Next Article in Journal
Implementing PSO-LSTM-GRU Hybrid Neural Networks for Enhanced Control and Energy Efficiency of Excavator Cylinder Displacement
Next Article in Special Issue
A Commentary on US Sovereign Debt Persistence and Nonlinear Fiscal Adjustment
Previous Article in Journal
On the Mathematical Background of Sliding Mode-Based Friction Compensation of a Micro-Telemanipulation System
Previous Article in Special Issue
Financial Integration and International Dynamics: The Role of Volatility Shocks
 
 
Font Type:
Arial Georgia Verdana
Font Size:
Aa Aa Aa
Line Spacing:
Column Width:
Background:
Article

Economic Growth Model with Fertility Incentives: A Theoretical Analysis Framework and Policy Simulation for China

Hunan Key Laboratory of Macroeconomic Big Data Mining and Its Application, School of Business, Hunan Normal University, Changsha 410081, China
*
Author to whom correspondence should be addressed.
Mathematics 2024, 12(20), 3184; https://doi.org/10.3390/math12203184
Submission received: 29 August 2024 / Revised: 8 October 2024 / Accepted: 9 October 2024 / Published: 11 October 2024
(This article belongs to the Special Issue Advanced Research in Mathematical Economics and Financial Modelling)

Abstract

This study presents an overlapping generation model to examine the impact of fertility incentive policies on economic growth in China, incorporating endogenous fertility, education, and technological advancement by integrating unified growth theory with an R&D-based growth model. We analyze the impact of fertility incentive policies on economic growth by evaluating maternity insurance and public education. The results show that increasing the actual contribution rate of maternity insurance, maternity benefits, and public education expenditures can boost China’s fertility rate; nevertheless, extending maternity leave would not incentivize an increase in the fertility rate. The impact of fertility incentives on economic growth is ambiguous, depending upon the extent to which increased fertility dilutes aggregate human capital via technical advancement. If the dilution effect is weak, the sign will turn positive, and vice versa. The simulation analysis of the benchmark model indicates that the fertility incentive policy, which encompasses increasing the actual contribution rate of maternity insurance, maternity benefits, and public education expenditure, can foster economic growth in China by enhancing the fertility rate in the long term.

1. Introduction

The continuing aging of China’s population is posing a significant barrier to its future development. According to demographic transition theory, aging is the result of decreasing fertility and increasing longevity. According to the National Bureau of Statistics, China’s birth rate decreased from 13.6% in 2016 to 7.5% in 2021. The population saw its first negative growth in nearly sixty years at the end of 2022. The dramatic drop in fertility rates would inevitably exacerbate population aging, diminishing China’s overall strength and worldwide competitiveness. Smoothing out the fertility drop trend and maintaining an optimum fertility level will help to slow down the population aging process. In 1979, China began to implement a family planning policy that required a couple to have one child. Subsequently, the fertility policy underwent three important adjustments. The first was the policy allowing couples to have two children if one of them had no brothers or sisters in 2013. The second adjustment was in 2015, when all couples were allowed to have two children. In 2021, the fertility restrictions were relaxed to allow all couples to have three children. While the restrictions from family planning policies have gradually disappeared, China’s fertility rate has not rebounded significantly but has instead declined at an even faster rate. Although the government has introduced and adjusted some policies to encourage families to have children, the fertility rate has yet to show a clear rebound trend.
In theory, fertility incentives are clearly beneficial in changing the demographic structure of the population and addressing the problem of an insufficient labor supply caused by population aging. However, the dilution of per capita resources that comes with fertility incentives is unavoidable. It has not been satisfactorily proven that increased fertility has a favorable impact on long-term economic growth. The link between the population increase and economic growth has shifted from positive in the post-Malthusian era to negative in the modern growth phase. Unified growth theory explains why this connection has reversed [1]. However, few studies have examined the mechanisms by which reproductive incentives affect long-term economic growth through integrating fertility incentive policies into the framework of modern growth theory.
Although China’s government encourages fertility behavior for the sake of balanced population development, at present, there is some debate regarding whether fertility incentives will slow income per capita growth. Due to China’s previous long-term family planning program, it is difficult to prove this issue using empirical data. A simulation analysis within the framework of theory can help to address this issue. However, unlike most other countries, China’s social insurance system is directly tied to fertility behavior. It is necessary to expand the theoretical model in conjunction with China’s current conditions. Consequentially, the goal of this research is to develop a theoretical framework to analyze the effects of fertility incentive policies on Chinese economic growth while taking into account maternity insurance.
Based on unified growth theory, this paper develops an overlapping generations model containing endogenous fertility, human capital accumulation, and technological progress to reveal the mechanism of fertility incentives in long-term economic growth in the endogenous growth path driven by R&D innovation. This paper’s model markedly diverges from most existing models of endogenous growth and unified growth theory, reflecting the following two aspects. On the one hand, this paper considers China’s maternity insurance policy, as well as the realistic background of the undervalued social security contribution base of enterprises, and establishes a decision model of endogenous fertility under maternity insurance, discussing the fertility incentives of the three core elements of maternity insurance (the actual contribution rate of maternity insurance, the length of the benefit payment, and the level of the benefit payment) and its economic impact. On the other hand, in order to demonstrate the fertility incentive effects and economic impacts of public education expenditures, public education expenditures are considered in families’ decision-making regarding fertility and education. Moreover, the model introduces the mechanism of human capital accumulation determined by intergenerational transmission, public education, and private education.
This paper makes three primary contributions. Firstly, we integrate unified growth theory and the R&D-based endogenous growth model to develop an overlapping generations model. This model considers fertility incentives and provides a theoretical analytical framework to examine the macroeconomic effects of fertility incentives within the context of China’s institutional background. Second, this paper clarifies the mechanism by which maternity insurance and public education influence economic growth through fertility incentives. The theoretical model proposed by Hashimoto and Tabata [2] analyzes the economic consequences of child education and rearing subsidy programs. However, they neglect to account for the costs associated with child education and rearing within the context of income constraints. Our theoretical model focuses on the role of maternity insurance and public education in decreasing the economic cost of having and raising children. Third, it highlights the crucial role of human capital accumulation when analyzing the connection between incentives for fertility and economic growth. Unlike the R&D-based growth model with endogenous education and endogenous fertility proposed by [3], which focuses on the role of overall human capital accumulation in explaining the relationship between fertility and economic growth, our model takes into account the impact of both public and private education expenditures on this mechanism of aggregate human capital accumulation.
The remainder of this paper is organized as follows. Section 2 reviews the literature on fertility incentives and the relationship between population and endogenous economic growth, respectively. Section 3 constructs an overlapping generations model incorporating endogenous fertility, education, and technological progress under a unified growth framework. Section 4 conducts a comparative static analysis of the fertility rate, the growth in the human capital stock, the rate of technological progress, and the rate of economic growth on a balanced growth path. Section 5 calibrates the parameters of the model and performs a numerical analysis of the benchmark model. Section 6 summarizes the full text.

