Abstract
In subway stations constructed using the cut-and-cover method, an increasing number of projects are adopting the form of precast components combined with on-site assembly. However, analysis of the novel structural elements within such overlapped subway stations remains inadequate. To simulate the shear failure mechanism at slab–wall joints, the structural behavior of these joints in overlapped subway stations is idealized as a rigid die stamping problem. An admissible failure mechanism is constructed, comprising a rigid wedge zone and a vertical tensile fracture perpendicular to a smooth base. The limit analysis approach is adopted, a two-dimensional velocity field is constructed, and the upper-bound theorem is applied to determine the bearing capacity of these joints under strip loading, utilizing a modified Coulomb yield criterion incorporating a small tensile stress cutoff. The failure mechanism proposed on the basis of an engineering case is validated through analytical calculations and parametric studies. Finally, a parametric analysis is conducted to investigate the influence of factors such as the geometric configuration of the slab–wall joints and the tensile and compressive strengths of concrete on their ultimate bearing capacity. The results obtained can provide an effective reference for the design and construction of precast slab–wall joints in future overlapped subway station projects.
MSC:
65K05; 74A05
1. Introduction
While cut-and-cover excavation remains the primary method for metro station construction, conventional support systems such as bored piles exhibit significant limitations: slow drilling progress, susceptibility to borehole collapse, substantial environmental contamination from slurry disposal, noise and air pollution adversely affecting neighboring communities. In contrast, precast components manufactured under factory-controlled conditions reduce on-site construction intensity, thereby mitigating environmental impacts. Furthermore, rapid advancements in support technologies now enable integrated designs where temporary supports merge with permanent structures. This approach aligns with green design principles, such as cost efficiency, sustainability requirements, and controlled structural deformation, which establishing overlapped subway station technology as a significant impetus for the future industrialization of underground engineering.
Overlapped subway stations represent an innovative underground construction methodology that integrates precast assembly with cast-in-place techniques. This approach involves factory prefabrication of core structural components (e.g., sidewalls, beams, columns, and slabs), which are transported to the construction site and assembled via crane lifting to form a structural skeleton. Subsequently, concrete bonding layers are cast at connection joints and component surfaces, establishing a hybrid “precast + cast-in-place” structural system. This design preserves the rapid construction timeline characteristic of prefabricated buildings while simultaneously ensuring structural integrity, waterproofing performance, and seismic resilience through the monolithic cast-in-place layers.
In overlapped subway stations, slab–wall joints demonstrate superior monolithic behavior, enabling effective transfer of multidirectional loads and stresses. Their reliable connectivity and enhanced durability when coupled with rational detailing design and construction methodologies ensure long-term structural stability and safety. These joints further exhibit substantial seismic resilience, accommodating diverse engineering requirements across varying service environments. Extensive research has been conducted on slab–wall joints, with investigations spanning structural performance assessment, seismic resistance mechanisms, and durability optimization under environmental exposures.
In limit analysis methodologies for assessing structural stability or computing ultimate load-bearing capacity, the pre-establishment of an admissible failure mechanism is fundamentally essential; subsequently, the velocity field is constructed based on the failure mechanism. Many researchers have developed a variety of failure mechanisms in the process of analyzing different civil engineering structures [1,2,3]. However, research on the failure mechanisms of concrete structures such as the slab–wall joints studied in this paper is still lacking.
Several researchers have conducted experimental investigations on slab–wall joints in conventional cast-in-place shear wall structures to evaluate their structural performance characteristics [4,5]. Extensive research has addressed not only joint behavior under in-plane bending moments and shear forces [6,7,8,9,10,11], but also responses to out-of-plane bending moments, transverse shear forces [12,13], and particularly cyclic out-of-plane loading [14,15,16], with focused investigations on hysteretic energy dissipation and post-yield degradation mechanisms. Beyond these investigations, comparative studies [17,18,19,20] have systematically evaluated precast versus cast-in-place joints, demonstrating the structural viability of slab–wall joints in prefabricated reinforced concrete systems. Although the aforementioned studies provide fundamental design references for slab–wall joints, they predominantly focus on conventional shear wall structures and rely on experimental or numerical approaches.
Limit analysis methods find extensive application in underground engineering design and construction. These approaches provide rigorous stability assessments for critical structures including tunnel faces, slopes, and excavations, delivering theoretical frameworks for collapse load predictions [21,22,23,24,25,26,27,28,29,30,31]. The Upper-Bound Theorem of Limit Analysis constitutes a fundamental methodology within limit analysis theory, serving to evaluate the ultimate load-bearing capacity of structures or materials at their limit state. Grounded in principles of plasticity theory and energy conservation, this analytical approach is extensively applied across civil engineering, geotechnical engineering, structural engineering, and materials science. The method operates under two foundational hypotheses: materials exhibit plastic deformation upon reaching yield strength, conforming to the plastic flow rule during deformation; and at the limit state, the work performed by external forces equilibrates with energy dissipated through internal plastic deformation. Methodologically, the upper-bound approach postulates kinematically admissible collapse mechanisms (velocity fields), then computes the external work rate and internal energy dissipation rate. A mechanism is deemed admissible when the external work rate is bigger than the internal energy dissipation rate. Through iterative optimization of postulated failure mechanisms, the least upper bound of the structural collapse load is determined.
