Abstract
This study developed an optimal model for gas turbine power plants (GTPPs) with intercoolers, focusing on the challenges related to power output, thermal efficiency and specific fuel consumption. The study combined response surface methodology (RSM) and central composite design (CCD) with advanced metaheuristic algorithms, including ANFIS, ANFIS PSO and ANFIS GA, to model nonlinear interactions of key parameters, including the pressure ratio, ambient temperature, turbine inlet temperature and the effectiveness of the intercooler. Optimal values of thermal efficiency (47.8%), power output (165 MW) and specific fuel consumption (0.16 kg/kWh) were attained under conditions of a pressure ratio of 25, an ambient temperature 293 K, a turbine inlet temperature of 1550 K and 95% intercooler effectiveness. The RSM, being the initial model, was able to predict but lacked precision when compared with the nonlinear influences that were modelled by ANFIS PSO and ANFIS GA, with power output, thermal efficiency and specific fuel consumption (sfc) having corresponding R2 values of 0.979, 0.987 and 0.972. The study demonstrated the potential of extending metaheuristic algorithms to provide sustainable solutions to energy system problems and reduced emissions through gas turbine power plant (GTPP) optimisation.
Keywords:
central composite design (CCD); gas turbine power plant (GTPP); intercooler; modelling; optimisation; power output; response surface methodology (RSM); specific fuel consumption; thermal efficiency MSC:
37A60; 70-08; 70-10; 76-10; 74P10
1. Introduction
The ever-increasing electricity consumption in the world makes it imperative to push for more efficient power generation technologies [1,2,3]. The International Energy Agency (IEA) also highlighted that global electricity demand is predicted to increase more than 50% over the subsequent quarter-century, mainly from developing countries. This has placed huge pressure on energy systems to improve efficiency, minimise fuel use and reduce emissions [4,5,6]. Gas turbines, because of their flexibility, high ratio of power per output and lower pollution, continue to attract interest in power generation. However, conversion and operational losses due to inherent thermodynamic inefficiencies of heat-to-electricity conversion and other factors continue to pose major challenges [7,8]. These inefficiencies are most felt in areas such as Africa, where energy demand is increasing. Yet, proper solutions that will have minimal impact on the environment are desired [9,10].
Gas turbines (GT) work on the Brayton cycle, a thermodynamic cycle in which air is compressed, and then, fuel is added and ignited to produce energy [11]. In gas-turbine performance, relevant aspects include pressure ratio, which compares intake pressure to exhaust pressure; ambient temperature, affecting combustion and efficiency; turbine inlet temperature, associated with a high-pressure turbine or HP turbine; and the intercooler, employed to cool the compressed air in an intercooler recuperative system for less work on the compressor. While there is rigorous research dedicated to improving individual components of gas turbine systems, a vast majority of suggested approaches do not account for the fact that these components are dependent upon the interrelation of multiple variables. A holistic approach is necessary to fully exploit the potential efficiency gains of gas turbine systems, especially in light of increasing global energy demands.
Empirical research has explored various aspects of gas turbine optimisation, with mixed successes. Ref. [12] investigated combined cycles for improving gas turbine thermal efficiency, concluding that integrating steam cycles significantly enhances overall system performance. Ref. [13] researched the impact of cooling technologies on the operation of gas turbines in hot climatic regions, like the Middle Eastern regions, finding that evaporative cooling systems enhance power output by reducing the intake air temperature. Ref. [14] conducted a comprehensive review of GT power plants, focusing on modelling and simulating GT performance. The review examined both simple and complex cycle GT power plants, including two-shaft, regenerative, reheat and intercooler configurations. Particular attention was given to how operating conditions affect GT performance, with an emphasis on both simple and complex cycles. The study highlighted performance improvements for GT power plants, particularly in varying ambient conditions and more advanced configurations.
Ref. [15] explored the impact of environmental conditions on gas turbine performance in hot, arid climates, focusing on Karbala. Using Aspen HYSYS, they simulated a fogging air intake cooling system. The results showed that cooling the intake air increased the net power and thermal efficiency and reduced fuel consumption and the heat rate by 7%, especially when temperatures exceeded 30 °C and humidity was below 40%.
In the work of [16], a theoretical analysis of the effect of pressure ratio and the ambient temperature on the efficiency of the gas turbine was presented. It was deduced that higher pressure ratios yield better results, although how ambient temperature affects the efficiency of the turbine is still unclear. Ref. [17] analysed how turbine inlet temperature and the effectiveness of the intercooler affected the energy efficiency. The results showed that, with higher values of turbine inlet temperatures, the overall thermal efficiency of the cycles increases, but the above study was constrained by being a limited parameter study that only incorporated two variables at a time.
Current research in micro gas turbines includes hydrogen-enriched gaseous fuel injection and the use of machine learning for the optimisation of compatibility, while the efficiency of combustion processes signals increased thrust at lower emissions. Hydrogen is a high-energy-density fuel that has a high flame speed, to the extent that flame stability is enhanced, blow out is reduced and the problems associated with partial combustion under lean burn conditions are appropriately addressed [18]. CFD simulations have been used to enhance the fuel injector’s hydrogen distribution, though challenges like backfiring risks still remain [19]. The performance prediction of micro gas turbines (MGTs) has been enhanced by the use of machine-learning (ML) techniques, especially long short-term memory (LSTM) networks, for various parameters like turbine inlet temperature and the fuel flow rates. These models effectively accommodate dynamic parameter conditions and enhance thermal performance while decreasing specific fuel consumption rates. Also, microalgae-based fuels have emerged as a renewable source of energy, which reduces the emission of CO2 and ensures optimum performance. LSTM networks address the variability of fuel properties, such as viscosity and calorific value, for improved operation and fuel blend [20].
Furthermore, gradient descent algorithms enhance optimisation for the MGT systems. Variant techniques like stochastic gradient descent and adaptive methods (Adagrad, Adam, RMSprop, etc.) enhance the convergence. The integration of gradient descent with metaheuristic optimisation such as PSO further handles both non-convex and multi-modal cost surfaces, optimising vital turbine parameters for cleaner and greater efficiency in energy generation [21].
The response surface methodology (RSM) is a strong technique that is intended for the investigation of systems characterised by more than one operating parameter, conveys the relationship of the influencing factors with the performance characteristics and establishes equations that quantify the correlation between the input variables and output responses. RSM is an optimisation model through which empirical models and numerical optimisation are employed to predict the effect of certain conditions on particular responses [18].
Ref. [19] investigated the interaction effect of pressure ratio and turbine inlet temperature on the performance of a gas turbine using RSM. While the study validated the inputs suggesting that it was possible to achieve as much as a 30% improvement in the thermal efficiency when both parameters were optimised, the work did not address other factors, such as ambient temperature and intercooler efficiency for practical applications.
Ref. [20] extended the study by applying RSM for the improvement of thermal and exergy efficiency of gas turbines but is limited in terms of the number of operational parameters. The research only considered pressure ratio and turbine inlet temperature, factors that, although crucial, do not capture the synergy between the multi-number operation parameters that form the basis of the efficiency of the gas turbine.
The research carried out in [21] established a survey concerning the effect of different operating parameters on gas turbine efficiency. Ref. [21] stated that, while the pressure ratio, ambient temperature and turbine inlet temperature can be analysed individually, optimising them using RSM is an area that has not extensively been explored.
Notwithstanding, RSM still has a limitation in handling complex relationships between responses and control factors. For instance, although RSM has capabilities in establishing polynomial regression equations and optimisation within a specific domain of the variables, it is not efficient in capturing the high nonlinearity and multimodality of the gas turbines. These are interactions between variables such as turbine inlet temperature and pressure ratio, where high levels of these interactions may be synergistic or antagonistic in nature. Thus, they cannot solely be modelled using the standard RSM. Further, the RSM is less effective when the independent variables are discrete or when the variables interact in such a way as to produce noncontinuous responses. For such cases, meta-heuristic or optimisation techniques like genetic algorithm (GA), particle swarm optimisation (PSO), ant colony optimisation (ACO) and others promise more effective and efficient solutions than the standard methods in the multi-dimensional and non-linear optimisation problems. When working with gas turbine systems, which are characterised by complex thermal and mechanical interactions, these algorithms are able to locate global optima better than the RSM [22].
Studied works have demonstrated metaheuristic algorithms solve combinatorial optimisation problems in an efficient manner, if the decision variables are discrete instead of continuous, by converting the continuous values into binary ones and taking candidate solution vectors [23,24]. Moreso, metaheuristic optimisation algorithms are applied to solving numerous difficulties, with an established impact in engineering, finance, healthcare, telecommunications and computing [25]. These techniques do not specifically address the main problems but use iterative search methods to adjust to desired solutions where necessary, especially for solving (nondeterministic polynomial time) NP-hard issues in energy generation, production management and bioinformatics [26]. In the past decades, metaheuristic algorithms have been regarded as relevant solution providers for NP problems that need the high power of exponential steps for achieving versatile and beneficial optimisation approaches for complex issues. Furthermore, metaheuristic optimisation algorithms have indicated the potential to solve most problems found in gas turbine power plants and hydropower generation, defined as nonlinear and multi-modal optimisation problems [27].
Ref. [28] developed an algorithm to compute greenhouse control with model predictive control (MPC) embedded with PSO. The aim was to achieve the highest possible crop output with the lowest possible expenditure on energy. The results showed that the proposed PSO-MPC algorithm has outperformed the rule-based and GA. This was supported by the results of experiments indicating the feasibility of using the proposed methods for the further enhancement of energy and yield efficiency in agriculture.
Ref. [29] analysed the exergy, exergoeconomic and exergoenvironmental multiobjective optimisation of a gas turbine cycle using multiobjective PSO. The results showed that raising the compressor’s pressure ratio and the turbine’s inlet temperature decreases CO2 emissions and enhances energy efficiency. However, the gains level off as the levels increase. The analysis considers cost, time and environmental considerations but is carried out under certain assumptions, has a limited range, uses static economic variables and does not consider lifecycle costing. It was concluded that exit strategies for affordable, sustainable energy design have potential and that these results warrant future study under practical conditions.
In ref. [30], PSO and GA were employed for the optimisation of the economic and environmental performance of power generation. The results established that PSO had a faster convergence to the best solution and lower costs and emission levels compared with GA. The study utilised real-world data and validation using IEEE test systems. Limitations include the exclusion of some real constraints, such as line losses and areas that cannot be supplied. However, the opportunity for metaheuristics to effectively dispatch is outlined in the study, as well as recommendations for greater reality and enhanced algorithms.
The current study combines RSM with metaheuristic optimisation algorithms such as the adaptive neuro-fuzzy inference system (ANFIS), ANFIS with GA and ANFIS with PSO (ANFIS-PSO) to investigate the non-linear correlation of operating conditions and responses in the gas turbine power plant, including power output, thermal efficiency and specific fuel consumption. This work establishes RSM and metaheuristic algorithms as methods for developing suitable mathematical models for improving gas turbine performance and offering practical implications for the industry. There is promise for concurrent optimisation approaches and techniques to optimise performance and design, as well as create new processes. This work not only contributes in response to energy problems and encourages sustainable development of the world’s energy systems but also offers clear modelling that can be implemented by stakeholders, especially in the developing world, where the generation of energy is a core determinant of economic growth.
2. Materials and Methods
2.1. Overview of the Power Gas Plant
A cycle model of a gas turbine power plant with an effect intercooler, along with a detailed parametric study, is presented in this paper. The effects of parameter (design and operation conditions) on the power output, compression work, specific fuel consumption and thermal efficiency are evaluated. In this study, the implementation of intercooling increases the power-generating efficiency of the suggested gas turbine power plant when compared to the non-intercooled gas turbine power plant configurations. The intercooler gas turbine cycle is analysed, and a new approach for improvement of their thermodynamic performances based on the first law of thermodynamics is presented. Different affected parameters are simulated, including different compressor pressure ratios, ambient temperatures, air–fuel ratios, turbine inlet temperature, and cycle peak temperature ratios were analysed. The obtained results are presented and analysed. Further increasing the cycle peak temperature ratio and total pressure ratio can still improve the performance of the intercooled gas turbine cycle.
Intercoolers are an integral part of the gas turbine power plant. This facility is situated in a region with rich natural gas and river resources so the turbines will be highly operational. The operational data used in this study were collected from the GT section operator’s manual logbook containing daily reading. All of these recorded data were put for analysis and the principles of boundaries, and the second law of thermodynamics was applied. The gas turbine power plant utilises the Brayton cycle, and its constituent parts are the compressor, combustion chamber, gas turbine and generator (load), as shown in Figure 1. The interconnections of these components guarantee a fine and optimal operation of the components, which ensures a sophisticated and efficient operation of the gas turbine power plant [31], the optimisation of the resources and compliance with the gas turbine power station on the fundamentals of thermodynamics for garnering the highest effective utilisation of the available resources [32].
Figure 1.
The schematic illustration of the gas turbine plant.
