Next Article in Journal
A Robust Salp Swarm Algorithm for Photovoltaic Maximum Power Point Tracking Under Partial Shading Conditions
Next Article in Special Issue
Explicit Form of Solutions of Second-Order Delayed Difference Equations: Application to Iterative Learning Control
Previous Article in Journal
Patch-Wise-Based Self-Supervised Learning for Anomaly Detection on Multivariate Time Series Data
Previous Article in Special Issue
Efficient Solutions for Stochastic Fractional Differential Equations with a Neutral Delay Using Jacobi Poly-Fractonomials
 
 
Font Type:
Arial Georgia Verdana
Font Size:
Aa Aa Aa
Line Spacing:
Column Width:
Background:
Article

Remarks on Sequential Caputo Fractional Differential Equations with Fractional Initial and Boundary Conditions

by
Aghalaya S. Vatsala
1,* and
Bhuvaneswari Sambandham
2
1
Department of Mathematics, University of Louisiana at Lafayette, Lafayette, LA 70504, USA
2
Department of Mathematics, Utah Tech University, Saint George, UT 84790, USA
*
Author to whom correspondence should be addressed.
Mathematics 2024, 12(24), 3970; https://doi.org/10.3390/math12243970
Submission received: 23 November 2024 / Revised: 12 December 2024 / Accepted: 13 December 2024 / Published: 17 December 2024

Abstract

In the literature so far, for Caputo fractional boundary value problems of order 2 q when 1 < 2 q < 2 , the problems use the same boundary conditions of the integer-order differential equation of order ‘2’. In addition, they only use the left Caputo derivative in computing the solution of the Caputo boundary value problem of order 2 q . Further, even the initial conditions for a Caputo fractional differential equation of order n q use the corresponding integer-order initial conditions of order ‘n’. In this work, we establish that it is more appropriate to use the Caputo fractional initial conditions and Caputo fractional boundary conditions for sequential initial value problems and sequential boundary value problems, respectively. It is to be noted that the solution of a Caputo fractional initial value problem or Caputo fractional boundary value problem of order ‘ n q ’ will only be a C n q solution and not a C n solution on its interval. In this work, we present a methodology to compute the solutions of linear sequential Caputo fractional differential equations using initial and boundary conditions of fractional order k q , k = 0 , 1 , ( n 1 ) when the order of the fractional derivative involved in the differential equation is n q . The Caputo left derivative can be computed only when the function can be expressed as f ( x a ) . Then the Caputo right derivative of the same function will be computed for the function f ( b x ) . Further, we establish that the relation between the Caputo left derivative and the Caputo right derivative is very essential for the study of Caputo fractional boundary value problems. We present a few numerical examples to justify that the Caputo left derivative and the Caputo right derivative are equal at any point on the Caputo function’s interval. The solution of the linear sequential Caputo fractional initial value problems and linear sequential Caputo fractional boundary value problems with fractional initial conditions and fractional boundary conditions reduces to the corresponding integer initial and boundary value problems, respectively, when q = 1 . Thus, we can use the value of q as a parameter to enhance the mathematical model with realistic data.

1. Introduction

The study and analysis of fractional differential equations with initial and boundary conditions has taken an important role in mathematical modeling in terms of its application to various branches of science and engineering. See [1,2,3,4,5,6,7,8,9,10,11,12] for the analysis and the references therein for applications. Furthermore, see [13,14,15,16,17,18,19,20,21,22,23,24,25,26,27] for some more applications of fractional differential equations. Among the several types of fractional derivatives, the most used fractional derivatives are the Riemann–Liouville derivative and the Caputo fractional derivative. Differential equations involving Caputo derivatives have an advantage over differential equations of an integer order. The solution of Caputo fractional differential equations with initial and boundary conditions reduces to the solution of the corresponding integer. Essentially, one can use the value of ‘q’ as a parameter to enhance the mathematical model that fits the data compared with the solution of the integer-order model. See [28] where they used the appropriate value of ‘q’ as a parameter to fit the realistic data. In order to achieve this, one needs to compute the solution of the Caputo fractional differential equation with initial and boundary conditions analytically and/or numerically. However, in the literature so far, the initial and/or boundary conditions assumed for a Caputo fractional differential equation of order ‘q’ when ( n 1 ) < q < n are those of the integer order ‘n’. See [3,7] where they used the initial conditions of the n t h -order-integer differential equations. Furthermore, the boundary conditions for Caputo fractional boundary conditions for 1 < q < 2 are those of second-order differential equations. See [29,30,31,32] for some of the Caputo fractional boundary value problems. These methods do yield the corresponding integer results as a special case. The main reason for using the initial and boundary conditions of the integer order ‘n’ for the Caputo fractional differential equation of order ‘q’ when ( n 1 ) < q < n is that the assumption that the solution is a C n function is a sufficient condition for the Caputo derivative to exist. In spite of this strong assumption, the solution obtained is only a C q function. See the solution of the Cauchy problem (4.158) and (4.1.9) in [3]. In particular, when 0 < q < 1 , then the solution of D a + q c u = λ u , u ( a ) = u a is given by u ( t ) = u a E q , 1 ( λ ( t a ) ) q . This solution is certainly not a C 1 solution. Similarly, the solution of the homogeneous Caputo differential equation of order n q when ( n 1 ) < n q < n will not be a C n solution.
The work of this article is related to the fact that the solution of the differential equation of order n q will be a C n q solution. Further, without loss of generality, we can assume the Caputo differential operator of order n q is a sequential operator of order q. The advantages of assuming the Caputo fractional differential operator of order n q is a sequential operator of order ‘q’ are many:
1.
We can now seek C q solutions instead of C ( n q ) solutions.
2.
We can have Caputo fractional derivative terms of lower-order k q , k = 1 , 2 , 3 , ( n 1 ) in the Caputo fractional differential equation provided the initial conditions are of a fractional order. In this case, we can solve a linear Caputo fractional differential equation of the form k = 1 n a k D a + k q c ( u ( t ) ) = h ( t ) with fractional initial conditions. In addition, when q = 1 , it yields the solution of the corresponding nth-order linear differential equation with constant coefficients.
3.
In sequential boundary value problems, we can use fractional boundary conditions instead of the corresponding integer-order boundary conditions.
4.
We can reduce an n q -order sequential Caputo fractional differential equation with fractional initial conditions to an n system of Caputo fractional differential equations with initial conditions.
5.
Finally, from a modeling point of view, the value of ‘q’ as a parameter plays a role in the initial and boundary conditions.
Traditional methods like the variation of parameters and the fundamental matrix method commonly used for solving non-homogeneous-integer differential equations and systems are not applicable to Caputo fractional differential equations with fractional initial conditions. However, the Laplace transform method has been used effectively (see [33,34,35] for scalar sequential Caputo fractional differential equations with initial conditions). Additionally, see references [36,37] for applications of the Laplace transform for linear systems of Caputo fractional differential equations with constant coefficients. See [29,30,31,32,38,39,40] for Caputo fractional boundary value problems with the corresponding integer boundary conditions. Notably, only in [40] have fractional boundary conditions been used. While Green’s functions incorporating both fractional and integer-order derivatives appear in [39], they are limited to the basis functions to be 1 , ( x a ) , ( x a ) 2 . In the majority of the Caputo fractional boundary value problems with integer boundary conditions, the Caputo left derivative alone has been used.
In this work, we modify Theorem 2.2 from Kilbas (p. 93) to show that the Caputo left and right derivatives of a function are equal at every point on ( a , b ) , including the points x = a and x = b . Observe that the Caputo left derivative starting from a + of any function can be computed as a continuous function only when the function can be expressed as a function of ( x a ) λ for λ q , where q is the order of the derivative. Then the Caputo right derivative of the same function can be obtained by computing the right derivative of the function of ( b x ) λ .
Similarly, we show that the Caputo right derivative starting from b of any function can be computed as a continuous function only when the function can be expressed as a function of ( b x ) λ for λ q , where q is the order of the derivative. Then the left Caputo derivative of the same function can be computed by using the function of ( x a ) λ .
For instance, the following relationship holds:
D a + q c ( ( x a ) q ) = D b q c ( ( b x ) q ) = Γ ( q + 1 ) D b q c ( ( x a ) q ) .
This proves that the Caputo left derivative of f ( x ) = ( x a ) q is equal to the Caputo right derivative of f ( x ) = ( b x ) q at every point on ( a , b ) including the points a and b . In addition, when q = 1 , we obtain d ( x a ) d x = 1 from the left derivative and d ( b x ) d x = 1 from the right derivative, which satisfies part (b) of Theorem 2.2 in [3] (p. 93). It should be noted that the Caputo left derivative of f ( x ) = ( b x ) q and the Caputo right derivative of f ( x ) = ( x a ) q cannot be obtained in closed form. This addresses the issues raised in reference [41] about the relation of the Caputo left and right derivatives. For that purpose, we present several examples, including numerical examples.
The organization of this work is as follows: In Section 2, we recall definitions and known results which are needed for our main result. In Section 3, we have our main results with illustrative examples and numerical results. Finally, we have obtained an analytic representation form for linear sequential Caputo boundary value problems in terms of the Green’s function.