2. Literature Review

Fertility incentives may directly contribute to a population increase. Existing research on the relationship between population expansion and long-term economic growth is mostly concerned with theoretical interpretations of the relationship’s evolutionary patterns. Endogenous technological progress, fueled by R&D efforts, is seen to be the driving force behind long-term economic growth. The R&D-based endogenous growth model has emerged as an essential theoretical framework for research on long-term economic growth. The early hypothesized R&D-based endogenous growth theory posits that population size growth will enhance economic growth, often known as the population scale effect [4,5,6], although the impact is not supported by empirical evidence. Semi-endogenous growth models suggest that the scale effect is influenced by various factors, including lower intertemporal knowledge spillover in the creation of ideas [7], the difficulty of R&D in accumulating new knowledge [8,9], and the dilution effect of quality-improving innovative activities in product diffusion processes [10,11]. The weak scale effect persists in these semi-endogenous development models. Population expansion promotes long-term economic growth. The preceding explanations do not account for the phenomenon of persistent economic growth in affluent countries with declining fertility.
Galor [9] provides unified growth theory to explain how the population–economic growth relationship has evolved from the Malthusian growth stagnation phase to the modern sustained growth period. This theory incorporates the quantity and quality of children’s trade-off mechanism provided by [12] into a theoretical framework of endogenous growth that includes endogenous population growth and technological advancement. The interplay between human capital formation and technical progress is used to explain the inverse relationship between per capita income and population growth. Unified growth theory does not acknowledge the importance of R&D activities in the process of endogenous technological progress, but instead proposes investigating the relationship between population growth, technological progress, and per capita income growth through the lens of human capital formation. Strulik [13] integrates human capital accumulation into an endogenous growth model based on R&D. According to the hypothesis, the relationship between population expansion and economic growth is ambiguous and varies depending on the type of home consumption utility. Similarly, the theory of [14] proposes that a population increase has two inverse effects on long-run per capita income development: a negative population dilution effect and a larger population size that generates more new ideas, known as the idea effect. When the complexity of collecting intermediate goods in the production of final goods is reduced, the gains from specialization increase, the idea effect outweighs the dilution effect, and the effect of population growth on economic growth shifts from negative to positive, and vice versa. Strulik et al. [15] integrate R&D-based technological innovation into a unified development framework and provide an endogenous growth theory that accounts for micro-decisions on reproduction and schooling. According to the theory, early high fertility stimulates technological innovation activity by increasing the supply of labor, and then the emergence of mass education reduces fertility, but the accumulation of human capital per capita outpaces the rate of fertility decline and the aggregate supply of human capital continues to grow, increasing R&D activity and economic growth. Baldanzi et al. [16] expand the R&D-based growth model to include the accumulation of human capital associated with parental education and healthcare investment. According to these models, a rise in the fertility rate will result in a decrease in investment in education and health, which will diminish the growth rate of human capital, hence slowing long-term economic growth.
Few studies have incorporated fertility incentives into a growth framework, instead focusing solely on how child-rearing and education policies impact long-term economic growth through fertility and human capital development. According to Azarnert’s [17] theoretical analysis, free basic education has a small impact on fertility and economic growth in the early stages of development, when parents have low levels of human capital. However, in the later stages of development, when parents have high levels of human capital, free public education crowds out private investment in education, and incentives for childbearing can impede economic growth. According to Hashimoto and Tabata [12], education subsidies can boost economic growth. However, the influence of subsidy policies on economic growth is determined by the rate of return on parental investment in their children’s education. According to the model in [17], the impact of greater fertility subsidies and public education investment on economic growth is determined by the degree of baseline human capital and fertility.
Although few studies include fertility incentives in the theoretical framework of long-run economic growth, China’s social insurance system and public education are distinct, and the related findings have little relevance to China’s population strategy. Taking into account China’s maternity insurance system and public education, this study will provide an overlapping generations model that includes endogenous fertility, education, and technological progress, with the aim of revealing the mechanism of fertility incentives and their impact on long-term economic growth.

3. Model

This section introduces fertility insurance and public education to create a three-period overlapping generations model with endogenous fertility and education investment. Individuals choose to optimize their life cycle value by prioritizing savings, births, and private education investment in the context of maternity insurance, taxation, and public education regulations. Additionally, the government sector takes into account the public finance department and the maternity insurance system. Table A1 in Appendix A contains the definitions of all symbols.

