Next Article in Journal
Transient Electromagnetic Monitoring of Permafrost: Mathematical Modeling Based on Sumudu Integral Transform and Artificial Neural Networks
Next Article in Special Issue
Collocation Technique Based on Chebyshev Polynomials to Solve Emden–Fowler-Type Singular Boundary Value Problems with Derivative Dependence
Previous Article in Journal
Novel Robust Stability Criteria for Lur’e Systems with Time-Varying Delay
Previous Article in Special Issue
Convergence of the Euler Method for Impulsive Neutral Delay Differential Equations
 
 
Font Type:
Arial Georgia Verdana
Font Size:
Aa Aa Aa
Line Spacing:
Column Width:
Background:
Article

The Computational Testing Procedure for the Comprehensive Lifetime Performance Index of Burr XII Products in Multiple Production Lines

Department of Statistics, Tamkang University, Tamsui, Taipei 251037, Taiwan
*
Author to whom correspondence should be addressed.
Mathematics 2024, 12(4), 584; https://doi.org/10.3390/math12040584
Submission received: 30 January 2024 / Revised: 11 February 2024 / Accepted: 14 February 2024 / Published: 16 February 2024
(This article belongs to the Special Issue Computational Mathematics and Numerical Analysis)

Abstract

Extending from a single production line to multiple production lines, a comprehensive life performance index is proposed for evaluating the quality of lifetime products. The connection between the comprehensive lifetime performance index and the individual lifetime performance index is explored. For products with a lifetime following Burr XII distribution for the ith production line, the maximum likelihood estimation method and the corresponding asymptotic distribution for all lifetime performance indices are derived. Checking whether the comprehensive lifetime performance index has achieved the target value is essentially the same as testing whether each individual lifetime performance index has reached its corresponding target value. A testing procedure is proposed for a given significance level using the maximum likelihood estimator as the test statistic, and the power analysis is presented through graphical representations. For the power analysis, the impacts of sample size, the number of inspection intervals, the removal probability, the level of significance, and the number of production lines on the test power are analyzed, and the results show that there is a monotonic relationship between the test power and the above five impact factors. To illustrate how to apply the proposed testing procedure, we give one practical example with two production lines to test whether the comprehensive production process is capable.

1. Introduction

In this investigation, we explore the durations of components across various production lines, with a specific focus on the “larger-the-better” characteristic observed in product lifetimes. Our approach involves employing the lifetime performance index CL, as introduced by Montgomery [1], with unilateral tolerance. While many process capability indices (PCIs) commonly assume a normal distribution for quality characteristics, product lifetimes often follow distributions such as exponential, gamma, Weibull distributions, or Burr XII distributions (as referenced in Johnson et al. [2], Anderson et al. [3], Meyer [4], Epstein and Sobel [5]). In this study, we assume a Burr XII distribution for the product lifetimes. Given the preference for longer product lifetimes, we adopt the lifetime performance index recommended by Montgomery [1] as the focal point of this paper.
For products produced in a single production line, Tong et al. [6] developed the uniformly minimum variance unbiased estimator for the index of CL and established a hypothesis testing procedure assuming a one-parameter exponential distribution based on the complete sample. Nevertheless, practical constraints in real-world situations may hinder experimenters from observing the lifetimes of all tested items. Factors like time limitations, financial and material constraints, and difficulties in the experimental process can contribute to incomplete data collection, such as progressive censoring of data. Please refer to Aggarwala [7], Balakrishnan and Aggarwala [8], Wu et al. [9], Sanjel and Balakrishnan [10], Lee et al. [11], Hanan et al. [12] for the application of the progressive censoring data. For the step-stress accelerated life-testing data, Lee et al. [13] conducted the assessment on the lifetime performance index assuming the exponential distribution. For the progressive type I interval censored sample and one single production line, Wu et al. [14] proposed a testing procedure for the lifetime of the product following a Burr XII distribution. Wu et al. [15] studied the experimental design for this testing procedure to attain the given test power or to find the minimum total experimental cost for Burr XII products. Wu and Song [16] investigated the optimal sampling design for the testing procedure for the lifetime performance index to reach the given test power or to minimize the total experimental cost for Chen products. All these research studies related to the inferences on the lifetime performance index are based on the manufacturing process with one single production line. Since many manufacturing processes encompass multiple production lines, we introduce a comprehensive lifetime performance index for products manufactured across multiple production lines, where their lifetimes follow the Burr XII distributions. This research developed a comprehensive lifetime performance index testing procedure using the maximum likelihood estimator as the test statistic to assess whether the comprehensive lifetime performance index reaches the target level for the progressive type I interval censored sample. Regarding the likelihood-based inferences, Guillermo et al. [17] found the maximum likelihood estimators for the parameters of the asymmetric beta-skew alpha-power distribution and derived the Fisher information matrix. Seung and Gareth [18] examined several different maximum likelihood estimators and their asymptotic and finite-sample properties for the dynamic panel data models. They focus on the analysis of the panel data with a large number (N) of cross-sectional units and a small number (T) of repeated time series observations for each cross-sectional unit. Phaphan et al. [19] investigated the maximum likelihood estimation of the weighted mixture generalized gamma distribution.
Our emphasis is on the scenario of progressive type I interval censoring. The censoring scheme is delineated as follows: Suppose that a life test is initiated at time 0 for a total of n products. Let (t1,…,tm) be the inspection time points, where tm is the termination time of the experiment. Therefore, we have m inspection intervals in this life test. At the time point of ti, Xi failed units are recorded in the ith time interval (ti−1, ti), and then Ri number of products are progressively removed from the rest of the products. Continue the same process until Xm failed units are recorded at the time point of tm, and then all the remaining products are removed and terminated in this experiment. The sample (X1,…,Xm) we collect is the progressive type I interval censored sample under the censoring scheme of (R1,…,Rm).
The remaining sections of this paper are organized as follows: Section 2 introduces the comprehensive lifetime performance index for products manufactured across multiple production lines, elucidating the relationship between the conforming rate and individual lifetime performance index. In Section 3.1, we outline the derivation of the maximum likelihood estimator and the asymptotic distribution for both comprehensive and individual lifetime performance indices, considering a progressive type I interval censored sample under the assumption of a Burr XII distribution. Section 3.2 proposes the testing procedure for the comprehensive lifetime performance index, encompassing all individual lifetime performance indices. This section also examines the impact of various parameter configurations, particularly the number of production lines, on the test power. Section 3.3 includes a numerical example to illustrate the proposed testing procedure. The conclusive findings are summarized in Section 4.
The contributions of this work are articulated as follows:
  • We extend the research on the inferences of the lifetime performance index for single production lines to multiple production lines for products with lifetimes following a Burr XII distribution based on the progressive type I interval censored samples.
  • We introduce the comprehensive lifetime performance index and explore the relationship between the comprehensive lifetime performance index and individual lifetime performance index.
  • We propose a testing procedure to test if the lifetime performance of the manufacturing process comprised of multiple production lines has reached the desired target value.
  • We analyze the impact of sample size, the number of inspection intervals, the removal probability, the level of significance, and the number of production lines on the test power.
  • We give a numerical example with two production lines to illustrate how to apply the proposed testing procedure to determine whether the comprehensive production process is capable.