2. Preliminary Results

In this section, we recall some definitions and known results which play an important role in our main results.
Definition 1. 
The basic function in fractional calculus is the Gamma function, defined by the integral
Γ ( z ) = 0 e t t z 1 d t
which converges in the right half of the complex plane R e ( z ) > 0 .
Another function we need more is the β -function.
Definition 2. 
The two-variable β function is defined by the integral
β ( z , w ) = 0 1 t z 1 ( 1 t ) w 1 d t , R e ( z ) , R e ( w ) > 0
The Γ and β functions are related by
β ( p , q ) = Γ ( p ) Γ ( q ) Γ ( p + q ) .
Definition 3. 
The Riemann–Liouville (left) fractional integral of u ( x ) of order q > 0 is defined by
D a + q u ( x ) = 1 Γ ( q ) a x ( x s ) q 1 u ( s ) d s , x > a
where ( n 1 ) < q n and Γ ( q ) is the Gamma function.
Definition 4. 
The Riemann–Liouville (right) fractional integral of u ( x ) of order q is defined by
D b q u ( x ) = 1 Γ ( q ) x b ( s x ) q 1 u ( s ) d s , x < b
where ( n 1 ) < q n and Γ ( q ) is the Gamma function.
In particular, the above definition holds when 0 < q < 1 .
Definition 5. 
The Riemann–Liouville (left-sided) fractional derivative of u ( x ) of order n q , when ( n 1 ) < n q < n , is defined by
D a + q u ( x ) = 1 Γ ( n n q ) ( d d x ) n a x ( x s ) n n q 1 u ( s ) d s , x > a
Definition 6. 
The Riemann–Liouville (right-sided) fractional derivative of u ( x ) of order n q , when ( n 1 ) < n q < n , is defined by
D b q u ( x ) = 1 Γ ( n n q ) ( 1 ) n ( d d x ) n a x ( x s ) n n q 1 u ( s ) d s , x > a
In particular, if n q = n , then D a + n ( u ( x ) ) = u ( n ) ( x ) and D b n ( u ( x ) ) = ( 1 ) n u ( n ) ( x ) .
Definition 7. 
The Caputo (left-sided) fractional derivative of u ( x ) of order n q , n 1 n q < n , is defined by
D a + n q c u ( x ) = 1 Γ ( n n q ) a x ( x s ) n n q 1 u ( n ) ( s ) d s , x > a
where u ( n ) ( x ) = d n ( u ( x ) ) d x n .
Definition 8. 
The Caputo (right-sided) fractional derivative of u ( x ) of order n q , n 1 n q < n , is defined by
D b n q c u ( x ) = 1 Γ ( n n q ) x b ( x s ) n n q 1 u ( n ) ( s ) d s , x < b
where u ( n ) ( x ) = d n ( u ( x ) ) d x n .
See [2,3,7] for more details on Caputo and Riemann–Liouville fractional derivatives.
Definition 9. 
The Caputo (left) fractional derivative of u ( t ) of order q, when 0 < q < 1 , is defined as
D a + q c u ( t ) = 1 Γ ( 1 q ) a t ( t s ) q u ( s ) d s
We are just replacing n with 1 in the above definition of a Caputo derivative of order n q .
The next definition is useful in our basic Caputo fractional differential inequalities.
Definition 10. 
If the Caputo derivative of a function u ( t ) of order q , 0 < q 1 , exists on an interval J = [ 0 , T ] , T > 0 , then we say u C q [ J , R ) , where J = [ 0 , T ] , T > 0 .
If u C 1 [ 0 , T ] , then certainly D a + q c u ( t ) exists on [ 0 , T ] . Note that all C 1 functions on [ 0 , T ] are C q functions on [ 0 , T ] . However, the converse need to be true. For example, the function f ( t ) = ( t a ) ω for any ω is a C q function when q ω < 1 . However, it is easy to see f ( t ) does not exist at t = 0 .
Next, we define the two-parameter Mittag–Leffler function, which will be useful in solving the systems of linear Caputo fractional differential equations using the Laplace transform. See [24,42] for more on fractional differential equations with applications.
Definition 11. 
The two-parameter Mittag–Leffler function is defined as
E q , r ( λ t q ) = k = 0 ( λ t q ) k Γ ( q k + r )
where q, r > 0 , and λ is a constant. Furthermore, for r = q , (10) reduces to
E q , q ( λ t q ) = k = 0 ( λ t q ) k Γ ( q k + q )
If r = 1 in (10), then
E q , 1 ( λ t q ) = k = 0 ( λ t q ) k Γ ( q k + 1 )
If q = 1 and r = 1 in (10), then we have
E 1 , 1 ( λ t ) = k = 0 ( λ t ) k Γ ( k + 1 ) = e λ t
where e λ t is the usual exponential function.
Consider the scalar Caputo fractional linear initial value problem:
D a + q c u = λ u + h ( t ) , u ( a ) = u 0 ,
with t J and u C q ( J ) . Here, h ( t ) C ( J × R , R ) , the space of continuous functions from J to R .
As seen in [3,7], if u C q ( J ) , then the solution of (14) can be written as
u ( t ) = u 0 E q , 1 ( λ t q ) + 0 t ( t s ) ( q 1 ) E q , q ( λ ( t s ) q ) h ( s ) d s .
Note that this is a C q solution on the interval [ 0 , T ] for any T > 0 . Consider the linear Cauchy problem for the Caputo fractional differential equation
( c D a + n q ) y ( x ) = λ y ( x ) + f ( x ) , ( a x b , ( n 1 ) < n q < n ; n N , λ R )
y k ( a ) = b k ( b k R ) , k = 0 , 1 , . n 1
Then the solution of (16) can be written as
y ( x ) = j = 0 ( n 1 ) b j ( x a ) j E n q , j + 1 ( λ ( x a ) n q ) + a x ( x s ) n q 1 E n q , n q ( λ ( x s ) n q ) f ( s ) d s .
See [3], page 230, formula 4.1.62, for details.
Observe that the solution is a C q solution on [ a , b ] . However, the initial conditions are the same as those of the integer order when q = 1 . One of the main reasons is that a sufficient condition for ( c D a + n q ) y ( x ) and ( c D b n q ) y ( x ) exists when y n ( x ) exists on [ a , b ] . In addition, when q = 1 , then (16) is an n t h -order-integer differential equation. Hence, the basis solution will be
1 , ( x a ) , ( x a ) 2 , ( x a ) n 1 .
As such, the initial conditions are those of the corresponding integer problem, which are C n functions on [ a , b ] . Please note that ( c D a + n q ) y ( x ) can be easily computed when the function y ( x ) can be expressed as a function of ( x a ) , say as y = f ( x a ) . In order to compute ( c D b n q ) y ( x ) , we need to compute it by substituting ( x a ) with ( b x ) , which is y ( x ) = f ( b x ) . The converse is also true. That is, ( c D b n q ) y ( x ) can be computed when y ( x ) can be expressed as a function of ( b x ) , say y ( x ) = f ( b x ) .
Now consider the solution of (16) when 0 < q < 1 . The solution is given by
y ( x ) = b 0 E q , 1 ( λ ( x a ) q ) + a x ( x s ) q 1 E q , q ( λ ( x s ) q ) f ( s ) d s .
It is easy to check when f ( x ) = 0 because then the solution is not C 1 on [ a , b ] . It is just a C q solution on [ a , b ] .
Definition 12. 
The Caputo left fractional derivative of u ( x ) of order n q for ( n 1 ) < n q < n is said to be a sequential left Caputo fractional derivative of order q if the relation
( D a + n q c ) u ( x ) = D a + q c ( c D a + ( n 1 ) q ) u ( x )
holds for n = 2 , 3 , . We denote this as ( s c D a + n q ) u ( x ) .
Definition 13. 
The Caputo right fractional derivative of u ( x ) of order n q for ( n 1 ) < n q < n is said to be a sequential right Caputo fractional derivative of order q if the relation
( D b n q c ) u ( x ) = D b q c ( c D b ( n 1 ) q ) u ( x )
holds for n = 2 , 3 , . . . . We denote this as ( s c D b n q ) u ( x ) .
Note that if the Caputo left fractional derivative of order n q is a sequential derivative of order q , then the basis for the left Caputo sequential fractional differential equation ( c D a + n q ) u ( x ) = 0 will be
1 , ( x a ) q , ( x a ) 2 q , ( x a ) 3 q , ( x a ) ( n 1 ) q .
Similarly, note that if the Caputo right fractional derivative of order n q is a sequential derivative of order q , then the basis for the right Caputo sequential fractional differential equation ( c D b n q ) u ( x ) = 0 will be
1 , ( b x ) q , ( b x ) 2 q , ( b x ) 3 q , ( b x ) ( n 1 ) q .