3.1. Individuals

Under the three-period overlapping generations model, individuals experience three periods in their life cycle: childhood, adulthood, and old age. During childhood, no decisions are made, and private educational inputs from parents and public educational inputs from the government are received for human capital accumulation. The human capital accumulation function is usually assumed to be the Cobb–Douglas production function, where the input factors are educational inputs and parents’ human capital, as in [12,18]. Considering the substitution relationship between private education inputs and public education inputs, following [12,18], the human capital accumulation function is expanded to be h t = E ( e t 1 + μ o t 1 ) σ h t 1 ρ , where h t 1 denotes the level of parents’ human capital; ρ > 0 is the contribution of parents’ human capital level, reflecting the intergenerational transmission effect of education; e t 1 denotes the expenditure of parents on their children’s education; o t 1 denotes the average public education expenditure per child by the government; σ > 0 denotes the extent to which the education investment directly contributes to the level of children’s human capital; μ > 0 denotes the relative contribution coefficient of the public investment in education to children’s human capital accumulation; and E > 0 denotes the technical parameters of human capital.
During adulthood, an individual has one unit of time. The share of time for which an individual participates in the labor market is l t , and 1 l t is used for childbearing. It is assumed that the share of time spent on maternity leave for childbearing is z , the total share of time spent on n t number of children is z n t , and z n t < 1 . It is obvious that z n t = 1 l t . Moreover, an adult earns wages w t h t l t , where h t l t is the effective labor time and w t is the effective wage income.
Under China’s maternity insurance system, the maternity insurance fund pays maternity allowance to employees during maternity leave, the standard of which is the employee’s average monthly contribution base divided by 30 and multiplied by the number of days of legal maternity leave. However, it is known that, in the process of collecting social insurance premiums, most enterprises in China can evade social security contributions by under-reporting the contribution base. As a result, there is a discrepancy between the actual contribution base of firm social security and the actual wage income of employees, indicating the existence of an erroneous social insurance contribution base. The unrealized social insurance contribution base of firms will result in a discrepancy between the amount of maternity allowance and the actual wage income of employees prior to giving birth, which will constitute the opportunity cost of giving birth. If the social insurance contribution rate remains constant, the opportunity cost of childbirth can be decreased to some amount by increasing the maternity allowance payment, which encourages childbearing behavior. In order to discuss the standard of maternity allowance payment, a generalized parameter regarding the maternity allowance payment coefficient b is introduced, which is defined as a multiple of the actual contribution base of the enterprise’s maternity insurance.
The actual contribution rate of enterprise social insurance is defined as the ratio of the actual contribution to the average wage of the employee. In this paper, we assume that the proportion of the actual contribution base of the maternity insurance accounts for the payable wage income as π . The maternity allowance during the period of childbearing is b π w t h t ( z n t ) . At the same time, the individual pays personal tax at the rate of τ . Maternity insurance in China is paid by the enterprise in accordance with a certain percentage of the employee’s salary, and the individual does not need to pay it. The total income of the individual in adulthood is ( 1 τ ) w t h t l t + b π w t h t ( z n t ) . Considering the fact that there is an opportunity cost for fertility choices, it is assumed that 1 τ > b π . All income is spent on adult consumption c 1 , t , savings s t , and children’s education n t e t . Individuals in adulthood survive to the next period (old age) with probability p . Assuming that the insurance company is risk-neutral and the annuity market is perfectly competitive, with a risk-free interest rate of r t , the individual can earn a return by using their savings to purchase an annuity product s t ( 1 + r t + 1 ) / p , all of which will be used for consumption in old age c 2 , t . As a result, the individual’s income budget and time constraint in adulthood and the income budget constraint in old age are
c 1 , t + s t + n t e t = ( 1 τ ) w t h t l t + b π w t h t ( z n t )
l t + z n t = 1
c 2 , t + 1 = s t ( 1 + r t + 1 ) / p
The life cycle total utility of an individual comes from their consumption in adulthood, the quantity and quality of their children, and their consumption in old age, respectively. The logarithmic utility function is chosen so that the individual total utility expectation is
U t = ( 1 γ ) ln c 1 , t + β p ln c 2 , t + γ ln n t + φ ln h t + 1
where γ [ 0 , 1 ) is the preference of parents regarding the quantity and quality of their children, φ ( 0 , + ) indicates the degree of tendency of parents to prefer the quality of their children in the quantity–quality trade-off, and β is a discount factor. By solving the individual decision optimization problem under conditions (1)–(3), we can obtain first-order optimal conditions for the savings rate, the number of children, and private investment in education:
1 / c t = β p / s t
( 1 γ ) [ ( 1 τ b π ) w t h t z e t ] / c t = γ / n t
( 1 γ ) n t / c t = γ φ σ / ( e t + μ o t )

3.2. Product Sector

Following the framework of [7], we divide the production sector into final goods, intermediate goods, and R&D sectors. Referring to the method of [5], the theoretical model is simplified to take human capital as a factor of production in the three production sectors, and the three sectors choose human capital inputs to maximize their own profits given the total supply of human capital.
Referring to [19], the production function for the final goods sector, which is assumed to be perfectly competitive, produces the final good Y t by investing in the human capital stock H Y , t and the intermediate good j { 0 , 1 , 2 , , A t } , where A t is the input category of intermediate goods. It characterizes the level of knowledge and technology:
Y t = H Y , t 1 α j = 0 A t x j , t α ,   0 < α < 1
where α is the elasticity of intermediate goods. Let w t Y and p j , t be the cost of human capital input and the price of intermediate goods j , respectively. Under the assumption of a perfectly competitive market, the final production sector chooses to employ the quantity of human capital and intermediate goods in order to maximize its profit, which leads to the equilibrium conditions
w t Y = ( 1 α ) H Y , t α j = 0 A t x j , t α = ( 1 α ) Y t H Y , t
p j , t = α H Y , t 1 α x j , t α 1
For a given final product output Y t , the demand for the intermediate product j is
x j , t = α p j , t 1 1 α H Y , t
Under China’s social insurance system, enterprises are required to pay maternity insurance premiums according to a certain percentage of the contribution base θ t , and individuals are not required to pay maternity insurance premiums. To simplify this, our model only focuses on the incentive effects of maternity insurance, so other social insurance is not considered. Thus, the relationship between the cost of human capital employed by an enterprise and the wage income received by an individual is
w t Y = w t ( 1 + π θ t )
where π θ t w t is the maternity insurance cost borne by enterprises employing one unit of effective labor.
Drawing on [8], each different intermediate good is produced by a single manufacturer and the intermediate good market is monopolistic and competitive. For each unit of intermediate goods produced, one unit of human capital is invested and wage costs are paid w t I ; then, the profit function for the intermediate good j is d j , t = p j , t x j , t w t I x j , t . The manufacturer of the intermediate good chooses the scale of production to maximize their profit. Under the market demand given in Equation (11), the equilibrium price can be obtained as
p j , t = p t = 1 α w t I
From (11) and (13), the output and profit of the intermediate goods production sector are, respectively,
x j , t = x t = α 2 w t I 1 1 α H Y , t
d j , t = d t = 1 α α w t I x t
The inventor of a new technology patent receives monopoly profits on intermediate goods in subsequent periods t , i.e., each new technology patent is valued as
V t = k = t + 1 d k m = t + 1 k ( 1 + r k )
The no-arbitrage condition satisfied by the market for technology assets and physical capital can be obtained from the following equation: r t + 1 = d t + 1 / V t + V t + 1 V t / V t , i.e., the sum of the unit return and the gain in value of the new technology patents at equilibrium is equal to the interest rate.

3.3. R&D Sector

The permanent accumulation of knowledge presents an externality for technical innovation activities inside the R&D sector. The efficacy of the R&D sector depends upon the amount of human capital spent on it and the available pool of knowledge. Between the periods t and t + 1 , the R&D sector invests H A , t units of human capital in R&D activities, generates patents for new technologies A t + 1 A t , and sells these patents for new technologies to intermediate goods firms at a market price V t . See [14]. For a given R&D output efficiency ψ t , the production function of technological innovation is
A t + 1 A t = ψ t H A , t
ψ t = A t η H A , t υ
where η < 1 , 0 υ < 1 . If the wage cost in the R&D sector is w t A , the profit function can be expressed as d t A = ( A t + 1 A t ) V t w t A H A , t = ( ψ t V t w t A ) H A , t . Assuming that R&D activities are perfectly competitive and the expected benefits of R&D activities in equilibrium do not exceed the costs, the following condition can be obtained:
V t = w t A ψ t = w t A A t η H A , t υ
Under the free movement of production factors, the labor prices are the same in the final goods sector, the intermediate goods sector, and the R&D sector, i.e., w t Y = w t I = w t A = w ˜ t , while satisfying w ˜ t = w t ( 1 + θ t π ) .

