Blockchain-Enabled Data Supply Chain Governance: An Evolutionary Game Model Based on Prospect Theory
Abstract
1. Introduction
2. Literature Review
2.1. Blockchain for Trust Reconstruction in Data Trading
2.2. Evolutionary Game Analysis of Multi-Party Data Governance
3. Basic Assumptions and Model Construction
3.1. The Game Relationship Between the Three Participants
3.2. Basic Assumptions
3.3. Profit Matrix
4. Evolutionary Game Model Analysis
4.1. Stability Analysis of Strategies of Evolutionary Game Agents
4.1.1. Data Supplier Strategy Stability Analysis
4.1.2. Analysis of Consumer Strategy Stability
4.1.3. Analysis of Strategy Stability in Data Trading Market
4.2. Stability Analysis of the Equilibrium Point of a Three-Party Evolutionary Game System
5. Simulation Analysis
5.1. Impact of Initial Strategy on System Evolution
5.2. The Impact of the Cost L Required for the Data Trading Market to Choose to Use Blockchain Technology
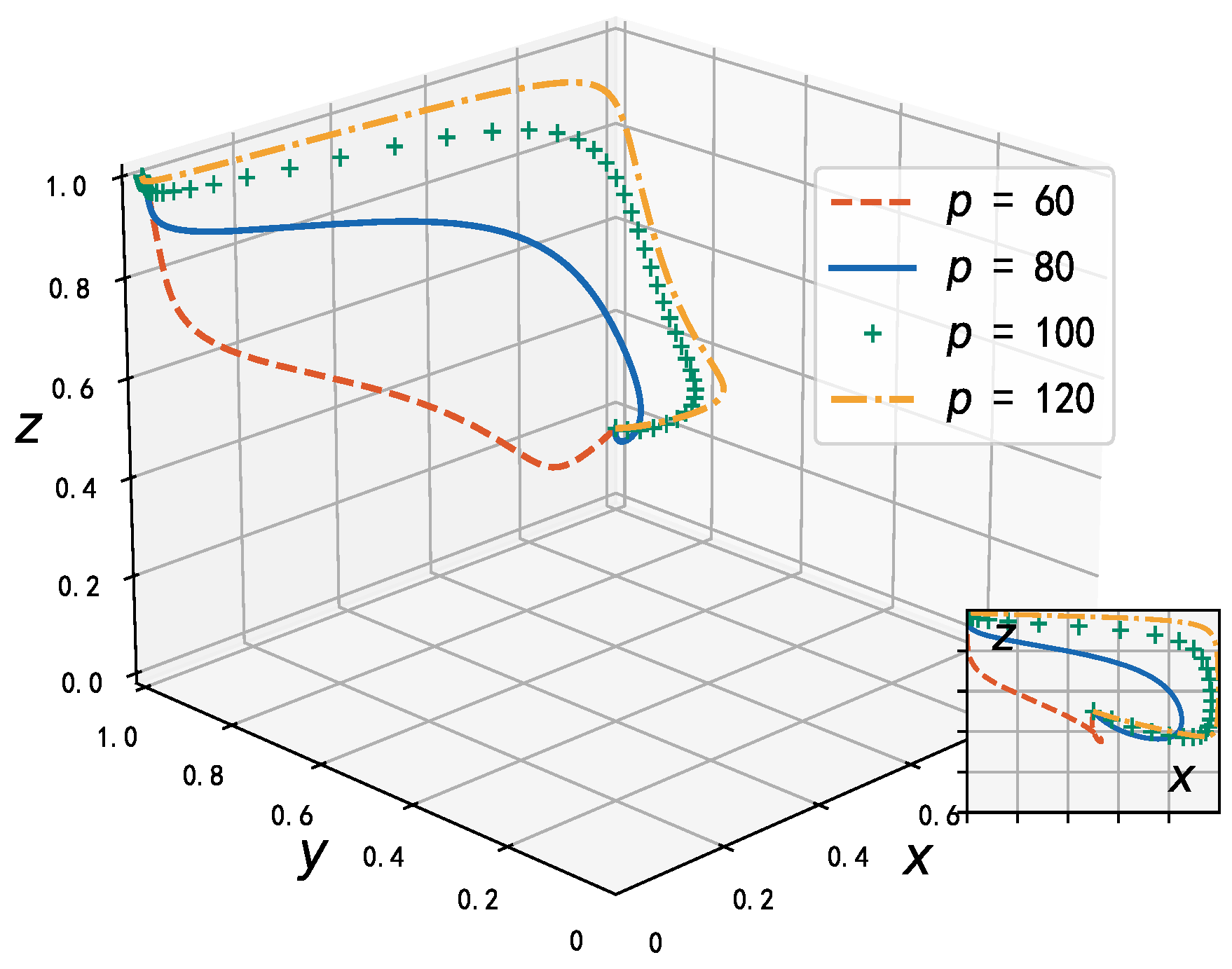
5.3. The Impact of the Amount of Data p Traded in the Market
5.4. The Impact of Data Trading Markets on the Incentives g and f of Data Suppliers and Consumers
6. Conclusions and Recommendation
6.1. Conclusions
6.2. Recommendation
Author Contributions
Funding
Data Availability Statement
Conflicts of Interest
References
- Yang, Y.; Li, Y.; Liang, X. The role of data trading platforms (DTPs) in digital technology innovation: Mechanisms & evidence from China. J. Policy Model. 2025, 47, 1372–1396. [Google Scholar]
- Lv, Y.; Yang, J.; Sun, X.; Wu, H. Evolutionary game analysis of stakeholder privacy management in the AIGC model. Oper. Res. Perspect. 2025, 14, 100327. [Google Scholar] [CrossRef]
- Li, C.; Liang, S.; Zhang, J.; Wang, Q.E.; Luo, Y. Blockchain-based data trading in edge-cloud computing environment. Inf. Process. Manag. 2022, 59, 102786. [Google Scholar] [CrossRef]
- Abla, P.; Li, T.; He, D.; Huang, H.; Yu, S.; Zhang, Y. Fair and privacy-preserved data trading protocol by exploiting blockchain. IEEE Trans. Inf. Forensics Secur. 2024, 19, 9012–9025. [Google Scholar] [CrossRef]
- Li, T.; Liu, A.; Zhang, S.; Wang, T.; Song, H. TCDT: A trust-enabled crowdsourced data trading system in intelligent blockchain over Internet of Things. Expert Syst. Appl. 2025, 265, 125968. [Google Scholar] [CrossRef]
- Zhang, J.; Zhang, S.; Zhang, G.; Liao, G. A data trading scheme based on blockchain and game theory in federated learning. Expert Syst. Appl. 2025, 278, 127158. [Google Scholar] [CrossRef]
- Guo, L.; Zhang, Q.; Wu, J.; Gonzalez, E.D.S. An evolutionary game model of manufacturers and consumers’ behavior strategies for green technology and government subsidy in supply chain platform. Comput. Ind. Eng. 2024, 189, 109918. [Google Scholar] [CrossRef]
- Fan, W.; Wu, X.; He, Q. Digitalization drives green transformation of supply chains: A two-stage evolutionary game analysis. Ann. Oper. Res. 2024, 355, 1483–1502. [Google Scholar] [CrossRef]
- Cao, W.; Tao, X. A study on the evolutionary game of the four-party agricultural product supply chain based on collaborative governance and sustainability. Sustainability 2025, 17, 1762. [Google Scholar] [CrossRef]
