Next Article in Journal
Enhanced Carbon Price Forecasting Using Extended Sliding Window Decomposition with LSTM and SVR
Previous Article in Journal
A New Inclusion on Inequalities of the Hermite–Hadamard–Mercer Type for Three-Times Differentiable Functions
 
 
Font Type:
Arial Georgia Verdana
Font Size:
Aa Aa Aa
Line Spacing:
Column Width:
Background:
Article

Dynamic Analysis of Rumor Spreading Model Based on Three Recovery Modes

1
Center for Applied Mathematics of Guangxi (GUET), School of Mathematics and Computing Science, School of Computer Science and Information Security, Guilin University of Electronic Technology, Guilin 541004, China
2
School of Mathematics and Statistics, Guilin University of Technology, Guilin 541004, China
3
School of Mathematics and Statistics, Guangxi Normal University, Guilin 541004, China
*
Authors to whom correspondence should be addressed.
Mathematics 2024, 12(23), 3712; https://doi.org/10.3390/math12233712
Submission received: 10 November 2024 / Revised: 23 November 2024 / Accepted: 23 November 2024 / Published: 26 November 2024
(This article belongs to the Section E3: Mathematical Biology)

Abstract

In this paper, an SIR rumor propagation model is established with the three recovery modes that the spreader turns into a stifler under the influence of the spreader, stifler and media nonlinear rumor-refuting mechanism. Firstly, we calculate the basic regeneration number, and we determine the stability of the rumor-free equilibrium and the existence of the rumor-endemic equilibrium. Secondly, by applying the strict symbolic calculation methods of singular quantities, we investigate the Hopf bifurcation at the rumor-endemic equilibrium, and we determine the existence of single and double periodic solutions under certain parameter conditions. Thirdly, we discuss the practical dynamic behaviors of rumors spreading from the perspectives of the basic reproduction number and periodic solutions, especially the correlation between these two and multi-periodic oscillations. To our knowledge, such complex dynamic properties have rarely been analyzed in rumor models.
MSC:
37M20; 37M05; 37M10; 37M22

1. Introduction

With the rapid development of mobile communication network technology and the popularity of mobile communication tools and social software, network rumors are spreading faster and more widely, seriously affecting people’s daily lives and social stability. Therefore, it is necessary to establish a mathematical model to analyze the dynamic behavior of network rumor propagation, so as to reveal the internal laws of network rumor propagation.
Due to the similarity between rumors and disease, in terms of transmission, early researchers utilized disease transmission models to analyze the spread of rumors [1,2,3]. In 1964, Daley and Kendall [4] pointed out the difference between infectious disease and rumors in spreading: when a rumor spreader contacts with another rumor spreader or stifler, he may feel that the rumor has lost its value or timeliness and stop spreading the rumor. They also gave detailed transition rules between various states and proposed the classic Daley–Kendal (DK) model. Since then, most of the existing susceptible–infected–removed (SIR) models of rumor transmission based on the DK model have divided individuals into three categories: ignorant (S), spreaders (I) and stiflers (R). In recent years, many scholars have extended the rumor propagation model in many aspects according to the actual background, such as crowd classification [5,6], individual emotional factor [7,8], government or media influence [9,10,11], nonlinear factor of propagation rate or recovery rate [12,13,14], delayed factor [15,16,17] and so on. We know that different spreading methods will lead to different propagation efficiencies and results. Jia et al. [18] established a new SIR model by considering two rumor spreading modes: group propagation and point-to-point propagation. Due to the existence of network supervision, some measures can be taken to prevent rumor spreaders from spreading rumors by speaking on social networks. Zhu et al. [13] introduced a nonlinear function r I 1 + α I to express the effect of forced silence in the process of transforming the ignorant into the spreaders. Cheng et al. [14] studied the stability and optimal control of the rumor propagation model under media coverage, considering time delay and pulse vaccination. They introduced the function k M α + k M to describe the influence of media on rumor propagation in the process of transforming the ignorant into the spreaders.
In the process of rumor propagation, the recovery mode is as noteworthy as the spreading mode. Different recovery modes will also lead to different propagation efficiencies and results. Past studies on rumor propagation have mainly concentrated on relatively simple recovery methods, such as linear recovery or the simpler nonlinear recovery, as demonstrated in references [5,7,8,18]. Zhao et al. [19] proposed that forgetting factors can transform a spreader into a stifler, leading them to establish an SIR model with a forgetting mechanism. Furthermore, Zhao et al. [20] introduced two recovery modes where the spreader transitions into a stifler, due to the influence of other spreaders or stiflers, making the rumor spreading process more realistic. Huo et al. [12] introduced a nonlinear function M k + M based on the Holling type-II function form, to depict the role of media reports in the transition from the ignorant to the stifler. Zhu et al. [17] proposed a nonlinear model for the rumor-dispelling function r I 1 + α I , to demonstrate the transformation of spreaders into stiflers, and they analyzed the influence of time delay on rumor propagation. In fact, due to the similarity in transmission mechanisms between online rumor spreading and infectious disease spreading, a rumor-dispelling function should be introduced to characterize the government or media’s ability to constrain rumor spreading in online rumor spreading. However, the capabilities of the government or media are limited for constraining the spread of rumors in real life; thus, one saturated rumor-dispelling function r I 1 + n I is also chosen to characterize the limited constraint capability here. Based on the above research results, we establish a new SIR rumor propagation model by taking into account three recovery means by which the spreader is transited into a stifler under the influence of the spreader, the stifler and the media’s nonlinear rumor-refuting mechanism.
In the research contents, we reveal the dynamic properties of the rumor spreading model from the perspective of Hopf bifurcation. It is known that the existence and stability of positive equilibrium are always the main objects of study. However, there has been limited exploration of the isolated periodic solution in the network rumor propagation model: many previous studies have only examined the existence of Hopf bifurcation: for example, [5,14,17,18]. Similarly to the cases of the infectious disease propagation models, cf. [21,22,23,24,25], some insight into the multiplicity of Hopf bifurcation and other intricate dynamical behaviors should be offered. By using the singular point quantities method and numerical analysis, we investigate the multiplicity of Hopf bifurcation in the SIR rumor propagation model, we evaluate the impact of perturbations on the basic reproduction number and we discuss the sensitivity of initial values on the spread of rumors.
The rest of this paper is organized as follows: In Section 2, a network rumor propagation model SIR based on three recovery means is proposed. In Section 3, the basic reproduction number of the model is calculated and the asymptotic stability of the rumor-free equilibrium is proven. In Section 4, the conditions for the existence of the rumor-epidemic equilibrium are given. In Section 5, the singular quantities of the system are computed; then, the focal values and stability at the rumor-epidemic equilibrium are analyzed. In Section 6, Hopf bifurcation in the SIR rumor propagation model is fully investigated and the impact of perturbations on the basic reproduction number is evaluated. Additionally, the internal laws of rumor dissemination are elucidated by combining the obtained results with numerical simulations.