3. Main Results

In this section, we redefine the left and right Caputo derivatives in such a way that they match the left and right derivatives of the corresponding integer derivative. Furthermore, if both the left and right Caputo derivatives exist for any function f ( x ) , then for any x such that a < x < b , the left Caputo derivative will be equal to the right Caputo derivative.
For this purpose, we recall Theorem 2.2 in Kilbas et al. with the following modification. We assume the function under consideration to be a C n q function instead of a C n function. In order for the Caputo left derivative or Caputo right derivative (of order n q ) to exist, it is sufficient for the function to be a C n function. However, the solution which we compute will only be a C n q solution. In our next result, we also assume that the Caputo fractional derivative of order n q is a sequential derivative of q.
Theorem 1. 
Let R ( q ) 0 and let n = [ R ( q ) ] + 1 . Furthermore, let u ( x ) C n [ a , b ] . Then the Caputo fractional derivatives ( c D a + q ) y ( x ) and ( c D b q ) y ( x ) are continuous on [ a , b ] , ( c D a + q ) y ( x ) C [ a , b ] , and ( c D b q ) y ( x ) C [ a , b ] .
(a) If q N 0 , then
( c D a + q ) y ( x ) | x = a = ( c D b q ) y ( x ) | x = b = 0 ,
(b) If q N 0 , then
( c D a + n ) y ( x ) = y ( n ) ( x ) a n d ( c D b n ) y ( x ) = ( 1 ) n y ( n ) ( x ) ( n N ) .
Proof. 
The proof is very similar to the proof of Theorem 2.2 from [3]. The above theorem holds true under the weaker condition that the function is a C n q function. The proof using this condition f C n q also follows along the same line as in [3]. □
Here, we apply the theorem from the application point of view. The aim is to show that we can compute the solution of sequential Caputo fractional initial value problems and sequential Caputo fractional boundary value problems with ease.
Remark 1. 
Please note that in order for the above theorem to hold true and yield the integer result as a special case, we claim the following:
1.
To compute a left-sided Caputo derivative of any order q , the function y = f ( x ) should be expressed as a function of ( x a ) , that is, y = f ( x a ) .
2.
Then we can compute the right derivative of the same function by replacing ( x a ) with ( b x ) , that is, y = f ( b x ) .
3.
Similarly, in order to compute the right Caputo derivative of any function, the function should be expressed as a function of ( b x ) , that is, y = f ( b x ) .
4.
Then we can compute its left derivative by replacing ( b x ) with ( x a ) , that is, y = f ( x a ) .
5.
If the left and the right Caputo derivatives are computed using (1) and (2) or (3) and (4), then the conclusion of Theorem 1 holds true provided the exponent λ of ( x a ) λ is > q .
6.
In particular, if λ = q , then if the function y ( x ) has a term k ( x a ) q present when computing the Caputo left derivative and/or k ( b x ) q is present when computing the Caputo right derivative of y ( x ) , then part (a) of Theorem 1 will not hold true. In the special case when 0 < q < 1 , then it is easy to see that
( c D a + q ) ( ( x a ) q ) = Γ ( q + 1 ) = ( c D b q ) ( ( b x ) q ) .
This can be easily extended for any q between ( n 1 ) < n q < n .
7.
The Caputo left derivative of any function y = f ( x a ) at any point x 1 for a < x 1 < b will be equal to the Caputo right derivative of y = f ( b x ) at the same point x 1 and vice versa.
We illustrate our claim with several examples. Initially, we consider examples when 0 < q < 1 .
Example 1. 
Let f ( x ) = ( x a ) . Note that f ( x ) = 1 on [ a , b ] .
Then
D a + q c ( x a ) = 1 Γ ( 1 q ) a x ( x s ) q d s = ( x a ) ( 1 q ) Γ ( 2 q )
and
D b q c ( x a ) = 1 Γ ( 1 q ) x b ( s x ) q d s = ( b x ) ( 1 q ) Γ ( 2 q ) .
Further, D a + q c ( x a ) | x = a = 0 , and D b q c ( x a ) | x = b = 0 . However, if q = 1 , then the left-sided integral reduces to f ( x ) = 1 for all x on [ a , b ] .
On the other hand, if q = 1 , then the right-sided integral reduces to f ( x ) = 1 for all x on [ a , b ] . This does not verify the second part (b) of Theorem 1.
However, if we choose f ( x ) = b x for the Caputo right derivative, then
D b q c ( b x ) = ( b x ) ( 1 q ) Γ ( 2 q ) .
Also, in this case, substituting q = 1 , we have f ( x ) = 1 on [ a , b ] . In addition, f ( x ) = d / d x ( b x ) = 1 , which verifies the second part (b) of Theorem 1.
The above example confirms [1] and [2] of the above remark.
In conclusion, we can compute the left derivative of any function f ( x ) only when we can write f ( x ) as a function of x a , say f ( x a ) . Then, we can compute the right derivative of the same function by computing f ( b x ) .
Example 2. 
Let f ( x ) = ( b x ) . Note that f ( x ) = 1 on [ a , b ] . In order to compute the Caputo left derivative of order q , such that 0 < q < 1 , of f ( x ) = ( b x ) , we write f ( x ) = ( b a ) ( x a ) . In order to compute the Caputo right derivative, we need to write f ( x ) = ( b a ) ( b x ) . Then we can show that
D a + q c ( ( b a ) ( x a ) ) = ( x a ) ( 1 q ) Γ ( 2 q ) ,
and
D b q c ( ( b a ) ( b x ) ) = ( b x ) ( 1 q ) Γ ( 2 q ) .
In addition,
D a + q c ( ( b a ) ( x a ) ) | x = a = 0 = D b q c ( ( b a ) ( b x ) ) | x = b .
