Next Article in Journal
Existence Results for Nabla Fractional Problems with Anti-Periodic Boundary Conditions
Next Article in Special Issue
Stability Analysis and Finite Difference Approximations for a Damped Wave Equation with Distributed Delay
Previous Article in Journal
Elite Episode Replay Memory for Polyphonic Piano Fingering Estimation
Previous Article in Special Issue
Reachable Set Estimation of Discrete Singular Systems with Time-Varying Delays and Bounded Peak Inputs
 
 
Font Type:
Arial Georgia Verdana
Font Size:
Aa Aa Aa
Line Spacing:
Column Width:
Background:
Article

Modeling and Simulation of Attraction–Repulsion Chemotaxis Mechanism System with Competing Signal

by
Anandan P. Aswathi
1,
Amar Debbouche
2,3,*,
Yadhavan Karuppusamy
1 and
Lingeshwaran Shangerganesh
1
1
Department of Applied Sciences, National Institute of Technology Goa, Cuncolim 403703, India
2
Department of Mathematics, Guelma University, Guelma 24000, Algeria
3
RUDN University, 6 Miklukho-Maklaya St., 117198 Moscow, Russia
*
Author to whom correspondence should be addressed.
Mathematics 2025, 13(15), 2486; https://doi.org/10.3390/math13152486
Submission received: 27 June 2025 / Revised: 23 July 2025 / Accepted: 28 July 2025 / Published: 1 August 2025
(This article belongs to the Special Issue Advances in Numerical Analysis of Partial Differential Equations)

Abstract

This paper addresses an attraction–repulsion chemotaxis system governed by Neumann boundary conditions within a bounded domain Ω R 3 that has a smooth boundary. The primary focus of the study is the chemotactic response of a species (cell population) to two competing signals. We establish the existence and uniqueness of a weak solution to the system by analyzing the solvability of an approximate problem and utilizing the Leray–Schauder fixed-point theorem. By deriving appropriate a priori estimates, we demonstrate that the solution of the approximate problem converges to a weak solution of the original system. Additionally, we conduct computational studies of the model using the finite element method. The accuracy of our numerical implementation is evaluated through error analysis and numerical convergence, followed by various numerical simulations in a two-dimensional domain to illustrate the dynamics of the system and validate the theoretical findings.

1. Introduction

Chemotaxis is an essential process in many biological systems and serves as a model for various natural phenomena. It refers to the movement of a cell or organism in response to a chemical stimulus in its environment. This movement can occur in two directions, depending on whether the chemical signal is attractive or repulsive. When cells or organisms move toward a higher concentration of a beneficial or favorable chemical substance, it is termed positive chemotaxis. This is commonly seen in biological systems; for example, white blood cells migrate to the site of infection in response to chemical signals released by pathogens or damaged tissues. Conversely, when cells or organisms move away from certain chemical substances, this is called negative chemotaxis. This response helps cells avoid dangerous or harmful conditions.
Chemotaxis plays a vital role in various physiological processes, including immune responses, tissue repair, development, and microbial behavior. It is crucial for locating sources of nutrients and avoiding harmful substances. Additionally, chemotaxis is a significant topic of discussion in a wide range of biological processes, from early embryonic development to immune responses and wound healing. A deeper understanding of chemotaxis pathways and the function of chemoreceptors is critical for many applications, including bioremediation, targeted drug delivery, and the development of novel antibiotics. More details can be found in [1,2,3,4,5].
Mathematical models involving systems of partial differential equations (PDEs) that describe chemotaxis were introduced by Keller and Segel in [6,7]. The proposed models focused on the interaction of cells with a single chemical signal, examining how cells respond to an attractant or a repellent. Since then, the study of chemotaxis has grown significantly, inspiring extensive research over the past decades; see, for instance, refs. [8,9,10,11] and the references therein. It has become increasingly clear that, in many biological scenarios, cells respond to a combination of both direct and indirect taxis mechanisms, and it is often referred to as the attraction–repulsion effect. This duality of signals is crucial for guiding cells to perform specific functions. For example, the migration of leukocytes and the navigation of growing neurons are directed by chemical gradients that contain both attractants and repellents, ensuring precise movement and localization within tissues.
Before presenting the main results of the work, we briefly review the literature on chemotaxis models that integrate both attractant and repellent mechanisms. One notable study modeled Alzheimer’s disease by including both chemoattraction and chemorepulsion, as introduced in [12]. This research examined the aggregation behavior of microglial cells and included both linear stability analysis and numerical simulations to explore the dynamics of the system. In [13], researchers examined a chemotaxis model that incorporated density-dependent effects, aiming to investigate the role of quorum sensing in chemosensitive movement. The authors analyzed the existence of nontrivial steady states and addressed the traveling wave problem associated with the model. Additionally, the work presented in [14] explored pattern formation in an attraction–repulsion chemotaxis system using both analytical and numerical methods. The authors established the existence of both time-periodic and steady-state patterns across the full range of model parameters, employing bifurcation theory to support their findings.
In [15], the authors investigated an attraction–repulsion Keller–Segel model that describes the aggregation of microglia in the central nervous system associated with Alzheimer’s disease and addressed the boundedness of solutions for the model. A comprehensive study comprised the global solvability and boundedness of the blow-up phenomena of an attraction–repulsion chemotaxis system was carried out together with the long-term asymptotic behavior of the system [16]. In [17], a fully parabolic attraction–repulsion chemotaxis system was considered in two-dimensional smoothly bounded domains, where the authors proved the existence of globally bounded classical solutions in cases where repulsion dominates. The influence of repulsive forces on the boundedness of attraction–repulsion chemotaxis was studied in [18]. An attraction–repulsion chemotaxis system was studied in both two and three dimensions, and the authors established the existence of a unique global solution under certain parameter conditions [19]. The global boundedness of solutions for a fully parabolic attraction–repulsion chemotaxis system with a logistic source is discussed in [20]. Furthermore, [21] introduced a semi-linear attraction–repulsion chemotaxis system with a logistic source and analyzed the global boundedness and the existence of classical solutions, considering scenarios where attraction dominates repulsion and vice versa. Higher-dimensional chemotaxis models for which the boundedness of the solution and other corresponding properties are discussed and investigated are presented in [21,22].
A chemotaxis system involving a nonlinear indirect signal mechanism in a bounded domain with a smooth boundary was studied in [23] under homogeneous Neumann boundary conditions. By employing the maximal Sobolev regularity theory and deriving appropriate a priori estimates, the author proved the global boundedness of the solutions. The existence of global solutions for an attraction–repulsion chemotaxis system is established in [24] with some regularity assumptions in the initial conditions. The work in [25] considers an attraction–repulsion chemotaxis system with nonlinear diffusion and proves the existence of weak solutions for the model. In [26], a zero-flux attraction–repulsion chemotaxis model is considered, featuring linear and superlinear production rates for the chemorepellent and a sublinear production rate for the chemoattractant. The study focuses on the uniform boundedness of solutions under some conditions. In addition, a zero-flow chemotaxis model that incorporates consumption and logistic growth was investigated in [27]. It was established that the system possessed a unique classical solution.
Based on the models presented in the literature, we consider a chemotaxis system that incorporates both attraction and repulsion mechanisms. First, we study the existence of solutions to the proposed nonlinear parabolic PDE system. Following the analytical study, we proceed with a computational approach to further explore the dynamics of the model. For this, we employ the finite element method (FEM), and it is well-suited for solving PDEs over complex geometries and domains. We consider an attraction–repulsion chemotaxis model in U T : = Ω × ( 0 , T ) , which models the bacterial movement in a nutrient and toxin environment, where nutrients are consumed without cell-dependent production and toxins are also not produced by cells (bacteria), as follows:
u t = Δ u χ · ( u v ) + ξ · ( u w ) , v t = Δ v + α v θ u v , w t = Δ w + β w τ u v ,
with non-negative initial and boundary data
u ( x , 0 ) , v ( x , 0 ) , w ( x , 0 ) = ( u 0 ( x ) , v 0 ( x ) , w 0 ( x ) ) for x Ω , u ν = v ν = w ν = 0 in Ω × ( 0 , T ) .
Here Ω is a bounded subset of R 3 with a smooth boundary that belongs to C 2 , 1 , and ν is the outward unit normal vector to Ω . Moreover, we have u 0 ( x ) , v 0 ( x ) , w 0 ( x ) 0 . In the context of mathematical formulation, u denotes cell density, and v , w represent concentrations of attractant (nutrient) and repellent (toxin) chemical signals, respectively. χ and ξ are positive constants that refer to chemical sensitivity coefficients. Here, α , β > 0 are constants that represent growth rates, and θ , τ > 0 are constants that represent the consumption rate of chemical concentrations v , w , respectively. The terms χ · ( u v ) and ξ · ( u w ) are chemotaxis flux terms, χ · ( u v ) reflects the attractive movement of cells, whereas the term ξ · ( u w ) represents the repulsion migration.
Neumann boundary conditions ensure total mass conservation, since there is no flow of cells or chemicals across the boundary, and we considered the cell-independent production of both the attractant and repellent chemical concentrations. Under these conditions the system models the movement of cells in response to the competing chemical signals.

2. Preliminary and Auxiliary Results

Firstly, we introduce functional spaces, key theorems, and lemmas that are essential for obtaining our main results.
Throughout this work, let W k , p ( Ω ) be a Sobolev space and L p ( Ω ) be a Lebesgue space, where k R and p [ 1 , ] , with their respective norms denoted by · k , p and · p .
The duality pair in L 2 ( Ω ) is denoted by · , · . Moreover, let V be a Banach space. Then, the space L p ( 0 , T ; V ) , for 1 p , consists of all strongly measurable functions u : [ 0 , T ] V equipped with the usual · L p ( V ) norm. In addition, let C ( V ) = C ( [ 0 , T ] ; V ) consist of all continuous functions from [ 0 , T ] to V, with norm · C ( V ) .
Further, we introduce the Banach spaces X ,   X 1 and X α , respectively, by X = L ( 0 , T ; L 2 ( Ω ) ) L 2 ( 0 , T ; H 1 ( Ω ) ) , X 1 = L 2 ( 0 , T ; H 2 ( Ω ) ) L ( 0 , T ; H 1 ( Ω ) ) and X α = L α ( 0 , T ; L α ( Ω ) ) for every non-integer α . In this work, we use the space
Z p , q = L q ( Ω ) ; d ( Δ N ) 1 1 / p , p
where d ( Δ N ) = { u W 2 , q ( Ω ) : u ν = 0   o n   Ω } , where { · , · } · , · denotes the real interpolation space. Furthermore, we denote the space χ p as
χ p = { u C ( 0 , T ; Z p , p ( Ω ) ) L p ( 0 , T ; W 2 , p ( Ω ) ) : u t L p ( 0 , T ; L p ( Ω ) ) } .
Remark 1
([28], Theorem 10.22). If p = q , then the following holds true:
Z p , p = W ^ 2 2 p , p ( Ω ) = W 2 2 p , p ( Ω ) i f p < 3 { u W 2 2 p ( Ω ) : u ν = 0 o n Ω } , i f p > 3 .
Theorem 1
([28], Theorem 10.22). Let Ω C 2 and p , q ( 1 , ) . Suppose that u 0 Z p , q and f L p ( 0 , T ; L q ( Ω ) ) . Then, there exists a unique solution u for the parabolic problem:
u t Δ u = f , i n U T , u ( 0 , x ) = u 0 ( x ) , i n Ω , u ν = 0 , o n U T ,
such that
u C ( 0 , T ; Z p , q ( Ω ) ) L p ( 0 , T ; W 2 , q ( Ω ) ) , u t L p ( 0 , T ; L q ( Ω ) ) .
Moreover, u satisfies the estimate
u ( t ) C ( 0 , T ; Z p , q ( Ω ) ) + u t L p ( 0 , T ; L q ( Ω ) ) + Δ u L p ( 0 , T ; L q ( Ω ) )
C ( f L p ( 0 , T ; L q ( Ω ) + u 0 Z p , q ( Ω ) ) ,
for some C > 0 , depending only on p , q , Ω , T .
Lemma 1
([29]). Suppose p , q , p 1 , p 2 , q 1 , q 2 1 and θ [ 0 , 1 ] such that
1 p = 1 θ p 1 + θ p 2 , 1 q = 1 θ q 1 + θ q 2 ,
hold. Then, L p 1 ( 0 , T ; L q 1 ( Ω ) ) L p 2 ( 0 , T ; L q 2 ( Ω ) ) L p ( 0 , T ; L q ( Ω ) ) .
Lemma 2
([30]). Let s 1 , s 2 0 and p , p 1 , p 2 1 such that
s = ( 1 θ ) s 1 + θ s 2 , 1 p = 1 θ p 1 + θ p 2 , w i t h θ [ 0 , 1 ] .
Then, L p 1 ( 0 , T ; H s 1 ( Ω ) ) L p 2 ( 0 , T ; H s 2 ( Ω ) ) L p ( 0 , T ; H s ( Ω ) ) .
Lemma 3.
Let p , q , p 1 , p 2 , q 1 , 1 and r > 0 with θ [ 0 , 1 ] satisfy
1 q = 1 θ q 1 + θ 1 p 1 r N , 1 p = θ p 2 .
Then, L ( 0 , T ; L q 1 ( Ω ) ) L p 2 ( 0 , T ; W r , p 1 ( Ω ) ) L p ( 0 , T ; L q ( Ω ) ) .