2. The Conforming Rate and the Comprehensive Lifetime Performance Index

Suppose that there are d production lines producing products with lifetimes following a Burr XII distribution. Suppose that the lifetime Ui of products in the ith production line has a Burr XII distribution a the probability density function (PDF), cumulative distribution function (CDF), and hazard function (HF), as follows:
f U i u = δ i k i u δ i 1 1 + u δ i ( k i + 1 ) ,   u > 0 ,   δ i > 0 ,     k i > 0 ,
F U i u = 1 1 + u δ i k i ,   u > 0 ,   δ i > 0 ,   k i > 0
and
h U i u = f U i u 1 F U i u = δ i k i u δ i 1 1 + u δ i ,
where k i is the scale parameter, and δ i is the shape parameter, i = 1,...,d. The Burr XII distribution can exhibit a variety of shapes, including skewed, heavy-tailed, and flexible distributions, depending on the specific values of the scale parameter and shape parameter. It is commonly used to model data with long tails and diverse failure rates. The larger-the-better type lifetime performance index CL proposed by Montgomery [1] is given by
C L = μ L σ ,  
where μ represents the process mean, σ is the process standard deviation, and L is the specified lower specification limit. Consider the transformation of Y i = l o g ( 1 + U i δ i ) , then we have the new lifetime Yi following a one-parameter exponential distribution with PDF and CDF as
f Y i y = k i exp k i y ,   y > 0 , k i > 0 ,
F Y i y = 1 e x p k i y , y > 0 , k i > 0 .
The mean and standard deviation of the new lifetime of products are obtained as μ i = E Y i = 1 k i ,     σ i = V a r ( Y i ) = 1 k i . If L U i = l o g ( 1 + L i δ i ) is the lower specification limit for U i , then the lower specification limit for Y i   i s g i v e n b y   L i . The lifetime performance index for the ith production line is reduced to
C L i = μ i L i   σ i = 1 k i L i 1 k i = 1 k i L i .  
The lifetime performance index CLi can accurately assess the lifetime performance of products since the larger the expected value of Y i , the larger the lifetime performance index CLi.
The conforming rate Pri for the ith production line is the probability that the lifetime of an item of product exceeds the lower specification limit (i.e., U i L U i ) and it can be obtained as
P r i = P U i L U i = P Y i L i = e k i L i   = e C L i 1 , < C L i < 1 .  
From Equation (8), it can be observed that the conforming rate for the ith production line is an increasing function of the lifetime performance index CLi. If the experimenter desired Pri to be greater than 0.9048, then he can obtain the value of CLi to exceed 0.9 from Equation (8).
Suppose that the manufacturing process consists of d independent production lines for products. The overall conforming rate denoted by Pr can be obtained as
P r = P Y i L i   ,   i = 1 , , d = exp i = 1 d k i L i = exp i = 1 d C L i d , < C L i < 1 .
Denote the comprehensive lifetime performance index as CT, which is satisfying
P r = e x p i = 1 d C L i d = e x p C T 1 , < C T < 1
From Equation (9), we can see that CT is an increasing function of Pr and solve this equation to yield the relationship between the comprehensive lifetime performance index and individual lifetime performance index as follows
C T = i = 1 d C L i d 1 , < C T < 1 .  
Under the reasonable setup of equal individual lifetime performance indices, as C L 1 = = C L d = C L , solve Equation (10) to yield the relationship between C L and C T as follows
C L = C T + d 1 d , < C T < 1 .
Suppose that the desired target value for the comprehensive lifetime performance index is given by CT = c0; we can obtain the target value for the individual lifetime performance index CL as C L = c 0 + d 1 d for each production line by solving Equation (11). The corresponding values of C L for a given value of C T are listed in Table 1 under d = 2, 3, 4, 5, 6. For example, the experimenter wants to have the overall conforming rate as Pr = 0.9048, then we have the comprehensive lifetime performance index C T   = 0.90. From Table 1, we can see that for a given value of CT = 0.90, we can find the desired target value for each production line as CL = 0.9500, 0.9667, 0.9750, 0.9800, and 0.9833 for d = 2, 3, 4, 5, 6.

3. The Algorithmic Testing Procedure for the Comprehensive Lifetime Performance Index

In this section, we derive the maximum likelihood estimator for the individual lifetime performance index and the comprehensive lifetime performance index in Section 3.1. Their asymmetric distributions are also derived. Section 3.2 developed the testing procedure to test if the comprehensive lifetime performance index attains the specified target level given by the experimenter. The power analysis and all findings are summarized in this section. Section 3.3 gives one numerical example to illustrate how to apply our proposed testing procedure.

3.1. Maximum Likelihood Estimator of the Lifetime Performance Indices

We collect the progressive type I interval censored sample X i 1 , , X i m at the observation time points t 1 , , t m for the ith production line. The likelihood function for the censored sample X i 1 , , X i m , is
L k i j = 1 m F t j F t j 1 x i j 1 F t j R i j i = 1 m 1 e k i l o g 1 + t j δ i l o g 1 + t j 1 δ i X i j e k i l o g 1 + t j δ i R i j + l o g 1 + t j 1 δ i X i j .
The log-likelihood function is
l o g L k i j = 1 m X i j log 1 e k i l o g 1 + t j δ i 1 + t j δ i k i l o g 1 + t j δ i R i j + l o g 1 + t j 1 δ i X i j .
Take the derivative of the log-likelihood function in Equation (13) with respect to parameter ki and set it to zero. We can obtain the log-likelihood equation as
d d k i l o g L k i = j = 1 m X i j l o g 1 + t j δ i 1 + t j 1 δ i e k i l o g 1 + t j δ i 1 + t j 1 δ i 1 e k i l o g 1 + t j δ i 1 + t j 1 δ i l o g 1 + t j δ i R i j + l o g 1 + t j 1 δ i X i j = 0 .  
Solving Equation (14) numerically, we can find the maximum likelihood estimator of ki denoted by k ^ i .
From Casella and Berger [20], we need to find Fisher’s information number, defined as I i k i = E d 2 log L k i d k i 2 in order to obtain the asymptotic variance of the distribution of the maximum likelihood estimator. Taking the second derivative of the log-likelihood function in (13) with respect to parameter ki, then we have
d 2 log L k i d k i 2 = j = 1 m X i j l o g 2 1 + t j δ i 1 + t j 1 δ i e k i l o g 1 + t j δ i 1 + t j 1 δ i 1 e k i l o g 1 + t j δ i 1 + t j 1 δ i l o g 2 1 + t j δ i 1 + t j 1 δ i e 2 k i l o g 1 + t j δ i 1 + t j 1 δ i 1 e k i l o g 1 + t j δ i 1 + t j 1 δ i 2 = j = 1 m X i j l o g 2 1 + t j δ i 1 + t j 1 δ i e k i l o g 1 + t j δ i 1 + t j 1 δ i 1 e k i l o g 1 + t j δ i 1 + t j 1 δ i 2 .    
It is observed that
X i j X i ( j 1 ) , , X i 1 ~ Binomial n l = 1 j 1 X i l , q i j ,
where
q i j = F t j ) F t j 1 1 F t j 1 = 1 e k i l o g 1 + t j δ i 1 + t j 1 δ i , j = 1 , , m .
Hence, we have
E X i j X i ( j 1 ) , , X i 1 , R i , j 1 , , R i 1 = = n q i j l = 1 j 1 1 p l 1 q i l ,   j = 1 , , m .
Using Equation (17), the Fisher’s information becomes
I i k i = E j = 1 m X i j 1 k i 2 1 q i j l o g 2 1 q i j q i j 2   = n k i 2 j = 1 m l o g 2 1 q i j q i j   l = 1 j 1 1 p i l 1 q i l .
The asymptotic variance is denoted as V i k ^ i = I i 1 k ^ i . Then we have k ^ i d n N k i , I i 1 k ^ i .
In the special case, we consider the case of equal interval lengths as t j t j 1 = t and q i j = 1 e k i l o g 1 + ( j t ) δ i 1 + ( ( j 1 ) t ) δ i , j = 1 , , m . We also considered pj = p, j = 1 , , m . The Equation (14) can be simplified as
j = 1 m x i j l o g 1 + ( j t ) δ i 1 + ( ( j 1 ) t ) δ i exp k i l o g 1 + ( j t ) δ i 1 + ( ( j 1 ) t ) δ i 1 exp k i l o g 1 + ( j t ) δ i 1 + ( ( j 1 ) t ) δ i l o g 1 + ( j t ) δ i R i j + l o g 1 + ( ( j 1 ) t ) δ i X i j 0 .    
Solving for ki numerically, we can obtain the maximum likelihood estimator for ki denoted by k ^ i . Furthermore, the asymptotic variance of k ^ i can be expressed as
V k ^ i = I i 1 k ^ i = k ^ i 2 n j = 1 m log 2 1 q i j q i j l = 1 j 1 1 p l 1 q i l 1
By the invariance property of the maximum likelihood estimator, the maximum likelihood estimator of CLi can be found as
C ^ L i = 1 k ^ i L i .
Making use of the Delta method in Casella and Berger [20], we can find that
C ^ L i d n N C L i , V C ^ L i ,
where V C ^ L i = L i 2 V k ^ i .
By the invariance property, we can find the maximum likelihood estimator of CT as
C ^ T = i = 1 d C ^ L i d 1
Its asymptotic distribution is C ^ T d n N C T , i = 1 d V ^ C ^ L i , where i = 1 d V ^ C ^ L i is the estimate of the variance of C ^ T given by i = 1 d V C ^ L i .