Research on limit analysis of concrete structures remains limited. Larsen [32] established a lower-bound framework for concrete system capacity assessment. Simões et al. [33] investigated failure mechanisms in concrete foundations through kinematic theorem applications. Salim & Sebastian [34] utilized plastic upper-bound theory to predict shear capacities in reinforced concrete slabs without shear reinforcement or in-plane restraint. Pisano et al. [35] proposed a numerical procedure for limit analysis to assess the peak load capacity of concrete members. Subsequently, Pisano et al. [36] introduced a design method based on limit analysis and applied it to evaluate the peak load capacity of full-scale reinforced concrete (RC) prototypes for structural walls and slabs.
However, the shear behavior of precast slab–wall joints in overlapped subway stations has not been theoretically studied using limit analysis, which motivates this study. This study proposes a novel application of plastic theory to evaluate the shear behavior of slab–wall joints under strip loading. A simplified failure mechanism is proposed, a kinematically admissible two-dimensional velocity field is constructed, and a modified Coulomb criterion is adopted. By balancing external power and internal energy dissipation, a generalized ultimate capacity solution is derived for structural design optimization.
2. Material Model
2.1. Material Properties
According to experience, both rock and concrete exhibit brittleness when subjected to tension, while having some deformability under compression. Figure 1 shows the typical uniaxial stress–strain curve for concrete. As can be seen from the figure, the material is brittle during tension, the maximum compressive stress is roughly 8 to 12 times the maximum tensile stress , and the corresponding compressive and tensile strains have a similar proportional relationship. Concrete fracture always occurs at the unstable part of the stress–strain curve, so under certain conditions, concrete may unexpectedly exhibit some plasticity.
Figure 1.
Uniaxial stress–strain curve of concrete.
Concrete exhibits plastic flow when subjected to sufficiently high confining pressures. Figure 2 presents the stress–strain curves under varying confinement levels, demonstrating that increased confining pressure.
Figure 2.
Stress–strain curves of concrete under confining pressure.
(i) Elevates the peak compressive stress and corresponding strain; (ii) Progressively stabilizes the post-peak response, ultimately eliminating unstable behavior.
2.2. Computational Simplifications
When concrete tensile strength is idealized as zero in engineering analysis, contrasting with conventional fractional assignments to compressive strength, rigid–plastic limit theorems maintain rigorous applicability. Under this idealized condition where tensile strength vanishes while compressive strength remains finite, the material model asymptotically approaches actual concrete behavior. Experimental observations consistently reveal concrete’s brittle compressive fracture and pronounced post-peak softening behavior, contradicting fundamental requirements of limit theorems. However, when concrete experiences minimal compressive strains under non-cyclic loading, its deformation capacity prior to significant strength degradation may permit idealization as a perfectly plastic material with compressive yield stress equal to ultimate compressive strength in limit analysis frameworks.
Adopting a conservative design premise that concrete resists no tension, the allowable compressive bearing capacity in loaded sections shall not exceed the reference compressive strength of concrete determined from standard unconfined prismatic specimens. Contrary to this premise, bearing capacity markedly rises with increasing bearing area ratio until reaching an asymptotic limit. Consequently, incorporating concrete’s tensile strength becomes essential to align theoretical predictions with experimental evidence.
3. Modified Failure Criterion
3.1. Coulomb Yield Criterion Modified with Zero-Tension Cutoff
This section assumes that concrete exhibits no tensile resistance, while obeying the Coulomb yield criterion in compression. As depicted in Figure 3, the zero-tension constraint manifests as a tension cutoff circle tangent to the ordinate (τ-axis). The envelope line forms an angle with the abscissa (σ-axis), intersecting the ordinate at a distance c from the origin.
Figure 3.
Stress diagram of the modified Coulomb criterion with zero-tension cutoff.
Under these premises, only rigid-body velocity discontinuities are considered. The energy dissipation rate per unit area across the discontinuity surface is given by
where denotes the tangential velocity discontinuity across the surface; the normal separation velocity is ; is the relative velocity vector; indicates the angle between and the discontinuity plane; and . Figure 3 dictates that this criterion must satisfy
By solving Equations (1) and (2) simultaneously, we can obtain
3.2. Coulomb Yield Criterion Modified with Small Tension Cutoff
Extensive experimental research on concrete has validated the applicability of the Coulomb criterion to its failure behavior. However, the classical Coulomb formulation incorrectly predicts failure-level maximum principal stress escalation with increasing confining pressure; this fundamentally contradicts experimental observations confirming tensile strength invariance to intermediate stresses orthogonal to the tension axis. A modified Coulomb criterion incorporating finite tensile resistance and localized deformation capacity has been formulated for bearing capacity analysis, with its failure envelope conceptually represented in Figure 4. The diagram depicts Mohr’s circles for unconfined compression and uniaxial tension, where their intersections with the abscissa define the characteristic stresses and , respectively.