- Zhao, E.; Sun, S.; Fu, C.; Wu, J.; Wang, S. How user-generated content influence different types of travelers to select hotels? A perspective with prospect theory. Inf. Process. Manag. 2025, 62, 104049. [Google Scholar] [CrossRef]
- Qiu, R.; Wang, L.; Jia, Y.; Yu, L. Understanding digital risk governance in manufacturing supply chains: Behavioral insights from prospect theory and evolutionary games. Asia Pac. J. Mark. Logist. 2025, 1–34. [Google Scholar] [CrossRef]
- Wang, S.; Zou, K.; Zou, Y.; Jiang, Z. Dynamic Tripartite Governance in data security: An evolutionary game model with cross-level government supervision. PLoS ONE 2025, 20, e0325473. [Google Scholar] [CrossRef] [PubMed]
- Liu, X.; Wang, Q.; Li, Z.; Jiang, S. An Evolutionary Game Analysis of Decision-Making and Interaction Mechanisms of Chinese Energy Enterprises, the Public, and the Government in Low-Carbon Development Based on Prospect Theory. Energies 2025, 18, 2041. [Google Scholar] [CrossRef]
- Baah-Peprah, P.; Shneor, R. A trust-based crowdfunding campaign marketing framework: Theoretical underpinnings and big-data analytics practice. Int. J. Big Data Manag. 2022, 2, 1–24. [Google Scholar] [CrossRef]
- Dong, S.; Abbas, K.; Li, M.; Kamruzzaman, J. Blockchain technology and application: An overview. PeerJ Comput. Sci. 2023, 9, e1705. [Google Scholar] [CrossRef]
- Ressi, D.; Romanello, R.; Piazza, C.; Rossi, S. AI-enhanced blockchain technology: A review of advancements and opportunities. J. Netw. Comput. Appl. 2024, 225, 103858. [Google Scholar] [CrossRef]
- Nguyen, L.D.; Leyva-Mayorga, I.; Lewis, A.N.; Popovski, P. Modeling and analysis of data trading on blockchain-based market in IoT networks. IEEE Internet Things J. 2021, 8, 6487–6497. [Google Scholar] [CrossRef]
- Chen, F.; Zhang, H.; Xiang, T.; Liu, J.K. A two-stage approach for fair data trading based on blockchain. IEEE Trans. Inf. Forensics Secur. 2024, 19, 9835–9849. [Google Scholar] [CrossRef]
- Li, D.; Ke, X.; Zhang, X.; Zhang, Y. A trusted and regulated data trading scheme based on blockchain and zero-knowledge proof. IET Blockchain 2024, 4, 443–455. [Google Scholar] [CrossRef]
- Liang, Z.Y.; Liu, G.Y.; Ren, Y.; Yang, M.; Jiang, R.W.; Luo, Y.; Ma, Y.S. Trustworthy data space collaborative trust mechanism driven by blockchain: Technology integration, cross-border governance, and standardization path. Information 2025, 16, 1066. [Google Scholar] [CrossRef]
- Javed, F.; Mangues-Bafalluy, J.; Zeydan, E.; Blanco, L. Trustworthy reputation for federated learning in o-ran using blockchain and smart contracts. IEEE Open J. Commun. Soc. 2025, 6, 1343–1362. [Google Scholar] [CrossRef]
- Geng, Q.; Chuai, Z.; Jin, J. Cross-organizational data exchange based on consortium blockchain with consistency guarantee. J. Supercomput. 2024, 80, 18199–18236. [Google Scholar] [CrossRef]
- Yang, J.; Yang, T.; Zhang, C. System dynamics based evolutionary game model for data transaction quality regulation. Front. Comput. Sci. 2026, 20, 2003609. [Google Scholar] [CrossRef]
- Avila, P.; Mullon, C. Evolutionary game theory and the adaptive dynamics approach: Adaptation where individuals interact. Philos. Trans. R. Soc. B 2023, 378, 20210502. [Google Scholar] [CrossRef]