2. SIR Rumor Spreading Model with Three Recovery Modes

We consider a population consisting of N users in complex social networks where the N individuals can be considered as nodes. According to the perception and reaction of an individual to a rumor, the nodes in online social networks are divided into three categories labeled S , I and R, representing the numbers of those who have not been exposed to rumors (ignorant), those who spread the rumor (spreaders) and those who are aware of the rumor but choose not to spread it (stiflers), respectively. Letting N ( t ) denote the total population at time t, we have N ( t ) = S ( t ) + R ( t ) + R ( t ) . In combination with the actual situation, we consider three recovery modes in the process of transforming the spreaders into the stiflers: the spreader is transformed into a stifler through the influence of the spreaders, the stiflers and the media nonlinear rumor-refuting mechanism. The process of SIR rumor spreading is shown in Figure 1:
The propagation rules of the SIR model are summarized as follows:
(i)
The ignorant have a constant rate of immigration a, and each kind of individual has the same emigration rate, which is denoted by a positive constant d.
(ii)
The ignorant contact the spreaders with a probability of p, which Zanette [26] points out will not exceed 0.8 . Similarly, we also denote the probability of contact between the spreaders and the spreaders, and between the spreaders and the stiflers, by p.
(iii)
An ignorant will inevitably change status upon hearing a rumor from spreaders, because he/she cannot be the individual who is unaware of the rumor once he/she has heard it. In time t, if an ignorant has had contact with spreaders, then he/she transforms into a spreader with the probability of k 0 , or into a stifler with the probability of 1 k 0 .
(iv)
In the rumor spreading process, the three recovery modes should be considered mainly. In the first case, in which a spreader contacts another spreader, if different or contradictory rumor versions are found then the spreader may transform into a stifler with a probability of k 1 . In the second case, in which a spreader contacts a stifler, the spreader may change into a stifler with a probability of k 2 . In order to conform to reality, here k 1 is strictly less than k 2 , i.e., k 1 < k 2 . The third case is that under the effect of that media, a spreader may become a stifler after he knows the rumor-dispelling information released by the media. With reference to [12,13,17], we introduce the rumor-dispelling function r I 1 + n I , to measure the media’s ability to turn the spreader into the stifler, where r I represents the positive recovery ability and 1 1 + n I represents the negative impact on the recovery efficiency, which is because the related media information usually lags behind the rumor.
(v)
Due to the forgetting mechanism or certain social factors, the stiflers transform into the ignorant with a probability of b. For the forgetting mechanism, here we modify the translation mode from a spreader into a stifler given in [19,20], because the people forgetting the rumor are most likely to become the ignorant.
According to the above rules, the dynamics of the network rumor propagation model SIR are governed by the following nonlinear ordinary differential system:
d S ( t ) d t = a p S ( t ) I ( t ) d S ( t ) + b R ( t ) , d I ( t ) d t = p k 0 S ( t ) I ( t ) I ( t ) [ p k 1 I ( t ) + p k 2 R ( t ) ] r I ( t ) 1 + n I ( t ) d I ( t ) , d R ( t ) d t = p ( 1 k 0 ) S ( t ) I ( t ) + I ( t ) [ p k 1 I ( t ) + p k 2 R ( t ) ] + r I ( t ) 1 + n I ( t ) d R ( t ) b R ( t ) ,
where 0 a , p , d , b , k 0 , k 1 , k 2 , r 1 , n 0 . That is to say, there are nine parameters in the model (1) at this time.
Theorem 1. 
The plane S + I + R = a d is an invariant algebraic surface of system (1).
Proof. 
Summing up the three equations in (1), we have
d N d t = a d N .
It is clear that N ( t ) = a d is a solution and that for any N ( t 0 ) 0 the general solution is
N ( t ) = 1 d [ a + ( d N ( t 0 ) a ) e d ( t t 0 ) ] .
Thus,
lim t N ( t ) = a d ,
which implies the conclusion. □
Obviously, the limit set of system (1) is on the plane S + I + R = a d ; then, we mainly consider the reduced system on this invariant surface. Firstly, we let x = S , y = I , u = R , yielding u = a d x y ; then, we set
p 0 = p k 0 , p 1 = p k 1 , p 2 = p k 2 ;
thus, the two-dimensional reduced form of system (1) can be written as
d x d t = a p x y d x + b ( a d x y ) , d y d t = p 0 x y y [ p 1 y + p 2 ( a d x y ) ] r y 1 + n y d y .
It is clear that the positively invariant set of system (3) is
D = { ( x , y ) | x 0 , y 0 , x + y a d } .
System (3) always has an equilibrium ( a d , 0 ) , which corresponds to the rumor-free equilibrium ( a d , 0 , 0 ) of system (1). To simplify the system, we collect the terms, and system (3) can be further simplified to
d x d t = a 1 d 1 x b y p x y , d y d t = q 1 x y q 3 y + q 2 y 2 r y 1 + n y ,
where
a 1 = a ( b + d ) d , q 1 = p 0 + p 2 , q 2 = p 2 p 1 , q 3 = d + a p 2 d , d 1 = b + d .
Then, there are also nine parameters in model (4) at this time. Since k 1 < k 2 < 1 and q 2 = p 2 p 1 = p ( k 2 k 1 ) , we have
0 < q 2 < p .

3. Basic Regeneration Number and Stability of Rumor-Free Equilibrium

The basic regeneration number plays an important role in the dynamic analysis of online rumor propagation. It can be used to reveal the average number of new infected people caused by infected individuals during the rumor propagation. Obviously, system (4) always has a rumor-free equilibrium point E 0 = ( a 1 d 1 , 0 ) , which implies that in a certain state there will be no rumor propagation in the network. Next, we calculate the basic regeneration number of system (4) according to the next-generation matrix. Combining the form of the second equation of system (4), we choose
F = q 1 x y , V = q 3 y q 2 y 2 + r y 1 + n y .
Correspondingly, we can obtain
M 1 = F x , y y = d F d y ( a 1 d 1 , 0 ) = a 1 q 1 d 1 , M 2 = d V d y ( a 1 d 1 , 0 ) = q 3 + r , M 1 M 2 1 = a 1 q 1 d 1 ( q 3 + r ) .
Using the method of the next-generation matrix, the spectral radius of M 1 M 2 1 is defined as the basic reproduction number R 0 of system (4), which is similar to the epidemic model, and
R 0 = ρ ( M 1 M 2 1 ) = a 1 q 1 d 1 ( q 3 + r ) .
Next, we analyze the local stability of system (4) at the rumor-free equilibrium E 0 = ( a 1 d 1 , 0 ) . The Jacobian matrix at the rumor-free equilibrium E 0 of system (4) is given as
J ( E 0 ) = d 1 b d 1 + a 1 p d 1 0 a 1 q 1 d 1 q 3 d 1 r d 1 .
The corresponding characteristic equation at E 0 can be calculated as
λ 2 + d 1 2 + d 1 q 3 a 1 q 1 + d 1 r d 1 λ + d 1 q 3 a 1 q 1 + d 1 r = 0 .
It is clear that one eigenvalue of the characteristic equation is λ 1 = d 1 < 0 , and another eigenvalue has the following form:
λ 2 = d 1 q 3 a 1 q 1 + d 1 r d 1 = a 1 q 1 d 1 ( q 3 + r ) .
If the basic reproductive number R 0 < 1 then λ 2 < 0 . Therefore, according to the Routh–Hurwitz criterion, we can obtain the following results:
Theorem 2. 
The rumor-free equilibrium E 0 of system (4) is locally asymptotically stable when R 0 < 1 , and it is unstable when R 0 > 1 .