3.4. Government Sector

In this model, the government is only responsible for the operation of maternity insurance funds and financial budgets. The number of adults is assumed to be N t , and the balance of maternity insurance funds in the period t is
N t θ t π w t h t = N t b π w t h t ( z n t ) θ t = b z n t
On the other hand, the government receives public revenues from the collection of personal income tax from adults G t = N t ( τ t w t h t l t ) . For the sake of simplicity, this paper assumes that a λ proportion of public expenditure is invested in public education N t n t o t and 1 λ proportion is spent on other public expenditures D t , and the budget for public education is balanced as
λ N t τ w t h t l t = N t n t o t λ τ w t h t ( 1 z n t ) = n t o t

3.5. Market Clearing Conditions

Referring to Strulik et al. [15], aggregate human capital is defined as H t = h t N t l t , and the demand for human capital comes from the final goods sector, the intermediate goods sector, and the R&D sector, H Y , t , H d , t , and H A , t , respectively. Under the assumption of the intermediate goods sector, H d , t = A t x t , the market clearing condition for human capital is
H Y , t + A t x t + H A , t = H t
Final goods are used for adult consumption, consumption by the elderly, private education, public education, and other public expenditures. The final goods market clearing condition is
Y t = c 1 , t N t + c 2 , t p N t 1 + n t N t e t + N t n t o t + D t
Assuming that all adult savings are invested in new patented inventions in the R&D sector ( A t + 1 A t ) V t or invested in the purchase of patents for existing technologies A t V t , the asset market clearing condition is
( A t + 1 A t ) V t + A t V t = s t N t A t + 1 V t = s t N t

4. Equilibrium Analysis

4.1. Balanced Growth Path

Based on Equations (5)–(7) and (20), the fertility rate, savings rate, and share of private investment in education in equilibrium can be obtained as
n = ( 1 𝜙 σ ) ( 1 τ ) γ + τ μ λ [ ( 1 γ ) ( 1 + β p ) + γ ] z [ 1 τ ( 1 μ λ ) b π ] [ ( 1 γ ) ( 1 + β p ) + γ ]
s t w t h t l t = β p ( 1 γ ) ( 1 τ ) ( 1 γ ) ( 1 + β p ) + γ 1 n z
e t w t h t l t = z ( 1 τ b π ) 𝜙 σ n μ λ τ ( 1 z n ) ( 1 + π b z n ) n ( 1 𝜙 σ ) ( 1 n z )
In order to ensure that the equilibrium fertility rate is always positive, it is necessary to require that the relative propensity of families to have quality children 𝜙 satisfies the condition ( 1 𝜙 σ ) ( 1 τ ) γ + τ μ λ [ ( 1 γ ) ( 1 + β p ) + γ ] > 0 .
The cumulative process of aggregate human capital and the growth in technological progress can be obtained from the relationships among the core variables in the model (detailed certifications are provided in Appendix B, Equations (A4) and (A7)):
1 + g H , t + 1 = 1 + g A , t σ ( 1 α ) 1 + g H , t σ + ρ n 1 ( σ + ρ )
1 + g A , t + 1 g A , t + 1 υ 1 υ = ( 1 + g A , t ) η υ 1 υ g A , t υ 1 υ ( 1 + g H , t + 1 )
The dynamic evolution of the growth rate of aggregate human capital exhibits permanent growth rather than convergence to a balanced growth path when σ + ρ > 1 , the growth rate of aggregate human capital converges to zero when σ + ρ = 1 , and it converges to a balanced growth path when σ + ρ < 1 (see Appendix C for a detailed description). Thus, this paper will discuss the balanced growth path under the condition of σ + ρ < 1 . From the dynamic Equation (27) of total human capital growth, it can be seen that the growth in aggregate human capital in the short run comes from three paths: technological progress, intergenerational transmission, and population growth. In the path of technological progress, technological progress promotes growth in individual wage incomes, relaxes the budget constraints of households, and increases fiscal tax revenues, which leads to an increase in investment in private and public education and thus raises the level of individual human capital and the growth in aggregate human capital. In the intergenerational transmission path, the intergenerational transmission of education causes individual human capital to realize self-accumulation. In the path of population growth, fertility behavior increases aggregate human capital by increasing the size of the labor force. The growth in aggregate human capital further contributes to technological progress. Combining the dynamics of (27) and (28), it can be seen that human capital investment and technological progress promote each other, forming a circular accumulation process.
Under the balanced growth path, the growth rates of both human capital stock and technological progress are constants, i.e., g H , t + 1 = g H , t = g H and g A , t + 1 = g A , t = g A . According to (27) and (28), the long-run relationship between aggregate human capital and technological progress under the balanced growth path can be obtained:
ln ( 1 + g H ) = σ ( 1 α ) 1 ( σ + ρ ) ln 1 + g A + ln n
ln ( 1 + g A ) = 1 υ 1 η ln ( 1 + g H )
According to the long-run relationship (29), it can be seen that σ ( 1 α ) / ( 1 ( σ + ρ ) ) is the marginal contribution of technical progress to the growth in aggregate human capital. Meanwhile, relationship (30) shows that ( 1 υ ) / ( 1 η ) is the marginal contribution of the growth in the human capital stock to the growth in technological progress in the balanced growth path. Combining the above two relationships, it can be seen that the total human capital in the long run realizes self-cumulative growth through the path of technological progress, in which σ ( 1 α ) ( 1 υ ) / [ ( 1 ( σ + ρ ) ) ( 1 η ) ] can be understood as the contribution of technological progress to the growth in aggregate human capital, but the contribution of this path will be affected by the fertility rate. An increase in the number of children born dilutes the positive effect of technological progress on the per capita investment in education, reducing the per capita investment in human capital and having a dilutive effect on the total human capital. At the same time, given the level of individual human capital and labor hours, the aggregate human capital also depends on the size of the working population. Relationship (29) shows that the marginal contribution of fertility to growth in the total human capital is 1, i.e., the direct growth effect of fertility on total human capital. In summary, it can be seen that there is both an indirect dilution effect and a direct growth effect of higher fertility levels on growth in the human capital stock; thus, the net effect of fertility incentives on the human capital stock depends on the relative magnitude of the two effects.
When ( 1 η ) ( 1 σ ρ ) σ ( 1 α ) ( 1 υ ) , associating (29) and (30) yields the long-run growth rate of aggregate human capital and technological progress under the balanced growth path as follows. (When ( 1 η ) ( 1 σ ρ ) = σ ( 1 α ) ( 1 υ ) , it will lead to stagnant growth; thus, this case will not be considered in this paper. The proof of Equations (31)–(33) is given in the Appendix A.)
1 + g H = n ( 1 η ) ( 1 σ ρ ) ( 1 η ) ( 1 σ ρ ) σ ( 1 α ) ( 1 υ ) = ( 1 𝜙 σ ) ( 1 τ ) γ + τ μ λ [ ( 1 γ ) ( 1 + β p ) + γ ] z [ 1 τ ( 1 μ λ ) b π ] [ ( 1 γ ) ( 1 + β p ) + γ ] ( 1 η ) ( 1 σ ρ ) ( 1 η ) ( 1 σ ρ ) σ ( 1 α ) ( 1 υ )
1 + g A = n ( 1 υ ) ( 1 σ ρ ) ( 1 η ) ( 1 σ ρ ) σ ( 1 α ) ( 1 υ ) = ( 1 𝜙 σ ) ( 1 τ ) γ + τ μ λ [ ( 1 γ ) ( 1 + β p ) + γ ] z [ 1 τ ( 1 μ λ ) b π ] [ ( 1 γ ) ( 1 + β p ) + γ ] ( 1 υ ) ( 1 σ ρ ) ( 1 η ) ( 1 σ ρ ) σ ( 1 α ) ( 1 υ )
It can be seen that the growth rate of aggregate human capital and the growth rate of technological progress under the balanced growth path depend on the equilibrium fertility rate n . Finally, the growth rate of output per labor under the balanced growth path is denoted by g y , t = y t / y t 1 , where y t = Y t / N t . Then, the growth rate of output per labor is
1 + g y = n ( 1 υ ) ( 1 ρ ) ( 1 α ) ( 1 η ) ( 1 σ ρ ) σ ( 1 α ) ( 1 υ ) = ( 1 𝜙 σ ) ( 1 τ ) γ + τ μ λ [ ( 1 γ ) ( 1 + β p ) + γ ] z [ 1 τ ( 1 μ λ ) b π ] [ ( 1 γ ) ( 1 + β p ) + γ ] ( 1 υ ) ( 1 ρ ) ( 1 α ) ( 1 η ) ( 1 σ ρ ) σ ( 1 α ) ( 1 υ )

