Distributed Bipartite Consensus of Multi-Agent Systems via Disturbance Rejection Control Strategy
Abstract
1. Introduction
- (i)
- The bipartite consensus was studied for continuous-time linear MASs under the impact of external disturbances. A signed graph was employed to portray the cooperative and competitive communication among the agents, and the graph therein was structurally balanced.
- (ii)
- Using an observer-based approach and by designing a proper low-pass filter, the EID estimator was designed to estimate the disturbances.
- (iii)
- Through using the properties of Lyapunov stability and linear matrix inequalities (LMIs), sufficient conditions ensure that the bipartite consensus of the agents in the MASs are derived. To demonstrate the viability of the developed control protocol, an illustrative example is offered in the last section.
2. Problem Formulation and Preliminaries
2.1. Graph Theory
- (1)
- is in such a way that has all non-negative elements,
- (2)
- has zero as an eigenvalue.
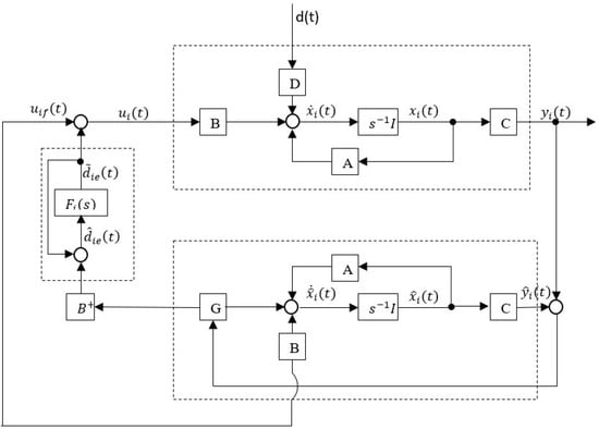
2.2. System Description
3. Main Results
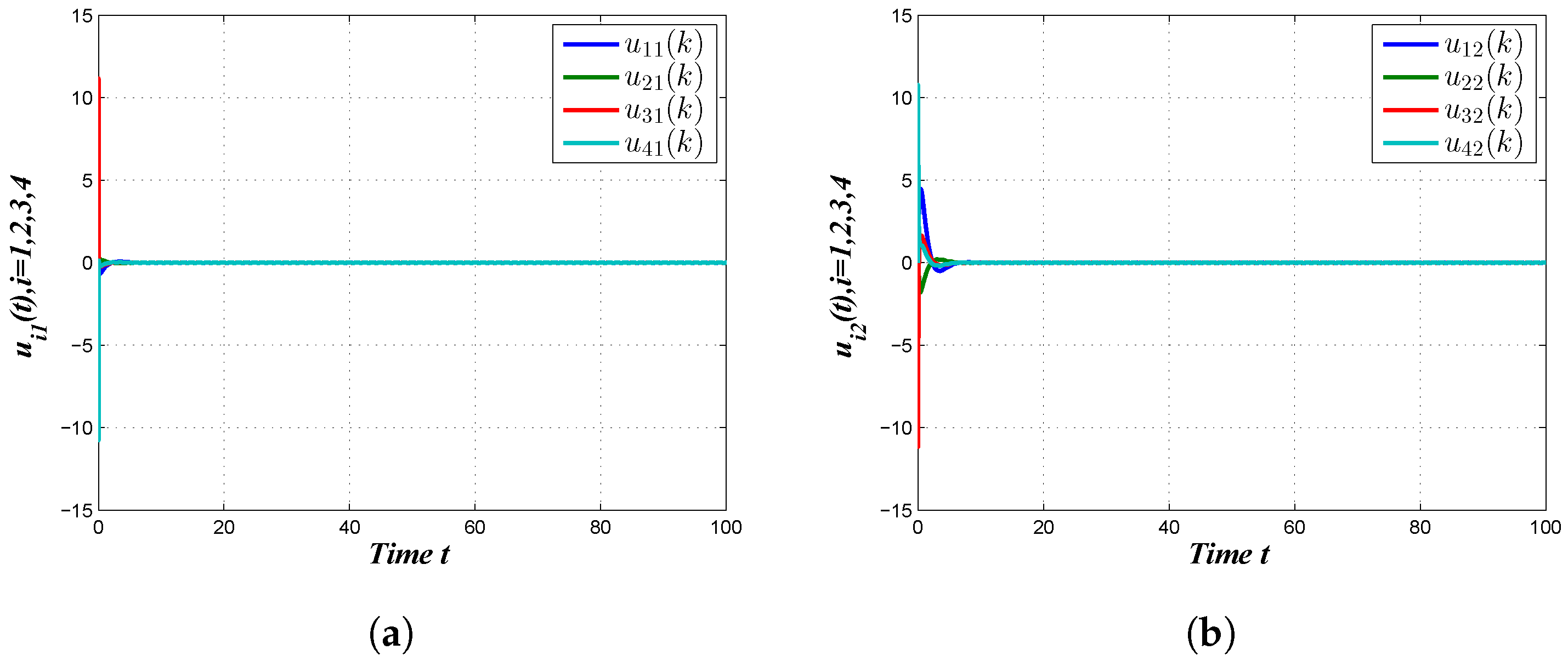
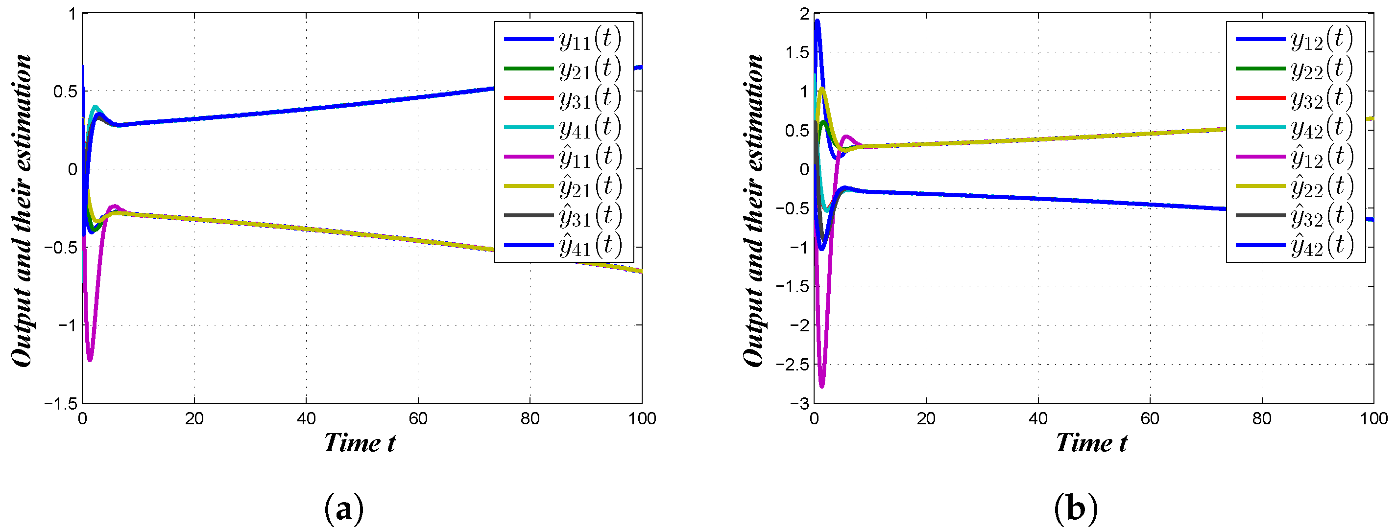
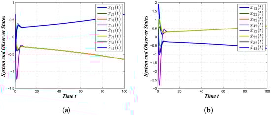
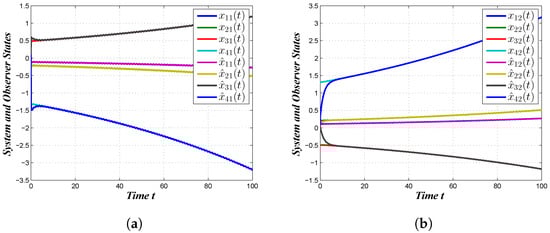
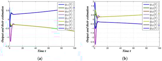
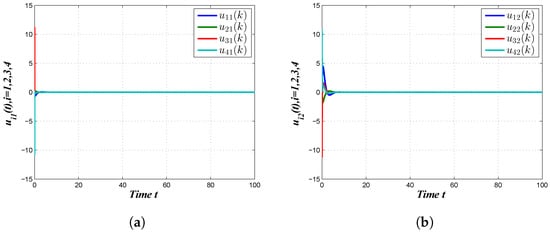
4. An Illustrative Example
5. Conclusions
Author Contributions
Funding
Data Availability Statement
Conflicts of Interest
Notations
| Notations | Representations |
| A diagonal matrix having in its diagonal | |
| A column matrix that has in its column | |
| * | A symmetric term in a symmetric matrix |
| Transpose of the matrix | |
| Inverse of the matrix | |
| is the negative (positive) definite matrix | |
| Kronecker product of the matrices G and H | |
| dimensional identity matrix | |
| n-dimensional Euclidean space | |
| ∅ | Empty set |
| Signum function defined as |
References
- Koochakzadeh, A.; Soorki, M.N.; Azizi, A.; Mohammadsharifi, K.; Riazat, M. Delay-dependent stability region for the distributed coordination of delayed fractional-order multi-agent systems. Mathematics 2023, 11, 1267. [Google Scholar] [CrossRef]
- Nguyen, T.T.; Nguyen, N.D.; Nahavandi, S. Deep reinforcement learning for multiagent systems: A review of challenges, solutions, and applications. IEEE Trans. Cybern. 2020, 50, 3826–3839. [Google Scholar] [CrossRef] [PubMed]