Figure 4.
Stress diagram of the modified Coulomb criterion with small tension cutoff.
The expression for energy dissipation rate can be derived under an idealized rigid-perfectly plastic assumption. When the velocity coordinate system is superimposed onto the stress space as shown in Figure 4, the velocity components representing tangential sliding and normal separation across the failure surface become orthogonal to the yield envelope. The energy dissipation rate per unit area is expressed as the dot product of the stress vector and the relative velocity vector . The stress vector is denoted by or in Figure 4, while the relative velocity vector is represented by . Considering that the stress vector is the vector sum of and , the following relation holds:
or
where
According to Figure 4, it can be observed that and must satisfy the following relationship:
Equation (5) can also be obtained by solving Equations (1) and (8) together. It is worth mentioning that for the two simple cases of separation and sliding where and , Equation (5) can be simplified to
4. Failure Mechanism and Limit Analysis of Concrete Slab–Wall Joints
4.1. Problem Background
This study focuses on the Chanwan Station of Shenzhen Metro Line 15 for investigation and analysis. As a pivotal node on Shenzhen Metro Line 15—the city’s inaugural loop line (“Shenzhen Loop”)—Chanwan Station is situated in the coastal reclamation area of Qianhai Bay, holding significant engineering and regional strategic value. With a total length of 356 m, the station functions as an interchange hub. Its integrated structure, Chanwan Central Station (interconnected with Chanwan Station), is designed as a three-level underground single-column island platform station. It features a hybrid construction system combining cast in situ concrete with prefabricated elements and will facilitate stacked-island transfers with Metro Line 9. As an overlapped subway station, Chanwan Station is currently being prepared for assembly. Images depicting the precast sidewalls and the reserved interfaces on the base slab are presented in Figure 5 and Figure 6.
Figure 5.
Precast sidewall of Chanwan Station of Shenzhen Metro Line 15.
Figure 6.
Reserved slab–wall joint interface of Chanwan Station on Shenzhen Metro Line 15.
4.2. Simplified Model
The connection between the precast sidewalls and the base slab during assembly represents a critical issue. To facilitate the mechanical analysis and bearing capacity calculation of the wall–slab joint, this study simplifies this joint into a short block model subjected to a strip load, as illustrated in Figure 7.
Figure 7.
Short block model and failure mechanism.
Figure 7 illustrates a strip load distributed over a width of , acting on a block with a thickness and width . The configuration simultaneously depicts a two-dimensional velocity field comprising a rigid wedge-shaped zone with an apex angle , and a simple tensile crack perpendicular to a smooth frictionless base. The wedge block undergoes downward rigid-body motion, inducing lateral movement in the flanking regions. The relative velocity at every point on the discontinuity planes and is inclined at an angle to these planes. The compatible velocity field is shown in Figure 8.
Figure 8.
The compatible velocity field of short block model.
It is worth emphasizing that, within the limit analysis of plain concrete blocks, the assumptions of rigid blocks and a frictionless base are almost universally adopted. When the concrete strength markedly exceeds that of the underlying bedrock or cushion and the member thickness-to-span ratio remains moderate, elastic shortening of the block is negligible relative to plastic slip, so the rigid-block hypothesis exerts only a marginal influence on the qualitative trend of the upper-bound collapse load. Similarly, because the shear-stress transfer path at the base is extremely short in punching or local-crushing failures, frictional contribution to the ultimate capacity is generally below 5%, and assuming a frictionless interface merely introduces a systematic yet acceptably conservative bias.
In the subsequent analysis, the upper-bound theorem of limit analysis will be employed to determine the bearing capacity under the strip load, adopting a yield criterion modified with a small tensile cutoff to the Coulomb failure envelope.
4.3. Power Calculation and Upper-Bound Solution
The velocity boundary conditions for this problem comprise a constant loaded area and the base of the block remaining planar (since both the die and foundation are assumed to be rigid). By equating the external power to the internal dissipation power given by Equation (5) within a kinematically admissible velocity field satisfying these constraints, the minimum value of the average pressure on the die obtained through this procedure yields an upper-bound solution for the collapse pressure.