2.2. Modelling and Optimisation Process
The experimental design was developed using the design of experiment (DOE) and the central composite design (CCD) for both single and multiple combinations of the operating parameters. This was followed by the use of the RSM to estimate the responses such as power output (P), specific fuel consumption (sfc) and thermal efficiency (η). Under these experimental conditions, four independent parameters of the gas power plant were identified and optimised, namely the pressure ratio (rp), ambient temperature (T1), turbine inlet temperature (T3) and intercooler effectiveness (ε). The rationale for CCD stemmed from its multiple strengths, namely time and cost perspectives, as well as the sensitivity and accuracy of the calculated results to various operating conditions. Also, one of the advantages of using CCD is that the method ensures a minimum number of test runs [33]. Before applying the RSM, the experimental work, which was used in the present investigation, was selected from the database of the Design Expert software version 7.0.3 (Stat-Ease). after thoughtful consideration.
The study involved three responses in CCD (P, sfc and η) and four operating parameters (rp, T1, T3 and ε). Each varied at three levels, namely high, moderate and low, and were denoted as +1, 0 and −1. The modelling and optimisation of operational factors occurred in two stages. The initial step involved establishing a mathematical relationship between the responses and independent factors using Equation (1) [34]
where y is the response, and is the unknown function of response.
are known as independent factors, and n is the number of independent factors.
The independent factors were considered to be continuous and subject to control within the experiments with minimal errors, aligning with the insights presented by [35]. In the subsequent phase, the estimation of coefficients in a mathematical model took place, employing a second-order model or quadratic equation. This mathematical model serves the purpose of predicting, optimising, and discerning the primary interaction factors, namely the independent factors, and elucidating their impact on gas power plant efficiency, as depicted in Equation (2) and as stated by [36]
where and are coded independent factors, and y denotes thermal efficiency, power output and specific fuel consumption, recognised as the dependent variable or response. The coefficients include as the constant term, and for the linear and quadratic effects, respectively, and for interaction effects. k signifies the number of independent factors, while accounts for the random error inherent in the experiment.
The coefficient of determination, R2, serves as an indicator of the polynomial’s fit quality. The model’s performance was assessed through a thorough analysis of the results using an ANOVA. The selection of predetermined independent factors for the experiments was grounded in their reported impact on gas power plant efficiency.
The data derived from the RSM are underpinned by 30 experimental runs, as outlined in Equation (3) [37].
nc signifies the repeated number of experiments at the centre points. The total comprises the conventional 2k factorial, centred around the origin. This design allows for the generation of a quadratic number of independent factors, as elucidated.
2.3. Thermodynamic Modelling of the Gas Power Plant
The enhancement of the network output in a gas turbine cycle can be achieved by mitigating the negative work, specifically the compressor work. One approach for minimising compression work, as outlined by [38], involves employing a multistage compression process with intercooling. The gas power plant encompasses components such as a low-pressure compressor (LPC), an intercooler, a high-pressure compressor (HPC), a combustion chamber and a turbine [39]. Intercooling is an important feature of gas turbine power plants in which compressed air is cooled between compression stages before entering the next stage of compression. Intercooling lowers the temperature and specific volume of the air, causing less work to be required for further compression. This leads to a substantially greater plant net-power output. Since compression is generally the most energy-demanding process in a gas turbine, the reduction in heat buildup through intercooling reduces the overall workload, hence enhancing the efficiency of the entire system. Specifically, the intercooler, which is a heat exchanger, transfers heat to a cooling medium, which reduces the work of compression. This reduction is shown in the form of a smaller area under the pressure–volume (p-V) curve and, hence, leads to the enhancement of the overall net power output. Intercooling also cools the high-pressure compressor inlet temperature and helps to preserve the efficiency and lifespan of important components of the gas turbine, which is crucial for uninterrupted long-term operation. Implementing intercooling can significantly boost the power output of a gas turbine, cost of operation and overall plant performance, which are vital to modern energy systems [40].
For a constant compression ratio, an elevated inlet temperature corresponds to an augmented demand for compression work, and conversely, a lower inlet temperature reduces this requirement. The thermodynamic processes integral to multistage intercooled compression are delineated in Figure 2.
Figure 2.
Schematic diagram of a gas turbine cycle featuring intercooling [28].
In the initial stage, air compression transpires in the LPC. The compressed air, exiting the LPC at state ‘2’, proceeds to the HPC and undergoes cooling in the intercooler. Here, the compressed air temperature diminishes to state ‘3’ at a constant pressure. In the case of perfect intercooling, states ‘3’ and ‘1’ share identical temperatures, an indication of compression in two stages. As a result of this two-stage compression, the compressed and cooled air exhibits a reduced volume. This enables the compression to be conducted in a more compact compressor, thereby necessitating less energy. Consequently, the introduction of an intercooler leads to a decrease in the work required for compression. While intercooling amplifies the net output, it is essential to acknowledge that the heat supplied, when intercooling is present, surpasses that in a single-stage compression scenario. Therefore, although the net output experiences an upswing, thermal efficiency tends to decline due to the added heat supply.
The tangible impact of intercooling on compression work is visually evident in the p-V diagram, exemplified by area 2342 in Figure 3a. Area 2343’ represents the work saved due to intercooling between the compression stages, as seen in Figure 3a [38].
Figure 3.
(a) p-V diagram. (b) T-S diagram.
2.4. Analysis of Gas Turbines Power Plant with Intercooler
This study focuses on a regenerative gas plant that incorporates both reheating during the expansion cycle and intercooling during the compression cycle. The synergy of these processes results in a noteworthy enhancement of both network output and thermal efficiency.
The intercooler effectiveness is denoted as ε, the compressor efficiency as and the turbine efficiency as . Both the ideal and actual processes are illustrated with dashed and full lines, respectively, in the T-S diagram in Figure 3b. These parameters, expressed in terms of temperature (Equations (4) and (5), are defined according to [41]
Here, denote the efficiency of the low- and high-pressure compressors, respectively.
The work necessary to operate the compressor is expressed in Equation (6):
Ref. [42]’s method was used to calculate the specific heat of the air, as shown in Equation (7).
The turbine’s output was determined using Equations (8) and (9), as suggested by [43].
where is referred to as the turbine inlet temperature.
The network was determined using Equation (10). The network compares the generated energy with compression and other losses, and the net output depends on the pressure ratio, ambient temperature and effectiveness of the intercooler. Decreasing the level of compression work, through intercooling or optimal pressure ratios, increases the energy that is available for power generation.
Since the combustion chamber functions on the principle of heat transfer from fuel to air, Equation (11) can be simplified to reflect this specific scenario. In essence, all the heat energy provided by the burning fuel is absorbed by the incoming air.
where is the mean specific heat capacity at constant pressure for the gas mixture (kJ/kg·K).
Equation (10) was used to determine the power output, as stated by [44].
The air-to-fuel ratio (AFR) was calculated based on Equation (13) [14].
Additionally, sfc was determined through:
where is denoted as the air mass flow rate, LHV represents the higher heating value and AFR signifies the air–fuel ratio.
The thermal efficiency of the cycle was obtained using Equation (15) and was stated by [14].
The specific heat of the gas is 1.148, and its specific heat ratio is 1.326. As for air, its specific heat is 1.005 kJ/kg·K, with a specific heat ratio of 1.38.
This investigation looks at refining the operational variables in a gas turbine power plant utilising an intercooler while employing the RSM in conjunction with the CCD. The purpose is to optimise energy creation and raise the thermal and exergy efficiencies while lowering the specific fuel demands. Here, we present important procedures carried out during the study, including establishing a model and determining the experimental factors.
2.5. Design of ANFIS Models for Analysis of Gas Turbines Power Plant with Intercooler
2.5.1. ANFIS
The core of the methodology begins with ANFIS, a model that integrates neural network learning with fuzzy logic. ANFIS can effectively model the complex, nonlinear relationships between the gas turbine’s operating parameters such as pressure ratio, intercooler effectiveness and ambient and turbine temperatures and responses such as power output, thermal efficiency and specific fuel consumption by adapting its structure based on data patterns. This adaptability is essential in gas turbine power plant settings, where environmental and operational conditions vary widely [45]. Using historical data, ANFIS learns to associate different combinations of operating parameters, such as pressure ratio, ambient and turbine temperatures with specific power output, thermal efficiency and specific fuel consumption levels. The model does this by generating fuzzy if–then rules that map input variables to output predictions.
The input/output membership functions describe how inputs (e.g., pressure ratio, ambient temperature, turbine inlet temperature and intercooler effectiveness) are related to the outputs, such as power output, thermal efficiency and sfc. The inputs are assigned degrees of truth by membership functions building up fuzzy rules such as “If pressure ratio is high then thermal efficiency is high”. Rule generation combines input combinations to find out the probable outputs; the model adjusts the parameters while using the training data to reduce the error margin. Through incorporating these operational parameters, ANFIS helps to model interactions that result in improvements in the prediction accuracy of key performance aspects, such as output power, thermal efficiency and sfc of gas turbine power plants under diverse conditions. These rules are underpinned by membership functions that assign degrees of truth to each condition, making ANFIS particularly adept at capturing the nuanced dynamics within a gas turbine power plant. During training, ANFIS uses optimisation algorithms to iteratively refine these rules and membership functions to minimise prediction error. ANFIS applies both fuzzy logic and artificial neural networks to model non-linear relationships in data sets of gas turbine power plants.
However, while ANFIS is powerful in adapting to data, its reliance on initial parameters can limit accuracy. The criterion influencing ANFIS’s accuracy is that the initial membership functions and the rule parameters serve as model parameters. Such parameters are generally predefined based on heuristic or domain-specific knowledge. If the initial parameters are not well chosen or do not contain an adequate level of variance for the equations in the data set, the model may converge to a suboptimal solution. This sensitivity to initial conditions also results in a lower ability to predict in systems with high complexity or noise where the relationships between inputs and outputs are less well-defined or highly non-linear [46].
To address this, the methodology incorporates optimisation techniques, namely PSO and GA, to further refine ANFIS’s structure and boost its performance [18]. Gas turbines exhibit relations between different parameters, which are rather non-linear, and the interaction between different parameters may not be easily separable. That is why the inclusion of PSO and GA are beneficial in ANFIS framework.
2.5.2. ANFIS-PSO: Improved Tuning Using PSO
The ANFIS limitation was addressed by setting up the initial parameters. PSO is then integrated, hence, reducing the parameter optimisation problem. PSO is a global optimisation technique that is based on the social model, particularly bird flocking. It can manage optimisation problems featuring large numbers of search variables with non-linear qualities. Therefore, using it within the ANFIS framework makes sense to fine-tune the best set of parameters for the present work.
In the ANFIS-PSO model, the PSO algorithm was used to identify the optimal membership function and rule parameters that act as a base for ANFIS. The process began by creating a swarm of particles, where a particle represented a possible solution. These particles search and move through the solution space according to their own best solutions stored within them (local best) and the best solutions found by all the particles in the search space (global best) in order to minimise a fitness function, i.e., the mean squared error between the predicted and actual power output [47].
As the cost function of the PSO, the mean absolute error decreases in each iteration, as the system adapts to new particle positions. This fine-tuning enabled the ANFIS-PSO model to predict higher accuracy compared to the classical ANFIS model because of the PSO-enabled adjustment of the network parameters to optimise the model during the dynamic conditions of gas turbine power plants in the real-time operational space. Optimisation of the PSO results leads to a more effective adaptation of ANFIS to alterations in parameters like pressure ratio or turbine inlet temperature settings with regard to the prediction of power output, thermal efficiency and sfc.
2.5.3. ANFIS-GA: Optimisation with GA
Here, GA is embedded to develop the ANFIS-GA model to improve the model. GA is an evolutionary optimisation technique that is based on the natural selection that can be used to optimise the solution space and for finding the best solution in an oversised structure, such as gas turbine power plants.
In ANFIS-GA, only GA is used to optimise the same membership functions and rule parameters as in ANFIS-PSO, but the best situation will be generated and evolved from a population. Each of these individuals will be associated with a specific set of parameters of ANFIS, and the population is optimised through selection, crossover and mutation operations [48]. The best solutions are selected based on fitness (prediction accuracy) for replicating all population sizes, while crossover recombines the attributes of two parent solutions into offspring that potentially excel the parents, and mutation enforces random changes to prevent the drifting of the population. GA evolves over numerous generations to get the closest-possible parameters to an optimal solution, in terms of the accurate tuning of ANFIS-GA, for enhanced predictive capability [49]. The ANFIS-GA model stands out as the most useful in circumstances where the conditions are ever-changing. It can model potential dependencies between them, where trends much more sophisticated than simple direct correlations may apply to the power output, thermal efficiency and sfc of gas turbine power plants.
2.5.4. Evaluation and Comparison of Actual and Predicted Models
After developing the ANFIS, ANFIS-PSO and ANFIS-GA models, their results are compared in terms of predictive accuracy and reliability. As for the evaluation criteria to estimate each model’s performance, root mean square error (RMSE) and mean absolute error (MAE), which reflect how close the predicted curves are to the actual power output, thermal efficiency and sfc data are applied. Normally, the two hybrid models that have been proposed here, namely ANFIS-PSO and ANFIS-GA, should outperform the ANFIS model, since optimum values of some of the parameters are incorporated in the model. To examine the generality of the models, a k-fold cross-validation technique is also used, whereby the data set is divided into K subsets and the model is trained and tested k times on the subsets. This approach makes it possible to establish whether the models are overtrained on one part of a given dataset, hence guaranteeing their real-world application [24].