3.2. The Algorithmic Testing Procedure for the Comprehensive Lifetime Performance Index

If the experimenter wants to test whether the comprehensive lifetime performance index exceeds the desired target value c0, the null and alternative hypotheses are s e t u p a s H 0 : C T c 0 vs. H a : C T > c 0 . From Equation (11), we can find the corresponding target value c 0 * for each individual lifetime performance index as c 0 * = c 0 + d 1 d . To test whether the comprehensive lifetime performance index exceeds the desired target value c0 is equivalent to testing the statistical hypothesis of H 0 : C L i c 0 *   f o r   s o m e   i vs.   H a : C L i > c 0 * ,   i = 1 , , d , we use the maximum likelihood estimator of C L i   g i v e n   b y   C ^ L i as the test statistic and define the critical value as C L i 0 . The critical value C L i 0 is determined by controlling the overall error rate to be at most the level of significance α in the multiple hypothesis testing. The probability of a type I error (false positive) is
P ( C ^ L i > C L i 0 , | C L i = c 0 * ,   i = 1 , , d ) = P ( 1 k ^ i L i > C L i 0 | C L i = c 0 * ,   i = 1 , , d )   = P 1 k ^ i L i > C L i 0 k i = k i 0 ,   i = 1 , , d ,   w h e r e   k i 0 = 1 c 0 * L i   = P k ^ i < 1 C L i 0 L i k i = k i 0 ,   i = 1 , , d       = P ( Z < 1 C L i 0 L i k i 0 I i 1 k i 0 ,   i = 1 , , d ) ,   due   to   k ^ i d n N k i 0 , I i 1 k i 0 . = i = 1 d Φ 1 C L i 0 L i k i 0 I i 1 k i 0 α ,
where Φ is the cumulative distribution function for the standard normal distribution.
Set Φ 1 C L i 0 L i k i 0 I i 1 k i 0 = α 1 d = α . Then, the probability of a type I error has reached the level of significance α . To solve the above equation, the critical value C L i 0 is determined as C L i 0 = 1 Z 1 α I i 1 k i 0 + k i 0 L i , where Z 1 α   i s   t h e   α percentile for the standard normal distribution. The overall rejection region is determined as R = i = 1 d C ^ L i     C ^ L i > C L i 0 such that the level of this test is still α .
The algorithmic testing procedure for C T is constructed as follows:
Algorithm 1: Testing procedure for the comprehensive lifetime performance index   C T
Step 1: For a known lower specification Li, we collect the progressive type I interval censored sample   X i 1 , , X i m at the observation time points t 1 , , t m with censoring schemes of R 1 , , R m from the Burr XII distribution.
Step 2: From Equation (9), determine the desired level c 0 for a pre-assigned conforming rate Pr. Then, the required level c 0 * for each production line can be determined from Table 1. Thus, the testing hypothesis H 0 : C L i c 0 * f o r s o m e i v.s. H a : C L i > c 0 * , i = 1 , , d is set up.
Step 3: Compute the value of the test statistic C ^ L i = 1 k ^ i L i .
Step 4: For the level of significance α , find the critical value of C L i 0 = 1 Z 1 α I i 1 k i 0 + k i 0 L i where k i 0 = 1 c 0 * L i , α = α 1/d and I i 1 k i 0 is defined in Equation (18).
Step 5: Compare C ^ L i   w i t h   C L i 0 . I f C ^ L i > C L i 0   s u s t a i n e d   f o r   i = 1 , , d , we can infer that the comprehensive lifetime performance index of the products has reached the required level c 0 .
For this test, the power function h(c1) at the point of C T = d C L d 1 = c 1 > c 0 or C L = c 1 + d 1 d = c 1 * is derived as follows:
h c 1 = P C ^ L i > C L i 0   , i = 1 , , d     c 1 * = 1 k i 1 L i , i = 1 , , d , = P 1 k ^ i L i > 1 Z 1 - α I i 1 k i 0 + k i 0 L i , i = 1 , , d k i 1 = 1 c 1 * L i , k i 0 = 1 c 0 * L i , i = 1 , , d = P k ^ i < k i 0 + Z 1 - α I i 1 k i 0 , i = 1 , , d k i 1 = 1 c 1 * L i , k i 0 = 1 c 0 * L i , i = 1 , , d = i = 1 d P k ^ i < k i 0 + Z 1 - α I i 1 k i 0 k i 1 = 1 c 1 * L i , k i 0 = 1 c 0 * L i = i = 1 d P k ^ i k i 1 I i 1 k i 1 < k i 0 k i 1 + Z 1 - α I i 1 k i 0 I i 1 k i 1 k i 1 = 1 c 1 * L i , k i 0 = 1 c 0 * L i = i = 1 d Φ k i 0 k i 1 + Z 1 - α I 1 k i 0 I i 1 k i 1 k i 1 = 1 c 1 * L i , k i 0 = 1 c 0 * L i ,
Under L1 = … = Ld = L, the power function is reduced to
h c 1 = i = 1 d Φ k 0 k 1 + Z 1 - α I i 1 k 0 I i 1 k 1 k 1 = 1 c 1 * L , k 0 = 1 c 0 * L
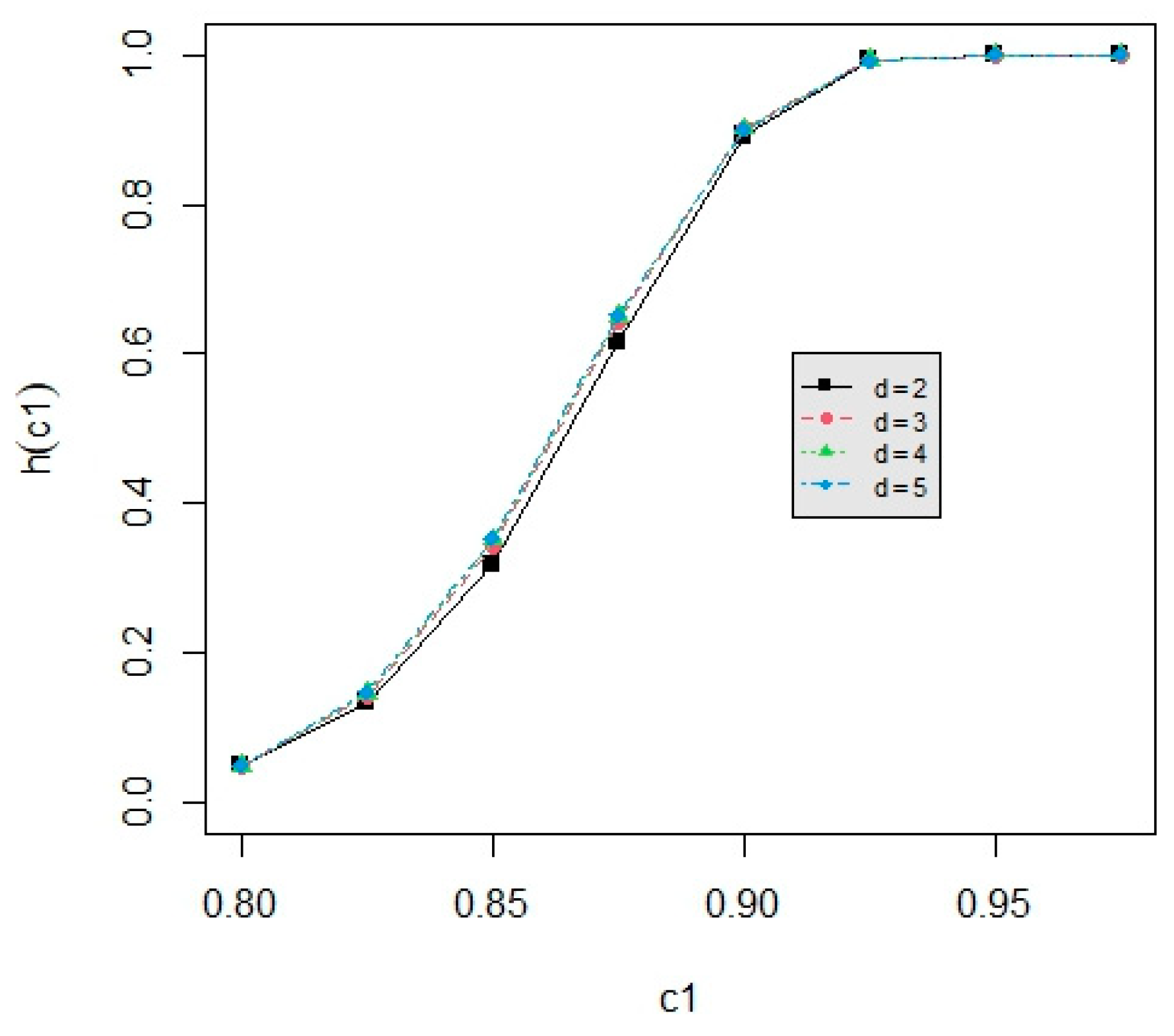
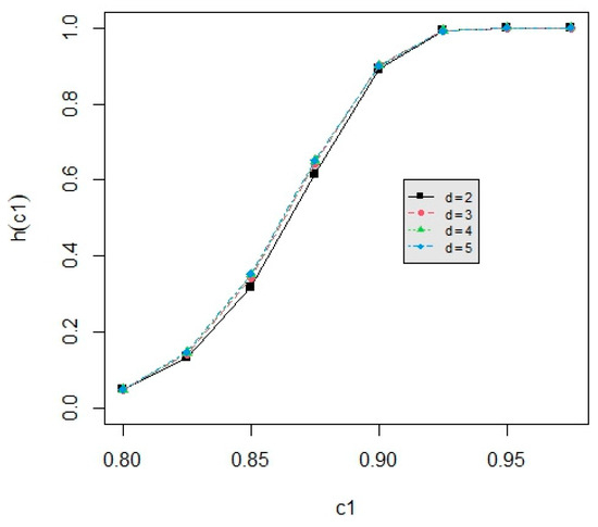
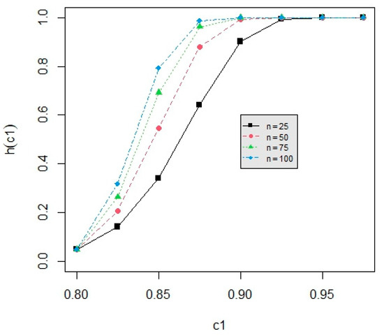
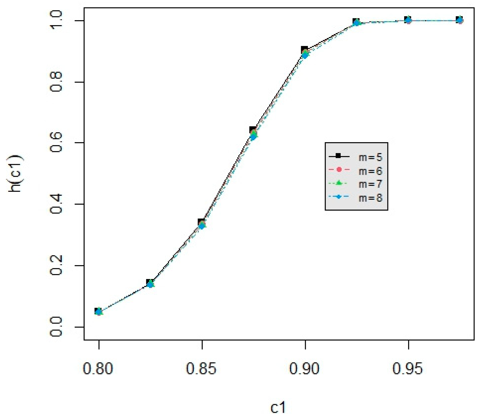
The powers h(c1) for testing H 0 : C T 0.8 are tabulated in Table A1, Table A2, Table A3, Table A4, Table A5, Table A6, Table A7, Table A8 and Table A9 for d = 2, 3, 4 with α = 0.01, 0.05, 0.1 for c1 = 0.80, 0.825, 0.85, 0.875, 0.90, 0.925, m = 5,6,7, n = 25, 50, 75 and p = 0.01, 0.05, 0.1 with L = 0.05, T = 0.5. The power values are illustrated in Figure 1, Figure 2, Figure 3, Figure 4 and Figure 5, demonstrating various standard scenarios. We have the following six findings from Table A1, Table A2, Table A3, Table A4, Table A5, Table A6, Table A7, Table A8 and Table A9 and Figure 1, Figure 2, Figure 3, Figure 4 and Figure 5. (1) From Figure 1, the power increases when d increases under n = 25, m = 5, p = 0.05 and α = 0.05. However, the difference is not significant, especially when c1 is getting closer to 1 (the same pattern is observed with alternative combinations of n, m, p, and α as well). (2) From Figure 2, the power value is an increasing function of n for fixed d = 3, α = 0.05, m = 5, and p = 0.05 (the same pattern is observed with alternative combinations of d, m, p and α as well). (3) From Figure 3, the power value is a decreasing function of m for fixed d = 3, n = 25, p = 0.05, and α = 0.05 (the same pattern is observed with alternative combinations of d, n, p, and α as well). However, the difference is not significant. Therefore, the users do not need to increase the number of inspection intervals in order to yield higher test power. (4) From Figure 4, the power increases when p increases for fixed d = 3, n = 25, m = 5, and α = 0.05 (the same pattern is observed with alternative combinations of d, n, m, and α as well). (5) From Figure 5, the power value is an increasing function of α under d = 3, n = 25, m = 5, and p = 0.05 (the same pattern is observed with alternative combinations of d, n, m, and p as well). (6) From Figure 1, Figure 2, Figure 3, Figure 4 and Figure 5, the power increases when c1 increases for any combinations of d, n, m, p, and α.