Figure 7 depicts a block of thickness and width subjected to a strip load distributed over width . It also illustrates a compatible velocity field parameterized by and , from which the dissipation rate along discontinuities can be readily derived. Based on the compatible velocity field shown in Figure 8 and the expression for the energy dissipation rate per unit area along the discontinuities obtained by Equation (5), the resulting upper-bound solution is expressed as a function of tensile strength and compressive strength :
The minimum value of Equation (10) can be obtained through differential calculation:
The above equation indicates that the slope of the versus curve is zero, thereby determining the critical value of at which reaches its minimum value. The general form of algebraic Equation (10) is
When Equation (11) is simultaneously satisfied:
Setting the right-hand side to zero yields
When Equation (14) is satisfied, the upper-bound solution attains its minimum value. Substituting this into Equation (12) yields the critical solution corresponding to this mechanism:
This critical solution is expressed using the specific function given above:
Thus derived:
The upper-bound solution has a minimum value when and ; the only meaningful solution for Equation (17) is
Thus, through the derivation of the above formulas, Equation (10) can be simplified to
The critical value in the equation must be valid for the assumed mechanism, which can be obtained through the geometric conditions of the model
It is worth noting that for materials with the specific parameter , Equation (10) reduces to
Minimizing the right-hand side of the equation yields
thus:
This indicates that under such conditions, the upper-bound solution for the two-dimensional average bearing capacity equates to the unconfined compressive strength .
5. Parameter Discussions
5.1. and Influences
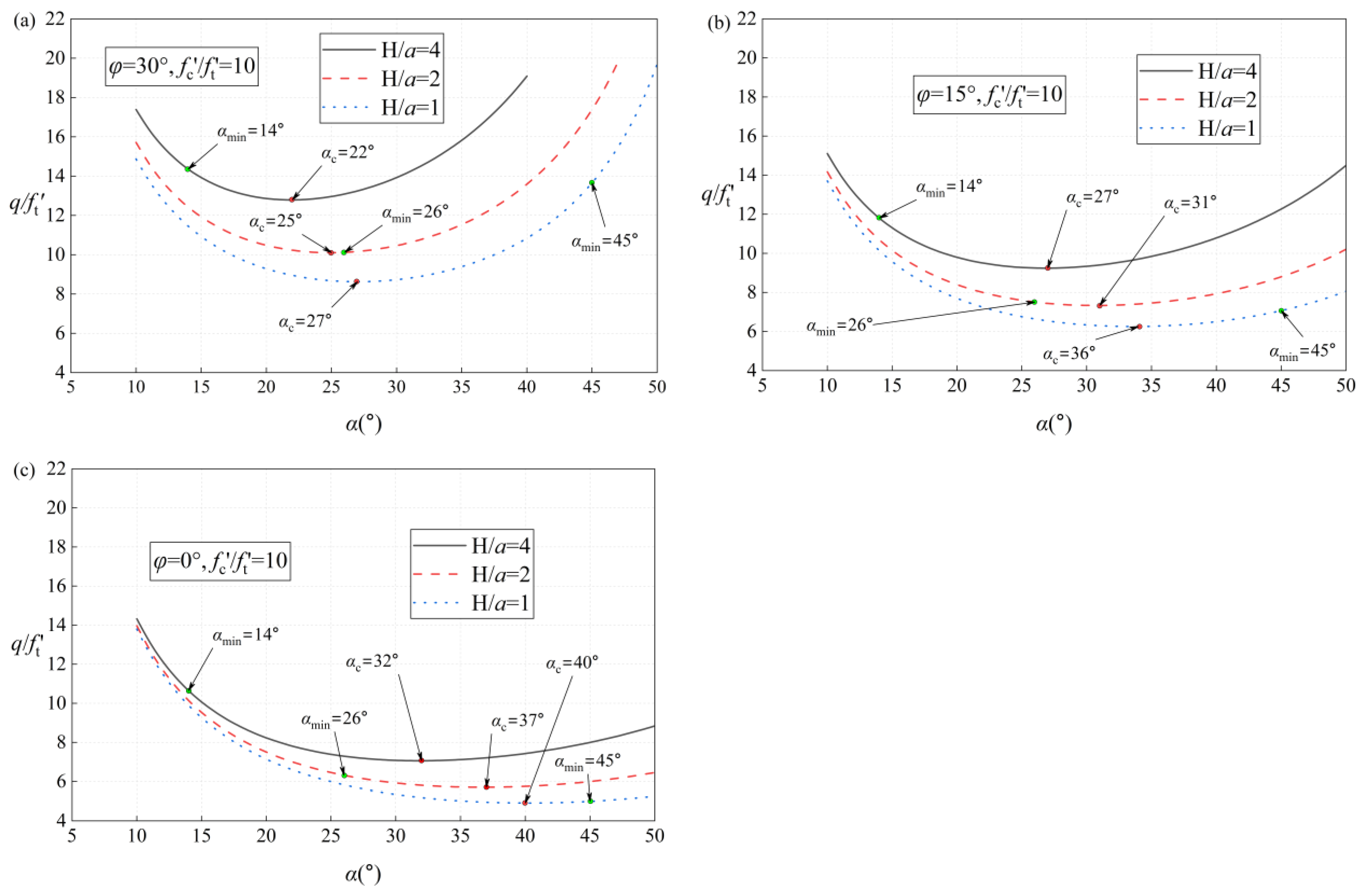
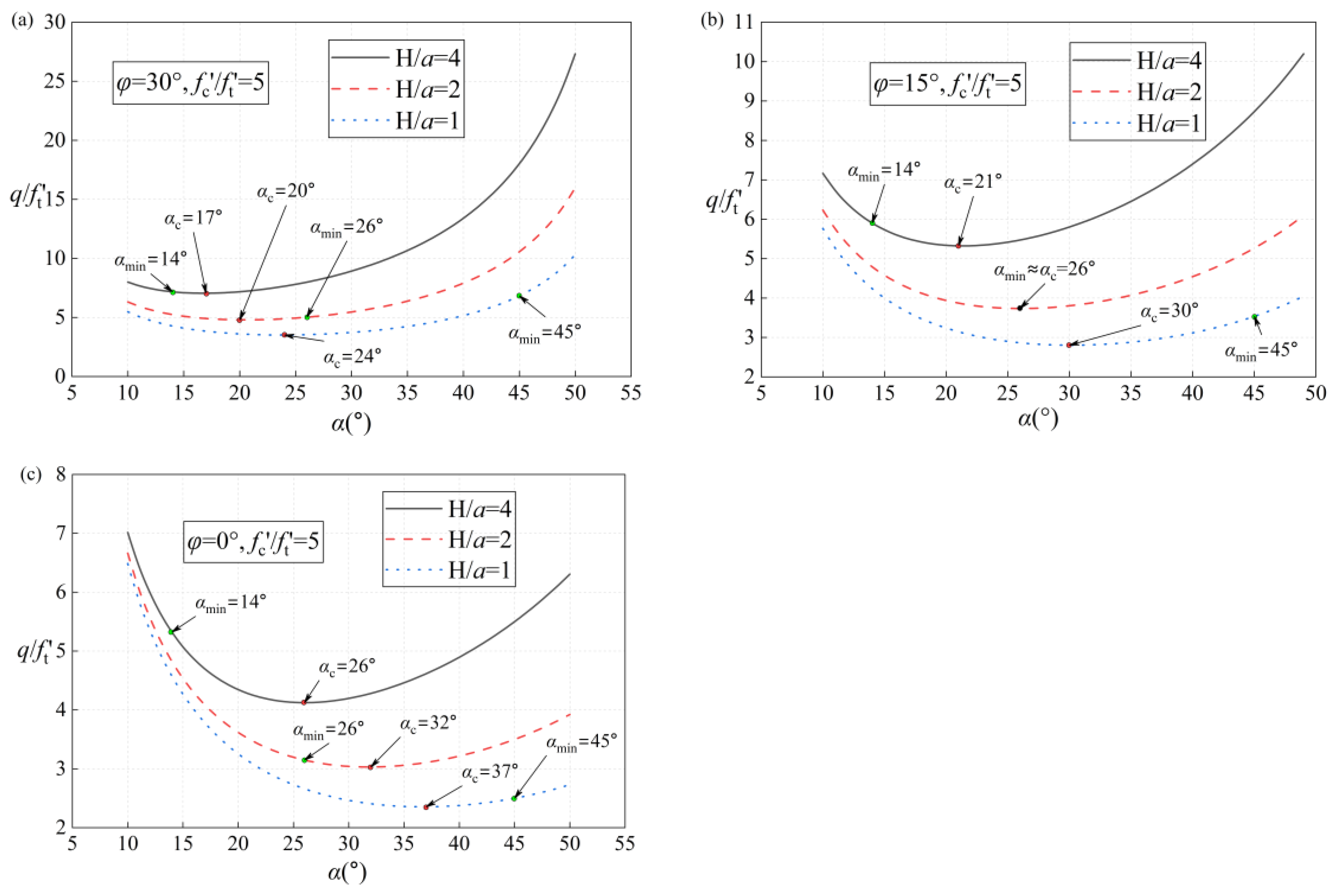
Further examining the implications of Equation (23) under the condition , when the ratio approaches infinitesimal values, the term corresponding to the minimum of the -curve at zero slope in Equation (18) yields . However, must theoretically satisfy . To resolve this constraint conflict and derive valid upper-bound solutions, the relationship between and is rigorously analyzed, with the results graphically illustrated in Figure 9 and Figure 10.
Figure 9.
Critical value and empirically observed minimum with . (a) ; (b) ; (c) .
Figure 10.
Critical value and empirically observed minimum with . (a) ; (b) ; (c) .
The parameter represents a lower-bound constraint for kinematically admissible mechanisms but does not necessarily correspond to a critical extremum point. As illustrated in Figure 9 and Figure 10, values do not universally satisfy . Curves with (where is the theoretical lower limit) are physically invalid and must be excluded. For , all configurations yield valid critical points with . For , partial solutions satisfy , and for , which is an extreme case, virtually no feasible critical points exist.