It is easy to see D a + q c ( b x ) | x = a = 0 and D b q c ( x a ) | x = b = 0 .
Furthermore, when q = 1 , then ( x a ) ( 1 q ) Γ ( 2 q ) reduces to f ( x ) = 1 . Similarly,when q = 1 , then ( b x ) ( 1 q ) Γ ( 2 q ) reduces to f ( x ) = 1 .
The above example confirms [1] and [2] of the above remark.
Example 3. 
Let f ( x ) = ( x a ) ω .
It is easy to see the left Caputo derivative of order q of f ( x ) = ( x a ) ω is
D a + q c ( x a ) ω = Γ ( ω + 1 ) ( x a ) ( ω q ) Γ ( ω q + 1 ) .
Similarly, the right derivative of ( b x ) ω is
D b q c ( b x ) ω = Γ ( ω + 1 ) ( b x ) ( ω q ) Γ ( ω q + 1 ) .
Observe that ( x a ) ω is not C 1 at x = a , and ( b x ) ω is not C 1 at x = b when ω < 1 . However, part (a) of Theorem 1 holds true when q < ω . In addition, if q = ω = 1 , then part (b) also holds true.
Remark 2. 
(i) If ω = 1 , n = 1 , then our example will yield Example 1 as a special case.
(ii) If ω = q , then f ( x ) C 1 on [ a , b ] . In this case, we obtain
D a + q c ( x a ) q = Γ ( q + 1 ) = D b q c ( b x ) q .
If q = 1 , it satisfies part (b) of Theorem 1. Further, it illustrates that
D a + q c ( x a ) q = D b q c ( b x ) q
for all x [ a , b ] .
(iii) Observe that the left derivative at any point x = x 1 can be written x 1 = a + α , and for the right derivative x 1 = b α , α ( 0 , ( b a ) ) . Then the left derivative at any x 1 will be equal to Γ ( ω + 1 ) ( α ) ( ω q ) Γ ( ω q + 1 ) . Similarly, the right derivative will be equal to Γ ( ω + 1 ) ( α ) ( ω q ) Γ ( ω q + 1 ) .
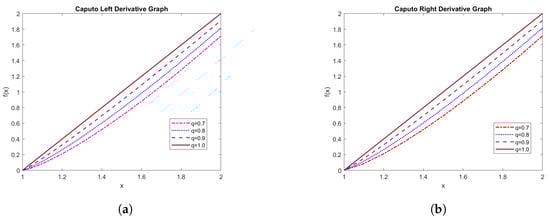
Next, we present some numerical results for Example 3. We observe that both the left and right derivative graphs are one and the same for a = 1 , b = 2 , ω = 2 , and q = 0.7 , 0.8 , 0.9 , 1.0 where the left derivative at any point x = x 1 can be written x 1 = 1 + α , and for the right derivative x 1 = 2 α , α ( 0 , 1 ) .
Let f ( x ) = ( x 1 ) 2 . The left Caputo derivative of order q of f ( x ) = ( x 1 ) 2 is
D 1 + q c ( x 1 ) 2 = Γ ( 3 ) ( x 1 ) ( 2 q ) Γ ( 3 q ) .
The right derivative of ( 2 x ) 2 is
D 2 q c ( 2 x ) 2 = Γ ( 3 ) ( 2 x ) ( 2 q ) Γ ( 3 q ) .
In particular, if x 1 = 1.4 , then α = 0.4 . Then the Caputo left derivative and the Caputo right derivative will be as below.
D 1 + q c ( x 1 ) 2 | x = x 1 = 1 + 0.4 = Γ ( 3 ) ( 0.4 ) ( 2 q ) Γ ( 3 q ) ,
D 2 q c ( 2 x ) 2 | x = x 1 = 2 0.4 = Γ ( 3 ) ( 0.4 ) ( 2 q ) Γ ( 3 q ) .
This shows that the Caputo left derivative equals the Caputo right derivative at x 1 = 1.4 . Similarly, we can show this for every point.
We used MATLAB 9.14 to draw all our numerical results (see Figure 1).
If a = 1 , b = 2 , ω = 1 , and q = 0.7 , 0.8 , 0.9 , 1.0 where the left derivative at any point x = x 1 can be written x 1 = 1 + α , and for the right derivative x 1 = 2 α , α ( 0 , 1 ) . Let f ( x ) = ( x 1 ) 1 . The left Caputo derivative of order q of f ( x ) = ( x 1 ) 1 is
D 1 + q c ( x 1 ) 1 = Γ ( 2 ) ( x 1 ) ( 1 q ) Γ ( 2 q )
The right derivative of ( 2 x ) 1 is
D 2 q c ( 2 x ) 1 = Γ ( 2 ) ( 2 x ) ( 1 q ) Γ ( 2 q ) .
See (Figure 2).
If a = 1 , b = 2 , ω = 0.9 , and q = 0.7 , 0.8 , 0.9 , 1.0 where the left derivative at any point x = x 1 can be written x 1 = 1 + α , and for the right derivative x 1 = 2 α , α ( 0 , 1 ) .
Let f ( x ) = ( x 1 ) 0.9 .
The left Caputo derivative of order q of f ( x ) = ( x 1 ) 2 is
D 1 + q c ( x 1 ) 0.9 = Γ ( 1.9 ) ( x 1 ) ( 0.9 q ) Γ ( 1.9 q )
The right derivative of ( 2 x ) 0.9 is
D 2 q c ( 2 x ) 0.9 = Γ ( 1.9 ) ( 2 x ) ( 0.9 q ) Γ ( 1.9 q )
See (Figure 3).
All our above numerical examples are to justify that the Caputo left derivative and the Caputo right derivative are equal at every point on the interval ( a , b ) .
In the next set of examples, we replace the notation q with n q where ( n 1 ) < n q < n .
Example 4. 
Let f ( x ) = ( x a ) n ω , where n q < n ω < n . Then one can compute and show that
D a + n q c ( x a ) n ω = Γ ( n ω + 1 ) ( x a ) ( n ω n q ) Γ ( n ω n q + 1 )
Now let f ( x ) = ( b x ) n ω , where n q < n ω < n . Then one can compute and show that
D b n q c ( b x ) n ω = Γ ( n ω + 1 ) ( b x ) ( n ω n q ) Γ ( n ω n q + 1 )
Remark 3. 
(i) If q < ω n , then part (a) of Theorem 1 is satisfied.
(ii) If ω = q , then f ( x ) C 1 on [ a , b ] .
In this case, we obtain
D a + n q c ( x a ) n q = Γ ( n q + 1 ) = D b n q c ( b x ) n q .
If q = 1 , it satisfies part (b) of Theorem 1.
In the next example, we consider the sequential left derivative D a + n q s c u ( x ) , which is a sequential derivative of order q , and the sequential right derivative D b n q s c u ( x ) , which is a sequential derivative of order q .
Note that when q = 1 , it is the usual integer derivative which is sequential, unlike computing the Caputo fractional derivative of order n q when it is not sequential, which can be computed at once. However, even in this case, we still need the n t h -order-integer derivative of the function f ( x ) ahead of time, which is sequential.
Example 5. 
Let f ( x ) = ( x a ) n ω . Then we can show that
D a + n q s c ( x a ) n ω = Γ ( n ω + 1 ) ( x a ) ( n ω n q ) Γ ( n ω n q + 1 ) ,
Now let f ( x ) = ( b x ) n ω , where n q < n ω < n . Then one can compute and show that