3. Results
3.1. Experimental Design Matrix and Corresponding Responses
The experimental design presented in Table 1 examines the relationship between four key operational parameters: rp, T1, T3 and ε. These parameters were then manipulated in sequence to study their effects on the power output and thermal efficiency of the gas power plant. The maximum power output (165 MW) of the gas turbine was obtained at a pressure ratio of 25 and an ambient temperature of 293 K, with the turbine inlet temperature at 1550 K and an intercooler effectiveness of 55%. This combination equally relates to how a high-pressure ratio and low ambient temperature increase the rating of the power plant. Additionally, thermal efficiency peaked at 47.8% under slightly different conditions: different at a pressure ratio of 25 with an ambient temperature of 293 K, a turbine inlet temperature of 1550 K and an intercooler effectiveness of 95%. Likewise, a maximum sfc of 0.35 kg/kWh was observed at a rp of 5, a T1 of 313 K, a T3 of 1150 K, and an ε of 95%. This indicates that, although enhancements of the intercooler improve thermal efficiency, it slightly lowers the power rating because of compressor deterioration. The results showed that elevating the pressure ratio enhances the power output, with values obtained between 121 MW and 165 MW. It also became evident that the overall temperature or low ambient conditions have a further advantage in both power output and thermal efficiency due to the low intake air temperature compressor workload. Hence, optimum energy conversion occurs. Moreover, these temperatures constantly result in higher power generation and more thermal energy is available for expansion in turbines. When coupled with high levels of pressure ratio, operational thrust and thermal efficiency are enhanced.
Table 1.
Experimental design matrix and the corresponding responses.
3.2. Statistical Model Development for Power Output and Thermal Efficiency
Equations (16)–(18) delineate the mathematical model employed for predicting responses, while Table 2, Table 3 and Table 4 provide a summary of the outcomes derived using an analysis of variance (ANOVA). This comprehensive analysis assesses the influence of individual and interactive factors on the responses. In this study, the choice of employing the quadratic model to the CCD technique is justified by its recognised suitability for optimisation [47].
Table 2.
ANOVA for reduced quadratic model for power output (P).
Table 3.
ANOVA for reduced quadratic model for thermal efficiency ().
Table 4.
ANOVA for reduced quadratic model for specific fuel consumption (sfc).
In Table 2, the ANOVA results for power output show a significant model, with an F-value of 14.55 and a p-value of less than 0.0001, indicating a reliable model. Key contributors to power output include the pressure ratio (A), ambient temperature (B), turbine inlet temperature (C) and intercooler effectiveness (D). The interaction effects between ambient temperature and pressure ratio (AB), as well as the interaction between ambient temperature and intercooler effectiveness (BD), were also significant. The model demonstrates a high R2 value of 0.979, meaning that 97.9% of the variability in power output is explained by the model. The adequate precision score of 10.03 further reinforces the strong signal-to-noise ratio, indicating a robust model.
Similarly, Table 3 shows the ANOVA results for thermal efficiency, where the model is also highly significant, with an F-value of 20.54 and a p-value of less than 0.0001. The pressure ratio, ambient temperature, turbine inlet temperature and intercooler effectiveness all significantly influence thermal efficiency. Additionally, interactions between pressure ratio and turbine inlet temperature (AC) and pressure ratio and intercooler effectiveness (AD) were found to be significant. The R2 value of 0.987 indicates that the model accounts for 98.7% of the variation in thermal efficiency, while the adequate precision of 14.57 supports the model’s reliability.
Table 4 also gives the ANOVA results of the reduced quadratic model for sfc. The results show that the model fits the data: F = 12.98 and p < 0.0001, which means that, overall, the included factors play an important role in determining sfc. Based on the results of the analysis shown in Table 4, several variables and the interrelationships between them are considered noteworthy. The pressure ratio (A) and turbine temperatures (C) show particularly high impact, with p-values of 0.0017 and 0.0011, respectively. Temperature (B) and intercooler effectiveness (D) further influence sfc, with p-values of 0.0017 and 0.0059, respectively. Moreover, the effects of pressure ratio on AB and BC on turbine temperature and BD on intercooler effectiveness were also significant, indicating that these variables depend on one another in some manner. The model shows a good fit based on the performance criteria, such as MAE = 0.945, RMSE = 1.191 and R2 = 0.972, signifying that a 97.2% variance of sfc is accounted for by the model.
It is established that all the models are very consistent compared to the mean given by the low coefficients of variation (CV%), with 4.41% for power output, 2.53% for thermal efficiency and 4.86% for specific fuel consumption, confirming the models’ precision and reliability in predicting the outcomes. Furthermore, the lack of fit values for both models was not significant, supporting the models’ accuracy in representing the experimental data. The p-values are lower than 0.05, which indicates a good signal-to-noise ratio of adequate precision values of 10.03 and 14.57, respectively. Also, the R2 values of 0.979 for power output and 0.987 for thermal efficiency indicate a very good model fit and its capacity to replicate the experiment data. The lack-of-fit test yields a p-value of 0.9515 (Table 4), suggesting no significant systematic errors, which supports the model’s validity for the data.
Overall, the results highlight the model’s accuracy in analysing sfc while emphasising the importance of individual factors and their interactions. The adjusted R2 shows the degree of variance of the independent factors and the predicted R2 degree to which a model accurately predicts new observations. The fluctuations between these two results have about a difference of 0.20, which signifies good model conformity. Regarding power output, there is a good agreement, with a 0.12 difference between the adjusted R2 (0.9098) and the predicted R2 (0.7898). Also, in the case of thermal efficiency (Table 3), the predicted R2 (0.9347) is closely matching with the adjusted R2 (0.8047), with a difference of 0.13. The model has been found to be non-arbitrary, consistent and capable of reproducing the data of the experiment. Likewise, for sfc (Table 4), the adjusted R2 of 0.8995, which is fairly high for the model, considered the number of predictors in the data. In addition, the high value of the adjusted R2 of 74.95% proves that the model is also highly predictive. Moreover, an adequate precision value of 9.734 means that it has a good signal-to-noise ratio.
where the variables P, η and sfc denote power output (in MW), thermal efficiency (as a percentage) and specific fuel consumption (in kg/kWh), respectively. Additionally, A, B, C and D represent the coded factors associated with pressure ratio (rp), ambient temperature (in Kelvin), turbine inlet temperature (in Kelvin) and intercooler effectiveness (ε), respectively. It is important to note that a positive (+) sign in the mathematical model signifies a synergistic effect, while a negative (−) sign indicates antagonistic effects. For example, higher pressure ratios (A) in the compressors cause air temperatures to rise so that the energy needed for compression may be high, and hence, this decreases the efficiency that comes with higher turbine inlet temperatures (C). While turbine inlet temperatures enhance thermal efficiency, there is some loss due to compressor work, owing to pressures at higher levels. This negative interaction shows that the pressure ratio and the turbine inlet temperature have to be optimised, such that further increases will not reduce efficiency drastically. This modelling reflects their influencing interactions to enhance the functionality and efficiency of the gas turbine within these systems.
3.3. Influence of Individual Parameters on the Performance of the Gas Power Plant with Intercooler
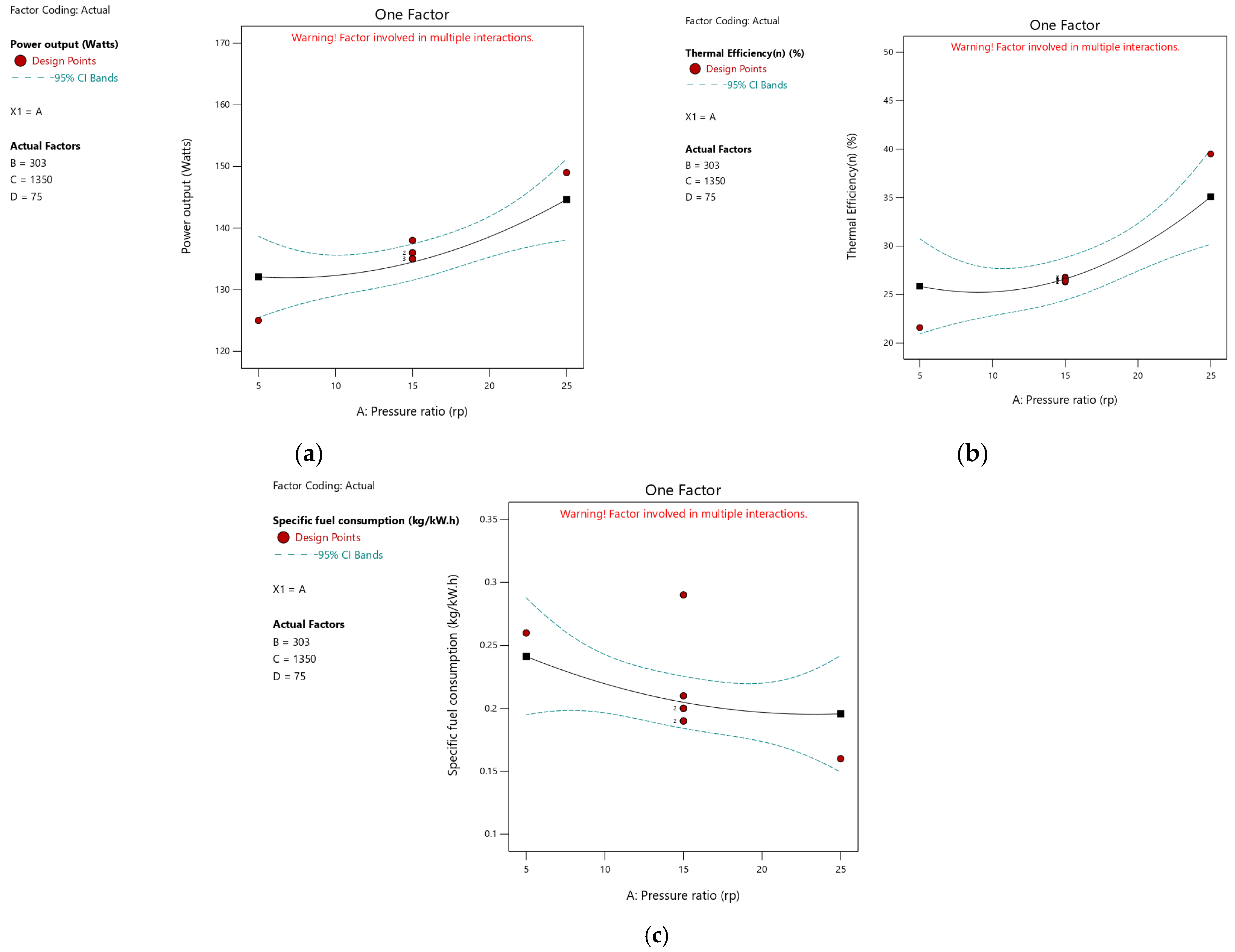
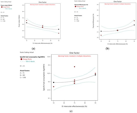
The impact of different operational parameters for the gas power plant with an intercooler is illustrated in Figure 4, Figure 5, Figure 6 and Figure 7. The values are useful in order to enhance the effects of these parameters on the performance of the gas power plant. The effect of pressure ratio on power output and thermal efficiency is depicted in Figure 4. With an increase in pressure ratio from 5 to 30, the power output rises. This rise is due to the improvement of the energy, which is utilised to expand with the increased pressure ratio, thus making the expansion process of the gas in the turbine more efficient. Likewise, the thermal efficiency of the cycle varies from 25% at the lower pressure ratio of 15 to over 45% at the pressure ratio of 30. This illustrates how it is possible to raise both the power and the efficiency of a gas turbine by the rising pressure ratio.
Figure 4.
Influence of pressure ratio on the (a) power output, (b) thermal efficiency and (c) specific fuel consumption.