3. Main Results

In this section, we use regularized problem and energy estimates techniques to establish the existence of a weak solution for the system (1), which is one of the main results of the paper. To accomplish this, we first construct an approximate problem related to the system (1). We then establish the solvability of this regularized approximation problem by applying the Leray–Schauder fixed point theorem. Finally, we demonstrate the existence of solutions to the chemotaxis system by using a priori estimates and passing to the limit as ϵ 0 .
Definition 1.
Suppose u 0 , n 0 , c 0 0 and also satisfies u 0 L 2 ( Ω ) , v 0 , w 0 W 1 , q ( Ω ) for q > 3 in Ω. Let T > 0 ; then, a triple ( u , v , w ) is a weak solution of (1) if the following holds:
u X 5 3 L 5 / 4 ( 0 , T ; W 1 , 5 / 4 ( Ω ) ) , u t L 10 9 ( 0 , T ; ( W 1 , 10 ( Ω ) ) ) , v , w X 1 , v t , w t X 10 7 ,
and weak formulations
0 T u t , ϕ = 0 T Ω u · ϕ + χ u v · ϕ ξ u w · ϕ d x d t , 0 T v t , ϕ = 0 T Ω v · ϕ θ u v ϕ + α v ϕ d x d t , 0 T w t , ϕ = 0 T Ω w · ϕ τ u w ϕ + β w ϕ d x d t
are satisfied a.e. for all ϕ L 10 3 ( 0 , T ; W 1 , 10 3 ( Ω ) ) L 2 ( 0 , T ; ( H 1 ( Ω ) ) .
Theorem 2.
Let T > 0 , and suppose u 0 , n 0 , c 0 0 and also satisfies u 0 L 2 ( Ω ) , v 0 , w 0 W 1 , q ( Ω ) for q > 3 in Ω. Then, there exists a weak solution triple ( u , v , w ) of (1) such that
u X 5 3 , u t L 10 9 ( 0 , T ; ( W 1 , 10 ( Ω ) ) ) , v X 1 v t X 10 7 , w X 1 , w t X 10 7 .
We construct the regularized problem for (3) following the method in [29]. Our approach begins by decoupling the cross-diffusion terms through the introduction of the elliptic problems outlined in (2), which enhances the regularity of the new variables v ϵ and w ϵ . Subsequently, we solve the resulting approximation problem using the Leray–Schauder fixed point theorem.
Suppose that v ϵ and w ϵ are the unique solutions of the elliptic problem
v ϵ ϵ Δ v ϵ = n ϵ i n Ω , w ϵ ϵ Δ w ϵ = c ϵ i n Ω , v ϵ ( x , t ) ν = w ϵ ( x , t ) ν = 0 i n Ω .
Then, for a given ϵ > 0 , construct the approximation problem of (1) as follows:
u ϵ t = Δ u ϵ χ · u ϵ + 1 + ϵ u ϵ + v ϵ + ξ · u ϵ + 1 + ϵ u ϵ + w ϵ i n U T , n ϵ t = Δ n ϵ θ n ϵ + 1 ϵ ln ( 1 + ϵ u ϵ + ) + α n ϵ + i n U T , c ϵ t = Δ c ϵ τ c ϵ + 1 ϵ ln ( 1 + ϵ u ϵ + ) + β c ϵ + i n U T , u ϵ ( 0 ) , n ϵ ( 0 ) , c ϵ ( 0 ) = ( u 0 , ϵ , n 0 , ϵ , c 0 , ϵ ) i n Ω , u ϵ ( x , t ) ν = n ϵ ( x , t ) ν = c ϵ ( x , t ) ν = 0 i n Ω × ( 0 , T ) ,
where u ϵ + = max { u ϵ , 0 } , n ϵ + = max { n ϵ , 0 } , c ϵ + = max { c ϵ , 0 } are non-negative. We first introduce the following regularizations of the given initial data u 0 , ϵ , n 0 , ϵ , c 0 , ϵ . For ϵ ( 0 , 1 ) ,
(R1)
u 0 , ϵ W 4 5 , 5 3 ( Ω ) a n d Ω u 0 , ϵ = Ω u 0 . Further, u 0 , ϵ u 0 i n L 2 ( Ω ) , a s ϵ 0 .
(R2)
n 0 , ϵ = v 0 , ϵ ϵ Δ v 0 , ϵ W 1 , q ( Ω ) , q > 3 and v 0 , ϵ v 0 i n H 1 ( Ω ) a s ϵ 0 . Therefore, n 0 , ϵ v 0 i n W 1 , q ( Ω ) a s ϵ 0 .
(R3)
c 0 , ϵ = w 0 , ϵ ϵ Δ w 0 , ϵ W 1 , q ( Ω ) , q > 3 and w 0 , ϵ w 0 i n H 1 ( Ω ) a s ϵ 0 . Therefore, c 0 , ϵ w 0 i n W 1 , q ( Ω ) a s ϵ 0 .
We establish weak solutions for (3) using the Leray–Schauder fixed point theorem. Suppose A = X × X × X ; then, define the operator Γ : A A such that Γ ( u ¯ ϵ , n ¯ ϵ , c ¯ ϵ ) = ( u ϵ , n ϵ , c ϵ ) , and they are the solutions of the following system:
u ϵ t Δ u ϵ = χ · u ¯ ϵ + 1 + ϵ u ¯ ϵ + v ¯ ϵ + ξ · u ¯ ϵ + 1 + ϵ u ¯ ϵ + w ¯ ϵ i n U T , n ϵ t Δ n ϵ = θ n ¯ ϵ + 1 ϵ ln ( 1 + ϵ u ¯ ϵ + ) + α n ¯ ϵ + i n U T , c ϵ t Δ c ϵ = τ c ¯ ϵ + 1 ϵ ln ( 1 + ϵ u ¯ ϵ + ) + β c ¯ ϵ + i n U T , ( u ϵ ( 0 ) , n ϵ ( 0 ) , c ϵ ( 0 ) ) = ( u 0 , ϵ , n 0 , ϵ , c 0 , ϵ ) i n Ω , u ϵ ( x , t ) ν = n ϵ ( x , t ) ν = c ϵ ( x , t ) ν = 0 i n Ω × ( 0 , T ) ,
where v ¯ ϵ and w ¯ ϵ are the unique solutions of (2). The proof of the theorem is established by demonstrating several key components such as the well-definedness, compactness, and continuity of the operator Γ . Additionally, we discuss the uniqueness and boundedness of its fixed points. Lemmas 4–7 contain an establishment of all components.
Lemma 4.
Suppose Ω C 1 , 1 ; then, the operator Γ : A A is well defined.
Proof. 
Let u ¯ ϵ , n ¯ ϵ , c ¯ ϵ X . Using Theorem 2.4.2.7 and Theorem 2.5.1.1 in [31] and the standard elliptic regularity of (2), we get
v ¯ ϵ , w ¯ ϵ L ( 0 , T ; H 2 ( Ω ) ) L 2 ( 0 , T ; H 3 ( Ω ) )
From the above, it is easy to understand that v ¯ ϵ , w ¯ ϵ X 1 . Further, we know that X 1 L 10 ( 0 , T ; L 10 ( Ω ) ) . Then, we have
v ¯ ϵ , w ¯ ϵ L 10 ( 0 , T ; L 10 ( Ω ) ) .
Consider the first term in the RHS of first equation of (4):
χ · u ¯ ϵ + 1 + ϵ u ¯ ϵ + v ¯ ϵ = χ u ¯ ϵ + 1 + ϵ u ¯ ϵ + Δ v ¯ ϵ + χ u ¯ ϵ + 1 + ϵ u ¯ ϵ + v ¯ ϵ .
Since u ¯ ϵ , Δ v ¯ ϵ X . Further, we know that X X 10 3 and X X 5 3 . Using the these results, we can evaluate the first term of (5) as follows:
χ u ¯ ϵ + 1 + ϵ u ¯ ϵ + Δ v ¯ ϵ X 5 3 5 3 C Δ v ¯ ϵ X 5 3 5 3
Therefore, we get
χ u ¯ ϵ + 1 + ϵ u ¯ ϵ + Δ v ¯ ϵ X 5 3 .
The second term of (5) can be rewritten as
χ u ¯ ϵ + 1 + ϵ u ¯ ϵ + v ¯ ϵ = χ u ¯ ϵ + ( 1 + ϵ u ¯ ϵ + ) 2 v ¯ ϵ
Evaluating the resulting equation along with the Holder inequality, we get
χ u ¯ ϵ + ( 1 + ϵ u ¯ ϵ + ) 2 v ¯ ϵ X 5 3 5 3 C 0 T Ω u ¯ ϵ + v ¯ ϵ 5 3 d x d t C u ¯ ϵ + L 2 ( 0 , T ; L 2 ( Ω ) ) v ¯ ϵ X 10 .
Since u ¯ ϵ X , therefore, u ¯ ϵ + L 2 ( 0 , T ; L 2 ( Ω ) ) . Further, v ¯ ϵ L 10 ( 0 , T ; L 10 ( Ω ) ) . Thus, we have
χ u ¯ ϵ + 1 + ϵ u ¯ ϵ + v ¯ ϵ X 5 3 .
From (6) and (7), we have
χ · u ¯ ϵ + 1 + ϵ u ¯ ϵ + v ¯ ϵ X 5 3 .
Similarly, estimate the second term in the RHS of ( 4 ) 1 and also the RHS of ( 4 ) 2 and ( 4 ) 3 :
ξ · u ¯ ϵ + 1 + ϵ u ¯ ϵ + w ¯ ϵ , | θ n ¯ ϵ + 1 ϵ ln ( 1 + ϵ u ¯ ϵ + ) + α n ¯ ϵ + | , | τ c ¯ ϵ + 1 ϵ ln ( 1 + ϵ u ¯ ϵ + ) + β c ¯ ϵ + | X 5 3 .
From Theorem 1, it is easy to see that u ϵ , n ϵ , c ϵ χ 5 3 such that
u ϵ χ 5 3 C , n ϵ χ 5 3 C , c ϵ χ 5 3 C .
for some positive constant. We can prove that Γ is well defined using (9) along with the embedding χ 5 3 L 2 ( 0 , T ; H 3 2 ( Ω ) ) L ( 0 , T ; L 2 ( Ω ) ) X .
Lemma 5.
The operator Γ : A A is compact.
Proof. 
By virtue of Sobolev embedding, for r , s > 0 and 1 < p < 2 , we get
W r , p ( Ω ) H s ( Ω ) with s = N 1 2 1 p + r .
From the above, we deduce W 2 , 5 3 ( Ω ) H 17 10 ( Ω ) and W 4 5 , 5 3 ( Ω ) H 1 2 , which implies
χ 5 3 L ( 0 , T ; H 1 2 ( Ω ) ) L 5 3 ( 0 , T ; H 17 10 ( Ω ) ) .
Now applying Lemma 2, for the space L ( 0 , T ; H 1 2 ( Ω ) ) L 5 3 ( 0 , T ; H 17 10 ( Ω ) ) , with p 1 = ,   p 2 = 5 3 , s 1 = 1 2 and s 2 = 17 10 , we get
s = 1 2 + 6 5 θ a n d p = 5 3 θ .
For some appropriate θ , we get
L ( 0 , T ; H 1 2 ( Ω ) ) L 5 3 ( 0 , T ; H 17 10 ( Ω ) ) L ( 0 , T ; H 1 2 ( Ω ) ) , L ( 0 , T ; H 1 2 ( Ω ) ) L 5 3 ( 0 , T ; H 17 10 ( Ω ) ) L 2 ( 0 , T ; H 3 2 ( Ω ) ) .
Therefore, we have