D b n q s c ( b x ) n ω = Γ ( n ω + 1 ) ( b x ) ( n ω n q ) Γ ( n ω n q + 1 ) .
Note that the above relation has to be established by computing the Caputo fractional derivative sequentially.
Remark 4. 
It is easy to check that
D a + n q s c ( x a ) n ω = D a + n q c ( x a ) n ω
and
D b n q s c ( b x ) n ω = D b n q c ( b x ) n ω
when n ω > n q .
In particular, when ω = q , then
D a + n q s c ( x a ) n q = D a + n q c ( x a ) n q = Γ ( n q + 1 ) ,
and
D b n q s c ( b x ) n q = D b n q c ( b x ) n q = Γ ( n q + 1 ) .
Remark 5. 
When we assume the function u ( x ) C n [ a , b ] , then basis for the solution of the homogeneous equation for D a + n q c u ( x ) = 0 is
1 , ( x a ) , ( x a ) 2 , , ( x a ) ( n 1 ) .
When we assume the function u ( x ) C q [ a , b ] , then the basis for the solution of the homogeneous equation for D a + n q s c u ( x ) = 0 is
1 , ( x a ) q , ( x a ) 2 q , , ( x a ) ( n 1 ) q .
Similarly, when we assume the function u ( x ) C n [ a , b ] , then the basis for the solution of the homogeneous equation for D b n q c u ( x ) = 0 is
1 , ( b x ) , ( b x ) 2 , , ( b x ) ( n 1 ) q .
Similarly, when we assume the function u ( x ) C q [ a , b ] , then the basis for the solution of the homogeneous equation for D b n q s c u ( x ) = 0 is
1 , ( b x ) q , ( b x ) 2 q , , ( b x ) ( n 1 ) q .
Remark 6. 
Irrespective of the Caputo fractional derivative being sequential or not, the Caputo left derivative of the function can be computed only when the function f ( x ) can be expressed as a function of ( x a ) , namely, u ( x ) = f ( x a ) . Then the Caputo right derivative can be computed by the function u ( x ) = f ( b x ) and vice versa.
Next we demonstrate that the Caputo left derivative of function f ( x a ) at x = x 1 such that a < x 1 < b will be equal to the Caputo right derivative of the function f ( b x ) at x = x 1 . Note that any x = x 1 , such that a < x 1 < b , can be expressed as x 1 = a + α for the left derivative and x 1 = b α for the right derivative.
From Example 3, we have
D a + q c ( x a ) ω = Γ ( ω + 1 ) ( x a ) ( ω q ) Γ ( ω q + 1 ) ,
and
D b q c ( b x ) ω = Γ ( ω + 1 ) ( b x ) ( ω q ) Γ ( ω q + 1 ) .
Let a = 1 , b = 2 , and x 1 = 1 + 0.25 . Then
D 1 + q c ( x 1 ) ω | x = 1 + 0.25 = Γ ( ω + 1 ) ( 0.25 ) ( ω q ) Γ ( ω q + 1 )
and
D 2 q c ( 2 x ) ω | x = 2 0.25 = Γ ( ω + 1 ) ( 0.25 ) ( ω q ) Γ ( ω q + 1 )
It is easy to see that
D 1 + q c ( x 1 ) ω | x = 1 + 0.25 = D 2 q c ( 2 x ) ω | x = 2 0.25 .
It is clear from the above examples that
D a + q c f ( x a ) = F ( x a )
and
D b q c f ( b x ) = F ( b x ) .
Then
D a + q c f ( x a ) | x = a + α = F ( α ) = D b q c f ( b x ) | x = b α .
This proves that the Caputo left derivative is equal to the Caputo right derivative at any point x = x 1 on the interval ( a , b ) .
Next we consider a sequential boundary value problem. The advantage of considering sequential boundary value problems is that all the integer results can be obtained as a special case. In the literature, they assume that the solution is a C 2 solution. As a consequence of this, the basis solution of D a + 2 q c u ( x ) = 0 is taken as in the integer ( x a ) , ( b x ) . However, in the sequential boundary value problems D a + 2 q s c u ( x ) = 0 , the basis solution is 1 , ( x a ) q . Instead of the Caputo left derivative, if we use the Caputo right derivative D b 2 q s c u ( x ) = 0 , then the basis solution is 1 , ( b x ) q . From our examples, it is clear that D a + a c ( x a ) q = Γ ( q + 1 ) = D b a c ( b x ) q . This formula is useful when the fractional derivatives are involved in boundary value problems.
Now consider the linear sequential boundary value problem,
D a + 2 q s c u ( x ) = h ( x )
with boundary conditions
u ( a ) = u a and u ( b ) = u b .
Then the solution of the boundary value problem (22) with Dirichlet boundary conditions is given by
u ( x ) = u a + ( x a ) q ( b a ) q ( u b u a ) + a b G ( x , s ) h ( s a ) d s , a s x b ,
using the sequential Caputo left derivative. Furthermore, it is given by
u ( x ) = u b + ( b x ) q ( b a ) q ( u a u b ) + a b G ( x , s ) h ( b s ) d s , a x s b ,
using the sequential Caputo right derivative. The Green’s function G ( x , s ) is given as follows:
G ( x , s ) = ( x a ) q ( b s ) 2 q 1 Γ ( 2 q ) ( b a ) q + ( x s ) ( 2 q 1 ) Γ ( 2 q ) a s x b ( b x ) q ( s a ) 2 q 1 Γ ( 2 q ) ( b a ) q + ( s x ) ( 2 q 1 ) Γ ( 2 q ) a x s b .
Remark 7. 
The above solution can be easily obtained by writing the solution as
u ( x ) = a 0 + a 1 ( x a ) q + 1 Γ ( 2 q ) a x ( x s ) ( 2 q 1 ) h ( s a ) d s , a s x b ,
and
u ( x ) = b 0 + b 1 ( b x ) q + 1 Γ ( 2 q ) x b ( s x ) ( 2 q 1 ) h ( b s ) d s , a x s b ,
using the Caputo left and right derivatives, respectively.
Next we present a simple example when h ( s ) = 1 in (22). In this case, the solution can be written as
u ( x ) = u a + ( x a ) q ( b a ) q ( u b u a ) ( x a ) q ( b a ) q Γ ( 2 q + 1 ) + ( x a ) 2 q Γ ( 2 q + 1 ) .
The solution of the boundary value problem
D a + 2 q s c u ( x ) = h ( x )
with the following boundary conditions
u ( a ) α 0 D a + q c ( u ( x ) ) | x = a = u a , and u ( b ) + β 0 D b q c ( u ( x ) ) | x = b = u b ,
where α 0 0 , β 0 0 can easily be computed using our Remark 7.