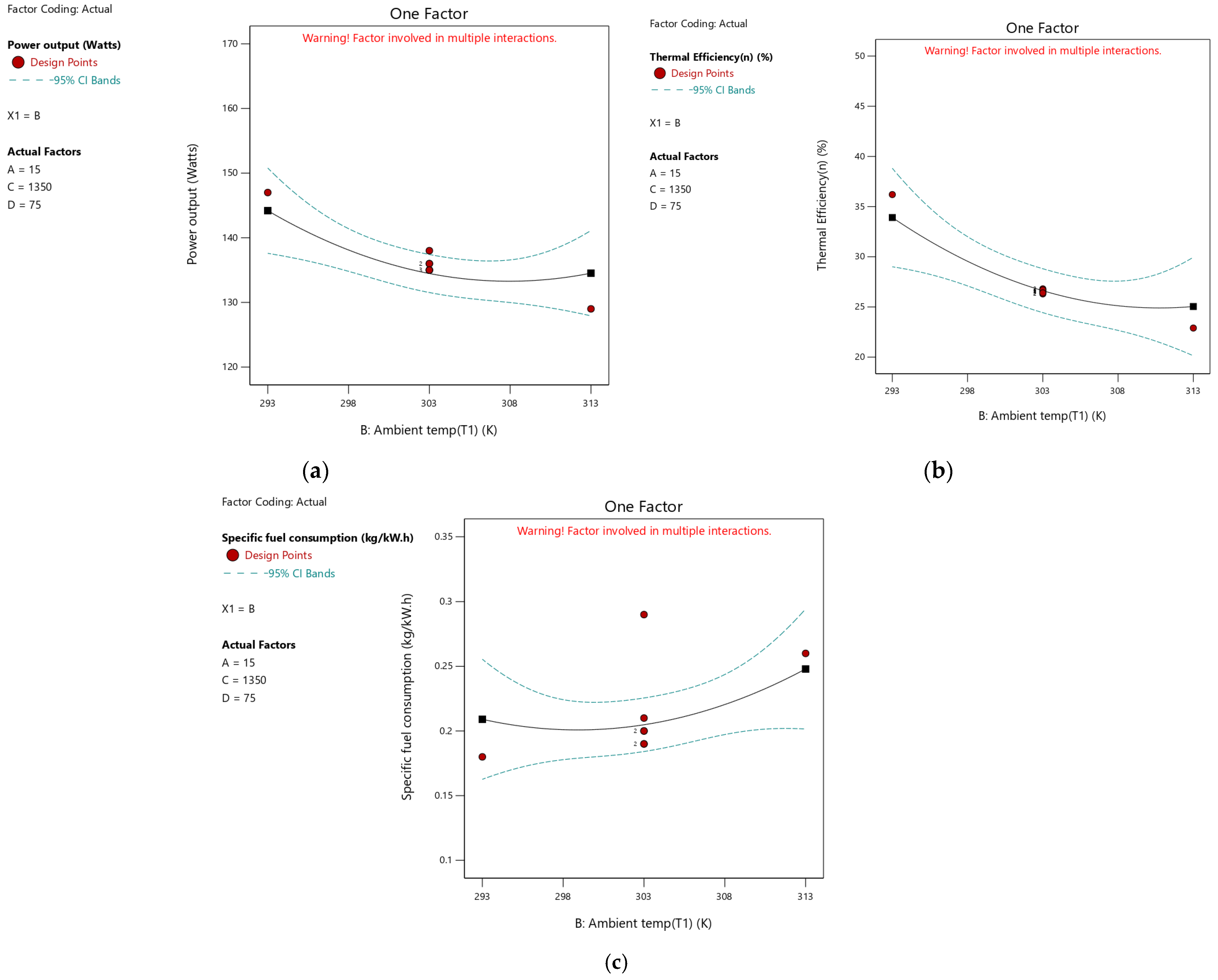
Figure 5.
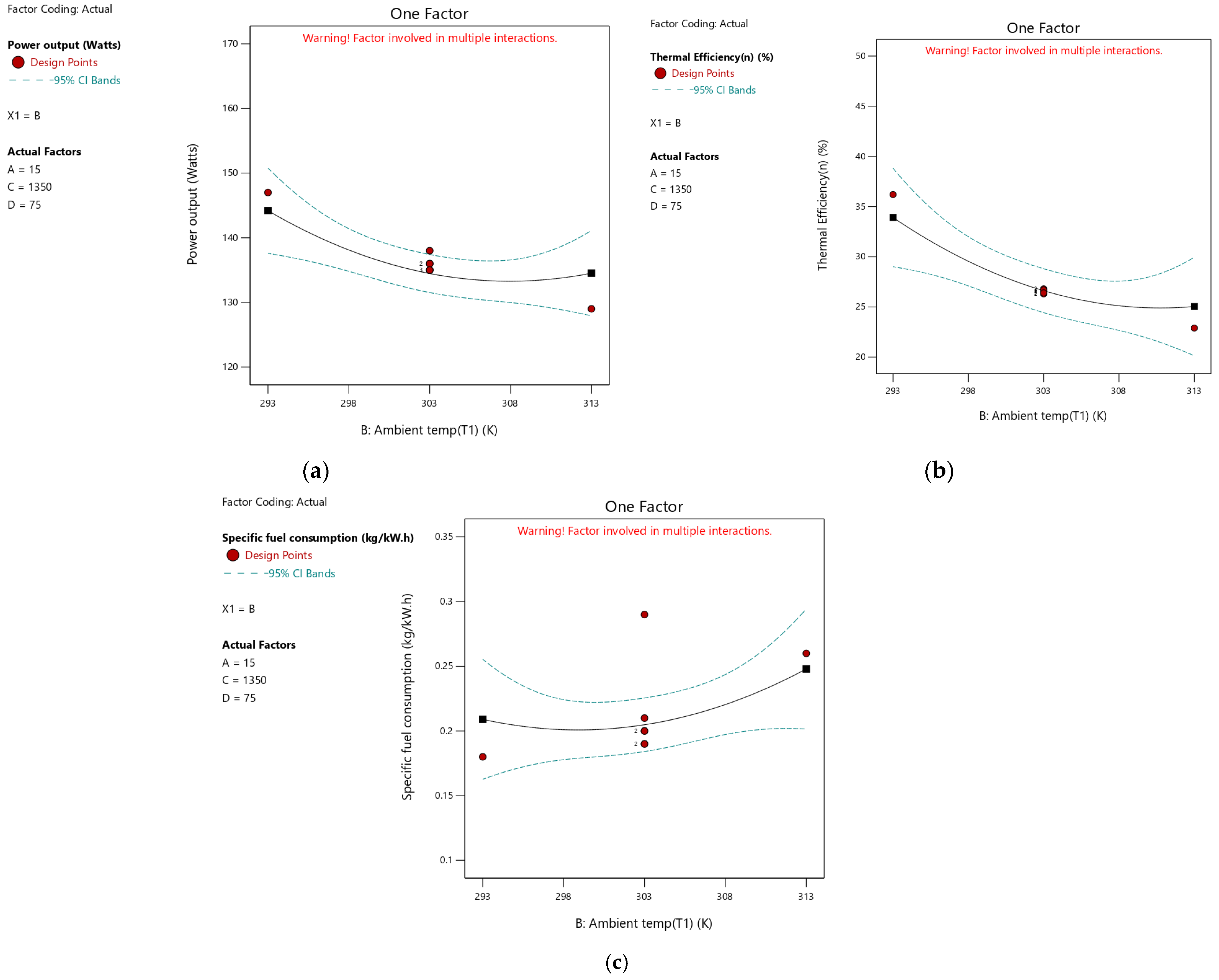
Influence of ambient temperature on the (a) power output, (b) thermal efficiency and (c) specific fuel consumption.
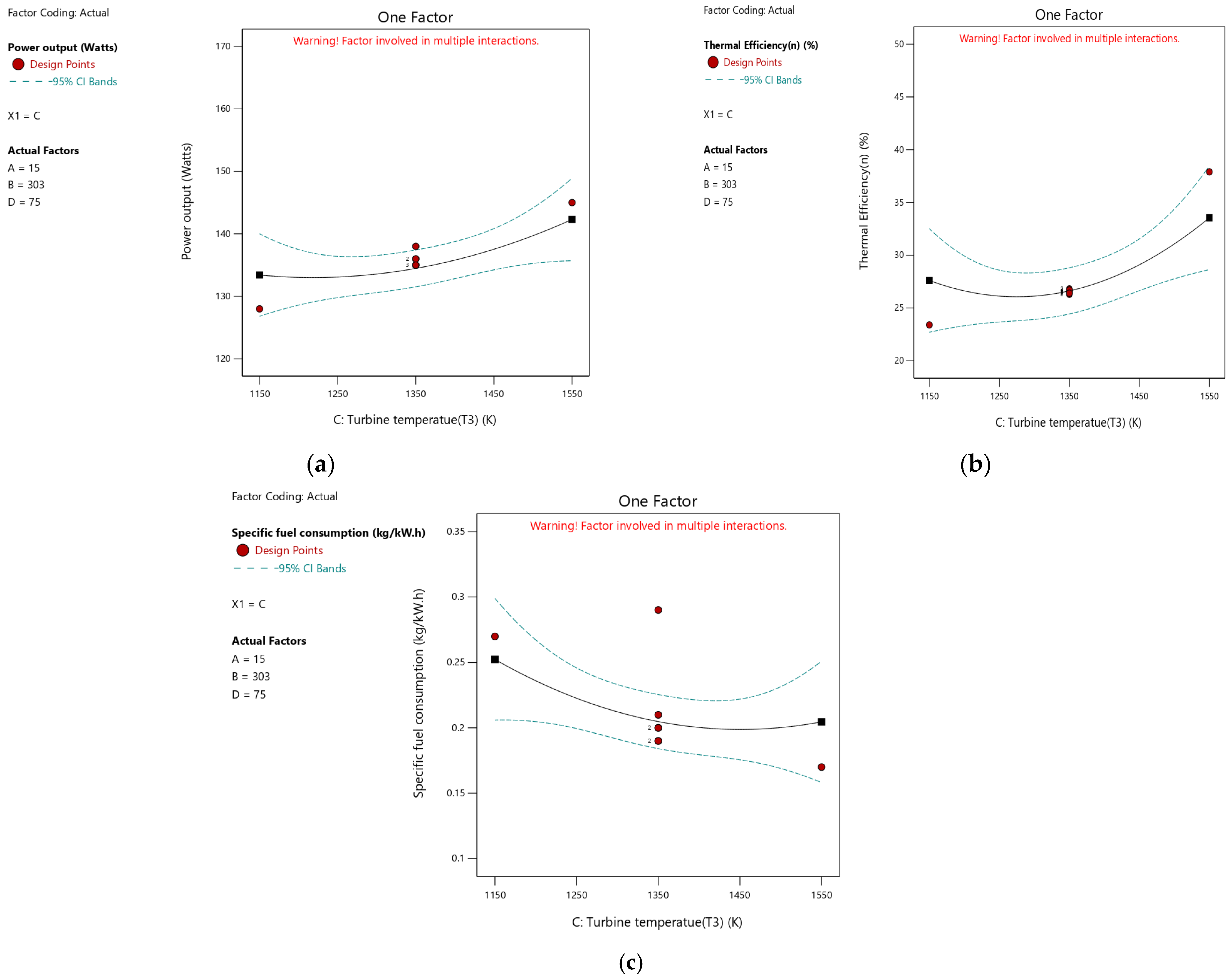
Figure 6.
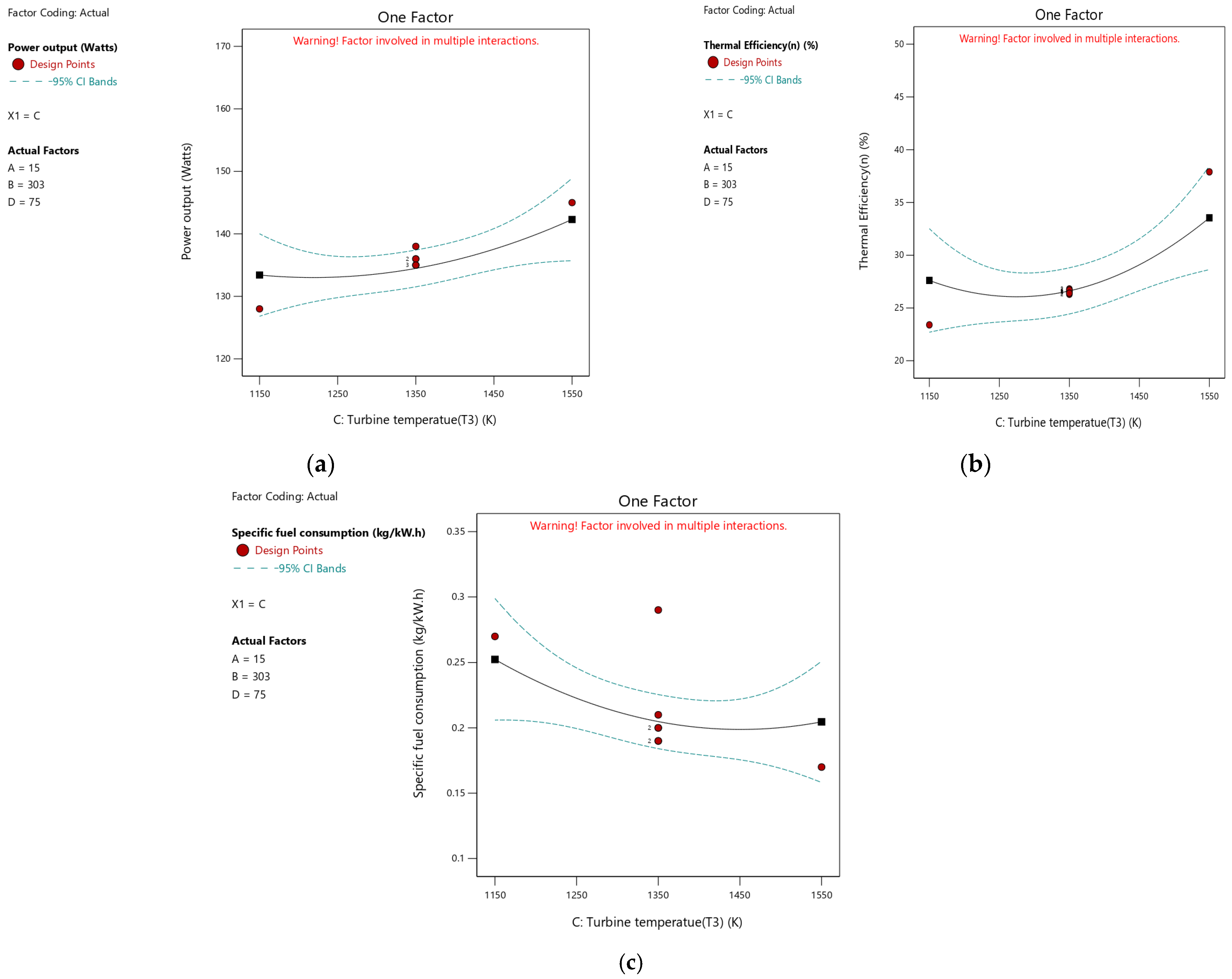
Influence of turbine inlet temperature on the (a) power output, (b) thermal efficiency and (c) specific fuel consumption.