- Xu, J.; Huang, J. An overview of recent advances in the event-triggered consensus of multi-agent systems with actuator saturations. Mathematics 2022, 10, 3879. [Google Scholar] [CrossRef]
- Cui, Q.; Huang, J.; Gao, T. Adaptive leaderless consensus control of uncertain multiagent systems with unknown control directions. Int. J. Robust Nonlinear Control. 2020, 30, 6229–6240. [Google Scholar] [CrossRef]
- Sakthivel, R.; Sakthivel, R.; Kaviarasan, B.; Lee, H.; Lim, Y. Finite-time leaderless consensus of uncertain multi-agent systems against time-varying actuator faults. Neurocomputing 2019, 325, 159–171. [Google Scholar] [CrossRef]
- Liu, J.; Yin, T.; Yue, D.; Karimi, H.R.; Cao, J. Event-based secure leader-following consensus control for multiagent systems with multiple cyber attacks. IEEE Trans. Cybern. 2021, 51, 162–173. [Google Scholar] [CrossRef] [PubMed]
- You, X.; Hua, C.; Li, K.; Li, Y. Finite-time output feedback leader-following consensus for high-order time-varying nonlinear multi-agent systems. J. Frankl. Inst. 2020, 357, 8082–8097. [Google Scholar] [CrossRef]
- Kozyakin, V.S.; Kuznetsov, N.A.; Chebotarev, P.Y. Consensus in asynchronous multiagent systems. II. Method of joint spectral radius. Autom. Remote. Control. 2019, 80, 791–812. [Google Scholar] [CrossRef]
- Altafini, C. Consensus problems on networks with antagonistic interactions. IEEE Trans. Autom. Control. 2012, 58, 935–946. [Google Scholar] [CrossRef]
- Qin, J.; Fu, W.; Zheng, W.X.; Gao, H. On the bipartite consensus for generic linear multiagent systems with input saturation. IEEE Trans. Cybern. 2016, 47, 1948–1958. [Google Scholar] [CrossRef]
- Zhu, Y.; Li, S.; Ma, J.; Zheng, Y. Bipartite consensus in networks of agents with antagonistic interactions and quantization. IEEE Trans. Circuits Syst. II Express Briefs 2018, 65, 2012–2016. [Google Scholar] [CrossRef]
- Ma, C.Q.; Xie, L. Necessary and sufficient conditions for leader-following bipartite consensus with measurement noise. IEEE Trans. Syst. Man Cybern. Syst. 2018, 50, 1976–1981. [Google Scholar] [CrossRef]
- Zhao, L.; Jia, Y.; Yu, J. Adaptive finite-time bipartite consensus for second-order multi-agent systems with antagonistic interactions. Syst. Control. Lett. 2017, 102, 22–31. [Google Scholar] [CrossRef]
- Wang, Q.; Zhong, W.; Xu, J.; He, W.; Tan, D. Bipartite tracking consensus control of nonlinear high-order multi-agent systems subject to exogenous disturbances. IEEE Access 2019, 7, 145910–145920. [Google Scholar] [CrossRef]