L ( 0 , T ; H 1 2 ( Ω ) ) L 5 3 ( 0 , T ; H 17 10 ( Ω ) ) L ( 0 , T ; H 1 2 ( Ω ) ) L 2 ( 0 , T ; H 3 2 ( Ω ) ) .
This implies that χ 5 3 L ( 0 , T ; H 1 2 ( Ω ) ) L 2 ( 0 , T ; H 3 2 ( Ω ) ) . The compact embeddings of H 3 2 and H 1 2 into H 1 and L 2 , respectively, result in H 1 L 5 3 and L 2 L 5 3 . Using the Simon compactness [32] and Aubin–Lions compactness lemmas [30], the embedding of
χ 5 3 f L 2 ( 0 , T ; H 3 2 ( Ω ) ) L ( 0 , T ; H 1 2 ( Ω ) ) : u t L 5 3 ( 0 , T ; L 5 3 ( Ω ) )
into X is compact. □
Lemma 6.
Suppose Ω C 1 , 1 ; then, for λ [ 0 , 1 ] , the fixed points of the operator λ Γ are bounded in A .
Proof. 
The case where λ = 0 is trivial. So we consider that λ ( 0 , 1 ] . If ( u ϵ , n ϵ , c ϵ ) is a fixed point of λ Γ , then it satisfies
u ϵ t Δ u ϵ = λ χ · u ϵ + 1 + ϵ u ϵ + v ϵ + λ ξ · u ϵ + 1 + ϵ u ϵ + w ϵ i n U T , n ϵ t Δ n ϵ = λ θ n ϵ + 1 ϵ ln ( 1 + ϵ u ϵ + ) + λ α n ϵ + i n U T , c ϵ t Δ c ϵ = λ τ c ϵ + 1 ϵ ln ( 1 + ϵ u ϵ + ) + λ β c ϵ + i n U T .
We first prove the non-negativity of u ϵ , n ϵ and c ϵ . From Lemma 4, it is easy to see that the RHS of (11)1 is in X 5 3 .
Multiply (11)1 by u ϵ = min { u ϵ , 0 } and integrating over Ω , we get
1 2 d d t u ϵ 2 2 + u ϵ 2 2 = λ χ u ϵ + 1 + ϵ u ϵ + v ϵ , u ϵ λ ξ u ϵ + 1 + ϵ u ϵ + w ϵ , u ϵ = 0 .
This implies that u ϵ = 0 , and, therefore, u ϵ 0 a.e. in U T . Similarly, we can deduce that n ϵ 0 and c ϵ 0 . Next, we have to show that n ϵ and c ϵ are bounded in X. To do the same, we first test (11)2 with n ϵ . This leads to
1 2 d d t n ϵ 2 2 + n ϵ 2 2 = λ θ n ϵ 1 ϵ ln ( 1 + ϵ u ϵ ) , n ϵ + λ α n ϵ , n ϵ C n ϵ 2 2
Using Grownwall inequality and the convergence result n 0 , ϵ v 0 in W 1 , q ( Ω ) leads to
n ϵ 2 2 C e t n 0 , ϵ 2 2 C v 0 2 ,
Then, integrating (12) with respect to time t and using the above result, we get
n ϵ L 2 ( 0 , T ; H 1 ( Ω ) ) .
Similarly, using the same procedure as mentioned above, we can show that c ϵ L 2 ( 0 , T ; H 1 ( Ω ) ) . We know that n ϵ , c ϵ X , v ϵ , and w ϵ are the solutions of (2); therefore, we have
v ϵ , w ϵ L ( 0 , T ; H 2 ( Ω ) ) L 2 ( 0 , T ; H 3 ( Ω ) ) with v ϵ L ( 0 , T ; H 2 ( Ω ) ) L 2 ( 0 , T ; H 3 ( Ω ) ) C ( ϵ ) n ϵ X , w ϵ L ( 0 , T ; H 2 ( Ω ) ) L 2 ( 0 , T ; H 3 ( Ω ) ) C ( ϵ ) c ϵ X , v ϵ L ( 0 , T ; L 4 ( Ω ) ) C ( ϵ ) n ϵ X C ( ϵ ) , w ϵ L ( 0 , T ; L 4 ( Ω ) ) C ( ϵ ) c ϵ X C ( ϵ ) .
Using the above estimates and test (11)1 with u ϵ and integrating over Ω , we get
1 2 d d t u ϵ 2 2 + u ϵ 2 2 = λ χ u ϵ 1 + ϵ u ϵ v ϵ , u ϵ λ ξ u ϵ 1 + ϵ u ϵ w ϵ , u ϵ λ χ u ϵ 1 + ϵ u ϵ v ϵ , u ϵ + λ ξ u ϵ 1 + ϵ u ϵ w ϵ , u ϵ λ χ u ϵ 4 v ϵ 4 u ϵ 2 + λ ξ u ϵ 4 w ϵ 4 u ϵ 2 = u ϵ 4 u ϵ 2 λ χ v ϵ 4 + λ ξ w ϵ 4 = C λ χ u ϵ 2 v ϵ 4 u ϵ 2 1 / 4 u ϵ 2 3 / 4 + u ϵ 2 + C λ ξ u ϵ 2 w ϵ 4 u ϵ 2 1 / 4 u ϵ 2 3 / 4 + u ϵ 2 1 2 u ϵ 2 2 + C u ϵ 2 2 v ϵ 4 8 + w ϵ 4 8 + 1 2 u ϵ 2 2 + C u ϵ 2 2 v ϵ 4 2 + w ϵ 4 2 .
Using the Grownwall inequality above, we get
u ϵ X C ( ϵ ) .
Lemma 7.
The operator Γ : A A is continuous.
Proof. 
To prove the lemma, it is enough to show that Γ is sequentially continuous. Suppose that ( u ¯ ϵ m , n ¯ ϵ m , c ¯ ϵ m ) m N A is a bounded sequences in A such that
( u ¯ ϵ m , n ¯ ϵ m , c ¯ ϵ m ) ( u ¯ ϵ , n ¯ ϵ , c ¯ ϵ ) i n A a s m .
From (9), we have that ( u ϵ m , n ϵ m , c ϵ m ) = Γ ( u ¯ ϵ m , n ¯ ϵ m , c ¯ ϵ m ) is bounded in χ 5 3 × χ 5 3 × χ 5 3 , which gives a subsequence ( u ϵ m , n ϵ m , c ϵ m ) m N that converges in χ 5 3 × χ 5 3 × χ 5 3 to ( u ^ ϵ , n ^ ϵ , c ^ ϵ ) . It means that
( u ϵ m , n ϵ m , c ϵ m ) = Γ ( u ¯ ϵ m , n ¯ ϵ m , c ¯ ϵ m ) ( u ^ ϵ , n ^ ϵ , c ^ ϵ ) , w e e k l y i n χ 5 3 × χ 5 3 × χ 5 3 .
The above convergence is strong in A . Therefore, as m , we get
u ^ ϵ t Δ u ^ ϵ = χ · u ¯ ϵ 1 + ϵ u ¯ ϵ v ¯ ϵ + ξ · u ¯ ϵ 1 + ϵ u ¯ ϵ w ¯ ϵ i n U T , n ^ ϵ t Δ n ^ ϵ = θ n ¯ ϵ 1 ϵ ln ( 1 + ϵ u ¯ ϵ ) + α n ¯ ϵ i n U T , c ^ ϵ t Δ c ^ ϵ = τ c ¯ ϵ 1 ϵ ln ( 1 + ϵ u ¯ ϵ ) + β c ¯ ϵ i n U T ,
where v ¯ ϵ and w ¯ ϵ are the unique solutions of (2). So we have ( u ^ ϵ , n ^ ϵ , c ^ ϵ ) = Γ ( u ¯ ϵ , n ¯ ϵ , c ¯ ϵ ) . Here we prove that, for an arbitrary sequence ( u ¯ ϵ m , n ¯ ϵ m , c ¯ ϵ m ) m N that converges to ( u ¯ ϵ , n ¯ ϵ , c ¯ ϵ ) , there exists a subsequence with the same suffix such that Γ ( u ¯ ϵ m , n ¯ ϵ m , c ¯ ϵ m ) Γ ( u ¯ ϵ , n ¯ ϵ , c ¯ ϵ ) . This implies that Γ is sequentially continuous. □
Theorem 3.
Suppose that u 0 , ϵ > 0 and n 0 , ϵ , v 0 , ϵ , c 0 , ϵ , w 0 , ϵ 0 with regularizations of the data ( R 1 ) ( R 3 ) . For ϵ ( 0 , 1 ) , there exists unique non-negative solutions u ϵ , n ϵ , c ϵ in χ 5 3 for systems (2) and (3) a.e. in U T .
Proof. 
Using Lemmas 4–7 and Leray–Schauder fixed point theorem, Γ has a fixed point ( u ϵ , n ϵ , c ϵ ) , which is a solution for the system (3). This completes the existence of solutions of (3).
Next, to prove the uniqueness of solutions of (3), we have to prove that the fixed point of the operator Γ : A A is unique. The procedure is as follows. Suppose that
( u ϵ , 1 , n ϵ , 1 , c ϵ , 1 ) , ( u ϵ , 2 , n ϵ , 2 , c ϵ , 2 ) χ 5 3 × χ 5 3 × χ 5 3
with u ϵ , 1 , u ϵ , 2 , n ϵ , 1 , n ϵ , 2 , c ϵ , 1 , c ϵ , 2 0 are two fixed points of the operator Γ , and
v ϵ , 1 , v ϵ , 2 , w ϵ , 1 , w ϵ , 2 L ( 0 , T ; H 2 ( Ω ) ) L 2 ( 0 , T ; H 3 ( Ω ) )
are solutions of (2). Suppose that u = u ϵ , 1 u ϵ , 2 , n = n ϵ , 1 n ϵ , 2 , c ϵ , 1 c ϵ , 2 , v = v ϵ , 1 v ϵ , 2 , and w = w ϵ , 1 w ϵ , 2 . Then, from ( 3 ) 1 , we have
u t u = χ · u ϵ , 1 1 + ϵ u ϵ , 1 v + u ϵ , 1 1 + ϵ u ϵ , 1 u ϵ , 2 1 + ϵ u ϵ , 2 v ϵ , 2
+ ξ · u ϵ , 1 1 + ϵ u ϵ , 1 w + u ϵ , 1 1 + ϵ u ϵ , 1 u ϵ , 2 1 + ϵ u ϵ , 2 w ϵ , 2
with u ( 0 ) = 0 and u ν = 0 on Ω × ( 0 , T ) . Now testing (15) with u and integrating over Ω , we get
1 2 d d t u 2 2 + u 2 2 = χ Ω u ϵ , 1 1 + ϵ u ϵ , 1 v · u + χ Ω u ϵ , 1 u ϵ , 2 ( 1 + ϵ u ϵ , 1 ) ( 1 + ϵ u ϵ , 2 ) v ϵ , 2 · u ξ Ω u ϵ , 1 1 + ϵ u ϵ , 1 w · u ξ Ω u ϵ , 1 u ϵ , 2 ( 1 + ϵ u ϵ , 1 ) ( 1 + ϵ u ϵ , 2 ) w ϵ , 2 · u χ v 2 u 2 + χ v ϵ , 2 4 u 2 u 4 + ξ w 2 u 2 + ξ w ϵ , 2 4 u 2 u 4 χ v 2 u 2 + χ v ϵ , 2 4 u 2 7 / 4 u 2 1 / 4 + χ v ϵ , 2 4 u 2 u 2 + ξ w 2 u 2 + ξ w ϵ , 2 4 u 2 7 / 4 u 2 1 / 4 + ξ w ϵ , 2 4 u 2 u 2 δ 1 u 2 2 + C δ 1 v 2 2 + w 2 2 + C δ 2 v ϵ , 2 4 8 + w ϵ , 2 4 8 u 2 2 .
From the system (2), we get
1 2 d d t u 2 2 + u 2 2 δ 1 u 2 2 + C δ 1 n 2 2 + c 2 2
+ C δ 2 v ϵ , 2 4 8 + w ϵ , 2 4 8 u 2 2 .
By a similar procedure on n and c, we get
1 2 d d t n 2 2 + n 2 2 θ n 2 2 u ϵ , 1 + θ 2 n ϵ , 2 u 2 2 + ( α 2 + α ) n 2 2 , 1 2 d d t c 2 2 + c 2 2 τ c 2 2 u ϵ , 1 + τ 2 c ϵ , 2 u 2 2 + ( β 2 + β ) n 2 2 .
Summing up results (16) and (17), we have
1 2 d d t u 2 2 + n 2 2 + c 2 2 + ( 1 δ 1 ) u 2 2 + ( 1 C δ 1 ) ( n 2 2 + c 2 2 ) C ( C δ 1 v ϵ , 2 4 8 + C δ 1 w ϵ , 2 4 8 + ( θ + τ ) u ϵ , 1 + θ 2 n ϵ , 2 + τ 2 c ϵ , 2 + 3 2 ( α + β ) ) u 2 2 + n 2 2 + c 2 2 .
By using Grownwall’s inequality with simple calculations, one can obtain the uniqueness of solutions of (3). □