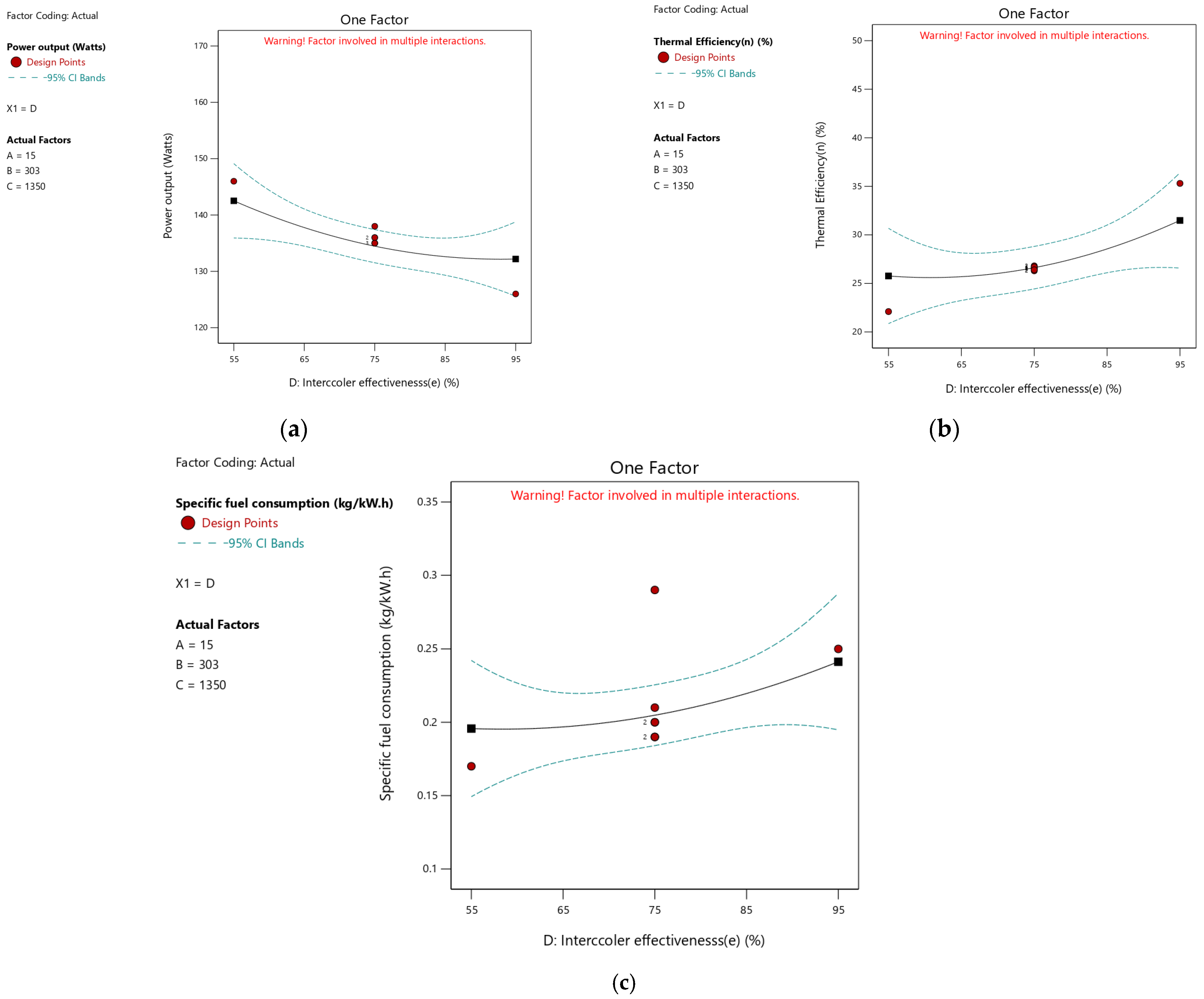
Figure 7.
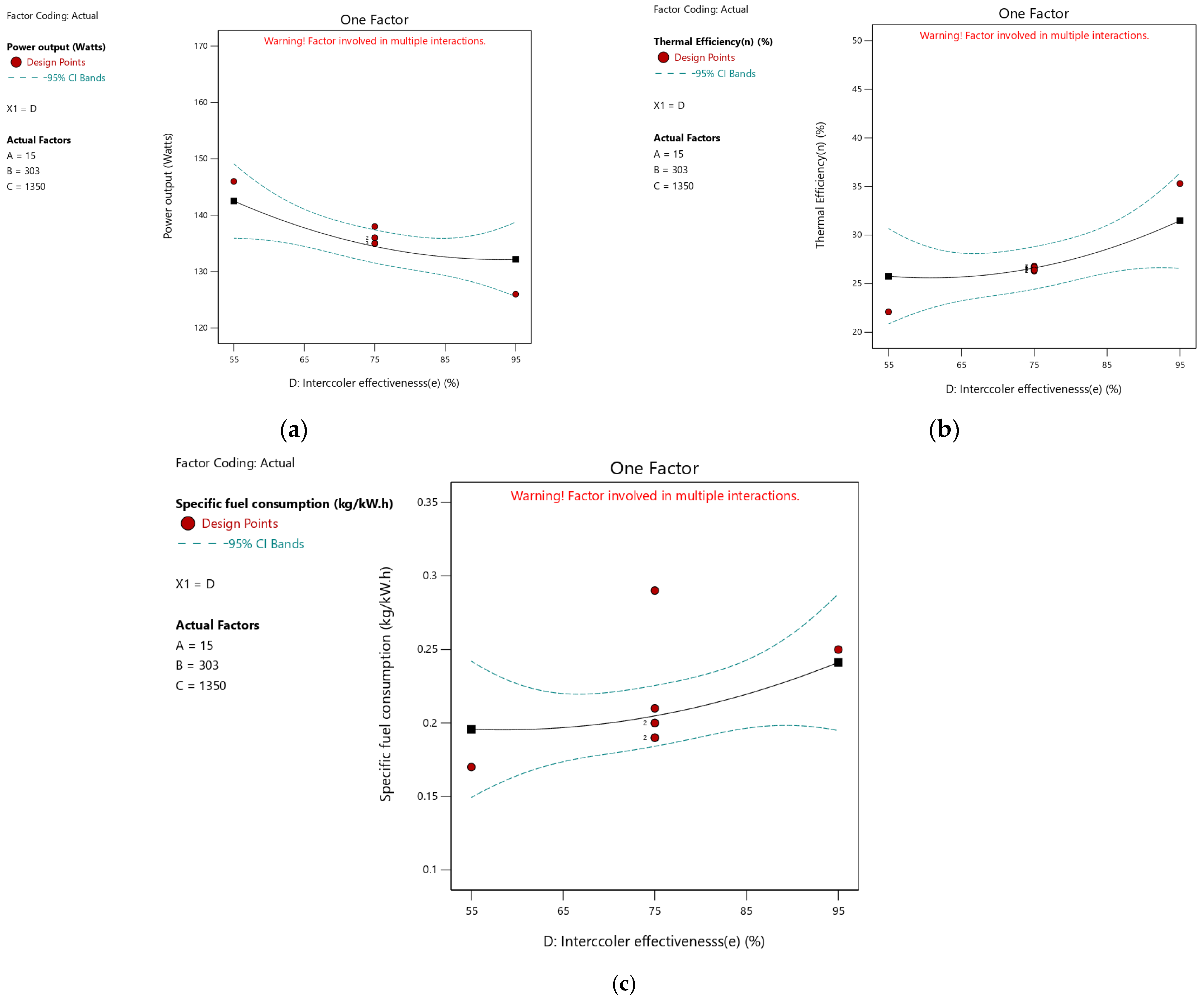
Influence of intercooler effectiveness on the (a) power output, (b) thermal efficiency and (c) specific fuel consumption.
Figure 5 shows the effect of ambient temperature on power output and thermal efficiency. The power output reduces with the increase in ambient temperature, ranging from 15 °C up to 45 °C. The power output from the temperature range of 15 °C is equivalent to 240 MW, while that from a 45 °C temperature is around 160 MW. This inverse correlation between the ambient temperature and power output is due to the fact that, as the temperature increases, the work needed to compress the air decreases the energy available for power generation. With the increase in ambient temperature, the thermal efficiency of the gas turbine follows the decline manner and is below 40% at 15 °C and below 30% at 45 °C. It was observed that lower ambient temperatures increase both power and thermal efficiency, underlining the desirability of operating the gas turbine in cooler surroundings.
The effect of turbine inlet temperature on power output and thermal efficiency is shown in Figure 6. The power of the gas turbine increases significantly from 150 to 300 MW as the turbine inlet temperature rises from 1100 to 1600 K. This increase results from the higher thermal energy available for expansion at higher turbine inlet temperatures, a factor that greatly enhances the power produced. The thermal efficiency also rises and goes from about 30% with 1100 K to over 50% with 1600 K. This indicates that substantial improvements in both the power produced and thermal efficiency can be realised just by improving the turbine inlet temperatures.
The effect of intercooler effectiveness on power output and thermal efficiency is also depicted in Figure 7. An increase in the intercooler effectiveness from 0.5 to 1.0 and slightly reduced the power output from 200 to 180 MW. It was due to the production of less-energetic compressed air due to more heat extracted from the compressed air, leaving it with less energy to work in the turbine. But with the increase of intercooler effectiveness, the thermal efficiency increased from 35 to 45%. Thus, even though the intercooler’s effectiveness enhances the efficiency of the system, it must be balanced to prevent excessive minimisation of the power output. Conversely, a gradual increase in ambient temperature and intercooler effectiveness (ranging from 293 to 313 K and 55% to 95%, respectively) correlated with a rise in specific fuel consumption, ranging from 22.1 to 47.8 kg/kW·h, as the total pressure ratio decreased from 25 to 5 [41].
3.4. Influence of Two Most Significant Factors on the Performance of the Gas Turbine Power Plant with Intercooler
Figure 8, Figure 9, Figure 10, Figure 11, Figure 12, Figure 13 and Figure 14 present 3D response surface plots and 2D contour plots of the interdependence of the crucial parameters that influence the gas turbine power plant’s performance. This inverse relationship between the pressure ratio and the effectiveness of the intercooler shows that, while the intercooler cools the air by lowering the compressor’s work, the intercooler is also capable of increasing the power output whenever the pressure ratio is raised.
Figure 8.
(a) 3D surface plot of power output (MW) against pressure ratio and ambient temperature (K); (b) 2D contour plot of power output (MW) against pressure ratio and ambient temperature (K).
Figure 9.
(a) 3D surface plot of power output (MW) against ambient temperature and intercooler effectiveness (%); (b) 2D contour plot of power output (MW) against ambient temperature and intercooler effectiveness (%).
Figure 10.
(a) 3D surface plot of thermal efficiency (%) against pressure ratio (rp) and turbine inlet temperature, and (b) 2D contour plot of thermal efficiency (%) against pressure ratio (rp) and turbine inlet temperature.
Figure 11.
(a) 3D surface plot of thermal efficiency (%) against pressure ratio and intercooler effectiveness (ε), and (b) 2D contour plot of thermal efficiency (%) against pressure ratio and intercooler effectiveness (ε).
Figure 12.
(a) 3D surface plot of specific fuel consumption (kg/kW·h) against pressure ratio and ambient temperature (K), and (b) 2D contour plot of specific fuel consumption (kg/kW·h) against pressure ratio and ambient temperature (K).
Figure 13.
(a) 3D surface plot of specific fuel consumption (kg/kW·h) against ambient temperature (K) and turbine temperature (K), and (b) 2D contour plot of specific fuel consumption (kg/kW·h) against ambient temperature (K) and turbine temperature (K).
Figure 14.
(a) 3D surface plot of specific fuel consumption (kg/kW·h) against ambient temperature (K) and turbine temperature (K), and (b) 2D contour plot of specific fuel consumption (kg/kW·h) against ambient temperature (K) and turbine temperature (K).
The interactive effect of the pressure ratio and the ambient temperature on the power output of a gas turbine power plant is depicted in Figure 8a,b. The figure shows that power output is highly responsive to higher pressure ratios and lower ambient temperatures. When the pressure ratio is 25 and the ambient temperature of 293 K, the power output rises from 130 MW to 147 MW. The maximum output power is found to be 147 MW at constant intercooler effectiveness, and the power output was maximum (147 MW), when the pressure ratio and the ambient temperature were 25 and 1350 K, respectively. On the other hand, lower pressure ratios integrated with higher ambient temperatures translate to a significant loss of power production capability. This inverse-like condition is observed since lower ambient temperatures mean lesser compression load, which improves the energy for expansion in the turbine. The results obtained reflect the need to keep the pressure ratios and ambient conditions at their optimal levels to get the best results from the driving gas turbines. In particular, an increase in pressure ratio enhances the energy conversion efficiency during expansion, while low ambient temperatures decrease the compressor’s energy requirements. This synergy also confirms that power generation is optimised under certain operating conditions.