4. Existence of Rumor-Epidemic Equilibrium

In this section, the existence of the rumor-epidemic equilibrium will be discussed. Letting the right side of system (4) equal zero, a direct calculation shows that
x = a 1 b y d 1 + p y i . e . , x = q 3 + r + n q 3 y q 2 y ( 1 + n y ) q 1 ( 1 + n y )
and
( f 1 y 3 + f 2 y 2 + f 3 y + f 4 ) y = 0 ,
where
f 1 = n p q 2 , f 2 = n p q 3 b n q 1 + d 1 n q 2 + p q 2 , f 3 = d 1 n q 3 p q 3 b q 1 + a 1 n q 1 + d 1 q 2 p r , f 4 = a 1 q 1 d 1 ( q 3 + r ) = a 1 q 1 ( 1 1 R 0 ) .
Therefore, we can obtain the equilibrium points of system (4) by substituting the solutions of Equation (9) into Equation (8). Apparently, y = 0 corresponds to the existence of the rumor-free equilibrium point in system (4). By checking Equation (9), we only need to discuss the existence of positive roots of the following cubic polynomial equation according to its coefficients:
f 1 y 3 + f 2 y 2 + f 3 y + f 4 = : h ( y ) = 0 .
(i) Since n , p , q 2 > 0 , we have f 1 > 0 yielding lim y + h ( y ) = + , and h ( y ) is a continuous function; then, we conclude that if f 4 < 0 then Equation (10) has at least one positive root.
(ii) If f 4 0 , by (10) we have
d h ( y ) d y = 3 f 1 y 2 + 2 f 2 y + f 3 .
We consider the discriminant of (11), which is given by
Δ = ( 2 f 2 ) 2 4 ( 3 f 1 ) f 3 = 4 ( f 2 2 3 f 1 f 3 ) .
Case (a): If Δ 0 then the function h ( y ) is monotonically increasing in [ 0 , ) . Thus, for f 4 0 and Δ 0 , Equation (10) has no positive roots; see the schematic diagrams in Figure 2a.
Case (b): If Δ > 0 then the following equation
3 f 1 y 2 + 2 f 2 y + f 3 = 0
has two real roots,
y 1 = 2 f 2 + Δ 6 f 1 , y 2 = 2 f 2 Δ 6 f 1 .
It is easy to ascertain that y 1 > y 2 and that the function h ( y ) is monotonically increasing when y > y 1 or y < y 2 and monotonically decreasing when y 2 < y < y 1 . In fact, we have h ( y 1 ) = Δ > 0 and h ( y 2 ) = Δ < 0 . It follows that the global minimum and the local maximum of h ( y ) are obtained at y = y 1 and y = y 2 , respectively. Hence, we can say that if f 4 0 and Δ > 0 then Equation (10) has positive roots if and only if y 1 > 0 , h ( y 1 ) 0 ; see the schematic diagrams in Figure 2b. The readers can also view Lemma 2.1 in reference [27] for a similar conclusion.
Summarizing the above discussions, we obtain the following conclusion:
Proposition 1. 
System (4) always has a rumor-free equilibrium point E 0 = ( a 1 d 1 , 0 ) and
(I) System (4) has no positive equilibrium if f 4 0 and Δ 0 ;
(II) Equation (9) has a positive root if and only if one of the following two conditions holds: (i) f 4 < 0 , or (ii) f 4 0 , Δ > 0 , y 1 = 2 f 2 + Δ 6 f 1 > 0 , h ( y 1 ) 0 .
It is worth noting that the positive root y of Equation (9) does not ensure that system (4) has positive equilibriums satisfying this condition: u = a d x y 0 . In fact, from (8), substituting
x = q 3 + r + n q 3 y q 2 y ( 1 + n y ) q 1 ( 1 + n y )
into u, we have
u = 1 d q 1 ( 1 + n y ) [ ( ( a q 1 d q 3 ) ( 1 + n y ) d r ) ( q 1 q 2 ) d y ( 1 + n y ) ] ,
and q 1 = p 2 + p 0 > q 2 = p 2 p 1 in (5) yields
u < 1 d q 1 ( 1 + n y ) [ ( a q 1 d q 3 ) ( 1 + n y ) d r ] .
Furthermore, from (5) we have d 1 = d + b > d , which then yields
a q 1 d q 3 = a 1 q 1 d d 1 d q 3 < a 1 q 1 d q 3 = a 1 q 1 d 1 q 3 + b q 3 .
Obviously, if a 1 q 1 d 1 q 3 + b q 3 < 0 then u < 0 . At this time, we have a 1 q 1 d 1 q 3 < 0 ; thus, f 4 = ( a 1 q 1 d 1 q 3 ) d 1 r < 0 , and from (7) the following inequality,
f 4 = a 1 q 1 d 1 ( q 3 + r ) = a 1 q 1 ( 1 1 R 0 ) < 0 ,
holds. At this time, Equation (9) has a positive root according to Proposition 1. Therefore, when f 4 < 0 , whether the positive equilibrium exists or not, we need to further consider whether the condition u = a d x y 0 is satisfied.
From Proposition 1 and the above discussion, we find that when the basic reproduction number R 0 < 1 , positive equilibrium can exist; the corresponding example will be provided in the next section, and this conclusion is also given in [17]. Furthermore, from case (i) in Proposition 1, we know that the existence of positive equilibrium is not guaranteed when the basic reproduction number R 0 > 1 , and this finding can be further supported by introducing migration rate and emigration rate into the model given in literature [20].

5. Focal Values and Stability of Rumor-Epidemic Equilibrium

Now, we investigate the focal values for stability and the Hopf bifurcation at the positive equilibrium E 1 = ( x * , y * ) of system (4).

5.1. Necessary Conditions for Hopf Bifurcation Point

We know the coordinates ( x * , y * ) of E 1 satisfy
a 1 d 1 x * b y * p x * y * = 0 , q 1 x * y * q 3 y * + q 2 y * 2 r y * 1 + n y * = 0 ,
yielding
x * = a 1 b y * d 1 + p y * .
Then, from Equation (12) we have
r = ( 1 + n y * ) ( a 1 q 1 + d 1 ( q 2 y * q 3 ) + y * ( p q 2 y * b q 1 p q 3 ) d 1 + p y * .
In order to research conveniently, we transform equilibrium E 1 to the origin by letting x ˜ = x x * , y ˜ = y y * ; then, system (4) can be written as
d x d t = a 1 d 1 ( x + x * ) b y p ( x + x * ) ( y + y * ) , d y d t = ( y + y * ) [ q 1 ( x + x * ) q 3 + q 2 ( y + y * ) r 1 + n ( y + y * ) ] ,
where we still denote ( x ˜ , y ˜ ) by ( x , y ) for simplicity, and the two parameters x * , r can be replaced by using (13) and (14). Thus, for the stability and Hopf bifurcation of the equilibrium E 1 for system (4), we only need to investigate the origin in system (15).
Furthermore, we let d t = ( 1 + n ( y + y * ) ) d τ ; then, system (15) becomes
d x d t = [ x ( d 1 + p y ) + p x y * + ( b d 1 + a 1 p ) y d 1 + p y * ] [ 1 + n ( y + y * ) ] , d y d t = ( y + y * ) { [ q 2 ( y + y * ) q 3 + q 1 ( x + a 1 b y * d 1 + p y * ) ] [ 1 + n ( y + y * ) ] r } ,
where τ is still recorded as t and the parameter r can be replaced by using (14). Note that there are still nine parameters in model (16) at this time, i.e., { a 1 , b , d 1 , q 1 , q 2 , q 3 , n , p , y * }. Since 1 + n ( y + y * ) > 0 , system (16) has the same topological structure at the origin as that of system (15) under this condition.
Firstly, we consider the type of the origin, i.e., the positive equilibrium E 1 of system (4) when it is non-degenerate. Then, the conclusion is given, as follows:
Lemma 1. 
For the origin of system (16), if the determinant of its matrix J satisfies Det ( J ) > 0 then (I) when the trace tr ( J ) < 0 ( > 0 ) it is a stable (unstable) hyperbolic node or focus, and (II) when the trace tr ( J ) = 0 it is a weak focus or center. While Det ( J ) < 0 , it is a saddle point.
Proof. 
The Jacobian matrix of system (16) at the origin is
J = ( 1 + n y * ) ( d 1 + p y * ) ( b d 1 + a 1 p ) ( 1 + n y * ) d 1 + p y * q 1 y * ( 1 + n y * ) x * q 1 + 2 q 2 y * q 3 r ( 1 + n y * ) 2 = Δ J 11 J 12 J 21 J 22
where x * and r can be seen in (13) and (14). Then, the determinant of J is
Det ( J ) = J 11 J 22 J 12 J 21 = y * [ a 1 q 1 ( p d 1 n ) + b q 1 ( 2 d 1 n y * + d 1 + n p y * 2 ) + ( d 1 + p y * ) 2 ( n q 3 q 2 2 n q 2 y * ) ] ( n y * + 1 ) ( d 1 + p y * ) ,
and the trace of J is
tr ( J ) = J 11 + J 22 = ( 1 + n y * ) ( d 1 + p y * ) q 3 r + q 1 x * + 2 q 2 y * 2 n q 3 y * + 2 n q 1 x * y * + 3 n q 2 y * 2 .
According to the root formula of the quadratic equation, we know that a pair of eigenvalues of matrix J is
λ 1 , 2 = δ ± 1 2 tr 2 4 Det ,
where δ = 1 2 tr . Under the condition Det ( J ) > 0 , the real parts of two eigenvalues of matrix J are all positive when tr ( J ) > 0 , all negative when tr ( J ) < 0 and all zero when tr ( J ) = 0 . Under the condition Det ( J ) < 0 , the eigenvalues are two real numbers with opposite signs. Thus, the conclusion of the lemma can be obtained. □
Remark 1. 
For the trace tr ( J ) = 0 , i.e., case (II) in Lemma 1, when the origin of system (16) is a weak focus it is still needed to analyze the sign of the first non-vanishing focal value, to determine its stability.