4. A Priori Estimates and Convergence Analysis

Lemma 8.
Let u ϵ , n ϵ , c ϵ be a solution of (3), with ( u ϵ , n ϵ , c ϵ ) 0 . Then, n ϵ , c ϵ χ 5 3 satisfying
n ϵ t Δ n ϵ = θ n ϵ 1 ϵ ln ( 1 + ϵ u ϵ ) + α n ϵ i n U T , n ϵ ν = 0 o n Ω × ( 0 , T ) , n ϵ ( 0 ) = n 0 , ϵ W 1 , q ( Ω ) , q > 3 .
and
c ϵ t Δ c ϵ = τ c ϵ 1 ϵ ln ( 1 + ϵ u ϵ ) + β c ϵ i n U T , c ϵ ν = 0 o n Ω × ( 0 , T ) , c ϵ ( 0 ) = c 0 , ϵ W 1 , q ( Ω ) , q > 3 .
verifies that
0 n ϵ ( x , t ) C v 0 , ϵ p ,
and
0 c ϵ ( x , t ) C w 0 , ϵ p .
Proof. 
First we estimate for n ϵ . Multiplying (18)1 with 1 p n ϵ p 1 and integrating over Ω , we get
1 p 2 d d t Ω ( n ϵ p / 2 ) 2 + p 1 p 4 p 2 Ω | ( n ϵ p / 2 ) | 2 = θ ϵ p Ω ln ( 1 + ϵ u ϵ ) n ϵ p + α p Ω n ϵ p ,
Substituting n ϵ p / 2 = n , we get
1 p 2 d d t n 2 2 + p 1 p 4 p 2 n 2 2 = θ ϵ p Ω ln ( 1 + ϵ u ϵ ) n 2 + α p Ω n 2 ,
and
d d t n 2 2 + 4 ( p 1 ) p 2 n 2 2 α p n 2 2 .
Applying Gronwall’s inequality, we get
n 2 2 C n 0 , ϵ p C v 0 , ϵ p ,
for some constant C > 0 . Using the fact that n ϵ p / 2 = n , and from the above, we have
n ϵ L ( 0 , T ; L p ( Ω ) ) C n 0 , ϵ p C v 0 , ϵ p ,
for some constant C > 0 . It is easy to see that
n 0 , ϵ p | Ω | 1 / p n 0 , ϵ C n 0 , ϵ W 1 , q ( Ω ) ,
for some constant C > 0 . Using the above result in (23), we have
n ϵ L ( 0 , T ; L p ( Ω ) ) C n 0 , ϵ W 1 , q ( Ω ) ,
for some constant C > 0 . Integrating (22) with respect to t, we get
n L 2 ( 0 , T ; L 2 ( Ω ) ) C n 0 2 .
Therefore,
n ϵ L p ( 0 , T ; W 1 , p ( Ω ) ) L ( 0 , T ; L p ( Ω ) ) f o r a n y p > 1 .
From (24) and Theorem 2.8 [33], we get that n ϵ is uniformly bounded in L ( 0 , T ; L ( Ω ) ) . Similarly, we have
c ϵ L p ( 0 , T ; W 1 , p ( Ω ) ) L ( 0 , T ; L p ( Ω ) ) f o r a n y p > 1
and c ϵ is uniformly bounded in L ( 0 , T ; L ( Ω ) ) . □
Lemma 9.
Suppose that ( u ϵ , n ϵ , c ϵ ) is a solution of (3), and k 1 , δ 1 , δ 2 , δ 3 , δ 4 , l 1 , l 2 , ρ 1 , ρ 2 , ρ 3 , ρ 4 are positive constants with k 1 > δ 1 , δ 2 and ł 1 > ρ 1 , ρ 2 . Then,
d d t Ω | n ϵ | 2 n ϵ + Ω ( k 1 δ 1 ) n ϵ | D 2 ln n ϵ | 2 + ( k 1 δ 2 ) | n ϵ | 4 n ϵ 3 Ω 2 θ v ϵ · u ϵ 1 + ϵ u ϵ + δ 4 | u ϵ | 2 u ϵ + ( δ 3 + k 2 ) n ϵ + | v ϵ | 2 + | n ϵ | 2 , d d t Ω | c ϵ | 2 c ϵ + Ω ( l 1 ρ 1 ) c ϵ | D 2 ln c ϵ | 2 + ( l 1 ρ 2 ) | c ϵ | 4 c ϵ 3
Ω 2 τ w ϵ · u ϵ 1 + ϵ u ϵ + ρ 4 | u ϵ | 2 u ϵ + ( ρ 3 + l 2 ) c ϵ + | w ϵ | 2 + | c ϵ | 2 .
Proof. 
First, we estimate for n ϵ . For any ϵ > 0 on ( 0 , T ) ,
d d t Ω | n ϵ | 2 n ϵ = Ω 2 Δ n ϵ n ϵ t n ϵ + | n ϵ | 2 n ϵ 2 n ϵ t .
Substituting n ϵ t = Δ n ϵ θ n ϵ 1 ϵ ln ( 1 + ϵ u ϵ ) + α n ϵ leads to
d d t Ω | n ϵ | 2 n ϵ = Ω 2 | Δ n ϵ | 2 n ϵ + 2 θ ϵ Δ n ϵ ln ( 1 + ϵ u ϵ ) 2 α Δ n ϵ + | n ϵ | 2 n ϵ Δ n ϵ + Ω θ ϵ | n ϵ | 2 ln ( 1 + ϵ u ϵ ) n ϵ + α | n ϵ | 2 n ϵ Ω 2 | Δ n ϵ | 2 n ϵ 2 θ n ϵ · u ϵ 1 + ϵ u ϵ 2 α Δ n ϵ + | n ϵ | 2 n ϵ Δ n ϵ + α Ω | n ϵ | 2 n ϵ .
Replacing n ϵ = v ϵ ϵ Δ v ϵ , we get
d d t Ω | n ϵ | 2 n ϵ Ω 2 | Δ n ϵ | 2 n ϵ 2 θ v ϵ · u ϵ 1 + ϵ u ϵ + 2 θ ϵ ( Δ v ϵ ) · u ϵ 1 + ϵ u ϵ + Ω 2 α Δ n ϵ + | n ϵ | 2 n ϵ Δ n ϵ + α | n ϵ | 2 n ϵ
Using Lemma 2.7(vi) [34] ensures that there exist constants k 1 > 0 , k 2 > 0 such that for any ϵ > 0 ,
Ω 2 | Δ n ϵ | 2 n ϵ + | n ϵ | 2 n ϵ Δ n ϵ k 1 Ω n ϵ | D 2 ln n ϵ | 2 + | n ϵ | 4 n ϵ 3 + k 2 Ω n ϵ .
Since Δ n ϵ = n ϵ Δ ln n ϵ + | n ϵ | 2 n ϵ
Ω 2 α Δ n ϵ + α | n ϵ | 2 n ϵ = Ω 2 α n ϵ Δ ln n ϵ α | n ϵ | 2 n ϵ δ 1 Ω n ϵ | D 2 ln n ϵ | 2 + δ 2 Ω | n ϵ | 4 n ϵ 3 + δ 3 Ω n ϵ .
Now summing (29)–(31), we have
d d t Ω | n ϵ | 2 n ϵ + ( k 1 δ 1 ) Ω n ϵ | D 2 ln n ϵ | 2 + ( k 1 δ 2 ) δ 2 Ω | n ϵ | 4 n ϵ 3 2 θ Ω v ϵ · u ϵ 1 + ϵ u ϵ + 2 θ ϵ Ω ( Δ v ϵ ) · u ϵ 1 + ϵ u ϵ + ( δ 3 + k 2 ) Ω n ϵ .
Then, we have
2 θ ϵ Ω ( Δ v ϵ ) · u ϵ 1 + ϵ u ϵ = 2 θ ϵ 1 2 Ω ( Δ v ϵ ) · u ϵ u ϵ 1 2 ( ϵ u ϵ ) 1 2 1 + ϵ u ϵ δ 4 Ω | u ϵ | 2 u ϵ + C δ 4 ϵ θ 2 Ω | ( Δ v ϵ ) | 2 .
Substituting (33) and using the fact that ϵ ( Δ v ϵ ) = v ϵ n ϵ in (32), we get
d d t Ω | n ϵ | 2 n ϵ + ( k 1 δ 1 ) Ω n ϵ | D 2 ln n ϵ | 2 + ( k 1 δ 2 ) Ω | n ϵ | 4 n ϵ 3 2 θ Ω v ϵ · u ϵ 1 + ϵ u ϵ + δ 4 Ω | u ϵ | 2 u ϵ + ( δ 3 + k 2 ) Ω n ϵ + Ω | v ϵ | 2 + Ω | n ϵ | 2 .
A similar proof gives the estimate for c ϵ . □
Lemma 10.
Let u ϵ , n ϵ , c ϵ be a solution of (3) such that v ϵ , w ϵ satisfy (2). Then,
(i)
v ϵ , , n ϵ , w ϵ , and c ϵ are bounded in X 1 L 10 ( 0 , T ; L 10 ( Ω ) ) .
(ii)
ϵ Δ v ϵ , ϵ Δ w ϵ are bounded in X.
(iii)
u ϵ is bounded in L 5 4 ( 0 , T ; W 1 , 5 4 ( Ω ) ) and in X 5 3 .
Proof. 
First we prove (i) and (ii) for v ϵ . Multiplying ( 3 ) 1 with ln u ϵ and integrating over Ω , we get
d d t Ω u ϵ ln u ϵ = Ω | u ϵ | 2 u ϵ + χ Ω u ϵ · v ϵ 1 + ϵ u ϵ + ξ Ω u ϵ · w ϵ 1 + ϵ u ϵ
on ( 0 , T ) . Assume that α > χ 2 , β > ξ 2 , δ 4 + ρ 4 < 1 and the hypothesis of Lemma 9. Then, summing up results (27), (28), and (34), we get
d d t Ω u ϵ ln u ϵ + Ω | n ϵ | 2 n ϵ + Ω | c ϵ | 2 c ϵ + ( 1 δ 4 ρ 4 ) Ω | u ϵ | 2 u ϵ + ( k 1 δ 1 ) Ω n ϵ | D 2 ln n ϵ | 2 + ( l 1 ρ 1 ) Ω c ϵ | D 2 ln c ϵ | 2 + ( k 1 δ 2 ) Ω | n ϵ | 4 n ϵ 3 + ( l 1 ρ 2 ) Ω | c ϵ | 4 c ϵ 3 Ω C n ϵ + C c ϵ + | v ϵ | 2 + | n ϵ | 2 + | w ϵ | 2 + | c ϵ | 2 .
where C > 0 is a constant. Finally, using Lemma 8, we get
d d t Ω u ϵ ln u ϵ + C 1 | n ϵ | 2 n ϵ + C 2 | c ϵ | 2 c ϵ
+ Ω | u ϵ | 2 u ϵ + C 3 n ϵ | D 2 ln n ϵ | 2 + C 4 c ϵ | D 2 ln c ϵ | 2 + C 5 | n ϵ | 4 n ϵ 3 + C 6 | c ϵ | 4 c ϵ 3
Ω | v ϵ | 2 + Ω | n ϵ | 2 + Ω | w ϵ | 2 + Ω | c ϵ | 2 + C .
where C i , i = 1 , , 6 and C are all positive constants. Testing ( 2 ) 1 by v ϵ and Δ v ϵ , we get
1 2 v ϵ 2 2 + ϵ v ϵ 2 2 1 2 n ϵ 2 2 ,
1 2 v ϵ 2 2 + ϵ Δ v ϵ 2 2 1 2 n ϵ 2 2 .
respectively.
Since n ϵ L 2 ( 0 , T ; L 2 ( Ω ) ) uniformly in ϵ , and using (38), we have v ϵ L 2 ( 0 , T ; L 2 ( Ω ) ) and ϵ Δ v ϵ is bounded uniformly in L 2 ( 0 , T ; L 2 ( Ω ) ) . Integrating (36) with respect to time t, we have
n ϵ n ϵ 1 2 L ( 0 , T ; L 2 ( Ω ) ) C .
Using the uniform boundedness of n ϵ (Lemma 8), we get