5.2. Upper-Bound Solution to the Problem
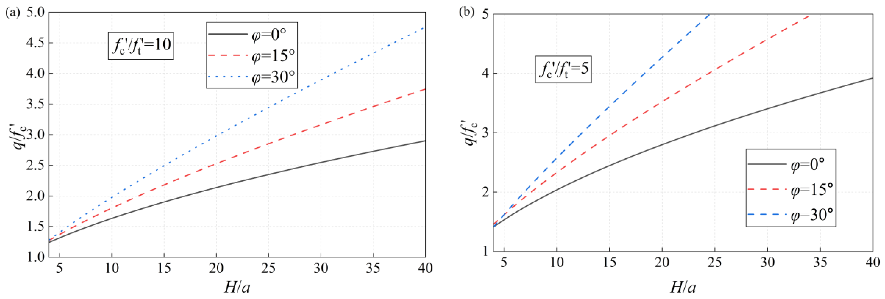
In order to ensure the validity of the upper-bound solutions obtained, calculations were performed with varying between 4 and 40, and comparisons were made for solutions under different values and different ratios, as illustrated in Figure 11.
Figure 11.
Upper bound solution for strip loads. (a) ; (b) .
As shown in the figure, the bearing capacity under strip loads is approximately positively correlated with the geometric parameter of the studied node, with the most significant correlation observed at .
For Equation (10), when and the angle is arbitrarily selected as , it is simplified as
This equation demonstrates that bearing capacity for strip loading scales linearly with the thickness-to-width ratio of the structural block, validating the proportional relationship established in Figure 11. Moreover, the bearing capacity agrees well with the benchmarking against engineering cases.
6. Conclusions
Within the context of Shenzhen Metro Line 15’s Chanwan Station, this study simulates shear failure at slab–wall joints in its overlapped subway station structure through a simplified punch model under strip loading. The model features a geometric block subjected to strip loading, incorporating a kinematically admissible velocity field composed of a rigid wedge zone and a vertical fracture above a smooth base. The failure mechanism involves downward rigid-body motion of the wedge with lateral material displacement. Employing a modified Coulomb criterion with a small but non-zero tensile cutoff, the ultimate bearing capacity is derived by balancing external power and internal energy dissipation rates. The admissibility and their parametric dependencies are systematically investigated. The conclusions are as follows.
The derived upper-bound solutions are not universally admissible or physically meaningful. For small thickness-to-load-width ratio (), the critical wedge angle () obtained from most solutions fails to satisfy the geometric constraints of the physical model—specifically, falls below the geometrically permissible minimum angle (). In such cases, the valid upper-bound solution defaults to the bearing capacity corresponding to .
As the angle (where the Coulomb envelope intersects the horizontal axis) decreases, the critical wedge angle corresponding to the upper-bound solution exhibits a gradual increase. Concurrently, the apex of the rigid wedge progressively shifts away from the foundation base of the slab–wall joint, resulting in a geometrically flatter wedge configuration. It is particularly noteworthy that at , when decreases to 15°, approaches asymptotically, converging to the geometrically permissible minimum angle.
When applying the modified Coulomb criterion with a small non-zero tensile cutoff to shear failure analysis, it is observed that the ultimate bearing capacity derived from the upper-bound method increases with the ratio of compressive-to-tensile strength. This indicates that the tensile strength governs the failure mechanism—a finding consistent with established material behavior principles.
As the ratio of model block thickness to load width () increases, the ultimate bearing capacity exhibits a proportional rise. This relationship approaches strict proportionality with higher values of the internal friction angle . This reflects the characteristic thickness effect in geomechanics: as the friction angle increases, the material’s failure mode approaches ideal plasticity, resulting in a more pronounced proportional relationship.
Based on this study, the following insights can be directly applied to the design and construction of precast slab–wall joints in overlapped subway stations: controlling the joint thickness-to-load-width ratio significantly enhances ultimate capacity and prevents early punching failure, and, provided the required compressive strength is met, prioritizing an increase in concrete tensile strength offers the most effective means of improving joint shear capacity.
This study conducts a simplified simulation of slab–wall joints in overlapped subway stations, providing preliminary analysis of their mechanical behavior and failure modes. However, the research contains several limitations: the actual complex loading conditions are reduced to idealized uniform strip loading; foundation friction is neglected; and rigid-block assumptions ignore material deformations. These constraints represent critical avenues for future investigation. Future work can focus on experimentally validating the findings and incorporating real boundary conditions into the analysis, or refining the assumptions regarding boundary conditions through numerical simulation methods. Despite these simplifications, this study is the first to apply limit analysis to the assessment of the shear capacity of slab–wall joints, and this work establishes a foundational analytical framework for joint assessment and offers practical benchmarks for the design and construction of similar structural systems.
Author Contributions
Conceptualization, Q.C. and D.Z.; methodology, Q.C.; software, T.F.; validation, Q.C., D.Z. and T.F.; formal analysis, C.L.; investigation, T.F. and C.L.; resources, D.Z.; data curation, T.F. and C.L.; writing—original draft preparation, Q.C.; writing—review and editing, D.Z.; visualization, T.F.; supervision, D.Z.; project administration, Q.C.; funding acquisition, D.Z. All authors have read and agreed to the published version of the manuscript.
Funding
This research received no external funding.
Data Availability Statement
The original contributions presented in this study are included in the article. Further inquiries can be directed to the corresponding author.