- Ding, T.F.; Ge, M.F.; Xiong, C.H.; Park, J.H. Bipartite consensus for networked robotic systems with quantized-data interactions. Inf. Sci. 2020, 511, 229–242. [Google Scholar] [CrossRef]
- Lu, J.; Wang, Y.; Shi, X.; Cao, J. Finite-time bipartite consensus for multiagent systems under detail-balanced antagonistic interactions. IEEE Trans. Syst. Man, Cybern. Syst. 2021, 51, 3867–3875. [Google Scholar] [CrossRef]
- Gao, F.; Wu, M.; She, J.; Cao, W. Disturbance rejection in nonlinear systems based on equivalent-input-disturbance approach. Appl. Math. Comput. 2016, 282, 244–253. [Google Scholar] [CrossRef]
- Liu, R.J.; Liu, G.P.; Wu, M.; Nie, Z.Y. Disturbance rejection for time-delay systems based on the equivalent-input-disturbance approach. J. Frankl. Inst. 2014, 351, 3364–3377. [Google Scholar] [CrossRef]
- Yu, P.; Wu, M.; She, J.; Liu, K.Z.; Nakanishi, Y. An improved equivalent-input-disturbance approach for repetitive control system with state delay and disturbance. IEEE Trans. Ind. Electron. 2017, 65, 521–531. [Google Scholar] [CrossRef]
- Sakthivel, R.; Mohanapriya, S.; Selvaraj, P.; Karimi, H.R.; Anthoni, S.M. EID estimator-based modified repetitive control for singular systems with time-varying delay. Nonlinear Dyn. 2017, 89, 1141–1156. [Google Scholar] [CrossRef]
- Sakthivel, R.; Kaviarasan, B.; Selvaraj, P.; Karimi, H.R. EID-based sliding mode investment policy design for fuzzy stochastic jump financial systems. Nonlinear Anal. Hybrid Syst. 2019, 31, 100–108. [Google Scholar] [CrossRef]
- Wu, X.; She, J.; Yu, L.; Dong, H.; Zhang, W.A. Contour tracking control of networked motion control system using improved equivalent-input-disturbance approach. IEEE Trans. Ind. Electron. 2020, 68, 5155–5165. [Google Scholar] [CrossRef]
- Wu, J.; Deng, Q.; Han, T.; Yang, Q.S.; Zhan, H. Bipartite tracking consensus for multi-agent systems with Lipschitz-type nonlinear dynamics. Phys. A Stat. Mech. Its Appl. 2019, 525, 1360–1369. [Google Scholar] [CrossRef]
- Ai, X. Adaptive robust bipartite consensus of high-order uncertain multi-agent systems over cooperation-competition networks. J. Frankl. Inst. 2020, 357, 1813–1831. [Google Scholar] [CrossRef]
- Wang, J.; Wang, H.; Xue, A.; Lu, R. Delay-dependent H∞ control for singular Markovian jump systems with time delay. Nonlinear Anal. Hybrid Syst. 2013, 8, 1–12. [Google Scholar] [CrossRef]