3.3. Numerical Example

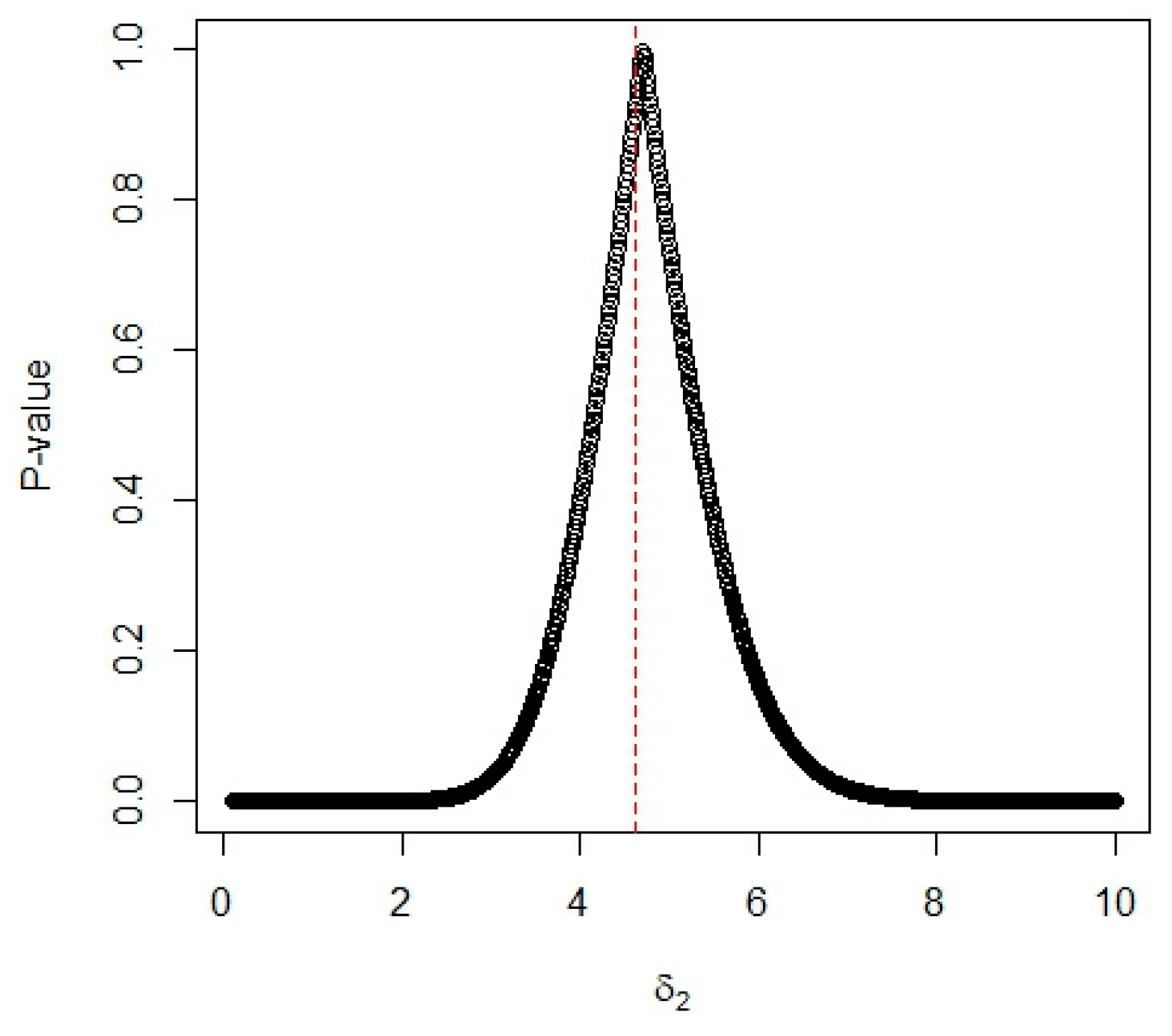
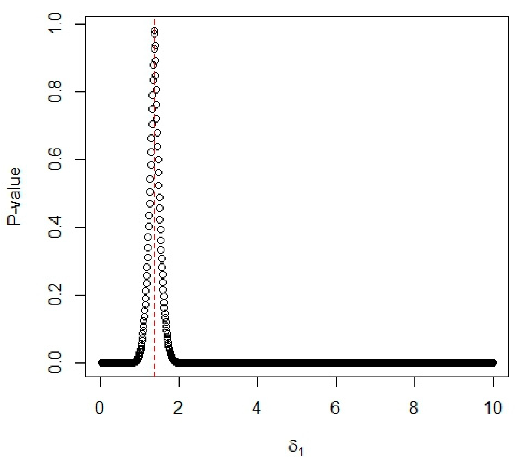
We consider a manufacturing process comprising two production lines (d = 2). For the first production line, the data in Lawless [21] is comprised of the failure times of n = 36 electrical appliances. The data of 36 failure times U1j, j = 1,…,36, is listed as follows: 0.0011, 0.0035, 0.0049, 0.017, 0.0329, 0.0381, 0.0708, 0.0958, 0.1062, 0.1167, 0.1594, 0.1925, 0.199, 0.2223, 0.2327, 0.24, 0.2451, 0.2471, 0.2551, 0.2565, 0.2568, 0.2702, 0.2761, 0.2831, 0.3034, 0.3034, 0.3059, 0.3112, 0.3214, 0.3478, 0.3504, 0.4329, 0.6367, 0.6976, 0.7846, 1.3403. We use the G test based on the Gini statistic from Gail and Gastwirth [22] to test if the data fits a Burr XII distribution or not. The p-value of this test is a function of the shape parameter δ1. From Figure 6, we can see that the maximum p-value of 0.9834 > 0.05 occurred when the value of δ1 = 1.37. The large p-value indicates that the data fits the Burr XII distribution very well. Therefore, the value of δ1 is determined as δ1 = 1.37. For the second production line, the data in Lai et al. [23] is comprised of the failure times of n = 20 components. The data of 20 failure times U2j, j = 1,…,20, is listed as follows: 0.0481, 0.1196, 0.1438, 0.1797, 0.1811, 0.1831, 0.1885, 0.2104, 0.2133, 0.2144, 0.2282, 0.2322, 0.2334, 0.2341, 0.2428, 0.2447, 0.2511, 0.2593, 0.2715, 0.3218. Using the G test, the p-value of this test is a function of the shape parameter δ2, and it is plotted in Figure 7. From Figure 7, we can see that the maximum p-value of 0.9183 > 0.05 occurred when the value of δ2 = 4.62. Likewise, the large p-value indicates that the data fits the Burr XII distribution very well. Thus, the value of δ2 is determined as δ2 = 4.62.
Suppose that we want to test H 0 : 0.80 . We create the progressive type I interval censored sample for the failure times of products from two production lines. Let the termination time be T = 0.25 with the number of inspections m = 5; the equal length of the inspection interval t = 0.05 and the pre-specified removal percentages of the remaining survival units given are by (p1, p2, p3, p4, p5) = (0.05, 0.05, 0.05, 0.05, 1.0).
Applying Algorithm 1, the testing procedure is implemented as follows:
Step 1: Given the known lower specification L 1 = L 2 = 0.005 , collect the progressive type I interval censored sample (X11, X12, X13, X14, X15)= 6 , 1 , 2 , 3 , 3 and (X21, X22, X23, X24, X25) = 1 , 0 , 2 , 4,7 for each production line at the pre-set times (t1,…,t5) =   0.05 , 0.1 , 0.15 , 0.2 , 0.25 with censoring schemes of (R11, R12, R13, R14, R15) = 2 , 2 , 2 , 1 , 14 and (R21, R22, R23, R24, R25) =     1 , 1 , 1 , 1 , 2 .
Step 2: Under the conforming rate o f P r   =   0.818731 , t h e required level for C T can be found to be c 0   = 0.80. Then, the required target level c 0 * = c 0 + d 1 d = 0.85 + 2 1 2 = 0.925 is determined for each production line. Then, the testing hypothesis H 0 : C L i c 0 * f o r s o m e   i vs. H a : C L i > c 0 * , i = 1,2 is set up.
Step 3: Obtain the maximum likelihood estimators k ^ 1 = 4.7847 and k ^ 2 = 9.9999 for two production lines. Compute the values of the test statistics C ^ L 1 = 1 4.7847 × 0.005 0.9761 and C ^ L 2 = 1 9.9999 × 0.005 = 0.9500 respectively.
Step 4: For the level of significance α = 0.05, we have α = ( 0.05 ) 1 2 = 0.2236 and k 10 = k 20 = k 0 = 1 c 0 * L 2 = 1 0.9 0.005 = 20 Then, we can compute the critical values C L 1 0 = 0.9137 and C L 2 0 = 0.9210 for two production lines.
Step 5: Since C ^ L 1 > C L 1 0 and C ^ L 2 > C L 2 0 , we can deduce that the individual lifetime performance indices meet the specified target values, resulting in the comprehensive lifetime performance index reaching the target level.