n ϵ L ( 0 , T ; L 2 ( Ω ) ) uniformly in ϵ .
We know that Δ n ϵ = n ϵ Δ ln n ϵ + | n ϵ | 2 n ϵ ; therefore,
Δ n ϵ L 2 ( 0 , T ; L 2 ( Ω ) ) uniformly in ϵ .
Thus, from (37)–(39), we have that
{ v ϵ } i s b o u n d e d i n L ( 0 , T ; H 1 ( Ω ) ) , { ϵ Δ v ϵ } i s b o u n d e d i n L ( 0 , T ; L 2 ( Ω ) ) .
Testing (2) by Δ v ϵ , we get
1 2 Δ v ϵ 2 2 + ϵ Δ v ϵ 2 2 1 2 Δ n ϵ 2 2 .
(40) and the above results imply that
{ v ϵ } i s b o u n d e d i n L 2 ( 0 , T ; H 2 ( Ω ) ) , { ϵ Δ v ϵ } i s b o u n d e d i n L 2 ( 0 , T ; H 1 ( Ω ) ) .
Thus, we have
{ v ϵ } i s b o u n d e d i n X 1 X 10 3 , { ϵ Δ v ϵ } i s b o u n d e d i n X .
Thus, from (39) and (40), we obtain
{ n ϵ } i s b o u n d e d i n X 1 X 10 3 .
Similarly, we can prove for w ϵ . Now we prove (iii). It is easy to see that 2 u ϵ = u ϵ n ϵ , and from (36), we have u ϵ L 2 ( 0 , T ; L 2 ( Ω ) ) . Then,
u ϵ L 2 ( 0 , T ; H 1 ( Ω ) ) L 2 ( 0 , T ; L 6 ( Ω ) ) .
Then, the mass conservation property u ϵ L ( 0 , T ; L 1 ( Ω ) ) implies that u ϵ L ( 0 , T ; L 2 ( Ω ) ) . That is,
{ u ϵ } i s b o u n d e d i n L ( 0 , T ; L 2 ( Ω ) ) L 2 ( 0 , T ; L 6 ( Ω ) ) X 10 3 , { u ϵ } i s b o u n d e d i n L 2 ( 0 , T ; L 2 ( Ω ) ) .
Since u ϵ = 2 u ϵ u ϵ by (43), we have
{ u ϵ } i s b o u n d e d i n L 5 4 ( 0 , T ; W 1 , 5 4 ( Ω ) ) .
As well as by (43)1, it holds that
{ u ϵ } i s b o u n d e d i n X 5 3 .
Proof of Theorem 2. 
Using (2) and Lemma 10, we get
n ϵ v ϵ = ϵ Δ v ϵ 0 a s ϵ 0 i n X ,
c ϵ w ϵ = ϵ Δ w ϵ 0 a s ϵ 0 i n X .
Therefore, from Lemma 10, (42)–(47), we have limit functions ( u , n , c ) such that u X 5 3 L 5 4 ( 0 , T ; W 1 , 5 4 ( Ω ) ) , v X 1 , w X 1 , and for some subsequences of { u ϵ , v ϵ , w ϵ , n ϵ , c ϵ } , denoted in the same way, we get
u ϵ u in L 5 3 ( 0 , T ; L 5 3 ( Ω ) ) L 5 4 ( 0 , T ; W 1 , 5 4 ( Ω ) ) , v ϵ v in L 2 ( 0 , T ; H 2 ( Ω ) ) and v ϵ * v in L ( 0 , T ; H 1 ( Ω ) ) , n ϵ n in L 2 ( 0 , T ; H 1 ( Ω ) ) and n ϵ * n in L ( 0 , T ; L 2 ( Ω ) ) , w ϵ w in L 2 ( 0 , T ; H 2 ( Ω ) ) and w ϵ * w in L ( 0 , T ; H 1 ( Ω ) ) , c ϵ c in L 2 ( 0 , T ; H 1 ( Ω ) ) and c ϵ * c in L ( 0 , T ; L 2 ( Ω ) ) .
Now, from Lemma 10, { v ϵ } i s b o u n d e d i n X X 10 3 . Thus, from (45), we have
u ϵ + 1 + ϵ u ϵ + v ϵ i s b o u n d e d i n X 10 9 ,
which implies that for each ϕ L 10 ( 0 , T ; W 1 , 10 ( Ω ) ) , the term χ 0 T Ω u ϵ + 1 + ϵ u ϵ + v ϵ · ϕ is bounded. Similarly,
u ϵ + 1 + ϵ u ϵ + w ϵ i s b o u n d e d i n X 10 9 ,
where for each ϕ L 10 ( 0 , T ; W 1 , 10 ( Ω ) ) , the term ξ 0 T Ω u ϵ + 1 + ϵ u ϵ + w ϵ · ϕ is bounded.
Then, from (3), we have
{ n ϵ t , c ϵ t } i s b o u n d e d i n L 10 9 ( 0 , T ; ( W 1 , 10 ( Ω ) ) ) .
From Lemma 8, we have
n ϵ 1 ϵ l n ( 1 + ϵ u ϵ + ) i s b o u n d e d i n X 5 3 ,
c ϵ 1 ϵ l n ( 1 + ϵ u ϵ + ) i s b o u n d e d i n X 5 3 .
Further, (3) implies
{ n ϵ t } i s b o u n d e d i n X 5 3 ,
{ c ϵ t } i s b o u n d e d i n X 5 3 .
Therefore,
u ϵ t u t in L 10 9 ( 0 , T ; ( W 1 , 10 ( Ω ) ) ) , n ϵ t v t in X 5 3 , c ϵ t w t in X 5 3 .
From (42)–(45), (56), and Lemma 10, along with W 1 , 5 4 c L 2 ( W 1 , 10 ) , H 2 c H 1 L 5 3 , and H 1 c L 2 L 5 3 , and using the Simon compactness and Aubin–Lions lemma, we have
u ϵ u in L 5 4 ( 0 , T ; L 2 ( Ω ) ) C ( [ 0 , T ] ; ( W 1 , 10 ( Ω ) ) ) , n ϵ v in L 2 ( 0 , T ; H 1 ( Ω ) ) C ( [ 0 , T ] ; L 2 ( Ω ) ) , c ϵ w in L 2 ( 0 , T ; H 1 ( Ω ) ) C ( [ 0 , T ] ; L 2 ( Ω ) ) .
By (49) and (50), we have
u ϵ + 1 + ϵ u ϵ + v ϵ ζ in X 10 9
u ϵ + 1 + ϵ u ϵ + w ϵ ς in X 10 9 .
We have from (48) that v ϵ v and w ϵ w . Also, from (57), { u ϵ } is relatively compact in X 5 4 . Using the interpolation inequality, we have
u ϵ L p ( 0 , T ; L p ( Ω ) ) u ϵ X 5 4 1 θ u ϵ X 5 3 θ , θ = 4 p 5 p ( 0 , 1 ) .
Therefore, { u ϵ } is relatively compact in L p ( 0 , T ; L p ( Ω ) ) . Note that
Ω ( u ϵ + v ϵ u + v ) ϕ = Ω ( u ϵ + v ϵ u ϵ + v + u ϵ + v u + v ) ϕ = Ω u ϵ + ( v ϵ v ) ϕ + Ω ( u ϵ + u + ) v ϕ Ω u ϵ + ( v ϵ v ) ϕ + u ϵ + u + 20 / 13 v 10 3 ϕ 20 ,
is true because X 5 3 X 20 / 13 , and the above inequality goes to zero as ϵ 0 . From (58) we can conclude that ζ = u + v . That is,
u ϵ + 1 + ϵ u ϵ + v ϵ u + v in X 10 9 .
Similarly,
Ω ( u ϵ + w ϵ u + w ) ϕ = Ω ( u ϵ + w ϵ u ϵ + w + u ϵ + w u + w ) ϕ Ω u ϵ + ( w ϵ w ) ϕ + u ϵ + u + 20 / 13 w 10 3 ϕ 20 ,
converges to zero as ϵ 0 . From (59), we can conclude that ς = u + w . That is,
u ϵ + 1 + ϵ u ϵ + w ϵ u + w in X 10 9 .
As ϵ 0 in ( 3 ) 1 , we get the desired weak solution u . From (57), we have
α n ϵ + α n + in X 10 3 ,
β c ϵ + β c + in X 10 3 .
Since ln ( 1 + ϵ u ϵ + ) ϵ u ϵ + , by (42) and (45),we get
n ϵ + ln ( 1 + ϵ u ϵ + ) ϵ is bounded in X 10 7 .
By the dominated convergence theorem,
ln ( 1 + ϵ u ϵ + ) ϵ u + X 5 3
ln ( 1 + ϵ u ϵ + ) ϵ ln ( 1 + ϵ u + ) ϵ X 5 3 + ln ( 1 + ϵ u + ) ϵ u + X 5 3
= 1 ϵ ln 1 + ϵ ( u ϵ + u + ) 1 + ϵ u + X 5 3 + ln ( 1 + ϵ u + ) ϵ u + X 5 3
converges to zero as ϵ 0 . Thus, from the weak convergence in (48), the above strong convergence, and (64), we get
n ϵ + ln ( 1 + ϵ u ϵ + ) ϵ n + u + in X 10 7 .
Then, from (56), (57), (62), and (66), we get the desired weak solution v as ϵ 0 . Now we know that u X 5 3 , v X 1 , and, therefore, it is easy to see that v t in X 10 7 . Similarly, using the fact that ln ( 1 + ϵ u ϵ + ) ϵ u ϵ + , (45), and Lemma 10, we get
c ϵ + ln ( 1 + ϵ u ϵ + ) ϵ is bounded in X 10 7 .
Using (48), (65), and (67), we get
c ϵ + ln ( 1 + ϵ u ϵ + ) ϵ c + u + in X 10 7 .
Then, from (56), (57), (62), and (68), we get the desired weak solution w ( 1 ) 3 . Using the fact that u X 5 3 , w X 1 , we get w t X 10 7 . Finally, from (R1)–(R3), ( u ϵ ( x , 0 ) , n ϵ ( x , 0 ) , c ϵ ( x , 0 ) ) = ( u 0 , ϵ ( x ) , n 0 , ϵ ( x ) , c 0 , ϵ ( x ) ) ( u 0 , n 0 , c 0 ) . From (57) and since u ϵ , v ϵ , w ϵ 0 a.e. ( x , t ) Ω × ( 0 , T ) , for all ϵ > 0 , u , v , w 0 . This completes the proof of Theorem 2. □