5.2. The Focal Values of the Hopf Bifurcation Point

Now, we calculate the focal values by the means of the corresponding singularity quantity method; the specific process and their equivalence relationship can be found in the Appendix A. According to Lemma A1, it can be seen that the sign of the first focal value v 3 is determined by the positive and negative of F 1 ; furthermore, the sign of F 1 can be discussed in the following two cases: n y * 2 0 and n y * 2 = 0 .
Here, for the convenience of research, we only discuss the case of n y * 2 = 0 , and the other case can be analyzed in a similar way. At the same time, we are interested in practically relevant solutions of the system, and we choose the specific parameter values of p , k 0 , k 1 , k 2 and a of the original model (1), as follows:
a = 0.1 , p = 0.8 , k 0 = 0.8 , k 1 = 0.1 , k 2 = 0.8 , i . e . , a = k 1 = 1 10 , p = k 0 = k 2 = 4 5 ,
which can be obtained from the existing literature, as shown in Table 1. While we keep d and n as the bifurcation parameters, the remaining two parameters r and b can be assigned according to (14) and (A1), respectively.
When n y * 2 = 0 , i.e., y * = 2 n , the first non-vanishing focal value (A9) can be simplified into
v 3 = 3 π g 0 ( 5 b n + 5 d n + 8 ) ( 25 b n + 25 d n + 48 ) 6250 ω 3 n ,
where
g 0 = 25 b n + 25 d n 48 ,
and b, ω satisfy the following equations according to (A1) and (A2), respectively:
ω 2 = 9 625 b 2 d n 2 + 1500 b d 2 n 2 + 700 b d n 16 b n 2 + 875 d 3 n 2 + 700 d 2 n 16 d n 2 + 640 d 250 d n 2
and
b = 8 n 500 d 2 n 570 d + f 0 375 d n = : b + or 8 n 500 d 2 n 570 d f 0 375 d n = : b
where f 0 = n 2 ( 125 d 2 8 ) 2 + 60 ( 3875 d 2 312 ) d n + 384900 d 2 .
Furthermore, in order to determine which one is more meaningful, b = b + or b = b in (24), we give the function graphs of ω 2 in Figure 3, and we find that if b = b then ω 2 > 0 holds for nearly all cases, while if b = b + then the situation is the opposite; thus, we will choose b = b in the following discussion.
At this time, the positive equilibrium point of the original model (1) is as follows:
{ x * , y * , u * } = { b n + d n 20 b d 2 d ( 5 b n + 5 d n + 8 ) , 2 n , 2 ( 2 n 40 d 25 d 2 n ) 5 d n ( 5 b n + 5 d n + 8 ) } ,
where for the positive x * and u * the following conditions should be satisfied:
0 < d < 2 5 , n > 40 d 2 25 d 2 , b > d n 20 d n .
And we have the process parameters, { a 1 , q 1 , q 2 , q 3 , d 1 } = { b + d 10 d , 32 25 , 14 25 , 125 d 2 + 8 125 d , b + d } ,
r = 3 625 b d 2 n 2 + 900 b d n 40 b n 2 + 625 d 3 n 2 + 300 d 2 n 40 d n 2 1120 d + 64 n 125 d n ( 5 b n + 5 d n + 8 )
where 0 < r < 1 should be satisfied, and the number of basic regeneration,
R 0 = 8 n ( 5 b n + 5 d n + 8 ) 625 b d 2 n 2 + 1350 b d n 80 b n 2 + 625 d 3 n 2 50 d 2 n 80 d n 2 1680 d + 64 n .
According to Equation (21), we find that only the multiplier g 0 causes v 3 to change its sign: (i) if g 0 < 0 then v 3 < 0 ; (ii) if g 0 > 0 then v 3 > 0 ; (iii) if g 0 = 0 then v 3 = 0 .
Based on the above analysis, the following conclusion can be obtained:
Proposition 2. 
For case (II) of Lemma 1, under the conditions of n y * = 2 and the parameter values given in (20), for the origin of system (16) the following statements hold:
(i) It is a stable weak focus of order one if n ( b + d ) < 48 25 ;
(ii) It is an unstable weak focus of order one if n ( b + d ) > 48 25 ;
(iii) It is a weak focus of order two, at least, if n ( b + d ) = 48 25 .
For case (iii) of proposition 2, namely, the first focal value v 3 = 0 , we further utilize the recurrence formula of theorem B in [29] to calculate the second singular point quantity with the help of Mathematica, and we obtain the second focal value,
v 5 = i π μ 2 = 4 π n 3 45 ω .
Since π , n are both greater than 0, we have v 5 < 0 , which yields the following result:
Proposition 3. 
If the conditions of case (iii) in Proposition 2 are satisfied then the equilibrium E 1 = ( x * , y * ) of system (4) is a stable weak focus of order two, and it is the highest order.

6. Hopf Bifurcation and the Basic Reproduction Number

Now we consider the Hopf bifurcation in the neighborhood of the rumor epidemic, i.e., the positive equilibrium E 1 = ( x * , y * ) of system (4). At the same time, the stability of limit cycles—i.e., isolated periodic solutions and the basic reproduction number—are investigated.

6.1. Hopf Bifurcation

In order to study the Hopf bifurcation more specifically and without sacrificing generality, we set n = 20 . Then, from Equation (24), we obtain the following expressions of b :
b = 16 57 d 1000 d 2 f 0 750 d ,
where
f 0 = 62500 d 4 + 46500 d 3 4151 d 2 3744 d + 256
is non-negative in the quadratic radial, which has only two positive zero points,
d 20 0.06749 , and d 30 0.245226
yielding that d d 30 or 0 < d d 20 should be satisfied. And, we can verify that if d d 30 then b < 0 ; thus, only the interval 0 < d d 20 is considered.
According to the analysis and conclusion on Hopf bifurcation in the Appendix A, by setting tr ( J ) = 2 δ 0 we have the function
b = φ ( δ , d ) = b + m 0 δ + o ( δ ) ,
where m 0 = 16 + 3 d 250 d 2 3 f 0 1 3 ; thus, from system (16) to system (A4) the linear perturbations can be added to system (A5).
At the same time, in the case of b = b and 0 < d d 20 for investigating the Hopf bifurcation it should be guaranteed that ω 2 , x 0 , u 0 in (25) are non-negative, and that r in (27) is the limit in the interval ( 0 , 1 ) . In fact, this is possible according to the function graphs of ω 2 , g 0 , b , r in d, as shown in Figure 4a,b. And, in the interval ( 0 , d 20 ) we obtain only one root of r = 1 , as follows:
d = d 21 0.06718 ;
namely, if and only if 0 < d d 21 then 0 < r 1 , as shown in Figure 4b:
One should know that when 0 δ = O ( 1 ) , i.e., when the origin is a strong focus, it is impossible for the Hopf bifurcation to occur. Thus, we consider only its weak focus, i.e., 0 | δ | 1 .
Case (A): when the origin of system (16) is the first-order weak focus, namely, δ = 0 and 0 v 3 = O ( 1 ) . By letting g 0 = 0 , i.e., 125 ( b + d ) = 12 , we obtain only one root on ( 0 , d 20 ] :
d = d * 0.0288478 .
Thus, the positivity and negativity of v 3 are determined due to the symbol consistency between v 3 and g 0 , namely, v 3 < 0 for 0 < d < d * and v 3 > 0 for d > d * , as shown in Figure 4a.
From the conclusion in the Appendix A, we have the following proposition:
Proposition 4. 
Under the conditions of n = 20 , y * = 1 / 10 and the parameter values given in (20), if 0 < | δ | 1 , v 3 = O ( 1 ) and v 3 δ < 0 hold then there is exactly one small amplitude limit cycle bifurcating via the Hopf bifurcation, which is stable (unstable) when 0 < d < d * ( d > d * ).
Proof. 
When 0 < | δ | 1 , v 3 = O ( 1 ) and v 3 δ < 0 , only the perturbed system (16) has the approximate bifurcation equation given in the Appendix A: 2 π δ + v 3 h 2 = 0 . We obtain its only positive root; thus, the results in this proposition are obtained. □
Case (B): when the origin is the second-order weak focus for system (16), namely, δ = v 3 = 0 and v 5 = O ( 1 ) . Since v 5 < 0 has been given in (29), by setting 0 | δ | | v 3 | 1 , only the perturbed system (16) has the approximate bifurcation equation given in the Appendix A:
2 π δ + v 3 h 2 + v 5 h 4 = 0 .
We will discuss two cases for parameter δ : (B.1) δ = 0 and (B.2) δ 0 .
Firstly, we consider (B.1) δ = 0 : at this time, the linear perturbations disappear in (A10), and for the above bifurcation equation, i.e., Equation (A15), there exists a unique positive root if and only if v 3 > 0 . Secondly, for the case (B.2) δ 0 , we obtain, at most, two different positive roots by solving Equation (A15). Moreover, based on the rooting formula of a quadratic polynomial equation,
ρ 1 , 2 = v 3 ± L 0 2 v 5 ,
where ρ = h 2 and L 0 = v 3 2 8 π δ v 5 as the discriminant with its zero point of δ , as follows:
δ = v 3 2 8 π v 5 = : φ ( d ) = O [ ( d d * ) 2 ] < 0 .
Then, the discussions based on L 0 are given: (B.2-1) For the case of L 0 > 0 , i.e., δ > φ ( d ) , by the Viéte theorem, Equation (A15) has two different positive roots if and only if δ < 0 , v 3 > 0 and a unique positive root if and only if δ > 0 ; (B.2-2) For the case of L 0 = 0 , i.e., δ = φ ( d ) , Equation (A15) has two equal positive roots if and only if δ < 0 , v 3 > 0 . Other situations have no positive roots. Thus, there exist matching cases between the number N of different positive roots and the value range of δ ; see Table 2, where δ 0 = Max { ε , φ ( d ) } .
Based on the above analysis, we have the following conclusion:
Proposition 5. 
Under the conditions of n = 20 , y * = 1 / 10 and the parameter values given in (20), there exist sufficiently small ϵ > 0 and ε > 0 , such that the local bifurcation diagram near ( d , δ ) = ( d * , 0 ) , which is shown in Figure 5, consists of the following local bifurcation curves:
l 0 = { ( d , δ ) : 0 < d d * < ϵ , δ = φ ( d ) < 0 } , l 1 = { ( d , δ ) : 0 < d d * < ϵ , δ = 0 } ,
 and these bifurcation curves divide the parameter plane ( d , δ ) into several regions, which include all those of the Hopf bifurcation at the origin for system (16), namely,
U 1 = { ( d , δ ) : ϵ < d d * < ϵ , 0 < δ < ε } , U 2 = { ( d , δ ) : 0 < d d * < ϵ , δ 0 < δ < 0 } .
 Furthermore, in certain small enough neighborhoods of the origin of system (16), we assert the following:
(i) 
when ( d , δ ) l 0 l 1 U 1 there is exactly one limit cycle, which is always stable;
(ii) 
when ( d , δ ) U 2 , there are exactly two limit cycles, with the outer one stable and the inner one unstable.