4. Conclusions

In diverse manufacturing fields, analyzing the lifetime performance indices is crucial, especially when a product’s lifespan follows a Burr XII distribution with progressive type I interval censored samples. Our study extends beyond a single production line to encompass multiple lines, introducing an overarching lifetime performance index applicable to these varied production lines. We investigate the interplay between this comprehensive lifetime performance index and individual lifetime performance indices, delving into deriving maximum likelihood estimators and asymptotic distributions for both based on progressive type I interval censored samples. We devise a computational algorithm for hypothesis testing at a specified significance level to assess whether the comprehensive lifetime performance index meets the target. This involves testing each individual lifetime performance index using the maximum likelihood estimator as the test statistic. We scrutinize the impact of the number of production lines (d), the sample size (n), the number of inspection intervals (m), removal probability (p), and the significance level (α) on the test power using visual illustrations, Figure 1, Figure 2, Figure 3, Figure 4 and Figure 5. All findings reveal that the test power is an increasing function of n, α, and d when the other parameters are fixed. However, it is a decreasing function of p or m when the other parameters are fixed. To demonstrate the practical application of our testing algorithm for the comprehensive lifetime performance index, we provide a numerical example involving two production lines in the concluding section.
In the future, we will focus on the investigation of an experimental design for the proposed testing procedure for the comprehensive lifetime performance index in this research to attain the given test power or to find the minimum total experimental cost under a specific cost structure. We can also consider other types of censoring schemes other than the progressive type I interval censoring.

Author Contributions

Conceptualization, S.-F.W.; methodology, S.-F.W.; software, S.-F.W. and P.-H.K.; validation, P.-H.K.; formal analysis, S.-F.W.; investigation, S.-F.W. and P.-H.K.; resources, S.-F.W.; data curation, S.-F.W. and P.-H.K.; writing—original draft preparation, S.-F.W. and P.-H.K.; writing—review and editing, S.-F.W.; visualization, P.-H.K. and W.-S.D.; supervision, S.-F.W. and W.-S.D.; project administration, S.-F.W.; funding acquisition, S.-F.W. All authors have read and agreed to the published version of the manuscript.

Funding

This research and the APC are funded by the National Science and Technology Council, Taiwan, NSTC 111-2118-M-032-003-MY2.

Data Availability Statement

Data are available in a publicly accessible repository. The data presented in this study are openly available in Lawless [21] and Lai et al. [23].

Conflicts of Interest

The authors declare no conflict of interest.