5. Numerical Computations via Finite Element Scheme

In this section, we present a conforming finite element scheme for the attraction–repulsion chemotaxis system (1). We validate the proposed numerical algorithm through convergence and error analysis. Specifically, we demonstrate that the finite element scheme achieves the expected order of convergence by comparing it with the suitably refined reference solutions. The convergence analysis confirms that the method behaves consistently as the mesh is refined, while the error analysis quantifies the difference between the numerical and exact solutions. Together, these results provide strong evidence for the accuracy and reliability of the numerical scheme in approximating solutions to the attraction–repulsion chemotaxis system.
Let Ω R 2 be a bounded domain with boundary Ω . Given u 0 , v 0 , w 0 L 2 ( Ω ) , the variational formulation of the attraction–repulsion chemotaxis system (1) is given in the sense of Definition 1. Rewrite the weak formulation as follows:
u t , ψ + u , ψ = χ u v , ψ ξ u w , ψ , v t , ψ + v , ψ = α v , ψ θ u v , ψ , w t , ψ + w , ψ = α w , ψ τ u w , ψ .
for all ψ L 2 ( 0 , T ; ( H 1 ( Ω ) ) .
Next, we apply finite element and temporal discretization. Let V = H 1 ( Ω ) , and let Ω h be a conforming triangulation of the domain Ω . We define V h V as a finite-dimensional subspace consisting of piecewise polynomial functions associated with the triangulation. Let { ϕ i } i = 0 N be a set of basis functions for V h , where N denotes the number of degrees of freedom, and let h represent the mesh size (discretization parameter).
Applying the standard Galerkin finite element method to the weak formulation of the problem, we arrive at the following discrete formulation: find the finite element approximations u h , v h , w h V h such that the variational equations are satisfied for all test functions from V h .
u h , ψ h + D u u , ψ h = χ u v , ψ h ξ u w , ψ h , v h , ψ h + D v v , ψ h = α v , ψ h θ u v , ψ h , w h , ψ h + D w w , ψ h = α w , ψ h τ u w , ψ h .
for every ψ h V h . We represent the discrete solutions u h , v h , w h and their gradients and time derivative in terms of a linear combination basis of V h as
u h ( t ) = i = 1 N u i ( t ) ϕ ( x ) , u h ( t ) = i = 1 N u i ( t ) ϕ ( x ) , u h ( t ) = i = 1 N u i ( t ) ϕ ( x ) v h ( t ) = i = 1 N v i ( t ) ϕ ( x ) , v h ( t ) = i = 1 N v i ( t ) ϕ ( x ) , v h ( t ) = i = 1 N v i ( t ) ϕ ( x ) w h ( t ) = i = 1 N w i ( t ) ϕ ( x ) , w h ( t ) = i = 1 N w i ( t ) ϕ ( x ) , w h ( t ) = i = 1 N w i ( t ) ϕ ( x )
Here, u i ( t ) , v i ( t ) , w i ( t ) , i = 1 , . . . , N are unknown coefficients to be determined. Setting ψ h = ϕ j and substituting the above expression in (69) discretization, we obtain a system of algebraic equations,
M d u d t + A u = F u , M d v d t + A v = F v , M d w d t + A w = F w .
where
M i j = Ω ϕ i ( x ) ϕ j ( x ) d x ,
A i j = Ω ϕ i ( x ) ϕ j ( x ) d x ,
F j u = χ Ω u h v h ϕ j ( x ) d x ξ Ω u h w h ϕ j ( x ) d x ,
F j v = α Ω v h ϕ j ( x ) d x θ Ω u h v h ϕ j ( x ) d x ,
F j w = β Ω w h ϕ j ( x ) d x τ Ω u h w h ϕ j ( x ) d x ,
Here M = M i j , A = A i j are the mass matrix and stiffness matrices, respectively, and u , v , w are the vectors of primitive variables, which contain the nodal values.
We now introduce the time discretization of the variational system using the backward Euler scheme. Let 0 = t 0 < t 1 < < t N = T be a uniform partition of the time interval [ 0 , T ] , with time step size δ t = t n t n 1 , for 1 n N . Applying the backward Euler method for time discretization, we formulate the fully discrete scheme as follows:
Given the solutions u h n 1 , v h n 1 , w h n 1 V h at the previous time step t n 1 , find u h n , v h n , w h n V h such that the discrete variational system is satisfied at time t n for all test functions in V h .
u h n u h n 1 δ t , ψ h + D u u h n , ψ h χ u h n v h n , ψ h + ξ u h n w h n , ψ h = 0 ,
v h n v h n 1 δ t , ψ h + D v v h n , ψ h = α v h n , ψ h θ u h n v h n , ψ h ,
w h n w h n 1 δ t , ψ h + D w w h n , ψ h = β w h n , ψ h τ u h n w h n , ψ h .
for all ψ h V h .
We present numerical results that support and validate the theoretical analysis developed in this work. Specifically, we carry out both convergence studies and numerical simulations for the attraction–repulsion chemotaxis model (1). To assess the accuracy of the proposed numerical method, we perform a convergence analysis using a calculated solution with a known analytical form. This enables us to quantify the error and verify that the numerical scheme achieves the expected order of convergence. For the numerical computations, we consider the computational domain Ω = [ 0 , 1 ] × [ 0 , 1 ] . Freefem++ [35] library functions were used for the implementation of the finite element scheme, employing P1 finite elements for spatial discretization. The initial mesh size was set to h = 0.25, which was subsequently refined to improve accuracy. A machine with Intel (R) Xneon (R) Silver 4214 CPU with 2.20 GHz and 88 GB RAM (DELL, Cuncolim, India) was used for all computations. To facilitate the convergence analysis and simplify implementation, we reformulated our original model (1) into a form suitable for testing against the chosen analytical solution.
u t D u Δ u + χ · ( u v ) ξ · ( u w ) = f u , v t D v Δ v α v + θ u v = f v , w t D w Δ w β w + τ u w = f w ,
where the source terms f u , f v , and f w were chosen such that
u = exp ( 2 t ) sin ( π x ) sin ( π y ) , v = exp ( t ) sin ( π x ) cos ( π y ) , w = exp ( t ) sin ( π x ) cos ( π y )
satisfied (70). Further, we assumed the following parameter values for model (70)
D u = 0.01 ; χ = 0.05 ; ξ = 0.02 : D v = 0.001 ; α , θ = 0.25 ; D w = 0.05 ; β , τ = 0.15
to perform the numerical error and convergence analysis. We considered the system with Neumann boundary conditions.
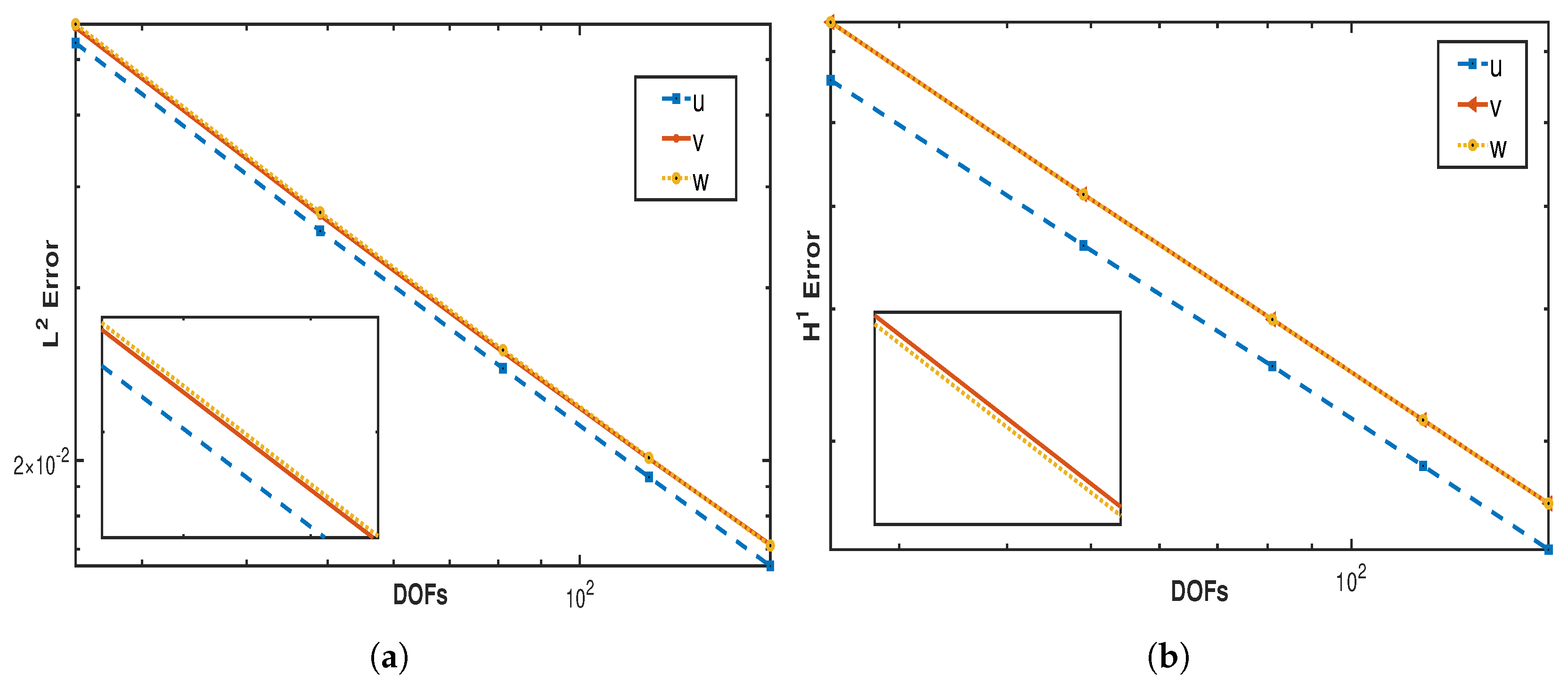
Figure 1a,b affirm the order convergence achieved in both norms L 2 and H 1 for variables u , v , and w. The following Table 1, Table 2 and Table 3 present the errors in both the norms and space convergence rate for all the variables.
Here, we numerically illustrate the attraction–repulsion chemotaxis dynamics of a cell population, providing visual insight into the behavior and interaction patterns governed by the system. These simulations serve to enhance our understanding of how the combined effects of chemoattractants and chemorepellents influence cell movement and aggregation.
For the purpose of demonstration, we selected specific model parameters that highlight key features of the system’s behavior. These parameters are assumed to reflect biologically relevant conditions and ensure numerical stability. The following values are used in our simulations:
D u = 0.001 , χ = 0.003 , D v = 0.0015 , ξ = 0.005 , α , θ = 0.25 , D w = 0.001 , β , τ = 0.15
with the initial conditions
u = 5 exp ( x 1 ) 2 0.05 ( y 1 ) 2 0.05 , v = 5 exp ( x 0.5 ) 2 0.1 ( y 0.5 ) 2 0.1 , w = 5 exp ( x 1.5 ) 2 0.1 ( y 1.5 ) 2 0.1
in Ω = [ 0 , 1 ] × [ 0 , 1 ] . We choose time step d t = 0.005 for the simulation.
The following numerical illustration clearly demonstrates the movement of the cell population in our case bacteria population in response to nutrients and toxins. At the initial time t = 0 , we modeled our cell population u as a circular cluster located at the center of the domain. The attractant signal (nutrient) is positioned at the bottom left corner, while the repellent (toxin) is placed at the top right corner of the domain; see the first row of Figure 2. As time progresses, influenced by both the attraction and repulsion from these corner signals, the cells u begin to diffuse away from the repellent w and toward the attractant v. The chemicals also start to diffuse across the domain after a certain period.
At time step t = 12.5 × 10 1 , the diffusion of the cell population is observed towards the bottom left corner of the domain, where the attractant chemical is becoming visible in the illustration. In contrast, the cell density at the top right corner appears to be lower than the initial data due to diffusion away from the toxin. The plots at this time step clearly show that cells are beginning to migrate away from the toxin and are diffusing towards the nutrient. Additionally, both chemicals have also started to diffuse in response to the cell movement; see the second and third rows of Figure 2.
Figure 3 illustrates the evolution of cell density u for different values of the chemical sensitivity coefficient χ : 0.0001 , 0.0002 , 0.0005 , 0.001 , and 0.002 . This is presented for three different time steps. In this simulation, we considered other parameter values such as
D u = 0.001 , D v = 0.0015 , D w = 0.001 , ξ = 0.005 , α , θ = 0.25 , β , τ = 0.15 .
for the various χ values. From Figure 3a, we can observe that, even across different time steps, all the curves reach their peak near r = 1 , although there are slight variations in shape. The zoomed-in images reveal a subtle shift in the curves as the value of χ increases. From Figure 3b,c it is evident that over time, while the peaks are consistently located in the same region, the shapes of the curves for different χ values become more pronounced. As the attractant signal (nutrient) becomes dominant, the cells begin to aggregate or diffuse around the peak.
The above simulation represents the variation in the density of bacteria population for different values of the chemical sensitivity coefficient of toxins ξ , 0.0001 , 0.0002 , 0.0005 , 0.001 , 0.002 with other parameters taken as
D u = 0.001 , D v = 0.0015 , D w = 0.001 , χ = 0.005 , α , θ = 0.25 , β , τ = 0.15 .
From the observations, we see that at the initial time, the curves reach their peak near r = 1 . The peak is slightly sharper in Figure 4a compared to Figure 4b. As time progresses, the coefficient of chemical sensitivity to the attractant remains constant, while repulsion becomes dominant, leading to deviations in the curves. An increase in repellent sensitivity forces the cells to disperse more, causing the peak of the curve to flatten in Figure 4b compared to Figure 4a. Overall, these images illustrate that as repellent sensitivity increases, the cells begin to diffuse away from areas of a high repellent concentration.
Effects of  D u : The above simulation in Figure 5 represents the variation in the diffusion of cell (bacteria) density with various values of diffusion coefficient, where other parameters are taken as
χ = 0.001 , ξ = 0.005 , D v = 0.0015 , α = θ = 0.25 , D w = 0.001 , β , τ = 0.15 .
It is evident that around r = 1 there is a surge in the value of u. We can see that in Figure 5a, for a lower value of the diffusion coefficient, there is a higher concentrated accumulation near the center of the domain, which indicates that the diffusion is less, and as the value increases, the maximum value decreases and the curves become broader, indicating enhanced diffusion effects. Similar effects can be seen in Figure 5b,c. As the time increases, for higher values of diffusion coefficients, the curves are seen to be broader and the maximum value is far less compared to the initial time, which indicates that the diffusion is more and dominates the chemotaxis.
Effects of  θ  in cell density: Figure 6 represents the timely variation in cell density u for different values of the rate of consumption of nutrients— θ —while other parameters are taken as follows:
D u = 0.001 , χ = 0.001 , ξ = 0.005 , D v = 0.0015 , α = 0.5 , D w = 0.001 , β = 0.15 , τ = 0.5 .
The simulation results show the rate at which the nutrient is consumed by the bacteria (cell). Here, θ has an effect on the bacteria (cell) aggregation. We can observe that as θ and time increase, there is a subtle but noticeable shift in the position of the maximum value and amplitude of the cell density. In Figure 6a,b the shift is not seen prominently, but in Figure 6c, it is more visible. This suggests that as the consumption of nutrient increases, the cell aggregation becomes more focused. Overall, the above simulation indicates that even a small change in the chemical consumption rate can influence the diffusion and aggregation of cells.
Effects of θ in concentration: Figure 7 represents the variation in the nutrient concentration at 3 distinct time instances, where the values of other parameters are taken as
D u = 0.001 , χ = 0.001 , ξ = 0.005 , D v = 0.0015 , α = 0.5 , D w = 0.001 , β = 0.15 , τ = 0.5 .
The parameter θ represents the rate at which the nutrient is consumed by the bacteria (cells). As the value of θ increases, the concentration of the nutrient decreases rapidly, leading to a more sharper decay in the chemical profile. The effect is visible in the plots. In Figure 7a–c, for different values of θ , the position at which the maximum is attained is seen to be relatively fixed; only the maximum value changes over time, which suggests that the primary effects of consumption are mainly on the rate of the depletion of nutrient rather than the location at which it is concentrated. Overall, the simulation shows that as the rate of consumption of nutrient increases, the nutrient concentration decays rapidly, resulting in narrower and steeper nutrient profiles, which show the sensitivity of the chemical signal towards the consumption rate.
Effects of τ : Figure 8 represents the evolution of toxin w at different time steps, where the other parameters are taken as
D u = 0.001 , χ = 0.001 , , ξ = 0.005 , D v = 0.0015 , α = 0.5 , θ = 0.15 , D w = 0.001 , β = 0.5 .
As the consumption rate τ of toxin increases, the toxin concentration profile becomes steeper and sharper. Specifically, large values of τ lead to a faster consumption of the repellent chemical concentration, so the effect that the toxin has on the cell (bacteria) density may also decrease. We can see from Figure 8a–c that although the location at which the maximum value is attained remains relatively constant, as time progresses, the sharpness and the steepness of the curve increase, with higher values of τ . Overall, in this simulation we observe that the concentration of toxin (repellent) w is highly sensitive to the chemical consumption rate.