The interactions of pressure ratio and intercooler effectiveness in determining power output are depicted in Figure 9a,b. The results depict that the power output is optimum when the pressure ratio rises from 5 to 25, and the effectiveness of an intercooler decreases from 95% to as low as 55%. The results obtained for the present power plant indicate that the maximum power output of 145 MW was obtained at a turbine inlet temperature (TIT) of 1350 K and ambient temperature of 303 K. These results indicate that, even though the intercooling minimises the compressor work, there is no significant effect of increased intercooler efficiency (e.g., 95%), due to the reduced thermal energy available for turbine expansion. When the intercooler effectiveness decreases to around 55% and power output rises, more thermal energy is conserved for turbine work. This clearly shows problems with air-cooled intercooler efficiency, which depends on gas turbine operating parameters such as pressure ratio and ambient temperature. The main function of an intercooler is to cool the compressed air between the stages of compressing so that its temperature and specific volume are decreased, thus lowering the compressor work and improving the thermodynamic efficiency. However, very efficient intercooling certainly reduces the temperature of the air entering the combustion chamber and, hence, reduces the thermal energy needed to expand the turbine. Since the turbine produces power by expanding hot gases, a low inlet temperature results in low amounts of energy being required for conversion into mechanical work, thereby decreasing power output. Consequently, high effectiveness in the intercooler leads to a higher efficiency in the compressor and thermal efficiency, but it has negative impacts on the efficiency of a turbine. The range of optimal intercooler effectiveness (55–95%) balances the trade-off between these two effects and provides increased efficiency and sufficient power output. These findings show the necessity for tactful optimisation of the intercooler’s characteristics and the stability of the required operating parameters to provide the maximum power in gas turbine combined cycles [50].
Figure 10a,b shows the interactive influences of turbine inlet temperature and pressure ratio on the thermal efficiency of the power plant gas turbine. It was observed that thermal efficiency rises with higher turbine inlet temperatures and pressure ratios. The optimum value of thermal efficiency of 47% was observed for a TIT with a 1550 K pressure ratio of 25 and a constant ambient temperature of 293 K but with an intercooler effectiveness level of 95%. The results demonstrate that, at lower pressure ratios, the efficiency of the power plant is moderate. However, above a pressure ratio of 15, the plant efficiency becomes steeper. This is attributed to the fact that a greater TIT offers more thermal energy for the expansion stage in the turbine and, hence, better energy conversion. The finding emphasises that high values of TIT and pressure ratios ensure that the gas turbine operates at the highest level of thermal efficiency. However, much care has to be taken to avoid reducing material strength or undergoing stresses due to heat while operating at such high values of the said quantities. Thus, optimisation offers a route for enhancing energy efficiency and sector performance in gas turbine power plants.
The influence of the combination of pressure ratio and intercooler effectiveness on the thermal efficiency is shown in Figure 11a,b. It is realised that the thermal efficiency increases as the pressure ratio is high and, at the same time, isolates the effectiveness of the intercooler. The maximum thermal efficiency of 47.8% was obtained when the pressure ratio was at the maximum of 25, intercooler effectiveness at 55% and with a constant ambient temperature and turbine inlet temperature of 293 K and 1550 K, respectively. The result shows that, although intercooling reduces the work that the compressor performs, extreme cooling reduces the amount of heat that is available for expansion by the turbine, thereby reducing the thermal efficiency. At lower intercooler effectiveness, less heat is removed, and therefore, more work is performed at higher pressure ratios. This finding shows that there is always a trade-off between intercooler effectiveness and thermal efficiency, an indication that there must be a careful balancing of intercooler effectiveness to arrive at an optimum system. Additionally, it reveals that higher pressure ratios are necessary for increased thermal efficiency when the effectiveness of the intercooler is well managed.
The interaction between pressure ratio and ambient temperature on the sfc of a gas turbine power plant is depicted in Figure 12a,b. The study shows that, at a pressure of 15 and ambient temperature of 303 K, sfc is lowest at 0.28 kg/kWh, with a steady TIT of 1350 K and an intercooler efficiency of 75%. Specific fuel consumption increases as the ambient temperature increases and the pressure ratio decreases. This is because an enhanced ambient temperature raises the pressure ratio in compression work, hence, lowering the energy for turbine expansion. Reduced pressure ratios compound the energy losses that are inevitable with the generation of power. Thus, more fuel is consumed per unit of power generated. Hence, the pressure ratios must be kept moderate and ambient conditions stable to maximise fuel economy. Operating at a pressure ratio of 15 balances fuel consumption while maintaining system efficiency, especially for a moderate ambient temperature. Furthermore, maintaining the TIT at 1350 K keeps energy losses negligible, provided the working fluid undergoes expansion, and intercooler effectiveness is set at 75% to give sufficient cooling without massive thermal energy loss. This demonstrates that, under stable turbine inlet conditions, increasing the pressure ratio positively influences fuel efficiency at moderate ambient temperatures.
The effect of ambient temperature and TIT on the sfc of gas turbine systems is depicted in Figure 13a,b. The results demonstrate that, with an ambient temperature increase, the sfc improves, primarily at a lower TIT. A minimum sfc of 0.25 kg/kW·h was obtained with a pressure ratio of 15, a TIT of 1350 K, and an ambient temperature of 293 K. Higher ambient temperatures put a higher load on the compressor stage. Therefore, the energy available for the turbine expansion is lowered, and hence, more fuel is used. This is compounded by a lower TIT, meaning that there is the least thermal energy for conversion into useful work. However, at a TIT of 1350 K, moderate conditions of sfc are achieved while burning fuel efficiently and maintaining maximum energy output. These results underline the need for a high TIT and a moderate pressure ratio to maximise the fuel consumption as ambient conditions change.
Figure 14a,b examines the effect of both ambient temperature and intercooler effectiveness on sfc. The findings show that the sfc rises with an increasing ambient and TIT, especially when both conditions are at a high level. An optimum sfc of 0.25 kg/kW·h was obtained at a pressure ratio of 15, a TIT of 1350 K, and an ambient temperature of about 293 K. More energy is used in relation to air compression at higher ambient temperatures, resulting in less energy being available for turbine expansion and leading to more fuel consumption. Similarly, with a higher TIT, more thermal energy is available for expansion, but the cost, in terms of fuel, required to sustain operations at those conditions is also increased. These results show the relationship between these operating parameters, in which increased temperature offers greater turbine efficiency at the expense of increased specific fuel consumption. The result also shows that, for a low sfc while generating high power, the TIT, ambient temperature and pressure ratio must be set at their optimum level. It became clear that, for best performance, these parameters must be optimised to achieve the best fuel consumption and turbine efficiency.
3.5. Comparison Analysis Between Experimental and RSM Predicted Performance
The RSM was used to analyse the actual and the predicted power output, thermal efficiency and sfc. Table 5, Table 6 and Table 7 provide multiple experimental runs, where each entry was the actual and predicted values with the residual value (actual value minus predicted value). The basic statistical values, such as leverage, Cook’s distance and Studentised residuals, indicate how accurate the model is and how much impact every data unit has. The residuals show to what extent the predicted data are in tandem with the actual data. Small residuals indicate that, overall, the RSM model satisfactorily estimates power output, thermal efficiency and sfc, whereas the point values identified as outliers based on larger Studentised residuals and Cook’s distance values are minor. The power in brackets (Table 5, Table 6 and Table 7) appears when the value of DFFITS exceeds the critical threshold (values) and this means that the observation significantly influences the fitted values of the regression model.
Table 5.
Comparison between actual and RSM predicted values for power output.
Table 6.
Comparison between actual and RSM predicted values for thermal efficiency.
Table 7.
Comparison between actual and RSM predicted values for specific fuel consumption.
The power values are presented in Table 5, where the actual values of power output vary from 121 to 165, and the predicted power output values are close to the actual values, indicating the effectiveness and accuracy of the models. The residuals, which are the differences between the observation and fitted values, are relatively small, and with the exception of a few cases, are less than one. For instance, Run 1, with the residual −4.23, and Run 9 has a greater discrepancy, equal to –6.19. Also, Run 1 and Run 11 have symbols (1) because their DFFITS values are −2.407 and −2.544, respectively, which indicates that these two Runs have significant effect on model prediction. Nevertheless, as has been depicted by the ANOVA analysis (Table 5), there is no statistically significant difference between the actual and the predicted values. The F-value is as low as 2.23 × 10−14, and the p-value equals 1, which means that any variation that was identified does not stem from systematic errors produced by the faulty model (Table 5).
The ANOVA analysis for thermal efficiency is displayed in Table 6, where the actual values of thermal efficiency range between 20.90 and 47.80 and the predicted thermal efficiencies follow the same trend. The results showed that most of the residuals are relatively small, although some runs depict higher deviations. For instance, Run 26 has a residual of 4.41, which means there is a rather high deviation between the actual and estimated values. However, the analysis of variance shows no significant difference between the actual and predicted values for thermal efficiency. The F-value (2.26 × 10−8), as p-value well as the (0.999 88), shows that the probabilities of the model are statistically relevant to the actual values (Table 6). Therefore, comparing the result of incorporated power output with the actual test data and thermal efficiency estimations, it could be obviously concluded that the RSM model has enough accuracy, since there is not a large gap between the actual and predicted values. The observed variations in a few residuals, hence, do not affect the predictability and reproducibility of the model and can be widely used to predict gas power plant performance.
Comparing the variance (Table 7) between groups (actual and predicted means and variances) and within groups (variances of the two data sets) shows a very low F-value (almost equal to zero) and a p-value of 0.983, suggesting that there is no significant difference between the actual and the predicted values. Such a high value of P implies that the model prediction is highly accurate, and the result of the model matches with the actual data. Aslo, Run 7 is indicated by (2) due to the very high DFFITS of 4.116, which means that this run has significantly impacted the fitted models.
Figure 15a–c shows the comparison between the predicted and experimental values for power output, sfc and thermal efficiency of the gas turbine via RSM. The existence of this strong correlation confirms the effectiveness of the RSM in modelling the intricate thermodynamic and operating interactions in a gas turbine system. Therefore, the model’s ability and reliability to predict gas turbine power plant performance affirm its usefulness for optimising the operational conditions.
Figure 15.
Actual vs. predicted (a) power output, (b) thermal efficiency and (c) sfc.
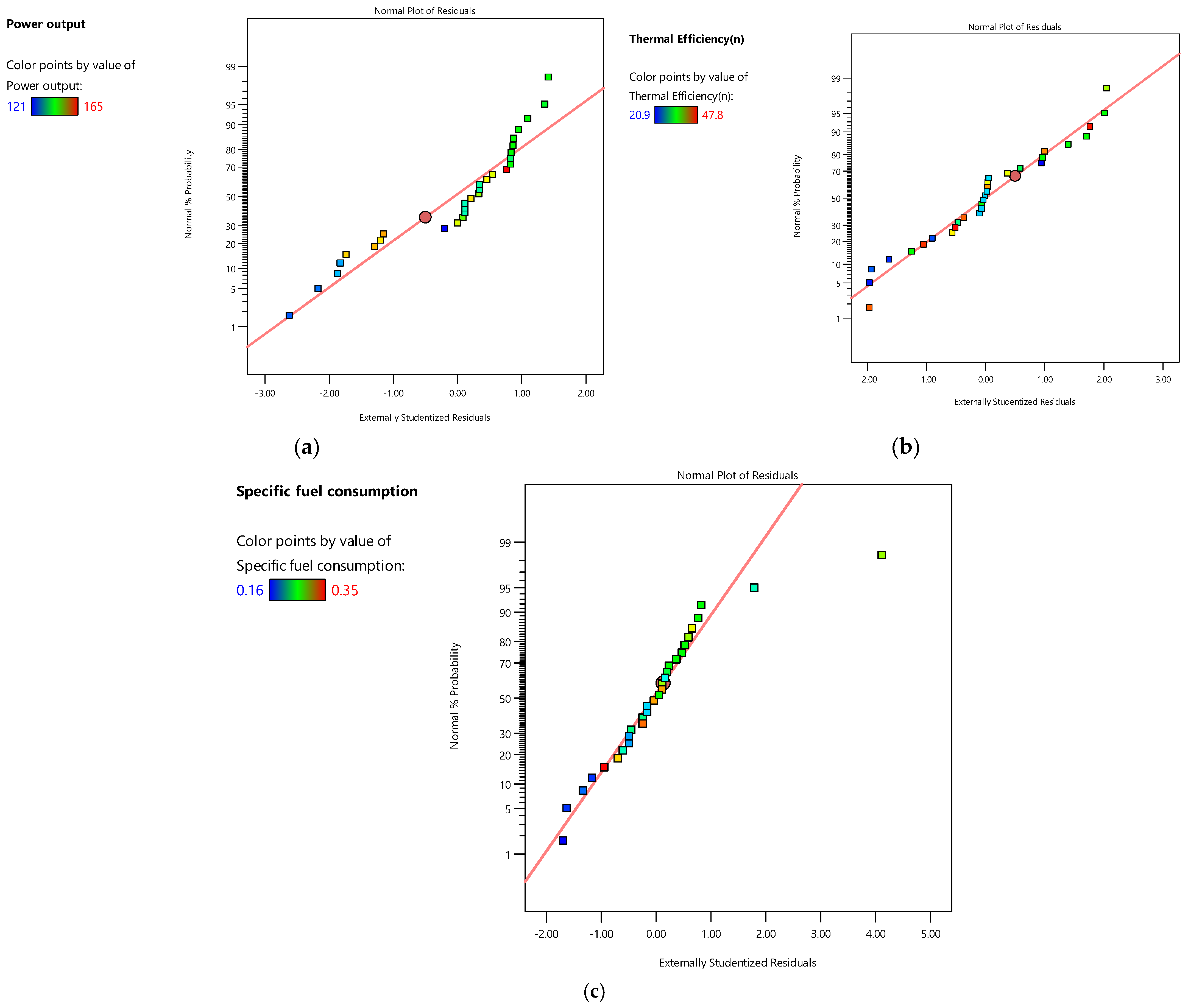
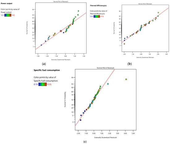
The normal probability plots of residuals for power output, thermal efficiency and sfc are presented in Figure 16a–c. the residuals closely fit along the straight line on the plots and represent the random, normally distributed errors. This confirms the appropriateness of employing the model for future prediction, with no indication of a consistent pattern of bias. The plots of even residual distribution also ensure homoscedasticity, as there is evidence of similarity in the variance of error across the values on the y-axis that are being predicted. These findings validate the applicability of the quadratic RSM in identifying the performance efficiency of gas turbine power plants and enabling the optimisation of operational conditions. The accurate prediction helps operators to make precise estimations of performance indicators, as well as to correct such essential parameters as turbine inlet temperature, pressure ratio and intercooler effectiveness. The optimisation process can drive improvements in the efficiency of the plant, accompanied by a decrease in sfc and an increase in power. Furthermore, the model’s precise predictive capability makes it feasible for practical use in monitoring and evaluating real-time performance and for making timely adjustments to mitigate operational wastes and greenhouse gas emissions. This is vital to achieving the economic and environmental efficiency of gas turbine power plants in present-day power systems.