Appendix A

Table A1. The power h(c1) at d = 2, α = 0.01.
Table A1. The power h(c1) at d = 2, α = 0.01.
c1
mnp0.800.8250.850.8750.900.925
5250.010.0100 0.0329 0.1031 0.2848 0.6159 0.9214
0.050.0100 0.0321 0.0986 0.2706 0.5915 0.9072
0.10.0100 0.0313 0.0945 0.2572 0.5673 0.8916
500.010.0100 0.0574 0.2432 0.6376 0.9477 0.9994
0.050.0100 0.0556 0.2322 0.6155 0.9379 0.9991
0.10.0100 0.0538 0.2217 0.5935 0.9271 0.9987
750.010.0100 0.0843 0.3942 0.8486 0.9951 1.0000
0.050.0100 0.0813 0.3777 0.8317 0.9935 1.0000
0.10.0100 0.0784 0.3618 0.8140 0.9914 1.0000
6250.010.0100 0.0325 0.1009 0.2777 0.6038 0.9145
0.050.0100 0.0315 0.0955 0.2606 0.5734 0.8958
0.10.0100 0.0305 0.0906 0.2447 0.5438 0.8750
500.010.0100 0.0565 0.2377 0.6267 0.9430 0.9993
0.050.0100 0.0543 0.2244 0.5991 0.9299 0.9988
0.10.0100 0.0522 0.2120 0.5721 0.9153 0.9981
750.010.0100 0.0828 0.3859 0.8403 0.9944 1.0000
0.050.0100 0.0792 0.3658 0.8186 0.9920 1.0000
0.10.0100 0.0758 0.3467 0.7959 0.9890 1.0000
7250.010.0100 0.0321 0.0987 0.2708 0.5916 0.9073
0.050.0100 0.0309 0.0925 0.2509 0.5556 0.8836
0.10.0100 0.0299 0.0869 0.2328 0.5208 0.8572
500.010.0100 0.0556 0.2322 0.6156 0.9380 0.9991
0.050.0100 0.0530 0.2168 0.5829 0.9214 0.9984
0.10.0100 0.0506 0.2027 0.5511 0.9025 0.9973
750.010.0100 0.0813 0.3778 0.8318 0.9935 1.0000
0.050.0100 0.0771 0.3542 0.8052 0.9903 1.0000
0.10.0100 0.0732 0.3323 0.7774 0.9860 1.0000
Table A2. The power h(c1) at d = 2, α = 0.05.
Table A2. The power h(c1) at d = 2, α = 0.05.
c1
mnp0.800.8250.850.8750.900.925
5250.010.0500 0.1344 0.3194 0.6160 0.8921 0.9931
0.050.0500 0.1320 0.3104 0.6000 0.8802 0.9912
0.10.0500 0.1296 0.3019 0.5841 0.8676 0.9889
500.010.0500 0.1981 0.5323 0.8804 0.9939 1.0000
0.050.0500 0.1936 0.5183 0.8686 0.9923 1.0000
0.10.0500 0.1894 0.5046 0.8564 0.9903 1.0000
750.010.0500 0.2570 0.6892 0.9661 0.9997 1.0000
0.050.0500 0.2507 0.6741 0.9606 0.9996 1.0000
0.10.0500 0.2446 0.6591 0.9547 0.9994 1.0000
6250.010.0500 0.1332 0.3149 0.6080 0.8863 0.9922
0.050.0500 0.1302 0.3040 0.5882 0.8709 0.9895
0.10.0500 0.1274 0.2937 0.5688 0.8547 0.9862
500.010.0500 0.1959 0.5253 0.8746 0.9931 1.0000
0.050.0500 0.1904 0.5081 0.8595 0.9909 1.0000
0.10.0500 0.1853 0.4915 0.8439 0.9881 1.0000
750.010.0500 0.2538 0.6817 0.9634 0.9996 1.0000
0.050.0500 0.2461 0.6629 0.9562 0.9994 1.0000
0.10.0500 0.2388 0.6444 0.9482 0.9992 1.0000
7250.010.0500 0.1320 0.3105 0.6000 0.8802 0.9912
0.050.0500 0.1285 0.2978 0.5765 0.8613 0.9876
0.10.0500 0.1253 0.2859 0.5538 0.8414 0.9831
500.010.0500 0.1937 0.5184 0.8687 0.9923 1.0000
0.050.0500 0.1873 0.4981 0.8502 0.9893 1.0000
0.10.0500 0.1814 0.4788 0.8311 0.9855 0.9999
750.010.0500 0.2507 0.6742 0.9607 0.9996 1.0000
0.050.0500 0.2417 0.6518 0.9515 0.9993 1.0000
0.10.0500 0.2333 0.6299 0.9413 0.9989 1.0000
Table A3. The power h(c1) at d = 2, α = 0.1.
Table A3. The power h(c1) at d = 2, α = 0.1.
c1
mnp0.800.8250.850.8750.900.925
5250.010.1000 0.2370 0.4800 0.7724 0.9580 0.9987
0.050.1000 0.2335 0.4700 0.7597 0.9522 0.9983
0.10.1000 0.2301 0.4603 0.7469 0.9459 0.9977
500.010.1000 0.3219 0.6877 0.9460 0.9985 1.0000
0.050.1000 0.3162 0.6753 0.9396 0.9980 1.0000
0.10.1000 0.3106 0.6630 0.9327 0.9975 1.0000
750.010.1000 0.3937 0.8141 0.9876 1.0000 1.0000
0.050.1000 0.3862 0.8027 0.9852 0.9999 1.0000
0.10.1000 0.3789 0.7912 0.9826 0.9999 1.0000
6250.010.1000 0.2353 0.4750 0.7661 0.9552 0.9985
0.050.1000 0.2310 0.4627 0.7502 0.9476 0.9979
0.10.1000 0.2269 0.4509 0.7343 0.9393 0.9970
500.010.1000 0.3190 0.6815 0.9429 0.9983 1.0000
0.050.1000 0.3120 0.6661 0.9345 0.9976 1.0000
0.10.1000 0.3053 0.6510 0.9255 0.9968 1.0000
750.010.1000 0.3900 0.8085 0.9864 0.9999 1.0000
0.050.1000 0.3808 0.7941 0.9833 0.9999 1.0000
0.10.1000 0.3720 0.7797 0.9797 0.9998 1.0000
7250.010.1000 0.2335 0.4700 0.7597 0.9522 0.9983
0.050.1000 0.2285 0.4556 0.7407 0.9427 0.9974
0.10.1000 0.2238 0.4419 0.7218 0.9322 0.9962
500.010.1000 0.3162 0.6753 0.9396 0.9980 1.0000
0.050.1000 0.3080 0.6570 0.9292 0.9972 1.0000
0.10.1000 0.3002 0.6392 0.9180 0.9960 1.0000
750.010.1000 0.3863 0.8028 0.9852 0.9999 1.0000
0.050.1000 0.3755 0.7855 0.9812 0.9999 1.0000
0.10.1000 0.3652 0.7682 0.9765 0.9998 1.0000
Table A4. The power h(c1) at d = 3, α = 0.01.
Table A4. The power h(c1) at d = 3, α = 0.01.
c1
mnp0.800.8250.850.8750.900.925
5250.010.0100 0.0366 0.1207 0.3290 0.6682 0.9375
0.050.0100 0.0357 0.1154 0.3135 0.6452 0.9264
0.10.0100 0.0347 0.1104 0.2987 0.6222 0.9140
500.010.0100 0.0628 0.2663 0.6624 0.9489 0.9991
0.050.0100 0.0607 0.2544 0.6409 0.9398 0.9988
0.10.0100 0.0587 0.2430 0.6195 0.9297 0.9982
750.010.0100 0.0910 0.4145 0.8514 0.9935 1.0000
0.050.0100 0.0876 0.3974 0.8351 0.9916 1.0000
0.10.0100 0.0844 0.3809 0.8181 0.9892 1.0000
6250.010.0100 0.0361 0.1180 0.3212 0.6567 0.9321
0.050.0100 0.0350 0.1117 0.3024 0.6281 0.9173
0.10.0100 0.0339 0.1058 0.2848 0.5997 0.9008
500.010.0100 0.0617 0.2603 0.6516 0.9445 0.9990
0.050.0100 0.0592 0.2458 0.6249 0.9324 0.9984
0.10.0100 0.0568 0.2323 0.5985 0.9189 0.9975
750.010.0100 0.0893 0.4059 0.8433 0.9926 1.0000
0.050.0100 0.0852 0.3850 0.8225 0.9899 1.0000
0.10.0100 0.0814 0.3652 0.8007 0.9864 1.0000
7250.010.0100 0.0357 0.1154 0.3135 0.6453 0.9264
0.050.0100 0.0343 0.1081 0.2917 0.6112 0.9077
0.10.0100 0.0330 0.1015 0.2716 0.5776 0.8865
500.010.0100 0.0607 0.2544 0.6409 0.9398 0.9988
0.050.0100 0.0578 0.2376 0.6091 0.9245 0.9979
0.10.0100 0.0551 0.2222 0.5779 0.9072 0.9967
750.010.0100 0.0876 0.3974 0.8351 0.9916 1.0000
0.050.0100 0.0829 0.3731 0.8096 0.9879 1.0000
0.10.0100 0.0785 0.3502 0.7829 0.9832 0.9999
Table A5. The power h(c1) at d = 3, α = 0.05.
Table A5. The power h(c1) at d = 3, α = 0.05.
c1
mnp0.800.8250.850.8750.900.925
5250.010.0500 0.1425 0.3421 0.6430 0.9015 0.9929
0.050.0500 0.1398 0.3327 0.6274 0.8908 0.9911
0.10.0500 0.1372 0.3235 0.6119 0.8796 0.9890
500.010.0500 0.2065 0.5458 0.8803 0.9921 1.0000
0.050.0500 0.2017 0.5317 0.8689 0.9903 0.9999
0.10.0500 0.1971 0.5179 0.8570 0.9881 0.9999
750.010.0500 0.2647 0.6921 0.9610 0.9994 1.0000
0.050.0500 0.2580 0.6771 0.9553 0.9991 1.0000
0.10.0500 0.2516 0.6621 0.9489 0.9988 1.0000
6250.010.0500 0.1411 0.3374 0.6352 0.8962 0.9921
0.050.0500 0.1378 0.3258 0.6159 0.8825 0.9896
0.10.0500 0.1347 0.3148 0.5969 0.8680 0.9866