Acknowledgments
This work was supported by the Research on Key Construction Technologies for Innovative Overlapped Subway Stations project of Sinohydro Engineering Bureau 8 Co., Ltd.
Conflicts of Interest
Author Qiang Chen, Taoxiang Feng and Chen Liu was employed by thecompany Sinohydro Engineering Bureau 8 Co., Ltd. The remaining authordeclares that the research was conducted in the absence of anycommercial or financial relationships that could be construed as apotential conflict of interest.
Correction Statement
This article has been republished with a minor correction to the Data Availability Statement. This change does not affect the scientific content of the article.
References
- Zhang, D.; Zeng, L.; Lv, Z.; Yu, X.; Liu, C.; Jiang, A.; Jiang, X.; Li, Q.; Yang, Y. Failure Mode of Deep-Buried Rectangular Chamber and Upper Bound Solution of Surrounding Rock Pressure. Mathematics 2024, 13, 69. [Google Scholar] [CrossRef]
- Xie, Y.; Zhou, D.; Liao, H.; Zhu, J. Failure Mode of Tunnel Face Under Transient Unsaturated Seepage with Temperature Influence. Mathematics 2025, 13, 1311. [Google Scholar] [CrossRef]
- Zhong, J.; Yang, X. Two-dimensional face stability analysis in rock masses governed by the Hoek-Brown strength criterion with a new multi-horn mechanism. Int. J. Min. Sci. Technol. 2023, 33, 963–976. [Google Scholar] [CrossRef]
- Wilson, J.L.; Robinson, A.J.; Balendra, T. Performance of precast concrete load-bearing panel structures in regions of low to moderate seismicity. Eng. Struct. 2008, 30, 1831–1841. [Google Scholar] [CrossRef]
- Kaushik, S.; Dasgupta, K. Seismic damage in shear wall-slab junction in RC buildings. Procedia Eng. 2016, 144, 1332–1339. [Google Scholar] [CrossRef]
- Xu, S.; Liu, J.; Yang, X. Pseudo-dynamic analysis of a 3D tunnel face in inclined weak strata. Undergr. Space 2023, 12, 156–166. [Google Scholar] [CrossRef]
- Hou, C.; Yang, X. Seismic stability of 3D tunnel face considering tensile strength cut-off. KSCE J. Civ. Eng. 2020, 24, 2232–2243. [Google Scholar] [CrossRef]
- Surumi, R.S.; Jaya, K.P.; Greeshma, S. Modelling and assessment of shear wall–flat slab joint region in tall structures. Arab. J. Sci. Eng. 2015, 40, 2201–2217. [Google Scholar] [CrossRef]
- Arthi, S.; Jaya, K.P. Seismic performance of precast shear wall-slab connection under cyclic loading: Experimental test vs. numerical analysis. Earthq. Eng. Eng. Vib. 2020, 19, 739–757. [Google Scholar] [CrossRef]
- Greeshma, S.; Rajesh, C.; Jaya, K.P. Seismic behaviour of shear wall–slab joint under lateral cyclic loading. Asian J. Civ. Eng. 2012, 13, 455–464. [Google Scholar]
- Pillai, G.S.; Krishnan Prabhakaran, J.; Rajkumar, V. Parametric Study of Exterior Shear Wall–Floor Slab Connections. J. Perform. Constr. Facil. 2015, 29, 04014156. [Google Scholar] [CrossRef]
- Al-Aghbari, A.; Hamzah, S.H.; Hamid, N.H.A.; Rahman, N. Structural performance of two types of wall slab connection under out-of-plane lateral cyclic loading. J. Eng. Sci. Technol. 2012, 7, 177–194. [Google Scholar]
- Greeshma, S.; Jaya, K.P. Effect of slab shear reinforcement on the performance of the shear wall–floor slab connection. J. Perform. Constr. Facil. 2013, 27, 391–401. [Google Scholar] [CrossRef]
- Chun, S.C.; Ha, T. Cyclic behavior of wall-slab joints with lap splices of cold-straightened rebars and mechanical splices. J. Struct. Eng. 2015, 141, 04014101. [Google Scholar] [CrossRef]
- Masrom, M.A.; Yee, H.M.; Mohamed, M.E.; Hamid, N. Seismic performance on stiffness and hysteresis loop of interior wall-slab joint for tunnel form building designs to British standard. J. Fundam. Appl. Sci. 2017, 9, 75–87. [Google Scholar] [CrossRef]
- Chalot, A.; Roy, N.; Michel, L.; Ferrier, E. Mechanical behavior of a full-scale RC wall-slab connection reinforced with frp under cyclic loading. Eng. Struct. 2021, 239, 112146. [Google Scholar] [CrossRef]
- Wang, H.; Qian, H.; Guo, H.; Wang, D.; Liu, K.; Nian, F. Seismic performance of precast shear wall–slab joint with and without outer longitudinal reinforcement. Struct. Des. Tall Spec. Build. 2021, 30, e1845. [Google Scholar] [CrossRef]