6.2. Numerical Simulation and Practical Significance

In this section, we give some numerical simulations and discuss the practical significance from the perspectives of the basic reproduction number and the periodicity of rumors spreading.
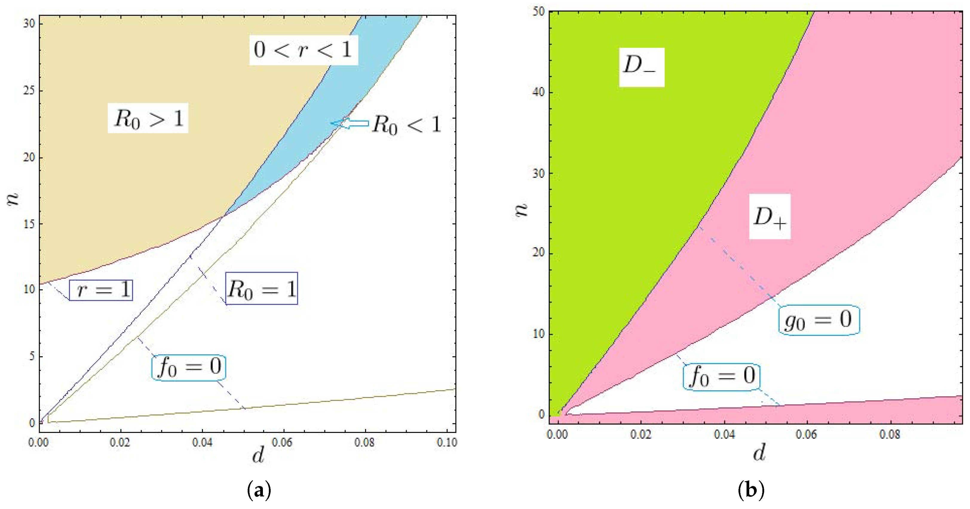
First, for the case δ = 0 , namely, tr ( J ) = 0 , we give some numerical diagrams in Figure 6 to show the possibility of the first-order stable (unstable) weak focus for the origin of system (16) when the basic reproduction number R 0 > 1 or R 0 < 1 . Under the condition of b = b , via the curves of r = 1 , R 0 = 1 and f 0 = 0 in Figure 6a, we can find the regions of R 0 > 1 and 0 < R 0 < 1 with 0 < r < 1 and f 0 > 0 ; and, furthermore, via the curves of g 0 = 0 and f 0 = 0 in Figure 6b, we can find the regions D + and D , i.e., v 3 > 0 and v 3 < 0 with f 0 > 0 .
Next, we consider the special case of n = 20 in the above Section 6.1. The basic reproduction number R 0 in this interval ( 0 , d 21 ) with d 21 0.06718 ; we can check that R 0 is a monotonic decreasing function in d, as shown in Figure 4b, and the equation R 0 = 1 has only one root,
d = d 22 0.065889 ,
yielding R 0 > 1 when 0 < d < d 22 and 0 < R 0 < 1 when d 22 < d < d 21 , as shown in Figure 7. Thus, we obtain only three cases: (i) v 3 > 0 , 0 < R 0 < 1 ; (ii) v 3 0 , R 0 > 1 and (iii) v 3 > 0 , R 0 > 1 . And, if v 3 vanishes then v 5 < 0 always holds. These indicate that when R 0 > 1 there always exists one positive equilibrium in regard to stable or unstable weak focus, as shown in Figure 7:
Remark 2. 
It is noted that when 0 < R 0 < 1 only v 3 > 0 holds under the above parameter conditions, which means that the positive equilibrium point is always an unstable weak focus for system (4). As observed, the parameter d progressively increases at this time, signifying a key factor contributing to the concurrence of 0 < R 0 < 1 and v 3 > 0 , where d represents the removal rate or mortality rate of the population.
Example 1. 
When we choose the parameter d = 0.066 for system (4), we have R 0 = 0.9962 and one positive equilibrium ( x * , y * , u * ) = ( 1.0026 , 0.1 , 0.4125 ) , which is an unstable weak focus with the first-order focus value v 3 36.2 > 0 .
Remark 3. 
For a sufficiently small perturbation at δ = 0 or v 3 = 0 , i.e., when b = b + m 0 δ + o ( δ ) and d = d * + o ( | d d * | ) , from the expression in (28), the positive or negative of R 0 1 can remain unchanged. That is to say, under the conditions of 0 < | δ | 1 in Proposition 4, if 0 < d < d 21 then R 0 > 1 always holds, or else 0 < R 0 < 1 . And, for 0 < | δ | | v 3 | 1 in Proposition 5, R 0 > 1 always holds.
Furthermore, we give the numerical examples to illustrate the existence of the Hopf bifurcations in Propositions 4 and 5.
Example 2. 
Based on Example 1, for system (4) we also choose the parameter d = 0.066 , and we let b = b 0.0002 = 0.1122 , namely, δ = 0.0001 , yielding R 0 = 0.9969 and one positive equilibrium ( x * , y * , u * ) = ( 1.0023 , 0.1 , 0.4129 ) ; we obtain one unstable limit cycle around the positive equilibrium via the Hopf bifurcation in Proposition 4, as shown in Figure 8:
Example 3. 
For system (4), we choose the parameter d = 0.01 , and we let b = b + 0.001 = 0.0755 , namely, δ = 0.0359 , yielding R 0 = 1.8260 and one positive equilibrium ( x * , y * , u * ) = ( 5.1203 , 0.1 , 4.7797 ) . We obtain one stable limit cycle around the positive equilibrium via the Hopf bifurcation in Proposition 4, as shown in Figure 9.
Remark 4. 
In Figure 8, for model (1) the rumor will tend to a stable steady state for the initial population inside the unstable limit cycle, and it will tend to outbreaks for the initial population outside the unstable limit cycle. While in Figure 9, the rumor will tend to periodic outbreaks for almost all the initial populations, whether outside or inside the stable limit cycle.
Example 4. 
We choose the parameter of system (4), d = 0.06 , and we let b = b 0.0002 = 0.0833 , namely, δ = 0.0003 , yielding R 0 = 1.1356 and one positive equilibrium ( x * , y * , u * ) = ( 1.0323 , 0.1 , 0.5344 ) . We obtain two limit cycles around the positive equilibrium via the Hopf bifurcation in Proposition 5, as shown in Figure 10:
Remark 5. 
In Figure 10, for model (1) the rumor will tend to a stable steady state, i.e., persist in the form of a steady state for the initial population inside the inner unstable limit cycle. Except for the above initial populations, from other initial populations, whether outside or inside the outer stable limit cycle, the rumor will tend to periodic outbreaks, i.e., persist in the form of steady periodic states.