6. Conclusions

We analyzed a mathematical model that describes chemotaxis involving attraction and repulsion for both theoretical and numerical studies. To establish the existence and uniqueness of weak solutions, we considered an approximate problem. The existence of a solution for this approximate problem was studied using the Leray–Schauder fixed point theorem. We derived a priori estimates to ensure convergence results.
For the numerical computations of the model, we proposed a finite element scheme employing the Galerkin finite element method. This approach allows us to study the interaction between cell density and competing chemical signals. We conducted error analysis and a convergence study to verify the accuracy of our numerical computations. A series of simulations were carried out to understand how the cell population responded to the chemical signals.

Author Contributions

Conceptualization, A.D., Y.K., and L.S.; methodology, Y.K. and L.S.; software, A.P.A. and Y.K.; validation, A.D. and L.S.; formal analysis, A.P.A., Y.K., and L.S.; investigation, A.D. and L.S.; resources, A.P.A.; data curation, A.P.A. and L.S.; writing—original draft preparation, A.P.A.; writing—review and editing, A.D. and L.S.; visualization, A.D. and L.S.; supervision, L.S.; project administration, A.D. All authors have read and agreed to the published version of the manuscript.

Funding

This research received no external funding.

Data Availability Statement

Data is contained within the article.

Conflicts of Interest

The authors declare no conflicts of interest.