500.010.0500 0.2041 0.5387 0.8746 0.9912 1.0000
0.050.0500 0.1982 0.5214 0.8601 0.9887 0.9999
0.10.0500 0.1927 0.5046 0.8449 0.9857 0.9999
750.010.0500 0.2613 0.6846 0.9582 0.9993 1.0000
0.050.0500 0.2532 0.6659 0.9506 0.9989 1.0000
0.10.0500 0.2454 0.6475 0.9422 0.9985 1.0000
7250.010.0500 0.1398 0.3327 0.6274 0.8908 0.9911
0.050.0500 0.1360 0.3192 0.6045 0.8740 0.9879
0.10.0500 0.1324 0.3065 0.5822 0.8561 0.9839
500.010.0500 0.2017 0.5317 0.8689 0.9903 0.9999
0.050.0500 0.1949 0.5113 0.8511 0.9870 0.9999
0.10.0500 0.1885 0.4918 0.8326 0.9829 0.9998
750.010.0500 0.2580 0.6771 0.9553 0.9991 1.0000
0.050.0500 0.2485 0.6549 0.9457 0.9987 1.0000
0.10.0500 0.2396 0.6331 0.9351 0.9980 1.0000
Table A6. The power h(c1) at d = 3, α = 0.1.
Table A6. The power h(c1) at d = 3, α = 0.1.
c1
mnp0.800.8250.850.8750.900.925
5250.010.1000 0.2461 0.4980 0.7844 0.9584 0.9983
0.050.1000 0.2424 0.4878 0.7723 0.9530 0.9978
0.10.1000 0.2387 0.4779 0.7602 0.9471 0.9972
500.010.1000 0.3293 0.6920 0.9418 0.9976 1.0000
0.050.1000 0.3232 0.6796 0.9352 0.9970 1.0000
0.10.1000 0.3174 0.6674 0.9283 0.9963 1.0000
750.010.1000 0.3987 0.8096 0.9838 0.9999 1.0000
0.050.1000 0.3909 0.7982 0.9811 0.9998 1.0000
0.10.1000 0.3834 0.7867 0.9780 0.9997 1.0000
6250.010.1000 0.2442 0.4929 0.7784 0.9557 0.9981
0.050.1000 0.2396 0.4804 0.7633 0.9487 0.9974
0.10.1000 0.2353 0.4684 0.7481 0.9410 0.9965
500.010.1000 0.3262 0.6858 0.9385 0.9973 1.0000
0.050.1000 0.3189 0.6705 0.9301 0.9965 1.0000
0.10.1000 0.3119 0.6555 0.9211 0.9954 1.0000
750.010.1000 0.3948 0.8039 0.9825 0.9998 1.0000
0.050.1000 0.3853 0.7896 0.9788 0.9997 1.0000
0.10.1000 0.3761 0.7752 0.9747 0.9996 1.0000
7250.010.1000 0.2424 0.4878 0.7723 0.9530 0.9978
0.050.1000 0.2370 0.4732 0.7543 0.9442 0.9969
0.10.1000 0.2320 0.4592 0.7363 0.9346 0.9957
500.010.1000 0.3232 0.6797 0.9352 0.9970 1.0000
0.050.1000 0.3147 0.6615 0.9248 0.9958 1.0000
0.10.1000 0.3065 0.6438 0.9136 0.9943 1.0000
750.010.1000 0.3909 0.7982 0.9811 0.9998 1.0000
0.050.1000 0.3798 0.7810 0.9764 0.9997 1.0000
0.10.1000 0.3692 0.7638 0.9711 0.9995 1.0000
Table A7. The power h(c1) at d = 4, α = 0.01.
Table A7. The power h(c1) at d = 4, α = 0.01.
c1
mnp0.800.8250.850.8750.900.925
5250.010.0100 0.0386 0.1293 0.3482 0.6861 0.9408
0.050.0100 0.0375 0.1238 0.3326 0.6645 0.9308
0.10.0100 0.0365 0.1185 0.3176 0.6429 0.9198
500.010.0100 0.0649 0.2729 0.6634 0.9442 0.9987
0.050.0100 0.0627 0.2609 0.6426 0.9351 0.9982
0.10.0100 0.0606 0.2494 0.6219 0.9251 0.9975
750.010.0100 0.0929 0.4150 0.8422 0.9911 1.0000
0.050.0100 0.0894 0.3981 0.8261 0.9887 1.0000
0.10.0100 0.0861 0.3818 0.8092 0.9859 0.9999
6250.010.0100 0.0380 0.1265 0.3403 0.6754 0.9359
0.050.0100 0.0368 0.1198 0.3214 0.6484 0.9227
0.10.0100 0.0356 0.1136 0.3035 0.6216 0.9080
500.010.0100 0.0638 0.2668 0.6530 0.9398 0.9984
0.050.0100 0.0612 0.2523 0.6272 0.9278 0.9977
0.10.0100 0.0587 0.2387 0.6016 0.9144 0.9966
750.010.0100 0.0911 0.4065 0.8342 0.9899 1.0000
0.050.0100 0.0869 0.3859 0.8136 0.9867 0.9999
0.10.0100 0.0830 0.3663 0.7921 0.9827 0.9999
7250.010.0100 0.0375 0.1238 0.3326 0.6646 0.9308
0.050.0100 0.0361 0.1161 0.3107 0.6325 0.9142
0.10.0100 0.0347 0.1091 0.2902 0.6007 0.8954
500.010.0100 0.0627 0.2609 0.6427 0.9352 0.9982
0.050.0100 0.0597 0.2441 0.6120 0.9200 0.9971
0.10.0100 0.0568 0.2285 0.5818 0.9030 0.9956
750.010.0100 0.0894 0.3981 0.8261 0.9887 1.0000
0.050.0100 0.0845 0.3741 0.8009 0.9844 0.9999
0.10.0100 0.0801 0.3516 0.7746 0.9789 0.9998
Table A8. The power h(c1) at d = 4, α = 0.05.
Table A8. The power h(c1) at d = 4, α = 0.05.
c1
mnp0.800.8250.850.8750.900.925
5250.010.0500 0.1460 0.3506 0.6502 0.9013 0.9920
0.050.0500 0.1432 0.3411 0.6352 0.8912 0.9902
0.10.0500 0.1405 0.3320 0.6203 0.8806 0.9881
500.010.0500 0.2084 0.5445 0.8729 0.9898 0.9999
0.050.0500 0.2035 0.5307 0.8616 0.9876 0.9999
0.10.0500 0.1989 0.5171 0.8499 0.9852 0.9998
750.010.0500 0.2645 0.6833 0.9538 0.9989 1.0000
0.050.0500 0.2579 0.6685 0.9475 0.9985 1.0000
0.10.0500 0.2514 0.6538 0.9408 0.9981 1.0000
6250.010.0500 0.1446 0.3458 0.6427 0.8963 0.9911
0.050.0500 0.1412 0.3343 0.6241 0.8834 0.9886
0.10.0500 0.1380 0.3233 0.6058 0.8698 0.9857
500.010.0500 0.2059 0.5375 0.8673 0.9887 0.9999
0.050.0500 0.2001 0.5206 0.8529 0.9858 0.9998
0.10.0500 0.1945 0.5042 0.8380 0.9824 0.9998
750.010.0500 0.2612 0.6759 0.9507 0.9987 1.0000
0.050.0500 0.2531 0.6575 0.9426 0.9982 1.0000
0.10.0500 0.2454 0.6394 0.9337 0.9975 1.0000
7250.010.0500 0.1432 0.3412 0.6352 0.8913 0.9902
0.050.0500 0.1393 0.3277 0.6132 0.8754 0.9869
0.10.0500 0.1356 0.3151 0.5918 0.8587 0.9830
500.010.0500 0.2035 0.5307 0.8617 0.9876 0.9999
0.050.0500 0.1967 0.5107 0.8441 0.9839 0.9998
0.10.0500 0.1903 0.4916 0.8260 0.9793 0.9997
750.010.0500 0.2579 0.6685 0.9476 0.9985 1.0000
0.050.0500 0.2484 0.6467 0.9374 0.9978 1.0000
0.10.0500 0.2396 0.6254 0.9262 0.9969 1.0000
Table A9. The power h(c1) at d = 4, α = 0.1.
Table A9. The power h(c1) at d = 4, α = 0.1.
c1
mnp0.800.8250.850.8750.900.925
5250.010.1000 0.2494 0.5028 0.7846 0.9558 0.9978
0.050.1000 0.2457 0.4928 0.7730 0.9505 0.9973
0.10.1000 0.2420 0.4831 0.7614 0.9448 0.9966
500.010.1000 0.3295 0.6862 0.9349 0.9965 1.0000
0.050.1000 0.3235 0.6741 0.9282 0.9957 1.0000
0.10.1000 0.3178 0.6622 0.9210 0.9948 1.0000
750.010.1000 0.3959 0.7987 0.9792 0.9997 1.0000
0.050.1000 0.3882 0.7874 0.9760 0.9996 1.0000
0.10.1000 0.3808 0.7759 0.9725 0.9994 1.0000
6250.010.1000 0.2475 0.4978 0.7788 0.9532 0.9976
0.050.1000 0.2429 0.4856 0.7644 0.9463 0.9968
0.10.1000 0.2385 0.4738 0.7499 0.9389 0.9958
500.010.1000 0.3265 0.6801 0.9316 0.9961 1.0000
0.050.1000 0.3192 0.6652 0.9229 0.9950 1.0000
0.10.1000 0.3122 0.6506 0.9137 0.9937 1.0000
750.010.1000 0.3920 0.7931 0.9777 0.9996 1.0000
0.050.1000 0.3827 0.7788 0.9735 0.9995 1.0000
0.10.1000 0.3737 0.7645 0.9688 0.9993 1.0000
7250.010.1000 0.2457 0.4928 0.7731 0.9505 0.9973
0.050.1000 0.2403 0.4785 0.7558 0.9420 0.9962
0.10.1000 0.2352 0.4648 0.7386 0.9327 0.9949
500.010.1000 0.3236 0.6742 0.9282 0.9957 1.0000
0.050.1000 0.3150 0.6565 0.9175 0.9942 1.0000
0.10.1000 0.3070 0.6392 0.9062 0.9924 0.9999
750.010.1000 0.3882 0.7874 0.9760 0.9996 1.0000
0.050.1000 0.3773 0.7703 0.9707 0.9994 1.0000
0.10.1000 0.3669 0.7533 0.9648 0.9990 1.0000