- Li, X. An evolutionary game-theoretic analysis of enterprise information security investment based on information sharing platform. Manag. Decis. Econ. 2022, 43, 595–606. [Google Scholar] [CrossRef]
- Tian, Z.; Han, M.; Jiang, C. Research on platform data security governance strategy based on three-party evolutionary game. Heliyon 2024, 10, e36391. [Google Scholar] [CrossRef]
- Yao, H.; Liu, Y. Evolutionary game analysis of healthcare data governance in China’s experimental data trading pilots. Npj Digit. Med. 2025, 8, 562. [Google Scholar] [CrossRef] [PubMed]
- Liu, X.; Yue, J.; Luo, L.; Liu, C.; Zhu, T. Evolutionary analysis of nuclear wastewater collaborative governance based on prospect theory. J. Clean. Prod. 2024, 465, 142856. [Google Scholar] [CrossRef]
- Su, C.; Deng, J.; Li, X.; Ma, J.; He, W.; Wang, X.; Wang, C. The mechanism of blockchain technology in safety risk monitoring. Eng. Constr. Archit. Manag. 2025, 1–21. [Google Scholar] [CrossRef]
- Chen, Q.; Chen, F.; Gu, B.; Tian, P.; Fu, Y. Research on shipping carbon governance considering rent-seeking behavior: An evolutionary game analysis based on prospect theory. Front. Mar. Sci. 2025, 12, 1655085. [Google Scholar] [CrossRef]
- Zhu, X.; Meng, X.; Zhang, Y. How to promote knowledge transfer within R&D team? An evolutionary game based on prospect theory. PLoS ONE 2023, 18, e0289383. [Google Scholar]
- Zhang, J.; Zhang, X.; Zhang, J. Research on the on-exchange implementation of data trading based on evolutionary game theory. IEEE Access 2024, 12, 20894–20906. [Google Scholar] [CrossRef]
- Zhang, J.; Datta, A. Blockchain-enabled data governance for privacy-preserved sharing of confidential data. PeerJ Comput. Sci. 2024, 10, e2581. [Google Scholar] [CrossRef] [PubMed]
- Selten, R. A note on evolutionarily stable strategies in asymmetric animal conflicts. In Models of Strategic Rationality; Springer: Berlin/Heidelberg, Germany, 1988; pp. 67–75. [Google Scholar]
- Cressman, R. Evolutionary Dynamics and Extensive form Games; MIT Press: Cambridge, MA, USA, 2003; Volume 5. [Google Scholar]
- Zou, C.; Huang, Y.; Hu, S.; Huang, Z. Government participation in low-carbon technology transfer: An evolutionary game study. Technol. Forecast. Soc. Change 2023, 188, 122320. [Google Scholar] [CrossRef]













| Dimension | Traditional Research | Recent Research [11,12,13] | This Study |
|---|---|---|---|
| Game subjects | Buyer–seller bilateral game | Government-enterprise-third party regulator | Supplier–consumer-trading platform (emphasizing the platform’s endogenous governance role) |
| Rationality assumption | Perfect rationality | Bounded rationality | Bounded rationality + Prospect theory (Quantifying loss aversion and reference point dependence) |
| Role of blockchain | Exogenous variable | Instrumental tool | Strategic variable (Platform dynamically chooses deployment based on cost-benefit, affecting penalty probability r) |
| Data characteristics | General commodities | Carbon emission data/Logistics data | Data elements (Non-rivalry, Privacy risk ) |
| Parameter | Parameter Description |
|---|---|