4. Conclusions

The computation of the left Caputo derivative of a function of order n q for n = 1 , 2 , k 1 , k starting from the point x = a can be computed when the function u = f ( x ) can be expressed as a function of u = f ( x a ) . In addition, the Caputo left derivative exists when the exponent λ of ( x a ) should be such that n λ n q . If n λ < n when ( n 1 ) < q < n , then it is not a C n function. In the literature, so far when ( n 1 ) < n q < n , they have assumed that u = f ( x a ) is a C n function on [ a , b ] . However, the solution obtained is only a C n q function. This is true for initial value problems. Any function which is a C n q function can be assumed to be a sequential Caputo fractional derivative of order ‘q’.
Once we compute the Caputo left fractional derivative of the function u = f ( x a ) , then we can compute the right Caputo derivative of the same function by computing f ( b x ) . Further, if we are computing the Caputo fractional derivative at a specific point, say x 1 , a < x 1 < b , then x 1 a = α and b x 1 = α . This helps us to prove that the Caputo left derivative at any interior point x = x 1 when a x 1 b equals the Caputo right derivative at the same point x 1 .
The Caputo right derivative will be useful in computing the solution of linear sequential Caputo fractional boundary value problems with fractional boundary conditions. The study of linear sequential Caputo boundary value problems can also have lower-order Caputo derivatives with fractional boundary conditions, which will not hold true for non-sequential boundary value problems.
The current known integer boundary value problem results can be obtained by substituting q = 1 . The work of this article is seed work that will give an insight to handle more general types of linear Caputo differential operators with lower-order fractional derivatives and with fractional boundary conditions. Our aim is to seek a C n q solution for sequential Caputo differential equations with Caputo fractional initial and boundary conditions of a lower order. Since these solutions reduce to the solution of the integer order, we can use q as a parameter to enhance the mathematical model.

Author Contributions

Writing—original draft, A.S.V. and B.S. All authors have read and agreed to the published version of the manuscript.

Funding

This research received no external funding.