Figure 16.
Normal probability plot of residuals (a) power output, (b) thermal efficiency and (c) sfc.
3.6. Comparison Analysis Between Experimental, RSM and ANFIS Models Predicted Performance
The comparative performance of gas power plants via the RSM, ANFIS, ANFIS-PSO and ANFIS-GA models, based on the results presented in Table 8, Table 9 and Table 10, revealed significant improvement in the state-of-the-art in predictive modelling, as influenced by this study. The enhancement of the traditional methodology comprised the integration of metaheuristic optimisation techniques, such as PSO and GA, with ANFIS for the improvement of the prediction accuracy across diverse gas power plant operating parameters.
Table 8.
Comparison between actual, RSM, ANFIS, ANFIS-PSO and ANFIS-GA for power output.
Table 9.
Comparison between actual, RSM, ANFIS, ANFIS-PSO and ANFIS-GA for thermal efficiency.
Table 10.
Comparison between actual, RSM, ANFIS, ANFIS-PSO and ANFIS-GA for specific fuel consumption.
The comparative analysis of the presented models’ accuracy in terms of power output prediction with minimal deviations from the actual values is summarised in Table 8. The results show that ANFIS-PSO and ANFIS-GA outperform the RSM and ANFIS models. For instance, for actual power output, which is 156 W in Run 1, both ANFIS-PSO 156.3 MW and ANFIS-GA 156.4 MW achieve better results than RSM, whose deviation is 160.23 W. Also, for Run 4, both ANFIS-PSO and ANFIS-GA accurately matched the actual value of 165 W in the data set, making then highly reliable and accurate in predicting the power output of the gas turbine. The ANOVA result also supports the analysis of these models, and there is no significant difference between the various groups (p-value = 0.999854). The strengths indicated by the superior performance of these models, in terms of their accuracy, flexibility of the metaheuristic algorithms and consistency of the ANFIS in terms of the capability of modelling nonlinear relationships and providing consistent predictions, are noteworthy in this study for integrating metaheuristic algorithms with ANFIS. By maintaining plant performance levels at optimal ranges, energy losses and resource wastage are limited. This advancement can enable operators to optimise the input variables, for instance the fuel flow and the load conditions.
Another of the most important operating parameters defined for gas turbines includes thermal efficiency, which is described in Table 9 and which influences directly the fuel consumption and emissions. The novelty of this study is further evident in the precise predictions of thermal efficiency, as shown. The results of ANFIS-GA and ANFIS-PSO are more accurate and reliable than other models and present values closest to the actual values. For example, in Run 14, the actual efficiency value was 47.80%, correlating very well with the value from ANFIS-GA (47.8%), whereas RSM achieved 48.81%. Likewise, in Run 1, ANFIS and ANFIS-GA accurately predicted the actual value (47.10%), showing more reliability and reproducibility than RSM’s lower actual value prediction of 43.91%. For the ANOVA results, a p-value of 0.999998 also indicates that all of the models are statistically equivalent, but the values obtained via hybridisation are more accurate in comparison with the RSM. The use of GA and PSO optimisation techniques in this study helps to enhance decision making regarding thermal efficiency by raising the predictive rates impressively. This precision enables the power plants to control the combustion processes, minimise unnecessary fuel consumption and meet the requirements envisaged by emission standards.
The specific fuel consumption outlined in Table 10 can be used when analysing the economic and environmental performance of the gas turbines. Table 10 also demonstrates the further advancement of the study of predictive modelling. As shown in Run 3, the ANFIS-GA model predicted a value of 0.169 kg/kWh, which is close to the actual value of 0.170 kg/kWh. The ANFIS-GA model performed better for this problem compared to the RSM. Likewise, in Run 26, the ANFIS-GA well-predicted 0.161 kg/kWh, while the actual value is 0.1600 kg/kWh. All other models showed a higher error. The obtained p-value from the ANOVA is 0.99716, proving the reliability of the models under growing conditions. The result from the error analysis displays the ANFIS-GA model as being more accurate because it has smaller errors of prediction. This accuracy helps to maximise fuel efficiency, minimise operation expenses, and lower the overall emissions of power plants.
The novelty of this research is that PSO and GA are combined with ANFIS, which enhance the learning capability and, consequently, the predictive accuracy of this system. To perform this, these hybrid models are shown to perform an innovative modelling ability compared to the traditional RSM and the standalone ANFIS model, which effectively captures complex, nonlinear relationships. The results (Table 8, Table 9 and Table 10) demonstrate the high accuracy in estimating and determining the power output, thermal efficiency and sfc. The improvements achieved in this work provided a framework for model predictive control in gas turbine power plants. The good agreement of the observed values with ANFIS-PSO and ANFIS-GA prediction further indicate the ability of these models to overcome various gas turbine operating parameters. Moreover, the findings of the ANOVA indicate that these models are significant and reliable for real-world applications.
This research makes a positive contribution to the predictive tools and methodologies that are available to gas turbine power plants to minimise prediction errors to meet the demand for maximised efficiency. More so, the p-values of the ANOVA output imply the statistical significance and confirm the reliability of the hybrid models developed for application on real-life data sets. Such development helps to enable an optimal time earlier for timely maintenance schedule decisions and improving the fuel efficiency and load management, leading to decrease in the operational cost and, hence, improving sustainability. The study presents innovation through its hybridisation approach, which enhances model predictability, in addition to maintaining flexibility at different operating conditions in gas turbines. These models also give improved reliability and accuracy for variations such as pressure ratio, intercooler effectiveness, turbine and ambient temperature which are important in running efficient power plants.
4. Optimum Conditions of Operating Parameters
The optimal operating conditions for maximising the power output and thermal efficiency are shown in Figure 17. Based on the findings, the optimal conditions were identified at the specific levels of pressure ratio, ambient temperature, turbine temperature and regenerator effectiveness. These factors were precisely determined as follows: 25, 293 K, 1550 K and 55, respectively. Incorporating these parameters in the gas power plant would optimise the quality of the power output and thermal efficiency to 162.9 MW and 48.8%, respectively. Additionally, it is imperative to monitor how these optimised parameters interact within the gas power plant operational framework, as any factors below or above these range would reduce the thermal efficiency of the power plant.


Figure 17.
(a) Thermal Efficiency (b) Specific fuel consumption (c) Power output.
5. Conclusions
In this study, a novel optimisation approach to tackle identified inefficiencies in GTPPs with intercoolers, including power output, thermal efficiency and sfc, was developed. The work built upon previous methodologies by applying RSM and metaheuristic algorithms, such as ANFIS, ANFIS PSO and ANFIS GA. These advanced models proved to be adequate for the identification of non-linear relationships of pertinent gas turbine power plant operating parameters, such as pressure ratio, ambient temperature, turbine inlet temperature and the intercooler effectiveness. At the optimal parameters of pressure ratio 25, ambient temperature 293 K, turbine inlet temperature 1550 K and intercooler effectiveness of 95%, the thermal efficiency of the combined cycle is 47.8%, with a power output of 165 MW and a specific fuel consumption of 0.16 kg/kWh. Thus, both ANFIS PSO and ANFIS GA produced higher R2 values compared to RSM, with R2 values of 0.979, 0.987 and 0.972 for power output, thermal efficiency and sfc, respectively. These combined mathematical models performed particularly well in fine-tuning of the solutions for highly complex and interdependent integrated operational environments. This approach enables the design of flexible and adaptable solutions for optimising GTPPs with tremendous potentials for power generation for industries and utilities. It defines a roadmap for sustainable energy system designs, thereby providing a connection between the emergent innovations and the energy problems in regions with growing energy demands. This study helps improve the generation of energy, minimise emissions, and contribute to the global sustainable development goals, in terms of SDG Goal 7 (affordable and clean energy), as well as Africa’s Agenda 2063 on energy security and economic development.
Future studies will focus on transient performance analysis using dynamic simulations under various ambient conditions. Also, energy and exergy analyses can be used to improve the performance and efficiency of the gas turbine. These approaches will advance the usable nature of the mathematical models and strengthen the understanding regarding performance and viability in power systems.
Author Contributions
Conceptualisation, A.O.O.; formal analysis, A.O.O.; funding acquisition, U.B.A. and D.A.D.; investigation, A.O.O., U.B.A. and D.A.D.; methodology, A.O.O. and U.B.A.; project administration, A.O.O.; resources, A.O.O., U.B.A. and D.A.D.; software, A.O.O. and D.A.D.; supervision, U.B.A. and D.A.D.; validation, U.B.A. and D.A.D.; visualisation, A.O.O. and U.B.A.; writing—original draft, A.O.O.; writing—review and editing, A.O.O., U.B.A. and D.A.D. All authors have read and agreed to the published version of the manuscript.
Funding
This research received no external funding.
Data Availability Statement
The original contributions presented in the study are included in the article; further inquiries can be directed to the corresponding author.
Acknowledgments
The authors appreciate Tshwane University of Technology, South Africa, for the support provided for this study.
Conflicts of Interest
The authors declare that the research was conducted in the absence of any commercial or financial relationships that could be construed as a potential conflict of interest.