References

  1. Chiyo, Y.; Düzgün, F.G.; Frassu, S.; Viglialoro, G. Boundedness through nonlocal dampening effects in a fully parabolic chemotaxis model with sub and superquadratic growth. Appl. Math. Optim. 2024, 89, 9. [Google Scholar] [CrossRef]
  2. Columbu, A.; Fuentes, R.D.; Frassu, S. Uniform-in-time boundedness in a class of local and nonlocal nonlinear attraction-repulsion chemotaxis models with logistics. Nonlinear Anal. Real World Appl. 2024, 79, 104135. [Google Scholar] [CrossRef]
  3. Zhang, W.; Liu, Z. Global existence, boundedness and asymptotic behavior of classical solutions to a fully parabolic two-species chemotaxis-competition model with singular sensitivity. J. Differ. Equ. 2024, 391, 485–536. [Google Scholar] [CrossRef]
  4. Feng, Z.; Zhao, K.; Zhou, S. Existence and stability of boundary spike layer solutions of an attractive chemotaxis model with singular sensitivity and nonlinear consumption rate of chemical stimuli. Phys. D Nonlinear Phenom. 2025, 471, 134429. [Google Scholar] [CrossRef]
  5. Khan, S.U.; Garayev, M.; Ramesh, K.; El Meligy, M.; Abduvalieva, D.; Khan, M.I. Applications of variable thermal features for the bioconvective flow of Jeffrey nanofluids due to stretching surface with mass suction effects: Cattaneo-Christov model. Appl. Math. Mech. 2025, 46, 391–402. [Google Scholar] [CrossRef]
  6. Keller, E.F.; Segel, L.A. Model for chemotaxis. J. Theor. Biol. 1971, 30, 225–234. [Google Scholar] [CrossRef]
  7. Keller, E.F.; Segel, L.A. Initiation of slime mold aggregation viewed as an instability. J. Theor. Biol. 1970, 26, 399–415. [Google Scholar] [CrossRef]
  8. Khaled-Abad, L.J.; Salehi, R. Application of weak Galerkin finite element method for nonlinear chemotaxis and haptotaxis models. Appl. Math. Comput. 2021, 409, 126436. [Google Scholar] [CrossRef]
  9. Ai, B.; Jia, Z. The global existence and boundedness of solutions to a Chemotaxis-Haptotaxis model with nonlinear diffusion and signal production. Mathematics 2024, 12, 2577. [Google Scholar] [CrossRef]
  10. Frassu, S.; Li, T.; Viglialoro, G. Improvements and generalizations of results concerning attraction-repulsion chemotaxis models. Math. Methods Appl. Sci. 2022, 45, 11067–11078. [Google Scholar] [CrossRef]
  11. Jiao, Z.; Jadlovskà, I.; Li, T. Global existence in a fully parabolic attraction-repulsion chemotaxis system with singular sensitivities and proliferation. J. Differ. Equ. 2024, 411, 227–267. [Google Scholar] [CrossRef]
  12. Luca, M.; Chavez-Ross, A.; Edelstein-Keshet, L.; Mogilner, A. Chemotactic signaling, microglia, and Alzheimer’s disease senile plaques: Is there a connection? Bull. Math. Bio. 2003, 65, 693–730. [Google Scholar] [CrossRef]
  13. Painter, K.J.; Hillen, T. Volume-filling and quorum-sensing in models for chemosensitive movement. Can. Appl. Math. Quart. 2002, 10, 501–543. [Google Scholar]
  14. Liu, P.; Shi, J.; Wang, Z.A. Pattern formation of the attraction-repulsion Keller-Segel system. Discret. Cont. DYN-B 2013, 18, 2597–2625. [Google Scholar] [CrossRef]
  15. Jin, H.Y. Boundedness of the attraction-repulsion Keller-Segel system. J. Math. Anal. Appl. 2015, 422, 1463–1478. [Google Scholar] [CrossRef]
  16. Tao, Y.; Wang, Z.A. Competing effects of attraction vs. repulsion in chemotaxis. Math. Model. Methods Appl. Sci. 2013, 23, 1–36. [Google Scholar] [CrossRef]
  17. Liu, D.; Tao, Y. Global boundedness in a fully parabolic attraction-repulsion chemotaxis model. Math. Model. Methods Appl. Sci. 2015, 38, 2537–2546. [Google Scholar] [CrossRef]
  18. Li, J.; Wang, Y. Repulsion effects on boundedness in the higher dimensional fully parabolic attraction-repulsion chemotaxis system. J. Math. Anal. Appl. 2018, 467, 1066–1079. [Google Scholar] [CrossRef]
  19. Lin, K.; Mu, C.; Wang, L. Large-time behavior of an attraction-repulsion chemotaxis system. J. Math. Anal. Appl. 2015, 426, 105–124. [Google Scholar] [CrossRef]
  20. Wang, W.; Zhuang, M.; Zheng, S. Positive effects of repulsion on boundedness in a fully parabolic attraction-repulsion chemotaxis system with logistic source. J. Differ. Equ. 2018, 264, 2011–2027. [Google Scholar] [CrossRef]
  21. Li, X.; Xiang, Z. On an attraction-repulsion chemotaxis system with a logistic source. IMA J. Appl. Math. 2016, 81, 165–198. [Google Scholar] [CrossRef]
  22. Zheng, P.; Mu, C.; Hu, X. Boundedness in the higher dimensional attraction-repulsion chemotaxis-growth system. Comput. Math. Appl. 2016, 72, 2194–2202. [Google Scholar] [CrossRef]
  23. Xu, P.; Zheng, S. Global boundedness in an attraction-repulsion chemotaxis system with logistic source. Appl. Math. Lett. 2018, 83, 1–6. [Google Scholar] [CrossRef]
  24. Ren, G.; Liu, B. Global dynamics for an attraction-repulsion chemotaxis model with logistic source. J. Differ. Equ. 2020, 268, 4320–4373. [Google Scholar] [CrossRef]
  25. Karuppusamy, Y.; Lingeshwaran, S. Solutions of the attraction-repulsion-chemotaxis system with nonlinear diffusion. Math. Model. Anal. 2025, 30, 203–223. [Google Scholar] [CrossRef]
  26. Frassu, S.; Viglialoro, G. Boundedness in a chemotaxis system with consumed chemoattractant and produced chemorepellent. Nonlinear Anal. 2021, 213, 112505. [Google Scholar] [CrossRef]
  27. Frassu, S.; Van Der Mee, C.; Viglialoro, G. Boundedness in a nonlinear attraction-repulsion Keller-Segel system with production and consumption. J. Math. Anal. Appl. 2021, 504, 125428. [Google Scholar] [CrossRef]
  28. Feireisl, E.; Novotný, A. Singular Limits in Thermodynamics of Viscous Fluids; Birkhäuser: Basel, Switzerland, 2009; Volume 2. [Google Scholar]
  29. López-Ríos, J.; Villamizar-Roa, É.J. An optimal control problem related to a 3D-chemotaxis-Navier-Stokes model. ESAIM Control Optim. Calc. Var. 2021, 27, 58. [Google Scholar] [CrossRef]
  30. Magenes, E.; Lions, J.L. Problémes aux Limites non Homogénes et Applications; Dunod: Paris, France, 1968. [Google Scholar]
  31. Grisvard, P. Elliptic Problems in Nonsmooth Domains; Society for Industrial and Applied Mathematics: Philadelphia, PA, USA, 2011; Volume 1. [Google Scholar]
  32. Simon, J. Compact sets in the space Lp(O, T; B). Ann. Mat. Pura Appl. 1986, 146, 65–96. [Google Scholar] [CrossRef]
  33. Adams, R.A.; Fournier, J.J. Sobolev Spaces; Elsevier: Amsterdam, The Netherlands, 2003; Volume 140. [Google Scholar]
  34. Lankeit, J. Long-term behaviour in a chemotaxis-fluid system with logistic source. Math. Model. Method. Appl. Sci. 2016, 26, 2071–2109. [Google Scholar] [CrossRef]
  35. Hecht, F. New development in FreeFem++. J. Numer. Math. 2012, 20, 251–266. [Google Scholar] [CrossRef]
Figure 1. Plots (a,b) illustrate the logarithmic errors of the system in l ( L 2 ) and l ( H 1 ) norms with respect to the logarithmic degrees of freedom, respectively.
Figure 1. Plots (a,b) illustrate the logarithmic errors of the system in l ( L 2 ) and l ( H 1 ) norms with respect to the logarithmic degrees of freedom, respectively.
Mathematics 13 02486 g001
Figure 2. Density of the species (u), concentration of the attractant chemical signal (v), and concentration of the repellent chemical signal (w) column-wise, respectively.
Figure 2. Density of the species (u), concentration of the attractant chemical signal (v), and concentration of the repellent chemical signal (w) column-wise, respectively.
Mathematics 13 02486 g002
Figure 3. Plots (ac) show the transformation of cell (bacteria) density u for different values of the chemical sensitivity coefficient χ of attractant (nutrient) at times t = 5 × 10 1 , 25 × 10 1 , 45 × 10 1 , respectively.
Figure 3. Plots (ac) show the transformation of cell (bacteria) density u for different values of the chemical sensitivity coefficient χ of attractant (nutrient) at times t = 5 × 10 1 , 25 × 10 1 , 45 × 10 1 , respectively.
Mathematics 13 02486 g003
Figure 4. Plots (a,b) depict the evolution of cell density (bacteria) for different values of the chemical sensitivity coefficient of toxin (repellent) ξ for a fixed value of the coefficient of chemical sensitivity of the nutrient (attractant), for times t = 5 × 10 1 , 25 × 10 1 , respectively.
Figure 4. Plots (a,b) depict the evolution of cell density (bacteria) for different values of the chemical sensitivity coefficient of toxin (repellent) ξ for a fixed value of the coefficient of chemical sensitivity of the nutrient (attractant), for times t = 5 × 10 1 , 25 × 10 1 , respectively.
Mathematics 13 02486 g004
Figure 5. Plots (ac) show the transformation of cell (bacteria) density u for different values of the cell diffusion coefficient ( D u ) at times t = 2.5 × 10 1 , 25 × 10 1 , 35 × 10 1 , respectively.
Figure 5. Plots (ac) show the transformation of cell (bacteria) density u for different values of the cell diffusion coefficient ( D u ) at times t = 2.5 × 10 1 , 25 × 10 1 , 35 × 10 1 , respectively.
Mathematics 13 02486 g005
Figure 6. Plots (ac) show the transformation of cell (bacteria) density u for different values of the rate of consumption of the nutrient (attractant) chemical ( θ ) at times t = 2.5 × 10 1 , 15 × 10 1 , 25 × 10 1 , respectively.
Figure 6. Plots (ac) show the transformation of cell (bacteria) density u for different values of the rate of consumption of the nutrient (attractant) chemical ( θ ) at times t = 2.5 × 10 1 , 15 × 10 1 , 25 × 10 1 , respectively.
Mathematics 13 02486 g006
Figure 7. Plots (ac) show the evolution of nutrient (attractant chemical) concentration v for different values of the rate of consumption of nutrient (attractant chemical) ( θ ) at times t = 2.5 × 10 1 , 15 × 10 1 , 25 × 10 1 , respectively.
Figure 7. Plots (ac) show the evolution of nutrient (attractant chemical) concentration v for different values of the rate of consumption of nutrient (attractant chemical) ( θ ) at times t = 2.5 × 10 1 , 15 × 10 1 , 25 × 10 1 , respectively.
Mathematics 13 02486 g007
Figure 8. Plots (ac) show the evolution of toxin (repellent chemical) concentration w for different values of the rate of consumption of toxin ( τ ) at times t = 2.5 × 10 1 , 15 × 10 1 , 25 × 10 1 , respectively.
Figure 8. Plots (ac) show the evolution of toxin (repellent chemical) concentration w for different values of the rate of consumption of toxin ( τ ) at times t = 2.5 × 10 1 , 15 × 10 1 , 25 × 10 1 , respectively.
Mathematics 13 02486 g008
Table 1. Space convergence rate for u.
Table 1. Space convergence rate for u.
DOF l ( H 1 ) Order l ( L 2 ) Order
250.6578740.0534498
490.4592310.8865360.02513011.86126
810.3532840.9117060.01446651.91959
1210.2843610.9725950.009354441.95383
1690.2370430.9982420.00654461.95924
Table 2. Space convergence rate for v.
Table 2. Space convergence rate for v.
DOF l ( H 1 ) Order l ( L 2 ) Order
250.7463790.0568781
490.513280.9234120.0267351.86191
810.3910210.9457040.01543371.90981
1210.3141890.9803750.01007061.91328
1690.2620470.9953320.007130791.89335
Table 3. Space convergence rate for w.
Table 3. Space convergence rate for w.
DOF l ( H 1 ) Order l ( L 2 ) Order
250.7461610.0576337
490.5131390.9233710.0270691.86383
810.3909410.9454560.01557111.92217
1210.3141350.9802310.01010361.93832
1690.2620040.9952910.007101741.93369
Disclaimer/Publisher’s Note: The statements, opinions and data contained in all publications are solely those of the individual author(s) and contributor(s) and not of MDPI and/or the editor(s). MDPI and/or the editor(s) disclaim responsibility for any injury to people or property resulting from any ideas, methods, instructions or products referred to in the content.

Share and Cite

MDPI and ACS Style

Aswathi, A.P.; Debbouche, A.; Karuppusamy, Y.; Shangerganesh, L. Modeling and Simulation of Attraction–Repulsion Chemotaxis Mechanism System with Competing Signal. Mathematics 2025, 13, 2486. https://doi.org/10.3390/math13152486

AMA Style

Aswathi AP, Debbouche A, Karuppusamy Y, Shangerganesh L. Modeling and Simulation of Attraction–Repulsion Chemotaxis Mechanism System with Competing Signal. Mathematics. 2025; 13(15):2486. https://doi.org/10.3390/math13152486

Chicago/Turabian Style

Aswathi, Anandan P., Amar Debbouche, Yadhavan Karuppusamy, and Lingeshwaran Shangerganesh. 2025. "Modeling and Simulation of Attraction–Repulsion Chemotaxis Mechanism System with Competing Signal" Mathematics 13, no. 15: 2486. https://doi.org/10.3390/math13152486

APA Style

Aswathi, A. P., Debbouche, A., Karuppusamy, Y., & Shangerganesh, L. (2025). Modeling and Simulation of Attraction–Repulsion Chemotaxis Mechanism System with Competing Signal. Mathematics, 13(15), 2486. https://doi.org/10.3390/math13152486

Note that from the first issue of 2016, this journal uses article numbers instead of page numbers. See further details here.

Article Metrics

Back to TopTop