| Speculative gains made by data vendors in the event of a breach | |
| Revenue earned by data suppliers from selling data | |
| a | Probability of data supplier breach |
| b | Data breach rate caused by data supplier breaches |
| Costs to data suppliers for processing data | |
| Data suppliers gain from not using blockchain technology in the market | |
| Fines imposed by the data trading market on data suppliers that violate regulations | |
| g | Rewards for data suppliers to actively provide high-quality data |
| p | The total amount of data in the trading market |
| Total penalties imposed on the top 2 tiers of data providers | |
| Losses caused to consumers by data suppliers due to violations | |
| Consumers’ perceived benefits of purchasing data products | |
| f | The data trading market will reward consumers who successfully report |
| Benefits to consumers from using blockchain technology in the market | |
| L | The cost of using blockchain technology in the trading market |
| The data trading market does not use blockchain technology to identify the cost of reporting inputs | |
| The revenue generated by successful transactions for the platform | |
| r | The probability of successful identification of reports in the data trading market |
| Data Suppliers | Data Consumer | Data Trading Market | |
|---|---|---|---|
| Adopting Blockchain | No Blockchain | ||
| Violations | Report | ||
| Do not report | |||
| Compliance | Report | ||
| Do not report | |||
| Equilibrium Point | |||
|---|---|---|---|
| L | |||
| f | |||
| Equilibrium Point | Symbol | Stable Condition | Stability Analysis |
|---|---|---|---|
| ∖ | Unstable | ||
| Scenario 3 | ESS | ||
| ∖ | Unstable | ||
| Scenario 2 | ESS | ||
| ∖ | Unstable | ||
| Scenario 1 | ESS | ||
| ∖ | Unstable | ||
| ∖ | Unstable |
Disclaimer/Publisher’s Note: The statements, opinions and data contained in all publications are solely those of the individual author(s) and contributor(s) and not of MDPI and/or the editor(s). MDPI and/or the editor(s) disclaim responsibility for any injury to people or property resulting from any ideas, methods, instructions or products referred to in the content. |
© 2026 by the authors. Licensee MDPI, Basel, Switzerland. This article is an open access article distributed under the terms and conditions of the Creative Commons Attribution (CC BY) license.
Share and Cite
Zhang, J.; Yang, J. Blockchain-Enabled Data Supply Chain Governance: An Evolutionary Game Model Based on Prospect Theory. Mathematics 2026, 14, 432. https://doi.org/10.3390/math14030432
Zhang J, Yang J. Blockchain-Enabled Data Supply Chain Governance: An Evolutionary Game Model Based on Prospect Theory. Mathematics. 2026; 14(3):432. https://doi.org/10.3390/math14030432
Chicago/Turabian StyleZhang, Jie, and Jian Yang. 2026. "Blockchain-Enabled Data Supply Chain Governance: An Evolutionary Game Model Based on Prospect Theory" Mathematics 14, no. 3: 432. https://doi.org/10.3390/math14030432
APA StyleZhang, J., & Yang, J. (2026). Blockchain-Enabled Data Supply Chain Governance: An Evolutionary Game Model Based on Prospect Theory. Mathematics, 14(3), 432. https://doi.org/10.3390/math14030432