7. Conclusions and Discussion

In this study, we proposed a new SIR rumor propagation model that incorporates three recovery methods that the spreader transitions into a stifler influenced by the spreader, stifler and media’s nonlinear rumor-refuting mechanism. Compared with the previous studies, which only considered one or two recovery methods, our model is closer to reality. Based on an exact symbolic computation of singular quantities, we investigated the Hopf bifurcation at the rumor-endemic equilibrium and identified a correlation between the basic reproduction number and periodic solutions. Complex dynamic properties such as multi-periodic oscillations have been almost absent in previous research on rumor models. Although the bifurcation parameters d and n were specifically chosen for this study, the general expression of the first singularity quantity was provided, allowing for similar discussions with other bifurcation parameters. Furthermore, the optimal control of this model needs further research based on the practical background.

Author Contributions

Conceptualization, J.L. and W.H.; methodology, J.L. and Q.W.; software, J.L. and Q.W.; validation, Q.W. and W.H.; formal analysis, J.L.; investigation, J.L. and Q.W.; writing—original draft preparation, J.L.; writing—review and editing, Q.W.; supervision, W.H.; funding acquisition, Q.W. and W.H. All authors have read and agreed to the published version of the manuscript.

Funding

This research was funded by by the Natural Science Foundation of China, No. 12061016 (W. Huang) and No. 12161023 (Q. Wang), the Nature Science Foundations of Guangxi, No. 2020GXNSFAA159138 (Q. Wang) and Guangxi Colleges and Universities Key Laboratory of Data Analysis and Computation (Q. Wang).

Data Availability Statement

The original contributions presented in this study are included in the article. Further inquiries can be directed to the corresponding authors.

Acknowledgments

The authors express their gratitude to the anonymous referee and editor for their valuable comments and suggestions.

Conflicts of Interest

The authors declare no conflicts of interest.

Appendix A. The Method and Conclusions on Hopf Bifurcation

We investigate Hopf bifurcation in the neighborhood of the origin in system (16), which corresponds to E 1 = ( x * , y * ) in system (4). Then, from case (II) of Lemma 1, i.e., tr ( J ) = 0 , we have
b = d 1 2 + ( d 1 2 n + 2 d 1 p a 1 n q 1 d 1 q 2 + d 1 n q 3 ) y * + ( 2 d 1 n p + p 2 2 d 1 n q 2 p q 2 + n p q 3 ) y * 2 n p ( 2 q 2 p ) y * 3 n q 1 y * 2 .
By assuming that a pair of pure imaginary eigenvalues of matrix J is ± i ω ( ω > 0 ) , yielding Det ( J ) = ω 2 from (17), then we have
q 3 = ( 1 + n y 0 ) 2 [ d 1 2 ( 1 + 2 n y * ) + d 1 y * ( p q 2 + 3 n p y * 2 n q 2 y * ) + n y * ( p 2 y * 2 a 1 q 1 ) ] + n y * ω 2 n a 1 y * ( 1 + n y 0 ) 2 .
Thus, one can construct a matrix P that transforms J to be a diagonal one, namely,
P 1 J P = i ω 0 0 i ω ,
where
P = i q 1 y * ( 1 + n y * ) 2 ω i [ ( 1 + n y * ) ( d 1 + p y * ) + i ω ] 2 ω i q 1 y * ( 1 + n y * ) 2 ω i [ ( 1 + n y * ) ( d 1 + p y * ) + i ω ] 2 ω .
In fact, using the transformation ( x , y ) = P ( z , w ) , and after a time scaling, T = i ω t , system (16) can become the following complex system:
d z d T = z + a 20 z 2 + a 11 z w + a 02 w 2 + a 30 z 3 + a 21 z 2 w + a 12 z w 2 + a 03 w 3 = Z , d w d T = ( w + b 20 w 2 + b 11 z w + b 02 z 2 + b 30 w 3 + b 21 w 2 z + b 12 w z 2 + b 03 z 3 ) = W ,
where z , w , T C , and
a 30 = n [ ( 1 + n y * ) 2 ( d 1 + p y * ) ( d 1 q 2 y * ) + i ( p q 2 ) y * ( 1 + n y * ) ω + ω 2 ] 2 y * ( 1 + n y * ) ω 2 , a 21 = n { 3 ( 1 + n y * ) 2 ( d 1 + p y * ) ( d 1 q 2 y * ) + i ( 1 + n y * ) [ 2 d 1 + 3 ( p q 2 ) y * ] ω + ω 2 } 2 y * ( 1 + n y * ) ω 2 , a 20 = 1 2 { 1 y * + 2 n 1 + n y * ( 1 + n y * ) ( d 1 + p y * ) ( d 1 n + p + n q 2 y * ) ω 2 i [ d 1 + n ( q 2 p ) y * 2 ] y * ω } , a 12 = n { 3 ( 1 + n y * ) 2 ( d 1 + p y * ) ( d 1 q 2 y * ) + i ( 1 + n y * ) [ 4 d 1 + 3 ( p q 2 ) y * ] ω ω 2 } 2 y * ( 1 + n y * ) ω 2 , a 11 = n 1 + n y * ( 1 + n y * ) ( d 1 + p y * ) ( d 1 n + p + n q 2 y * ) ω 2 + i n [ d 1 + ( p q 2 ) y * ] ω , a 03 = n [ ( 1 + n y * ) ( d 1 + p y * ) + i ω ] [ ( 1 + n y * ) ( d 1 q 2 y * ) + i ω ] 2 y * ( 1 + n y * ) ω 2 , a 02 = n [ ( 1 + n y * ) ( d 1 + p y * ) + i ω ] [ d 1 n y * y * ( p + n q 2 y * ) + i ω ] 2 y * ω 2 .
Furthermore, we have
b k j = a k j ¯ , ( k j = 20 , 11 , 02 , 30 , 21 , 12 , 03 ) .
From the above coefficients, we note that when b and q 3 are replaced, respectively, in (A1) and (A2) the system (A4) no longer explicitly contains the parameters a 1 , q 1 , q 3 , but only the six parameters, i.e., { d 1 , p , q 2 , n , y * , ω }. Furthermore, by means transformation, z = x + i y , w = x i y , T = i t , i = 1 , we can obtain its real concomitant system:
d x d t = y 4 n x 2 y y * ( 1 + n y * ) 2 ( 1 + 2 n y * ) x y y * ( 1 + n y * ) 2 n ( d 1 + p y * q 2 y * ) x 2 ω 4 n ( d 1 + p y * q 2 y * ) x 3 y * ω , d y d t = x + 4 n ( 1 + n y * ) ( d 1 + p y * ) ( d 1 q 2 y * ) x 3 y * ω 2 + 4 d 1 n x 2 y y * ω + 2 d 1 ( 1 + n y * ) x y y * ω 2 ( 1 + n y * ) ω 2 [ ( 1 + n y * ) 2 ( d 1 + p y * ) ( p d 1 n + n q 2 y * ) n ω 2 ] x 2 .
It should be noted that from system (16) to system (A4), then to system (A5), the two transformations are non-degenerate and homeomorphic. Thus, system (A5) and system (16) are topologically equivalent in the neighborhood of the origin.
In order to research the Hopf bifurcation around the origin in system (A4) or system (A5), we apply the recurrence formula of Theorem B in [29] to calculate the singular point quantity with the help of Mathematica, and we can obtain the first singular quantity:
μ 1 = i ω 3 y * ( 1 + n y * ) F 1 ,
where
F 1 = n ω 2 ( n y * 2 ) ( d 1 + p y * q 2 y * ) + ( n y * + 1 ) 2 ( d 1 + p y * ) × ( d 1 n n q 2 y * p ) ( d 1 n y * d 1 + 2 n p y * 2 2 n q 2 y * 2 ) .
Furthermore, we can continue to calculate the second singular point quantity, μ 2 , and we can simplify it under the condition of μ 1 = 0 . In addition, according to theorem 2.3 in [30], we can ascertain the following lemma:
Lemma A1. 
The relation between the first non-vanishing focal value of system (A5) and the first non-vanishing singular quantity of its concomitant system (A4) is as follows:
v 2 m + 1 ( 2 π ) = i π μ m , m = 1 , 2 , .
 Namely, there exists
v 3 = π ω 3 y * ( 1 + n y * ) F 1 .
 And, when μ 1 = 0 the second focal quantity, v 5 = i π μ 2 , holds.
Furthermore, by letting Tr ( J ) = 2 δ 0 , there exists the function
b = φ ( δ ) = b * + m 0 δ + o ( δ )
where δ R , b * is a root of the equation (A1) in b, and where m 0 is a certain expression of the remaining parameters, such that the linear perturbation terms are added to system (A5) from system (16) and via system (A4), as follows:
d x d t = y + δ x + X 2 ( x , y , d , n , δ ) , d y d t = x + δ y + Y 2 ( x , y , d , n , δ ) ,
where X 2 and Y 2 are the nonlinear terms of (A10); and, when δ = 0 system (A10) becomes system (A5).
In order to investigate Hopf bifurcation, we consider the phase plane equation of system (A10), described by the polar coordinates x = r cos θ , y = r sin θ as
d r d θ = r k = 0 Ψ k θ r k = : Ψ ( r , θ )
where Ψ ( r , θ ) is analytic at ( 0 , 0 ) . And, for a sufficiently small h, we let
r = r ( θ , h ) = m = 1 v m ( θ ) h m
be the solution of Equation (A11), satisfying the initial-value condition r | θ = 0 = h , where v 1 ( θ ) = e δ θ . Then, we obtain the Poincaré succession function £°:
Δ ( h ) = r ( 2 π , h ) h = ( e 2 π δ 1 ) h + v 2 ( 2 π ) h 2 + v 3 ( 2 π ) h 3 + .
It is easy to ascertain that when e 2 π δ 1 = 2 π δ + o ( δ ) 0 , the origin of system (A10) is called the strong focus point.
Here, we firstly consider the perturbed case of system (A10) with its origin as a weak focus of order two, i.e., e 2 π δ 1 = v 3 = 0 , v 5 0 . According to Theorem 1.1 of [31], when setting | e 2 π δ 1 | | v 3 ( 2 π ) | 1 and | v 5 ( 2 π ) | = O ( 1 ) we have v 2 ( 2 π ) = O ( δ ) and v 4 ( 2 π ) = O ( v 3 ( 2 π ) ) . At this time, letting h be sufficiently small and δ = o ( h 4 ) , v 3 ( 2 π ) = o ( h 2 ) , this yields
Δ ( h ) = h [ 2 π δ + v 3 ( 2 π ) h 2 + v 5 ( 2 π ) h 4 + o ( h 4 ) ] .
Thus, we obtain the following approximate bifurcation equation:
2 π δ + v 3 h 2 + v 5 h 4 = 0 ,
and the number of positive roots of Equation (A15) corresponds to that of the limit cycles in a small neighborhood of the origin for system (A10). Note that system (A10) can exhibit two limit cycles (one limit cycle, no limit cycle) if Equation (A15) has two different positive roots (one positive root, no positive root). Therefore, we have the following the conclusion:
Theorem A1. 
Suppose that when v 3 = 0 , v 5 0 always holds; namely, the origin of system (A4) or (A5) is the second-order weak focus point as the highest-order one; then, at most two limit cycles can be bifurcated around E 1 via a Hopf bifurcation under small perturbation within the family of system (4).
Remark A1. 
When the origin of system (A10) is a weak focus of order one, i.e., e 2 π δ 1 = 0 , v 3 0 , then | v 3 ( 2 π ) | = O ( 1 ) , but | v 3 ( 2 π ) | 1 no longer holds. Only the perturbed system (A10) has the approximate bifurcation equation 2 π δ + v 3 h 2 = 0 ; then, at most one limit cycle can be bifurcated at E 1 via a Hopf bifurcation.