References
- Baakeem, S.; Orfi, J.; Alaqel, S.; Al-Ansary, H. Impact of Ambient Conditions of Arab Gulf Countries on the Performance of Gas Turbines Using Energy and Exergy Analysis. Entropy 2017, 19, 32. [Google Scholar] [CrossRef]
- Olusanya, O.O.; Onokwai, A.O.; Anyaegbuna, B.E.; Iweriolor, S.; Omoniyi, E.B. Modelling and optimization of operating parameters for improved steam energy production in the food and beverage industry in a developing country. Front. Energy Res. 2024, 12, 1417031. [Google Scholar]
- Onokwai, A.O.; Okonkwo, U.C.; Osueke, C.O.; Olayanju, T.M.A.; Ezugwu, C.A.; Diarah, R.S.; Banjo, S.O.; Onokpite, E.; Olabamiji, T.S.; Ibiwoye, M.; et al. Thermal analysis of solar box cooker in Omu-Aran Metropolis. J. Phys. Conf. Ser. 2019, 1378, 032065. [Google Scholar] [CrossRef]
- Dirisu, J.O.; Oyedepo, S.O.; Olawole, O.C.; Somefun, T.E.; Peter, N.J.; Babatunde, D.; Nwaokocha, C.N.; Onokwai, A.O.; Obanor, E.; Alam, M.; et al. A comprehensive review of biofuel utilization for household cooking in developing countries: Economic and environmental impacts. Process Saf. Environ. Prot. 2024, 191, 585–604. [Google Scholar] [CrossRef]
- Elwardany, M.; Nassib, A.M.; Mohamed, H.A. Exergy analysis of a gas turbine cycle power plant: A case study of power plant in Egypt. J. Therm. Anal. Calorim. 2024, 149, 7433–7447. [Google Scholar] [CrossRef]
- Ndwandwe, B.; Akuru, U.B.; Ramphele, L.; Thango, B.A.; Memane, N.P.; Okoro, O.I. Power Transformer Design Implementation for Large-Scale Solar Power Plant Grid Integration. In Proceedings of the 2021 International Conference on Electrical, Computer and Energy Technologies (ICECET), Cape Town, South Africa, 9–10 December 2021; IEEE: New York, NY, USA; 2021; pp. 1–5. [Google Scholar] [CrossRef]
- Omar, H.; Kamel, A.; Alsanousi, M. Performance of Regenerative Gas Turbine Power Plant. Energy Power Eng. 2017, 9, 136–146. [Google Scholar] [CrossRef]
- Oosthuizen, C.; Van Wyk, B.; Hamam, Y.; Desai, D.; Alayli, Y. The Use of Gridded Model Output Statistics (GMOS) in Energy Forecasting of a Solar Car. Energies 2020, 13, 1984. [Google Scholar] [CrossRef]
- Mashiachidi, M.; Desai, D. Fatigue life prediction of mistuned steam turbine blades subjected to deviations in blade geometry. Sci. Eng. Technol. 2023, 3, 24–35. [Google Scholar] [CrossRef]
- Oyedepo, S.O.; Fagbenle, R.O.; Adefila, S.S.; Alam, M.M.d.; Dunmade, I.S. Thermo-economic and environmental assessment of selected gas turbine power plants in Nigeria. Prog. Ind. Ecol. Int. J. 2018, 12, 361. [Google Scholar] [CrossRef]
- Kosowski, K.; Piwowarski, M. Design Analysis of Micro Gas Turbines in Closed Cycles. Energies 2020, 13, 5790. [Google Scholar] [CrossRef]
- Al-attab, K.A.; Zainal, Z.A. Externally fired gas turbine technology: A review. Appl. Energy 2015, 138, 474–487. [Google Scholar] [CrossRef]
- Alaabidy, W.; Antipov, Y.A.; Al-Rubaiawi, M.; Frolov, M. Gas turbine suitable for the ambient conditions prevailing in Arab Gulf countries: A prognostic analysis. J. Appl. Eng. Sci. 2023, 21, 982–998. [Google Scholar] [CrossRef]
- Ibrahim, T.K.; Rahman, M.M.; Mohammed, M.K.; Basrawi, F. Statistical analysis and optimum performance of the gas turbine power plant. Int. J. Automot. Mech. Eng. 2022, 13, 3215–3225. [Google Scholar] [CrossRef]
- Kadhim, H.J.; Abbas, A.K.; Kadhim, T.J.; Rashid, F.L. Evaluation of Gas Turbine Performance in Power Plant with High-Pressure Fogging System. Math. Model. Eng. Probl. 2023, 10, 605–612. [Google Scholar] [CrossRef]
- Goucem, M. Influence of the Ambient Temperature on the Efficiency of Gas Turbines. Fluid. Dyn. Mater. Process 2024, 20, 2265–2279. [Google Scholar] [CrossRef]
- Ibrahim, T.K.; Basrawi, F.; Awad, O.I.; Abdullah, A.N.; Najafi, G.; Mamat, R.; Hagos, F. Thermal performance of gas turbine power plant based on exergy analysis. Appl. Therm. Eng. 2017, 115, 977–985. [Google Scholar] [CrossRef]
- Hu, L.; Chen, F.; Meng, Y.; Sang, Z. Expansion of stable operational range in MILD hydrogen combustion based on catalytic techniques. Int. J. Hydrogen Energy 2024, 84, 334–343. [Google Scholar] [CrossRef]
- Hagani, B.N.; Bousbaa, H.; Bencherif, M. Numerical Study of Hydrogen enrichment and injector nozzle number impacts on non-premixed turbulent combustion characteristics in a Gas Turbine cannular Combustion Chamber. EARTH Sci. Hum. Constr. 2024, 4, 78–87. [Google Scholar] [CrossRef]
- Venkatesan, E.P.; Murugesan, P.; Pichika, S.V.V.S.N.; Janaki, D.V.; Javed, Y.; Mahmoud, Z.; Saleel, C.A. Effects of Injection Timing and Antioxidant on NOx Reduction of CI Engine Fueled with Algae Biodiesel Blend Using Machine Learning Techniques. Sustainability 2022, 15, 603. [Google Scholar] [CrossRef]
- Syed, T.; Krujatz, F.; Ihadjadene, Y.; Mühlstädt, G.; Hamedi, H.; Mädler, J.; Urbas, L. A review on machine learning approaches for microalgae cultivation systems. Comput. Biol. Med. 2024, 172, 108248. [Google Scholar] [CrossRef] [PubMed]
- Onokwai, A.O.; Olusanya, O.O.; Onifade, M.K.; Anyaegbuna, B.E.; Onoriode, A.; Agholor, D. Comparative analysis of response surface methodology and adaptive neuro-fuzzy inference system for predictive fault detection and optimization in beverage industry. Front. Mech. Eng. 2024, 10, 1428717. [Google Scholar] [CrossRef]
- Alsaghir, A.; Bahk, J.H. Performance Optimization and Exergy Analysis of Thermoelectric Heat Recovery System for Gas Turbine Power Plants. Entropy 2023, 25, 1583. [Google Scholar] [CrossRef]
- Mishra, S.; Sharma, A.; Kumari, A.; Sanjay. Response surface methodology based optimization of air-film blade cooled gas turbine cycle for thermal performance prediction. Appl. Therm. Eng. 2020, 164, 114425. [Google Scholar] [CrossRef]
- Boyce, M.P. Gas Turbine Engineering Handbook, 2nd ed.; Gulf Professional Publishing: Boston, MA, USA, 2002; 799p. [Google Scholar]
- Cuevas, E.; Ascencio-Piña, C.R.; Pérez, M.; Morales-Castañeda, B. Considering radial basis function neural network for effective solution generation in metaheuristic algorithms. Sci. Rep. 2024, 14, 16806. [Google Scholar] [CrossRef]
- Rahman, M.A.; Sokkalingam, R.; Othman, M.; Biswas, K.; Abdullah, L.; Abdul Kadir, E. Nature-Inspired Metaheuristic Techniques for Combinatorial Optimization Problems: Overview and Recent Advances. Mathematics 2021, 9, 2633. [Google Scholar] [CrossRef]
- Tomar, V.; Bansal, M.; Singh, P. Metaheuristic Algorithms for Optimization: A Brief Review. In Proceedings of the RAiSE-2023, Dubai, United Arab Emirates, 4–5 October 2023; MDPI: Basel, Switzerland, 2024; p. 238. [Google Scholar] [CrossRef]
- Hadroug, N.; Hafaifa, A.; Guemana, M.; Kouzou, A.; Salam, A.; Chaibet, A. Heavy duty gas turbine monitoring based on adaptive neuro-fuzzy inference system: Speed and exhaust temperature control. Math—Ind. Case Stud. 2017, 8, 8. [Google Scholar] [CrossRef]
- Peres, F.; Castelli, M. Combinatorial Optimization Problems and Metaheuristics: Review, Challenges, Design, and Development. Appl. Sci. 2021, 11, 6449. [Google Scholar] [CrossRef]
- Al-Aqeeli, Y.H.; Mahmood Agha, O.M.A. Optimal Operation of Multi-reservoir System for Hydropower Production Using Particle Swarm Optimization Algorithm. Water Resour. Manag. 2020, 34, 3099–3112. [Google Scholar] [CrossRef]
- Gong, L.; Yu, M.; Kollias, S. Optimizing Crop Yield and Reducing Energy Consumption in Greenhouse Control Using PSO-MPC Algorithm. Algorithms 2023, 16, 243. [Google Scholar] [CrossRef]
- Shamoushaki, M.; Ehyaei, M. Exergy, economic and environmental (3E) analysis of a gas turbine power plant and optimization by MOPSO algorithm. Therm. Sci. 2018, 22 Pt A, 2641–2651. [Google Scholar] [CrossRef]
- Hussain, S.; Al-Hitmi, M.; Khaliq, S.; Hussain, A.; Asghar Saqib, M. Implementation and Comparison of Particle Swarm Optimization and Genetic Algorithm Techniques in Combined Economic Emission Dispatch of an Independent Power Plant. Energies 2019, 12, 2037. [Google Scholar] [CrossRef]
- Al-Doori, W.H.A.R. Parametric Performance of Gas Turbine Power Plant with Effect Intercooler. Mod. Appl. Sci. 2011, 5, 173. [Google Scholar] [CrossRef]
- Mikielewicz, D.; Kosowski, K.; Tucki, K.; Piwowarski, M.; Stępień, R.; Orynycz, O.; Włodarski, W. Gas Turbine Cycle with External Combustion Chamber for Prosumer and Distributed Energy Systems. Energies 2019, 12, 3501. [Google Scholar] [CrossRef]
- Azizi, M.W.; Bensouici, M.; Bensouici, F.Z. Thermoexergetic analysis and multi-objective optimization of steam power plant performances. AIUB J. Sci. Eng. 2024, 23, 124–134. [Google Scholar] [CrossRef]
- Boubacar Laougé, Z.; Çığgın, A.S.; Merdun, H. Optimization and characterization of bio-oil from fast pyrolysis of Pearl Millet and Sida cordifolia L. by using response surface methodology. Fuel 2020, 274, 117842. [Google Scholar] [CrossRef]
- Bensouici, M.; Azizi, M.W.; Bensouici, F.Z. Performance Analysis and Optimization of Regenerative Gas Turbine Power Plant using RSM: Optimization of regenerative gas turbine power plant. Int. J. Automot. Mech. Eng. 2023, 20, 10671–10683. [Google Scholar] [CrossRef]
- Lee, X.J.; Lee, L.Y.; Hiew, B.Y.Z.; Gan, S.; Thangalazhy-Gopakumar, S.; Kiat Ng, H. Multistage optimizations of slow pyrolysis synthesis of biochar from palm oil sludge for adsorption of lead. Bioresour. Technol. 2017, 245, 944–953. [Google Scholar] [CrossRef]
- Okokpujie, I.P.; Onokwai, A.O.; Onokpite, E.; Babaremu, K.; Ajisegiri, E.S.; Osueke, C.O.; Akinlabi, S.A.; Akinlabi, E.T. Modelling and optimisation of intermediate pyrolysis synthesis of bio-oil production from palm kernel shell. Clean. Eng. Technol. 2023, 16, 100672. [Google Scholar] [CrossRef]
- Singh, D.K.; Tirkey, J.V. Performance optimization through response surface methodology of an integrated coal gasification and CI engine fuelled with diesel and low-grade coal-based producer gas. Energy 2022, 238, 121982. [Google Scholar] [CrossRef]
- Wang, W.; Chen, L.; Sun, F.; Wu, C. Power optimization of an irreversible closed intercooled regenerated brayton cycle coupled to variable-temperature heat reservoirs. Appl. Therm. Eng. 2005, 25, 1097–1113. [Google Scholar] [CrossRef]
- Dabwan, Y.N.; Zhang, L.; Pei, G. A novel inlet air cooling system to improve the performance of intercooled gas turbine combined cycle power plants in hot regions. Energy 2023, 283, 129075. [Google Scholar] [CrossRef]
- Kotowicz, J.; Job, M.; Brzęczek, M.; Nawrat, K.; Mędrych, J. The methodology of the gas turbine efficiency calculation. Arch. Thermodyn. 2016, 37, 19–35. [Google Scholar] [CrossRef]
- Adefarati, T.; Bansal, R.C. Energizing Renewable Energy Systems and Distribution Generation. In Pathways to a Smarter Power System; University of Pretoria: Pretoria, South Africa, 2019; pp. 29–62. [Google Scholar] [CrossRef]
- Velásquez, L.; Rubio-Clemente, A.; Tobón, D.; Botero, F.; Arrieta, C.; Chica, E. Experimental Optimization of the Propeller Turbine Performance Using the Response Surface Methodology. Sustainability 2024, 16, 8476. [Google Scholar] [CrossRef]
- Kumar, M.; Mishra, P.K.; Upadhyay, S.N. Pyrolysis of Saccharum munja: Optimization of process parameters using response surface methodology (RSM) and evaluation of kinetic parameters. Bioresour. Technol. Rep. 2019, 8, 100332. [Google Scholar] [CrossRef]
- Samitha Weerakoon, A.H.; Assadi, M. Trends and advances in micro gas turbine technology for sustainable energy solutions: A detailed review. Energy Convers. Manag. X 2023, 20, 100483. [Google Scholar] [CrossRef]
- Owoseni, A.T.; Olabode, O.; Akintola, K.G.; Enikanselu, P.A. An improved adaptive neuro-fuzzy inference system using probability trajectory-based clustering ensemble. Sci. Afr. 2020, 9, e00520. [Google Scholar] [CrossRef]
Disclaimer/Publisher’s Note: The statements, opinions and data contained in all publications are solely those of the individual author(s) and contributor(s) and not of MDPI and/or the editor(s). MDPI and/or the editor(s) disclaim responsibility for any injury to people or property resulting from any ideas, methods, instructions or products referred to in the content. |
© 2025 by the authors. Licensee MDPI, Basel, Switzerland. This article is an open access article distributed under the terms and conditions of the Creative Commons Attribution (CC BY) license (https://creativecommons.org/licenses/by/4.0/).


