4.2. Comparative Static Analysis

4.2.1. Incentive Effects of Maternity Insurance and Public Education on Fertility

From the optimal fertility choice in equilibrium, it can be seen that the actual contribution rate of maternity insurance π , the coefficient of benefit payments b , and the length of maternity leave z have a direct effect on the equilibrium fertility rate n . The derivation of expression (24) with respect to the parameters π , b , and z can be easily verified for n / π > 0 , n / b > 0 , and n / z < 0 . Thus, we can obtain Proposition 1.
Proposition 1:
The actual contribution rate of maternity insurance and the level of benefits paid are positively related to fertility, while the length of maternity leave is negatively related to fertility.
Maternity insurance plans pay maternity benefits to women while they are on maternity leave, lowering the opportunity cost of motherhood and creating an incentive for maternity, the strength of which is determined by the fund’s level. The maternity allowance is calculated by the average social insurance contribution base of the firms where it is paid each month. Due to the problem of an erroneous social insurance contribution base, the actual level of the average contribution base will be lower than the level of the wage income, resulting in a lower social insurance contribution rate than the statutory contribution rate. Raising the actual contribution rate to maternity insurance while lowering the avoidance rate will raise the replacement rate of maternity allowance, reduce the shadow price of the number of children, and aid in rewarding women’s reproductive behavior. Given the rate of social insurance contributions, increasing the coefficient of benefits will boost maternal benefits and lower the opportunity cost of reproductive activity. Contrary to conventional belief, the length of maternity leave is negatively connected to the fertility rate. This is because the contribution base of maternity insurance is lower, as stated by firms adjusting their wage structures. As a result, the maternity allowance is smaller than the pre-maternity pay income. The longer the maternity leave, the higher the opportunity cost of childbirth, which reduces the incentive for working married women of reproductive age to have children.
By taking the derivative with respect to the parameter λ , we can obtain n / λ = τ μ ( 1 τ b π χ ) / z 1 τ ( 1 μ λ ) b π 2 , where χ = ( 1 𝜙 σ ) ( 1 τ ) γ / [ ( 1 γ ) ( 1 + β p ) + γ ] . According to Equation (24), ( χ + τ μ λ ) / ( 1 τ b π + τ μ λ ) = n z 1 is obtained, so that 1 τ b π χ can be derived, which leads to d n / d λ 0 . From the partial derivative, it can be seen that the marginal effect of public expenditure on education on long-term fertility is influenced by the degree of its relative contribution μ . Thus, we can obtain Proposition 2.
Proposition 2:
There is a positive effect of higher public spending on education on fertility, the marginal effect of which depends in part on the relative contribution of the more private educational inputs to human capital formation.
The theory model takes into account the crowding-out effect of public education spending on private education investment. For households, public education spending reduces the household burden of education for their children, which is equivalent to an increase in the household’s real disposable income. Additionally, there is an incentive effect on the household’s fertility behavior, which is also considered an income effect. Thus, raising the amount of public education investment has a motivating influence on family reproduction behavior. The incentive intensity of public education spending is also heavily influenced by a strong educational system. By improving the education system, reducing the role of private education in the process of human capital formation, and thus reducing the inequality of education resources caused by family income disparities, the relative contribution of public education expenditure in the process of human capital accumulation can be increased—for example, through the “double decrease” policy. In the short run, the greater the contribution of public education to human capital accumulation compared to private education, the lower the demand for private education inputs from families and the lighter the educational burden on families’ children.