References

  1. Rapoport, A.; Rebhun, L. On the mathematical theory of rumor spread. Bull. Math. Biophys. 1952, 14, 375–383. [Google Scholar] [CrossRef]
  2. Rapoport, A. Spread of information through a population with socio-structural bias: I. Assumption of Transitivity. Bull. Math. Biophys. 1953, 15, 523–533. [Google Scholar] [CrossRef]
  3. Goffman, W.; Newill, V. Communication and epidemic processes. Nature 1964, 204, 225. [Google Scholar] [CrossRef] [PubMed]
  4. Daley, D.J.; Kendall, D.G. Epidemics and rumours. Nature 1964, 204, 1118. [Google Scholar] [CrossRef] [PubMed]
  5. Kawachi, K. Deterministic models for rumor transmission. Nonlinear Anal. Real World Appl. 2008, 9, 1989–2028. [Google Scholar] [CrossRef]
  6. Chen, X.; Wang, N. Rumor spreading model considering rumor credibility, correlation and crowd classifcation based on personality. Sci. Rep. 2020, 10, 5887. [Google Scholar]
  7. Ran, M.; Liu, C.; Huang, X. Rumor spread model considering difference of individual interest degree and refutation mechanism. J. Comput. Appl. 2018, 38, 3312–3318. (In Chinese) [Google Scholar]
  8. Shan, A.; Hong, S.; Zheng, X. CSRT rumor spreading model based on complex network. Int. J. Intell. Syst. 2021, 36, 1903–1913. [Google Scholar]
  9. Li, M.; Zhang, H.; Georgescu, P. The stochastic evolution of a rumor spreading model with two distinct spread inhibiting and attitude adjusting mechanisms in a homogeneous social network. Physica A 2021, 562, 125321. [Google Scholar] [CrossRef]
  10. Zhao, L.; Wang, Q.; Cheng, J. The impact of authorities’ media and rumor dissemination on the evolution of emergency. Physica A 2012, 391, 3978–3987. [Google Scholar] [CrossRef]
  11. Pan, W.; Yan, W.; Hu, Y. Dynamic analysis of a SIDRW rumor propagation model considering the effect of media reports and rumor refuters. Nonlinear Dyn. 2023, 111, 3925–3936. [Google Scholar] [CrossRef]
  12. Huo, L.; Wang, L.; Zhao, X. Stability analysis and optimal control of a rumor spreading model with media report. Physica A 2019, 517, 551–562. [Google Scholar] [CrossRef]
  13. Zhu, L.; Liu, W.; Zhang, Z. Delay differential equations modeling of rumor propagation in both homogeneous and heterogeneous networks with a forced silence function. Appl. Math. Comput. 2020, 370, 124925. [Google Scholar] [CrossRef]
  14. Cheng, Y.; Huo, L.; Zhao, L. Stability analysis and optimal control of rumor spreading model under media coverage considering time delay and pulse vaccination. Chaos Solitons Fractals 2022, 157, 111931. [Google Scholar] [CrossRef]
  15. Zhao, H.; Zhu, L. Research on rumor spreading dynamics in social networks. J. Nanjing Univ. Aeronaut. Astronaut. 2015, 47, 332–342. (In Chinese) [Google Scholar]
  16. Cheng, Y.; Huo, L.; Zhao, L. Dynamical behaviors and control measures of rumor-spreading model in consideration of the infected media and time delay. Inf. Sci. 2021, 564, 237–253. [Google Scholar] [CrossRef]
  17. Zhu, L.; Li, L. Dynamic analysis of rumor-spread-delaying model based on rumor-refuting mechanism. Acta Phys. Sin. 2020, 69, 020501. (In Chinese) [Google Scholar] [CrossRef]
  18. Jia, P.; Wang, C.; Zhang, G.; Ma, J. A rumor spreading model on two propagation channels in social networks. Physica A 2019, 524, 342–353. [Google Scholar] [CrossRef]
  19. Zhao, L.; Wang, Q.; Cheng, J. Rumor spreading model with consideration of forgetting mechanism:a case of online blogging livejournal. Physica A 2011, 390, 2619–2625. [Google Scholar] [CrossRef]
  20. Zhao, L.; Cui, H.; Qiu, X.; Wang, X.; Wang, J. SIR rumor spreading model in the new media age. Physica A 2013, 392, 995–1003. [Google Scholar] [CrossRef]
  21. Ruan, S.; Wang, W. Dynamical behavior of an epidemical model with a nonlinear incidence rate. J. Differ. Equ. 2003, 188, 135–163. [Google Scholar] [CrossRef]
  22. Alexander, M.E.; Moghadas, S.M. Bifurcation analysis of an SIRS epidemic model with generalized incidence. SIAM J. Appl. Math. 2005, 65, 1794–1816. [Google Scholar] [CrossRef]
  23. Hu, Z.; Bi, P.; Ma, W.; Ruan, S. Bifurcations of an SIRS epidemic model with nonlinear incidence rate. Discret. Contin. Dyn. Syst. Ser. B 2011, 15, 93–112. [Google Scholar] [CrossRef]
  24. Li, J.; Zhao, Y.; Zhu, H. Bifurcation of an SIS model with nonlinear contact rate. J. Math. Anal. Appl. 2015, 432, 1119–1138. [Google Scholar] [CrossRef]
  25. Lu, M.; Huang, J.; Ruan, S.; Yu, P. Bifurcation analysis of an SIRS epidemic model with a generalized nonmonotone and saturated incidence rate. J. Differ. Equ. 2019, 267, 1859–1898. [Google Scholar] [CrossRef] [PubMed]
  26. Zanette, D.H. Dynamics of rumor propagation on small-world networks. Phys. Rev. E 2002, 65, 041908. [Google Scholar] [CrossRef]
  27. Song, Y.; Han, M.; Wei, J. Stability and Hopf bifurcation analysis on a simplified BAM neural network with delays. Phys. D 2005, 200, 185–204. [Google Scholar] [CrossRef]
  28. Moreno, M.; Nekovee, M.; Pacheco, A. Dynamics of rumor spreading in complex networks. Phys. Rev. E 2004, 69, 066130. [Google Scholar] [CrossRef]
  29. Liu, Y.; Huang, W. A new method to determine isochronous center conditions for polynomial differential systems. Bull. Sci. Math. 2003, 127, 133–148. [Google Scholar] [CrossRef]
  30. Huang, W.; Liu, Y. Bifurcations of limit cycles from infinity for a class of quintic polynomial system. Bull. Sci. Math. 2004, 128, 291–301. [Google Scholar] [CrossRef]
  31. Liu, Y. Theory of center-focus for a class of higher-degree critical points and infinite points. Sci. China Ser. A 2001, 44, 365–377. [Google Scholar] [CrossRef]