References

  1. Montgomery, D.C. Introduction to Statistical Quality Control; John Wiley and Sons Inc.: New York, NY, USA, 1985. [Google Scholar]
  2. Johnson, N.L.; Kotz, S.; Balakrishnan, N. Continuous Univariate Distribution, 2nd ed.; John Wiley and Sons Inc.: New York, NY, USA, 1995. [Google Scholar]
  3. Anderson, D.R.; Sweeney, D.J.; Williams, T.A. Statistics for Business and Economics; West Publishing Company: Saint Paul, MN, USA, 1990. [Google Scholar]
  4. Meyer, P.L. Introductory Probability and Statistical Applications; Addison-Wesley: Reading, MA, USA, 1965. [Google Scholar]
  5. Epstein, B.; Sobel, M. Life-testing. J. Am. Stat. Assoc. 1953, 48, 486–502. [Google Scholar] [CrossRef]
  6. Tong, L.I.; Chen, K.S.; Chen, H.T. Statistical testing for assessing the performance of lifetime index of electronic components with exponential distribution. Int. J. Qual. Reliab. Manag. 2002, 19, 812–824. [Google Scholar] [CrossRef]
  7. Aggarwala, R. Progressive interval censoring: Some mathematical results with applications to inference. Commun. Stat. Theory Methods 2001, 30, 1921–1935. [Google Scholar] [CrossRef]
  8. Balakrishnan, N.; Aggarwala, R. Progressive Censoring: Theory, Methods and Applications; Birkhäuser: Boston, MA, USA, 2000. [Google Scholar]
  9. Wu, J.W.; Lee, W.C.; Lin, L.S.; Hong, M.L. Bayesian test of lifetime performance index for exponential products based on the progressively type II right censored sample. J. Quant. Manag. 2011, 8, 57–77. [Google Scholar]
  10. Sanjel, D.; Balakrishnan, N. A Laguerre polynomial approximation for a goodness-of-fit test for exponential distribution based on progressively censored data. J. Stat. Comput. Simul. 2008, 78, 503–513. [Google Scholar] [CrossRef]
  11. Lee, W.C.; Wu, J.W.; Hong, C.W. Assessing the lifetime performance index of products with the exponential distribution under progressively type II right censored samples. J. Comput. Appl. Math. 2009, 231, 648–656. [Google Scholar] [CrossRef]
  12. Haj Ahmad, H.; Elnagar, K.; Ramadan, D. Investigating the lifetime performance index under Ishita distribution based on progressive type II censored data with applications. Symmetry 2023, 15, 1779. [Google Scholar] [CrossRef]
  13. Lee, H.M.; Wu, J.W.; Lei, C.L. Assessing the Lifetime Performance Index of Exponential Products with Step-Stress Accelerated Life-Testing Data. IEEE Trans. Reliab. 2013, 62, 296–304. [Google Scholar] [CrossRef]
  14. Wu, S.F.; Chen, Z.C.; Chang, W.J.; Chang, C.W.; Lin, C. A hypothesis testing procedure for the evaluation on the lifetime performance index of products with Burr XII distribution under progressive type I interval censoring. Commun. Stat. Simul. Comput. 2018, 47, 2670–2683. [Google Scholar] [CrossRef]
  15. Wu, S.F.; Cheng, Y.W.; Kang, C.W.; Chang, W.T. Reliability sampling design for the lifetime performance index of Burr XII lifetime distribution under progressive type I interval censoring. Commun. Stat. Simul. Comput. 2023, 52, 5483–5497. [Google Scholar] [CrossRef]
  16. Wu, S.F.; Song, M.Z. The experimental design for the progressive type I interval censoring on the lifetime performance index of Chen lifetime distribution. Mathematics 2023, 11, 1554. [Google Scholar] [CrossRef]
  17. Martínez-Flórez, G.; Tovar-Falón, R.; Jimémez-Narváez, M. Likelihood-Based Inference for the Asymmetric Beta-Skew Alpha-Power Distribution. Symmetry 2020, 12, 613. [Google Scholar] [CrossRef]
  18. Seung, C.A.; Gareth, M.T. Likelihood-based inference for dynamic panel data models. Empir. Econ. 2023, 64, 2859–2909. [Google Scholar]
  19. Phaphan, W.; Simmachan, T.; Abdullahi, I. Maximum likelihood estimation of the weighted mixture generalized gamma distribution. Math. Stat. 2023, 11, 516–527. [Google Scholar] [CrossRef]
  20. Casella, G.; Berger, R.L. Statistical Inference, 2nd ed.; Duxbury Press: Pacific Grove, CA, USA, 2002. [Google Scholar]
  21. Lawless, J.F. Statistical Models and Methods for Lifetime Data, 2nd ed.; John Wiley and Sons Inc.: New York, NY, USA, 2003. [Google Scholar]
  22. Gail, M.H.; Gastwirth, J.L. A scale-free goodness of fit test for the exponential distribution based on the Gini Statistic. J. R. Stat. Soc. B 1978, 40, 350–357. [Google Scholar] [CrossRef]
  23. Lai, C.D.; Xie, M.; Murthy, D. A modified Weibull distribution. IEEE Trans. Reliab. 2003, 52, 33–37. [Google Scholar] [CrossRef]
Figure 1. The power curve for d = 2, 3, 4, 5 with n = 25, m = 5, p = 0.05, α = 0.05.
Figure 1. The power curve for d = 2, 3, 4, 5 with n = 25, m = 5, p = 0.05, α = 0.05.
Mathematics 12 00584 g001
Figure 2. The power curve for n = 25, 50, 75, 100 with d = 3, α = 0.05, m = 5, p = 0.05.
Figure 2. The power curve for n = 25, 50, 75, 100 with d = 3, α = 0.05, m = 5, p = 0.05.
Mathematics 12 00584 g002
Figure 3. The power curve for m = 5, 6, 7, 8 with d = 3, α = 0.05, n = 25, p = 0.05.
Figure 3. The power curve for m = 5, 6, 7, 8 with d = 3, α = 0.05, n = 25, p = 0.05.
Mathematics 12 00584 g003
Figure 4. The power curve for p = 0.01, 0.05, 0.1 with d = 3, α = 0.05, n = 25, m = 5.
Figure 4. The power curve for p = 0.01, 0.05, 0.1 with d = 3, α = 0.05, n = 25, m = 5.
Mathematics 12 00584 g004
Figure 5. The power curve for α = 0.01, 0.05, 0.1 with d = 3, n = 25, m = 5, p = 0.05.
Figure 5. The power curve for α = 0.01, 0.05, 0.1 with d = 3, n = 25, m = 5, p = 0.05.
Mathematics 12 00584 g005
Figure 6. The p-values vs. the values of δ1.
Figure 6. The p-values vs. the values of δ1.
Mathematics 12 00584 g006
Figure 7. The p-values vs. the values of δ2.
Figure 7. The p-values vs. the values of δ2.
Mathematics 12 00584 g007
Table 1. The corresponding values of C L for a given value of C T .
Table 1. The corresponding values of C L for a given value of C T .
C L
CT\k23456
0.525 0.762500 0.841667 0.881250 0.905000 0.920833
0.550 0.775000 0.850000 0.887500 0.910000 0.925000
0.575 0.787500 0.858333 0.893750 0.915000 0.929167
0.600 0.800000 0.866667 0.900000 0.920000 0.933333
0.625 0.812500 0.875000 0.906250 0.925000 0.937500
0.650 0.825000 0.883333 0.912500 0.930000 0.941667
0.675 0.837500 0.891667 0.918750 0.935000 0.945833
0.700 0.850000 0.900000 0.925000 0.940000 0.950000
0.725 0.862500 0.908333 0.931250 0.945000 0.954167
0.750 0.875000 0.916667 0.937500 0.950000 0.958333
0.775 0.887500 0.925000 0.943750 0.955000 0.962500
0.800 0.900000 0.933333 0.950000 0.960000 0.966667
0.825 0.912500 0.941667 0.956250 0.965000 0.970833
0.850 0.925000 0.950000 0.962500 0.970000 0.975000
0.875 0.937500 0.958333 0.968750 0.975000 0.979167
0.900 0.950000 0.966667 0.975000 0.980000 0.983333
0.925 0.962500 0.975000 0.981250 0.985000 0.987500
0.950 0.975000 0.983333 0.987500 0.990000 0.991667
0.975 0.987500 0.991667 0.993750 0.995000 0.995833
1.000 1.000000 1.000000 1.000000 1.000000 1.000000
Disclaimer/Publisher’s Note: The statements, opinions and data contained in all publications are solely those of the individual author(s) and contributor(s) and not of MDPI and/or the editor(s). MDPI and/or the editor(s) disclaim responsibility for any injury to people or property resulting from any ideas, methods, instructions or products referred to in the content.

Share and Cite

MDPI and ACS Style

Wu, S.-F.; Kuo, P.-H.; Deng, W.-S. The Computational Testing Procedure for the Comprehensive Lifetime Performance Index of Burr XII Products in Multiple Production Lines. Mathematics 2024, 12, 584. https://doi.org/10.3390/math12040584

AMA Style

Wu S-F, Kuo P-H, Deng W-S. The Computational Testing Procedure for the Comprehensive Lifetime Performance Index of Burr XII Products in Multiple Production Lines. Mathematics. 2024; 12(4):584. https://doi.org/10.3390/math12040584

Chicago/Turabian Style

Wu, Shu-Fei, Pei-Hsuan Kuo, and Wen-Shuenn Deng. 2024. "The Computational Testing Procedure for the Comprehensive Lifetime Performance Index of Burr XII Products in Multiple Production Lines" Mathematics 12, no. 4: 584. https://doi.org/10.3390/math12040584

APA Style

Wu, S.-F., Kuo, P.-H., & Deng, W.-S. (2024). The Computational Testing Procedure for the Comprehensive Lifetime Performance Index of Burr XII Products in Multiple Production Lines. Mathematics, 12(4), 584. https://doi.org/10.3390/math12040584

Note that from the first issue of 2016, this journal uses article numbers instead of page numbers. See further details here.

Article Metrics

Back to TopTop