Data Availability Statement

The original contributions presented in this study are included in the article. Further inquiries can be directed to the corresponding author.

Conflicts of Interest

The authors declare no conflicts of interest.

References

  1. Diethelm, K. The Analysis of Fractional Differential Equations; Springer: Berlin/Heidelberg, Germany, 2004. [Google Scholar]
  2. Gorenflo, R.; Kilbas, A.A.; Mainardi, F.; Rogosin, S.V. Mittag-Leffler Functions, Related Topic and Applications; Springer Monographs in Mathematics Series; Springer: Berlin/Heidelberg, Germany, 2014; 443p. [Google Scholar]
  3. Kilbas, A.A.; Srivsatava, H.M.; Trujillo, J.J. Theory and Apllications of Fractional Differential Equations; North-Holland Mathematics Studies; Elsevier Science B.V.: Amsterdam, The Netherlands, 2006; Volume 24. [Google Scholar]
  4. Kiryakova, V. Generalized Fractional Calculus and Applications; Pitman Research Notes in Mathematics Volume 301; Longman-Wiley: New York, NY, USA, 1994. [Google Scholar]
  5. Lakshmikantham, V.; Leela, S.; Vasundhara, D.J. Theory of Fractional Dynamic Systems; Cambridge University Press: Cambridge, UK, 2009. [Google Scholar]
  6. Oldham, B.; Spanier, J. The Fractional Calculus; Academic Press: New York, NY, USA; London, UK, 1974. [Google Scholar]
  7. Podlubny, I. Fractional Differential Equations; Academic Press: San Diego, CA, USA, 1999. [Google Scholar]
  8. Sambandham, B.; Vatsala, A.S. Numerical Results for Linear Caputo Fractional Differential Equations with Variable Coefficients and Applications. Neura Parallel Sci. Comput. 2015, 23, 253–266. [Google Scholar]
  9. Sambandham, B.; Vatsala, A.S. Basic results for sequential Caputo fractional differential equations. Mathematics 2015, 3, 76–91. [Google Scholar] [CrossRef]
  10. Sambandham, B.; Vatsala, A.S.; Chellamuthu, V.K. Numerical Results for Linear Sequential Caputo Fractional Boundary Value Problems. Mathematics 2019, 7, 910. [Google Scholar] [CrossRef]
  11. Samko, S.G.; Kilbas, A.A.; Marichev, O.I. Fractional Integrals and Derivatives, Theory and Applications; Gordon and Breach: Yverdon, Switzerland, 1993. [Google Scholar]
  12. Vatsala, A.S.; Pageni, G. Series Solution Method for Solving Sequential Caputo Fractional Differential Equations. AppliedMath 2023, 3, 730–740. [Google Scholar] [CrossRef]
  13. Diethelm, K.; Ford, N.J. Analysis of fractional differential equations. J. Math. Anal. Appl. 2002, 265, 229–248. [Google Scholar] [CrossRef]
  14. Diethelm, K.; Ford, N.J. Multi-order fractional differential equations and their numerical solution. Appl. Math. Comput. 2004, 154, 621–640. [Google Scholar] [CrossRef]
  15. Diethelm, K.; Freed, A.D. On the solution of nonlinear fractional differential equations used in the modeling of viscoplasticity. In Scientific Computing in Chemical Engineering II: Computational Fluid Dynamics, Reaction Engineering, and Molecular Properties; Keil, F., Mackens, W., Vob, H., Werther, J., Eds.; Springer: Berlin/Heidelberg, Germany, 1999; pp. 217–224. [Google Scholar]
  16. Ding, Y.; Yea, H. A fractional-order differential equation model of HIV infection of CD4C T-cells. Math. Comput. Model. 2009, 50, 386–392. [Google Scholar] [CrossRef]
  17. Fallahgoul, H.; Focardi, S.; Fabozzi, F. Fractional Calculus and Fractional Processes with Applications to Financial Economics, Theory and Application; Academic Press: Cambridge, MA, USA, 2016. [Google Scholar]
  18. Garg, V.; Singh, K. An Improved Grunwald-Letnikov Fractional Differential Mask for Image Texture Enhancement. Int. J. Adv. Comput. Sci. Appl. 2012, 3, 130–135. [Google Scholar] [CrossRef]
  19. Glöckle, W.G.; Nonnenmacher, T.F. A fractional calculus approach to self similar protein dynamics. Biophy. J. 1995, 68, 46–53. [Google Scholar] [CrossRef]
  20. Haubold, H.J.; Mathai, A.M.; Saxena, R.K. Mittag-Leffler Functions and Their Applications. J. Appl. Math. 2011, 2011, 298628. [Google Scholar] [CrossRef]
  21. Javidi, M.; Ahmad, B. Dynamic analysis of time fractional order phytoplankton-toxic phytoplankton-zooplankton system. Ecol. Model. 2015, 318, 8–18. [Google Scholar] [CrossRef]
  22. Huo, J.; Zhao, H.; Zhu, L. The effect of vaccines on backward bifurcation in a fractional order HIV model. Nonlinear Anal. Real World Appl. 2015, 26, 289–305. [Google Scholar] [CrossRef]
  23. Klimek, M. Fractional Sequential Mechanics—Models with Symmetric Fractional Derivative. Czechoslov. J. Phys. 2001, 51, 1348–1354. [Google Scholar] [CrossRef]
  24. Lakshmikantham, V.; Vatsala, A.S. Basic theory of fractional differential equations. Nonlinear Anal. TMAA 2008, 69, 2677–2682. [Google Scholar] [CrossRef]
  25. Vargas De Leon, C. Volterra type Lyapunov functions for fractional order epidemic systems. Commun. Nonlinear Sci. Numer. Simul. 2015, 24, 75–85. [Google Scholar] [CrossRef]
  26. Metzler, R.; Schick, W.; Kilian, H.G.; Nonnenmacher, T.F. Relaxation in filled polymers: A fractional calculus approach. J. Chem. Phy. 1995, 103, 7180–7186. [Google Scholar] [CrossRef]
  27. Paredes, G.E. Fractional-Order Models for Nuclear Reactor Analysis; Woodhead Publishing: Cambridge, UK, 2020. [Google Scholar]
  28. Almeida, R.; Bastos, N.R.O.; Monteiro, M.T.T. Modeling some real phenomena by fractional differential equations. Math. Methods Appl. Sci. 2016, 39, 4846–4855. [Google Scholar] [CrossRef]
  29. El-Ajou, A.; Arqub, O.A.; Momani, S. Solving fractional two-point boundary value problems using continuous analytic method. Ain Shams Eng. J. 2013, 4, 539–547. [Google Scholar] [CrossRef]