4.2.2. Fertility Incentives and the Growth Rates of Human Capital Stock and Output per Capita Labor

We derive Equation (31) with respect to the equilibrium fertility rate:
ln ( 1 + g H ) n = ( 1 η ) ( 1 σ ρ ) ( 1 η ) ( 1 σ ρ ) σ ( 1 α ) ( 1 υ ) 1 n
The effect of equilibrium fertility on the total human capital under η < 1 , 0 υ < 1 , 0 < α < 1 , 0 < σ + ρ < 1 depends on the sign of the exogeneity parameter ( 1 η ) ( 1 σ ρ ) σ ( 1 α ) ( 1 υ ) . When ( 1 η ) ( 1 σ ρ ) σ ( 1 α ) ( 1 υ ) > 0 , ln ( 1 + g H ) / n > 0 , and vice versa. When ( 1 η ) ( 1 σ ρ ) σ ( 1 α ) ( 1 υ ) > 0 , i.e., σ ( 1 α ) ( 1 υ ) / [ ( 1 ( σ + ρ ) ) ( 1 η ) ] < 1 , it means that the contribution of technological progress in the process of the accumulation of aggregate human capital is smaller than the contribution of the growth in the number of working people. The indirect dilution effect of higher fertility on the total human capital through the technological path is relatively low in this case and is smaller than the direct growth effect of fertility on the total human capital, so that fertility incentives increase the growth rate of the total human capital. When σ ( 1 α ) ( 1 υ ) / [ ( 1 ( σ + ρ ) ) ( 1 η ) ] > 1 , i.e., ( 1 η ) ( 1 σ ρ ) σ ( 1 α ) ( 1 υ ) < 0 , it implies that the contribution of technological progress to the growth in human capital per capita is greater than the contribution of the growth in the labor force in the accumulation process of aggregate human capital; then, the dilution effect of fertility on the growth in the human capital stock through the technological path is stronger than the direct growth effect of fertility on the human capital stock. Fertility incentives in this parameter case have a negative net effect on aggregate human capital growth. It can be similarly obtained when σ ( 1 α ) ( 1 υ ) / [ ( 1 ( σ + ρ ) ) ( 1 η ) ] < 1 , ln ( 1 + g A ) / n > 0 , ln ( 1 + g y ) / n > 0 based on Equations (32) and (33). Thus, we can obtain Proposition 3.
Proposition 3:
: Fertility incentives have both an indirect dilution effect and a direct growth effect on the human capital stock; when  σ ( 1 α ) ( 1 υ ) / [ ( 1 ( σ + ρ ) ) ( 1 η ) ] < 1 , fertility incentives have a positive net effect on the growth rate of the human capital stock and thus on the growth rate of technological progress and labor per capita output; when  σ ( 1 α ) ( 1 υ ) / [ ( 1 ( σ + ρ ) ) ( 1 η ) ] > 1 , the effects are reversed.
In this paper, the growth rate of economic growth is measured as the growth rate of the output per capita. The impact path of fertility incentives on the growth rate of the output per capita consists of two aspects: on the one hand, it has an impact on the total economic output by acting on the growth rate of the total human capital supply and technological progress; on the other hand, it has a direct effect on the output per capita by affecting the size of the population. According to the previous relationship between equilibrium fertility and the total human capital supply, there are two effects of fertility incentives on economic growth: one is the indirect and direct dilution effect by lowering the level of average human capital and the output per capita, and the other is the positive effect on per capita economic growth by increasing the growth rate of the total human capital and technological progress. The intensity of the negative and positive effects determines the net impact of fertility incentives on economic growth. In summary, the impact of fertility incentives on economic growth is characterized by uncertainty. When the contribution from the path of technological progress in the accumulation of human capital stock is smaller than the contribution from the growth in the labor force, fertility incentives have a weaker dilutive effect on human capital and a positive net effect on the growth rate of the human capital stock, which further has a positive effect on technological progress and economic growth, and vice versa.

4.2.3. Effects of Maternity Insurance and Public Education on Economic Growth

The effects of maternity insurance and public education on aggregate human capital and economic growth will be discussed. A partial derivation of Equation (31) with respect to the actual contribution rate for maternity insurance π yields
ln ( 1 + g H ) π = ln ( 1 + g H ) n n π > 0 , σ ( 1 α ) ( 1 υ ) / ( 1 η ) ( 1 σ ρ ) < 1 < 0 , σ ( 1 α ) ( 1 υ ) / ( 1 η ) ( 1 σ ρ ) > 1
Thus, when σ ( 1 α ) ( 1 υ ) / [ ( 1 ( σ + ρ ) ) ( 1 η ) ] < 1 , there is a long-run positive effect of increasing the maternity insurance contribution rate on the growth in total human capital through incentivizing fertility behavior, which in turn has a positive effect on the growth rate of technological progress and the output per capita. Similarly, it can be concluded that increasing the maternity allowance and public spending on education under this parameter condition also has a long-run positive impact on economic growth through incentivizing childbearing. In contrast, an increase in the length of maternity leave in this parameter condition has a negative effect on fertility behavior and thus a negative long-run effect on economic growth. Similarly, we can easily discuss ( 1 + g A ) / π , ( 1 + g y ) / π , ( 1 + g H ) / b , ( 1 + g A ) / b , ( 1 + g y ) / b , ( 1 + g H ) / z , ( 1 + g A ) / z , ( 1 + g y ) / z , ( 1 + g H ) / λ , ( 1 + g A ) / λ , ( 1 + g y ) / λ . In summary, Proposition 4 can be obtained.
Proposition 4:
: When σ ( 1 α ) ( 1 υ ) / [ ( 1 η ) ( 1 σ ρ ) ] < 1 , increasing the actual contribution rate of maternity insurance, the level of maternity benefits, and public education expenditures increases the growth rate of aggregate human capital through incentivizing fertility, which further has a positive effect on economic growth in the long run, but the length of maternity leave is negatively associated with long-run economic growth; the conclusions are reversed when σ ( 1 α ) ( 1 υ ) / [ ( 1 η ) ( 1 σ ρ ) ] > 1 .

5. Numerical Simulations

The equilibrium analyses presented above consider the direction of the impact of maternity insurance and public education on endogenous economic variables and their exogenous conditions. To better quantify the degree of influence of the core exogenous parameters on the endogenous economic variables, the theoretical model’s parameters are calibrated in light of China’s economic reality, and the fertility incentive effects and economic impacts of maternity insurance and public education are numerically analyzed on the benchmark model. Because the theoretical analysis demonstrates that adjusting the length of maternity leave does not stimulate fertility behavior, the numerical analysis focuses on the quantitative analysis of the fertility incentive effects and the effects of increasing the maternity insurance contribution rate, the level of maternity allowance, and the proportion of public education expenditure.