Figure 1. Structure of SIR rumor spreading process.
Figure 1. Structure of SIR rumor spreading process.
Mathematics 12 03712 g001
Figure 2. Schematic diagrams of the discriminant Δ of (11) corresponding to its two cases (a,b).
Figure 2. Schematic diagrams of the discriminant Δ of (11) corresponding to its two cases (a,b).
Mathematics 12 03712 g002
Figure 3. The function graphs of ω 2 in d or n with blue curves for b = b and green ones for b = b + , setting n = 5 , 10 , 15 , 20 in (a) and d = 0.01 , 0.02 , 0.03 , 0.04 in (b), respectively.
Figure 3. The function graphs of ω 2 in d or n with blue curves for b = b and green ones for b = b + , setting n = 5 , 10 , 15 , 20 in (a) and d = 0.01 , 0.02 , 0.03 , 0.04 in (b), respectively.
Mathematics 12 03712 g003
Figure 4. (a,b) The function graphs of b , ω 2 , r , R 0 and g 0 in d.
Figure 4. (a,b) The function graphs of b , ω 2 , r , R 0 and g 0 in d.
Mathematics 12 03712 g004
Figure 5. The local bifurcation diagram near ( d , δ ) = ( d * , 0 ) , where U 1 , U 2 are given in (34).
Figure 5. The local bifurcation diagram near ( d , δ ) = ( d * , 0 ) , where U 1 , U 2 are given in (34).
Mathematics 12 03712 g005
Figure 6. The corresponding function curves and regions with respect to d and n with r , R 0 , f 0 in (a) and f 0 , g 0 in (b).
Figure 6. The corresponding function curves and regions with respect to d and n with r , R 0 , f 0 in (a) and f 0 , g 0 in (b).
Mathematics 12 03712 g006
Figure 7. The function graphs of R 0 , g 0 and v 3 in d, where n = 20 and b = b .
Figure 7. The function graphs of R 0 , g 0 and v 3 in d, where n = 20 and b = b .
Mathematics 12 03712 g007
Figure 8. Time histories of system (4) under the conditions of δ = 0.0001 and d = 0.066 for x ( t ) and y ( t ) with the following initial points: ( x , y ) = ( 1.0084 , 0.1006 ) in (a); ( 1.0224 , 0.119 ) in (b); the phase portrait shows one unstable limit cycle in (c).
Figure 8. Time histories of system (4) under the conditions of δ = 0.0001 and d = 0.066 for x ( t ) and y ( t ) with the following initial points: ( x , y ) = ( 1.0084 , 0.1006 ) in (a); ( 1.0224 , 0.119 ) in (b); the phase portrait shows one unstable limit cycle in (c).
Mathematics 12 03712 g008
Figure 9. Time histories of system (4) under the conditions of δ = 0.0359 and d = 0.01 for x ( t ) and y ( t ) with the following initial points: ( x , y ) = ( 5.03 , 0.05 ) in (a), ( 5.5 , 1 ) in (b); the phase portrait shows one stable limit cycle in (c).
Figure 9. Time histories of system (4) under the conditions of δ = 0.0359 and d = 0.01 for x ( t ) and y ( t ) with the following initial points: ( x , y ) = ( 5.03 , 0.05 ) in (a), ( 5.5 , 1 ) in (b); the phase portrait shows one stable limit cycle in (c).
Mathematics 12 03712 g009
Figure 10. Time histories of system (4) under the conditions of δ = 0.0003 and d = 0.06 for x ( t ) and y ( t ) with the following initial points: ( x , y ) = ( 1.07 , 0.1 ) in (a); ( 1.12 , 0.1 ) in (b); ( 0.45 , 0.3 ) in (c). The phase portrait shows two limit cycles, with the inner one unstable and the outer one stable, in (d).
Figure 10. Time histories of system (4) under the conditions of δ = 0.0003 and d = 0.06 for x ( t ) and y ( t ) with the following initial points: ( x , y ) = ( 1.07 , 0.1 ) in (a); ( 1.12 , 0.1 ) in (b); ( 0.45 , 0.3 ) in (c). The phase portrait shows two limit cycles, with the inner one unstable and the outer one stable, in (d).
Mathematics 12 03712 g010
Table 1. Parameters of model (1).
Table 1. Parameters of model (1).
ParaValueInterpretationSource
p 0.8 The probability that an ignorant knows a rumor via contact with a spreader.[26]
k 0 0.8 The probability that an ignorant becomes a spreader via contact with a spreader.[19]
k 1 0.1 The probability that a spreader becomes a stifler via contact with another spreader.[20]
k 2 0.8 The probability that a spreader becomes a stifler via contact with a stifler.[28]
a 0.1 Immigration rate; the individual enters a particular community at a constant rate.[18]
Table 2. The matching cases between δ and N.
Table 2. The matching cases between δ and N.
δ ( ε , φ ( d ) ) φ ( d ) ( δ 0 , 0 ) 0 ( 0 , ε )
N01211
Disclaimer/Publisher’s Note: The statements, opinions and data contained in all publications are solely those of the individual author(s) and contributor(s) and not of MDPI and/or the editor(s). MDPI and/or the editor(s) disclaim responsibility for any injury to people or property resulting from any ideas, methods, instructions or products referred to in the content.

Share and Cite

MDPI and ACS Style

Lu, J.; Wang, Q.; Huang, W. Dynamic Analysis of Rumor Spreading Model Based on Three Recovery Modes. Mathematics 2024, 12, 3712. https://doi.org/10.3390/math12233712

AMA Style

Lu J, Wang Q, Huang W. Dynamic Analysis of Rumor Spreading Model Based on Three Recovery Modes. Mathematics. 2024; 12(23):3712. https://doi.org/10.3390/math12233712

Chicago/Turabian Style

Lu, Jingping, Qinlong Wang, and Wentao Huang. 2024. "Dynamic Analysis of Rumor Spreading Model Based on Three Recovery Modes" Mathematics 12, no. 23: 3712. https://doi.org/10.3390/math12233712

APA Style

Lu, J., Wang, Q., & Huang, W. (2024). Dynamic Analysis of Rumor Spreading Model Based on Three Recovery Modes. Mathematics, 12(23), 3712. https://doi.org/10.3390/math12233712

Note that from the first issue of 2016, this journal uses article numbers instead of page numbers. See further details here.

Article Metrics

Back to TopTop