- Shen, M.; Fei, S. A constructive method to static output stabilisation of Markov jump systems. Int. J. Control. 2015, 88, 990–1000. [Google Scholar] [CrossRef]
- Ho, D.W.; Lu, G. Robust stabilization for a class of discrete-time non-linear systems via output feedback: The unified LMI approach. Int. J. Control. 2003, 76, 105–115. [Google Scholar] [CrossRef]
- Wang, Y.; Li, H.; Qiu, X.; Xie, X. Consensus tracking for nonlinear multi-agent systems with unknown disturbance by using model free adaptive iterative learning control. Appl. Math. Comput. 2020, 365, 124701. [Google Scholar] [CrossRef]
- Aldarmini, S.; Kolyubin, S.; Vedyakov, A. Adaptive consensus control for linear multi-agent system with unknown sinusoidal disturbances. IFAC-PapersOnLine 2023, 56, 1198–1203. [Google Scholar] [CrossRef]







Disclaimer/Publisher’s Note: The statements, opinions and data contained in all publications are solely those of the individual author(s) and contributor(s) and not of MDPI and/or the editor(s). MDPI and/or the editor(s) disclaim responsibility for any injury to people or property resulting from any ideas, methods, instructions or products referred to in the content. |
© 2024 by the authors. Licensee MDPI, Basel, Switzerland. This article is an open access article distributed under the terms and conditions of the Creative Commons Attribution (CC BY) license (https://creativecommons.org/licenses/by/4.0/).
Share and Cite
Manickavalli, S.; Parivallal, A.; Kavikumar, R.; Kaviarasan, B. Distributed Bipartite Consensus of Multi-Agent Systems via Disturbance Rejection Control Strategy. Mathematics 2024, 12, 3225. https://doi.org/10.3390/math12203225
Manickavalli S, Parivallal A, Kavikumar R, Kaviarasan B. Distributed Bipartite Consensus of Multi-Agent Systems via Disturbance Rejection Control Strategy. Mathematics. 2024; 12(20):3225. https://doi.org/10.3390/math12203225
Chicago/Turabian StyleManickavalli, Subramanian, Arumugam Parivallal, Ramasamy Kavikumar, and Boomipalagan Kaviarasan. 2024. "Distributed Bipartite Consensus of Multi-Agent Systems via Disturbance Rejection Control Strategy" Mathematics 12, no. 20: 3225. https://doi.org/10.3390/math12203225
APA StyleManickavalli, S., Parivallal, A., Kavikumar, R., & Kaviarasan, B. (2024). Distributed Bipartite Consensus of Multi-Agent Systems via Disturbance Rejection Control Strategy. Mathematics, 12(20), 3225. https://doi.org/10.3390/math12203225

