5. L 2 errors and temporal convergence rates of scheme (5)–(7) and scheme (47)–(49) for α = 0.3 in Example 3.
τ m = 0 m = 1
ErrorRateErrorRate
1 / 64 4.8955 × 10 3 6.6771 × 10 4
1 / 128 3.2992 × 10 3 0.5693 1.5534 × 10 4 2.1038
1 / 256 2.1929 × 10 3 0.5893 3.6262 × 10 5 2.0989
1 / 512 1.4505 × 10 3 0.5962 8.4768 × 10 6 2.0969
1 / 1024 9.5787 × 10 4 0.5987 1.9829 × 10 6 2.0959
Disclaimer/Publisher’s Note: The statements, opinions and data contained in all publications are solely those of the individual author(s) and contributor(s) and not of MDPI and/or the editor(s). MDPI and/or the editor(s) disclaim responsibility for any injury to people or property resulting from any ideas, methods, instructions or products referred to in the content.

Share and Cite

MDPI and ACS Style

Li, X.; Chen, W.; Li, Q.; Jiang, L.; Liu, T. A Linear Fully Discrete Spectral Scheme for the Time Fractional Allen–Cahn Equation. Mathematics 2026, 14, 1006. https://doi.org/10.3390/math14061006

AMA Style

Li X, Chen W, Li Q, Jiang L, Liu T. A Linear Fully Discrete Spectral Scheme for the Time Fractional Allen–Cahn Equation. Mathematics. 2026; 14(6):1006. https://doi.org/10.3390/math14061006

Chicago/Turabian Style

Li, Xiaoli, Wenping Chen, Qingqiong Li, Lihua Jiang, and Tianyi Liu. 2026. "A Linear Fully Discrete Spectral Scheme for the Time Fractional Allen–Cahn Equation" Mathematics 14, no. 6: 1006. https://doi.org/10.3390/math14061006

APA Style

Li, X., Chen, W., Li, Q., Jiang, L., & Liu, T. (2026). A Linear Fully Discrete Spectral Scheme for the Time Fractional Allen–Cahn Equation. Mathematics, 14(6), 1006. https://doi.org/10.3390/math14061006

Note that from the first issue of 2016, this journal uses article numbers instead of page numbers. See further details here.

Article Metrics

Back to TopTop