5.1. Calibration of Parameters

First, the values of parameters z , π , b , τ , λ are set according to the policy regulations and economic situation in China. The length of time for which the maternity insurance fund pays out maternity benefits is the number of days of maternity leave. Maternity leave is currently extended to 158 days in most provinces and regions of China. Assuming a 30-year time span for the first phase of the overlapping generations model, z = 158 / ( 365 * 30 ) = 0.014 . Since the social insurance contribution base is, in principle, the same, this paper sets the actual contribution rate of maternity insurance (i.e., the proportion of the actual contribution base to wages) to π = 0.650. According to the current situation of maternity insurance, the maternity allowance is currently paid out in accordance with the average contribution salaries of employees, so the coefficient of the maternity allowance is set to b = 1 . The starting point of personal tax has been adjusted since the beginning of 2019. According to statistical data, the total payroll of the employed urban units in 2019 was CNY 15,429.6 billion, the total amount of personal tax was CNY 1038.8, and the proportion of personal tax in the payroll was about 0.067. Thus, this paper selects the payroll tax rate as τ = 0.067 . According to the data released by the Ministry of Finance, the proportion of education expenditure in the national general public budget expenditure in 2020 was 14.8%, and λ = 0.148 is selected. Considering that the equilibrium growth rate is independent of the technical parameters of the human capital accumulation equation, it is normalized to E = 1 .
Secondly, the parameters ρ , σ , μ , η , p , β , γ are set with reference to the existing literature. Regarding the contribution of the father’s human capital to children’s human capital, with reference to [19], we set ρ = 0.424 . Zhang and Han [20] estimate that the elasticity coefficient of the per capita education expenditure on the human capital stock is about 0.2, so this paper selects σ = 0.2 . The empirical results of [21] show that the elasticity contribution of non-financial funding is about two times that of financial funding, so we set the coefficient of the relative effect of public education over private education on human capital accumulation to μ = 0.5 . Drawing on [2], the parameter η = 0.5 in the production function of technological innovation is set, and the relative weight of parents’ utility from their children γ = 0.3 . Regarding the probability of survival from old age and the subjective discount factor, referring to [22], we set p = 0.652 , β = 0.742 .
Finally, in order to ensure that the fertility rate, the rate of technological progress, and the per capita GDP growth rate are consistent with the real levels of China, using those of China in the period of 2016–2020 as the baseline targets, we calibrate the relative preference for children’s quality 𝜙 , the parameter of technological innovation υ , and the output elasticity of intermediate goods in the production function α . According to the data compiled by the Bureau of Statistics, the average fertility rate in 2016–2020 was 1.61, and, according to the equilibrium fertility rate in (24), the relative preference of parents for the quality of their children in the process of childbearing decision-making 𝜙 = 4.963 is selected. The parameters υ and α are calibrated using the formulas for the growth rate of long-run technological progress and the growth rate of output per labor. In order to measure the growth rate of technological progress in the R&D sector, the growth rate of invention patent authorization is used, and the average growth rate of invention patent authorization in 2016–2020 was 8%, setting the average annual growth rate of technological progress at 8%. Meanwhile, the average growth rate of the GDP per capita in 2016–2020 is set to be 5.76%, and the average annual growth rate of the output per labor is set to be 5.75%. It can be found that α = 0.525 and υ = 0.932 using Equations (32) and (33). All of the parameter values are summarized in Table 1.