- Zhu, Z.; Guo, Z. Seismic test and analysis of joints of new precast concrete shear wall structures. China Civ. Eng. J. 2012, 45, 69–76. [Google Scholar]
- Zhao, Z.Z.; Ke, J.H.; Qian, J.R.; Xu, Y. Seismic behavior of cast-in-place reinforced concrete hollow slab-shear wall joints. Build Struct. 2009, 9, 49–54. [Google Scholar] [CrossRef]
- Zenunović, D.; Folić, R. Models for behaviour analysis of monolithic wall and precast or monolithic floor slab connections. Eng. Struct. 2012, 40, 466–478. [Google Scholar] [CrossRef]
- Hou, C.T.; Yang, X.L. Three-dimensional face stability of tunnels in unsaturated soils with nonlinear soil strength. Int. J. Geomech. 2021, 21, 06021006. [Google Scholar] [CrossRef]
- Zhong, J.H.; Yang, X.L. Kinematic analysis of the three-dimensional stability for tunnel faces by pseudo-dynamic approach. Comput. Geotech. 2021, 128, 103802. [Google Scholar] [CrossRef]
- Li, T.; Yang, X. New approach for face stability assessment of tunnels driven in nonuniform soils. Comput. Geotech. 2020, 121, 103412. [Google Scholar] [CrossRef]
- Hou, C.; Yang, X. 3D stability analysis of tunnel face with influence of unsaturated transient flow. Tunn. Undergr. Space Technol. 2022, 123, 104414. [Google Scholar] [CrossRef]
- Li, T.; Zhang, L.; Gong, W.; Tang, H.; Jiang, R. Initiation mechanism of landslides in cold regions: Role of freeze-thaw cycles. Int. J. Rock Mech. Min. Sci. 2024, 183, 105906. [Google Scholar] [CrossRef]
- Li, T.; Gong, W.; Tang, H.; Zhang, L. A meshed kinematical approach for 3D slope stability analysis. Int. J. Numer. Anal. Methods Geomech. 2022, 46, 2913–2930. [Google Scholar] [CrossRef]
- Zhang, Z.L.; Yang, X.L. Unified solution of safety factors for three-dimensional compound slopes considering local and global instability. Comput. Geotech. 2023, 155, 105227. [Google Scholar] [CrossRef]
- Zhong, J.; Hou, C.; Yang, X. Bearing capacity of foundations resting on rock masses subjected to Rayleigh waves. Soil Dyn. Earthq. Eng. 2023, 167, 107791. [Google Scholar] [CrossRef]
- Liu, J.; Xu, S.; Yang, X.L. Modified pseudo–dynamic bearing capacity of strip footing on rock masses. Comput. Geotech. 2022, 150, 104897. [Google Scholar] [CrossRef]
- Li, Z.; Yang, X. Stability assessment of 3D reinforced soil structures under steady unsaturated infiltration. Geotext. Geomembr. 2022, 50, 371–382. [Google Scholar] [CrossRef]
- Yang, X.L.; Yin, J.H. Upper bound solution for ultimate bearing capacity with a modified Hoek–Brown failure criterion. Int. J. Rock Mech. Min. Sci. 2005, 42, 550–560. [Google Scholar] [CrossRef]
- Larsen, K.P. Numerical Limit Analysis of Reinforced Concrete Structures: Computational Modeling with Finite Elements for Lower Bound Limit Analysis of Reinforced Concrete Structures. Ph.D. Thesis, Technical University of Denmark, Lyngby, Denmark, 2011. [Google Scholar]
- Simões, J.T.; Faria, D.M.V.; Ruiz, M.F.; Muttoni, A. Strength of reinforced concrete footings without transverse reinforcement according to limit analysis. Eng. Struct. 2016, 112, 146–161. [Google Scholar] [CrossRef]
- Salim, W.; Sebastian, W.M. Plasticity model for predicting punching shear strengths of reinforced concrete slabs. Struct. J. 2002, 99, 827–835. [Google Scholar] [CrossRef]
- Pisano, A.A.; Fuschi, P.; De Domenico, D. A kinematic approach for peak load evaluation of concrete elements. Comput. Struct. 2013, 119, 125–139. [Google Scholar] [CrossRef]
- Pisano, A.A.; Fuschi, P.; De Domenico, D. Numerical limit analysis of steel-reinforced concrete walls and slabs. Comput. Struct. 2015, 160, 42–55. [Google Scholar] [CrossRef]
Disclaimer/Publisher’s Note: The statements, opinions and data contained in all publications are solely those of the individual author(s) and contributor(s) and not of MDPI and/or the editor(s). MDPI and/or the editor(s) disclaim responsibility for any injury to people or property resulting from any ideas, methods, instructions or products referred to in the content. |
© 2025 by the authors. Licensee MDPI, Basel, Switzerland. This article is an open access article distributed under the terms and conditions of the Creative Commons Attribution (CC BY) license (https://creativecommons.org/licenses/by/4.0/).