  30. Mehandirattaa, V.; Mehraa, M.; Leugering, G. Existence and uniqueness results for a nonlinear Caputo fractional boundary value problem on a star graph. J. Math. Anal. Appl. 2019, 477, 1243–1264. [Google Scholar]
  31. Fewster-Young, N. Existence Resuts for Caputo Fractional Boundary Value Problems with Unrestricted Growth Conditions. Differ. Equ. Appl. 2023, 15, 135–146. [Google Scholar] [CrossRef]
  32. Ibrahim, B.H.E.; Dong, Q.; Fan, Z. Existence for boundary value problems of twoterm Caputo fractional differential equations. J. Nonlinear Sci. Appl. 2017, 10, 511–520. [Google Scholar] [CrossRef]
  33. Vatsala, A.S.; Sowmya, M. Laplace Transform Method for Linear Sequential Riemann-Liouville and Caputo Fractional Differential Equations. AIP Conf. Proc. 2017, 1798, 020171. [Google Scholar]
  34. Vatsala, A.S.; Sambandham, B. Sequential Caputo versus Nonsequential Caputo Fractional Initial and Boundary Value Problems. Int. J. Differ. Equ. 2020, 15, 529–544. [Google Scholar]
  35. Vatsala, A.S.; Pageni, G.; Vijesh, V.A. Analysis of sequential Caputo fractional differential equations versus non-sequential Caputo fractional differential equations with applications. Foundations 2022, 2, 1129–1142. [Google Scholar] [CrossRef]
  36. Pageni, G.; Vatsala, A.S. Study of two system of Caputo fractional differential equations with initial conditions via Laplace transform method. Neural Parallel Sci. Comput. 2021, 29, 69–83. [Google Scholar] [CrossRef]
  37. Pageni, G.; Vatsala, A.S. Study of Three Systems of non-linear Caputo Fractional Differential Equations with initial conditions and Applications. Neural Parallel Sci. Comput. 2021, 29, 211–229. [Google Scholar]
  38. Chikrii, A.; Matychyn, I. Riemann–Liouville, Caputo, and sequential fractional derivatives in differential games. In Advances in Dynamic Games; Birkhäuser: Boston, MA, USA, 2011; pp. 61–81. [Google Scholar]
  39. Wang, Y.; Li, X.; Huang, Y. The Green’s function for Caputo fractional boundary value problem with a convection term. AIMS Math. 2022, 7, 4887–4897. [Google Scholar] [CrossRef]
  40. Anderson, D. Positive Green’s functions for some fractional-order boundary value problems. arXiv 2014, arXiv:1411.5616. [Google Scholar]
  41. Kiskinova, H.; Petkovab, M.; Zahariev, A. Remarks on the Coincidence of the Left-side and Right-side Fractional Derivatives on an Interval and Some Consequences. AIP Conf. Proc. 2021, 2333, 080003. [Google Scholar]
  42. Ross, B. Fractional Calculus and its Applications; Lecture Notes in Mathematics; Dold, A., Eckmann, B., Eds.; Proceedings; Springer: New York, NY, USA, 1974. [Google Scholar]
Figure 1. (a) ω = 2 , q = 0.7 , 0.8 , 0.9 , 1.0 . The graph is plotted from the right of ‘a’ to the left of ‘b’. (b) ω = 2 , q = 0.7 , 0.8 , 0.9 , 1.0 . The graph is plotted from the left of ‘b’ to the right of ‘a’.
Figure 1. (a) ω = 2 , q = 0.7 , 0.8 , 0.9 , 1.0 . The graph is plotted from the right of ‘a’ to the left of ‘b’. (b) ω = 2 , q = 0.7 , 0.8 , 0.9 , 1.0 . The graph is plotted from the left of ‘b’ to the right of ‘a’.
Mathematics 12 03970 g001
Figure 2. (a) ω = 1 , q = 0.7 , 0.8 , 0.9 , 1.0 . The graph is plotted from the right of ‘a’ to the left of ‘b’. (b) ω = 1 , q = 0.7 , 0.8 , 0.9 , 1.0 . The graph is plotted from the left of ‘b’ to the right of ‘a’.
Figure 2. (a) ω = 1 , q = 0.7 , 0.8 , 0.9 , 1.0 . The graph is plotted from the right of ‘a’ to the left of ‘b’. (b) ω = 1 , q = 0.7 , 0.8 , 0.9 , 1.0 . The graph is plotted from the left of ‘b’ to the right of ‘a’.
Mathematics 12 03970 g002
Figure 3. (a) ω = 0.9 , q = 0.7 , 0.8 , 0.9 . The graph is plotted from the right of ‘a’ to the left of ‘b’. (b) ω = 0.9 , q = 0.7 , 0.8 , 0.9 . The graph is plotted from the left of ‘b’ to the right of ‘a’.
Figure 3. (a) ω = 0.9 , q = 0.7 , 0.8 , 0.9 . The graph is plotted from the right of ‘a’ to the left of ‘b’. (b) ω = 0.9 , q = 0.7 , 0.8 , 0.9 . The graph is plotted from the left of ‘b’ to the right of ‘a’.
Mathematics 12 03970 g003
Disclaimer/Publisher’s Note: The statements, opinions and data contained in all publications are solely those of the individual author(s) and contributor(s) and not of MDPI and/or the editor(s). MDPI and/or the editor(s) disclaim responsibility for any injury to people or property resulting from any ideas, methods, instructions or products referred to in the content.

Share and Cite

MDPI and ACS Style

Vatsala, A.S.; Sambandham, B. Remarks on Sequential Caputo Fractional Differential Equations with Fractional Initial and Boundary Conditions. Mathematics 2024, 12, 3970. https://doi.org/10.3390/math12243970

AMA Style

Vatsala AS, Sambandham B. Remarks on Sequential Caputo Fractional Differential Equations with Fractional Initial and Boundary Conditions. Mathematics. 2024; 12(24):3970. https://doi.org/10.3390/math12243970

Chicago/Turabian Style

Vatsala, Aghalaya S., and Bhuvaneswari Sambandham. 2024. "Remarks on Sequential Caputo Fractional Differential Equations with Fractional Initial and Boundary Conditions" Mathematics 12, no. 24: 3970. https://doi.org/10.3390/math12243970

APA Style

Vatsala, A. S., & Sambandham, B. (2024). Remarks on Sequential Caputo Fractional Differential Equations with Fractional Initial and Boundary Conditions. Mathematics, 12(24), 3970. https://doi.org/10.3390/math12243970

Note that from the first issue of 2016, this journal uses article numbers instead of page numbers. See further details here.

Article Metrics

Back to TopTop