5.2. Numerical Analysis

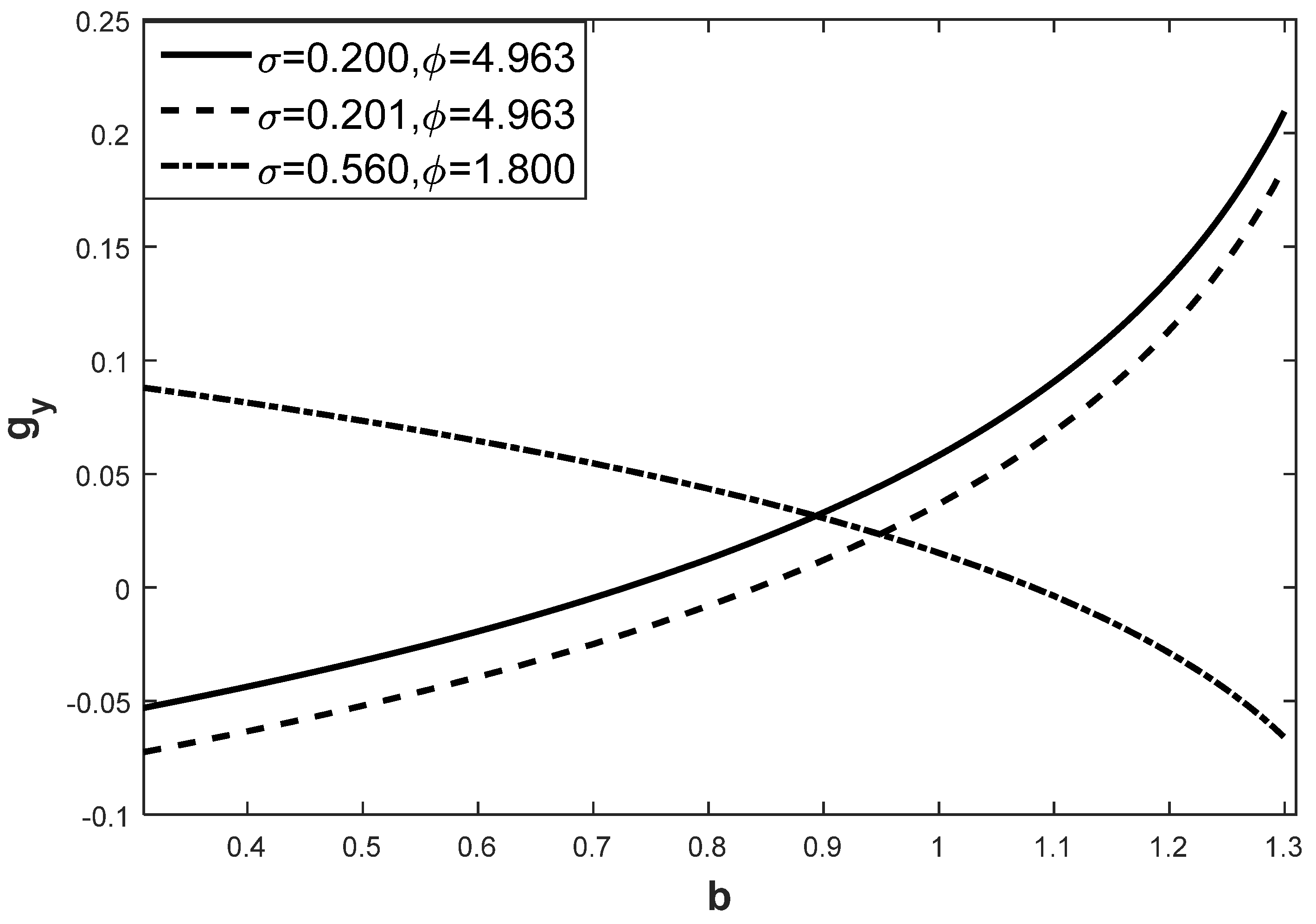
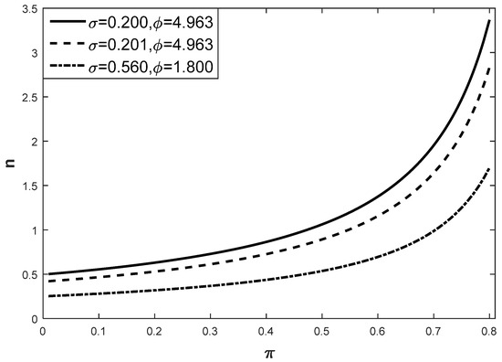
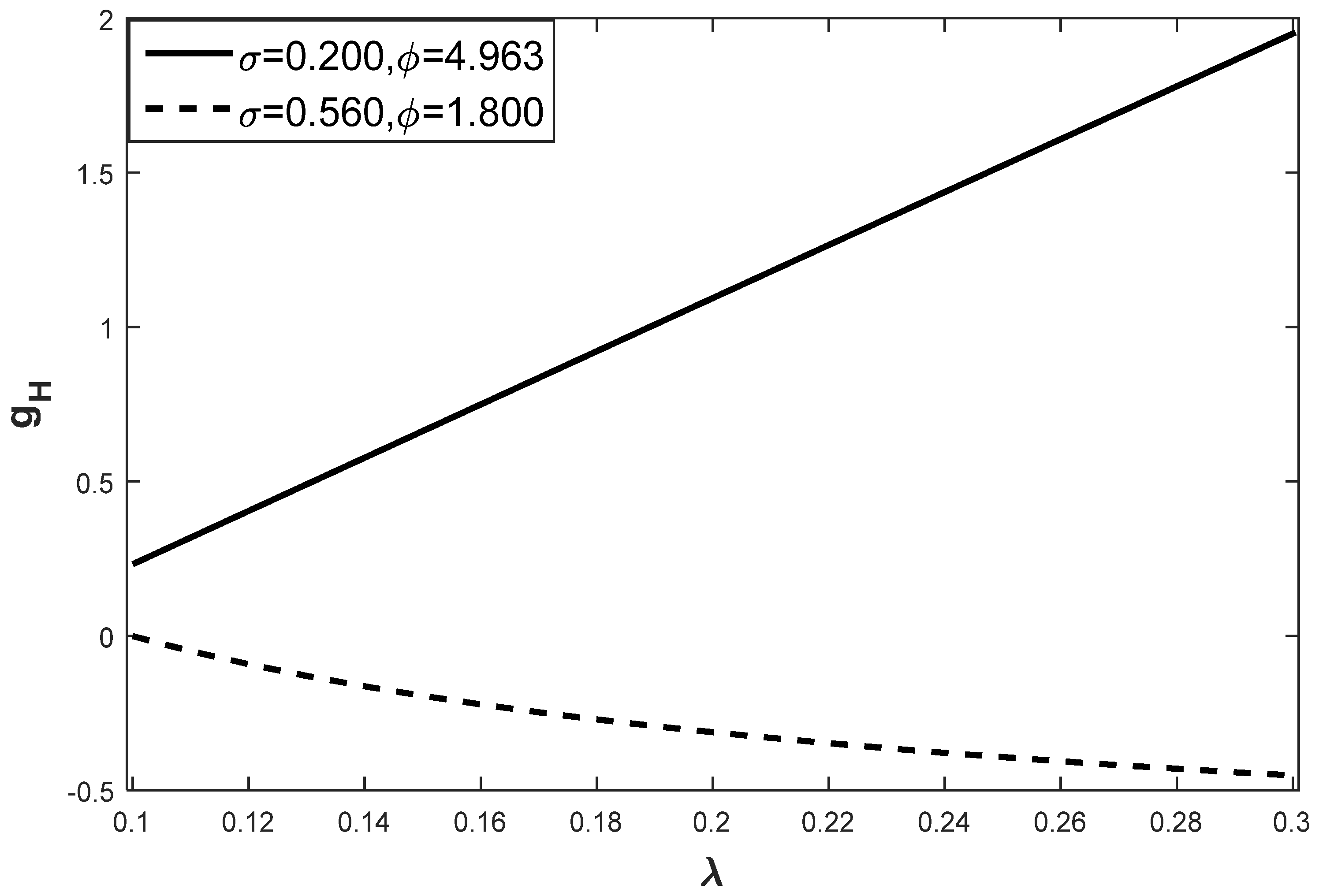
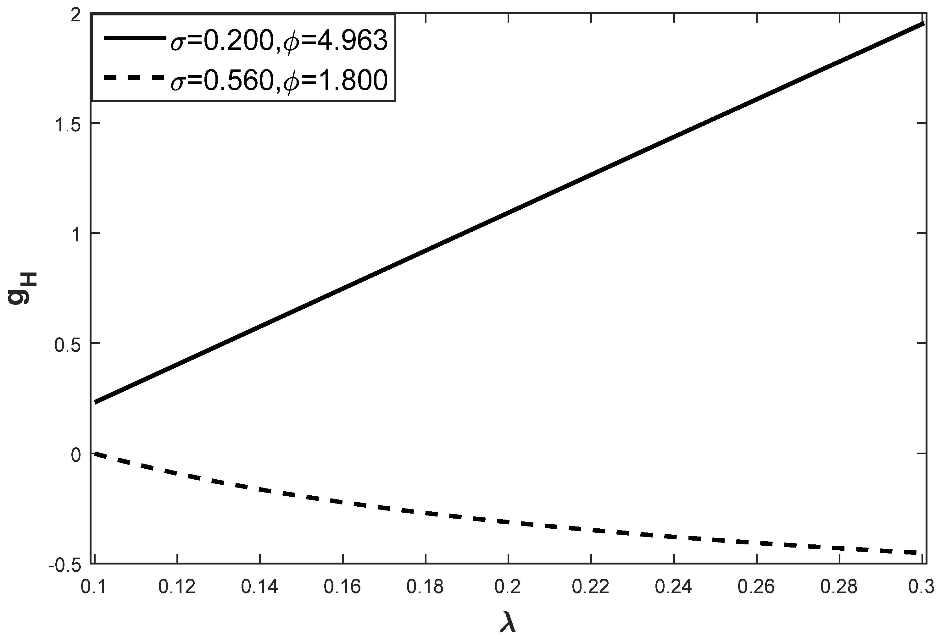
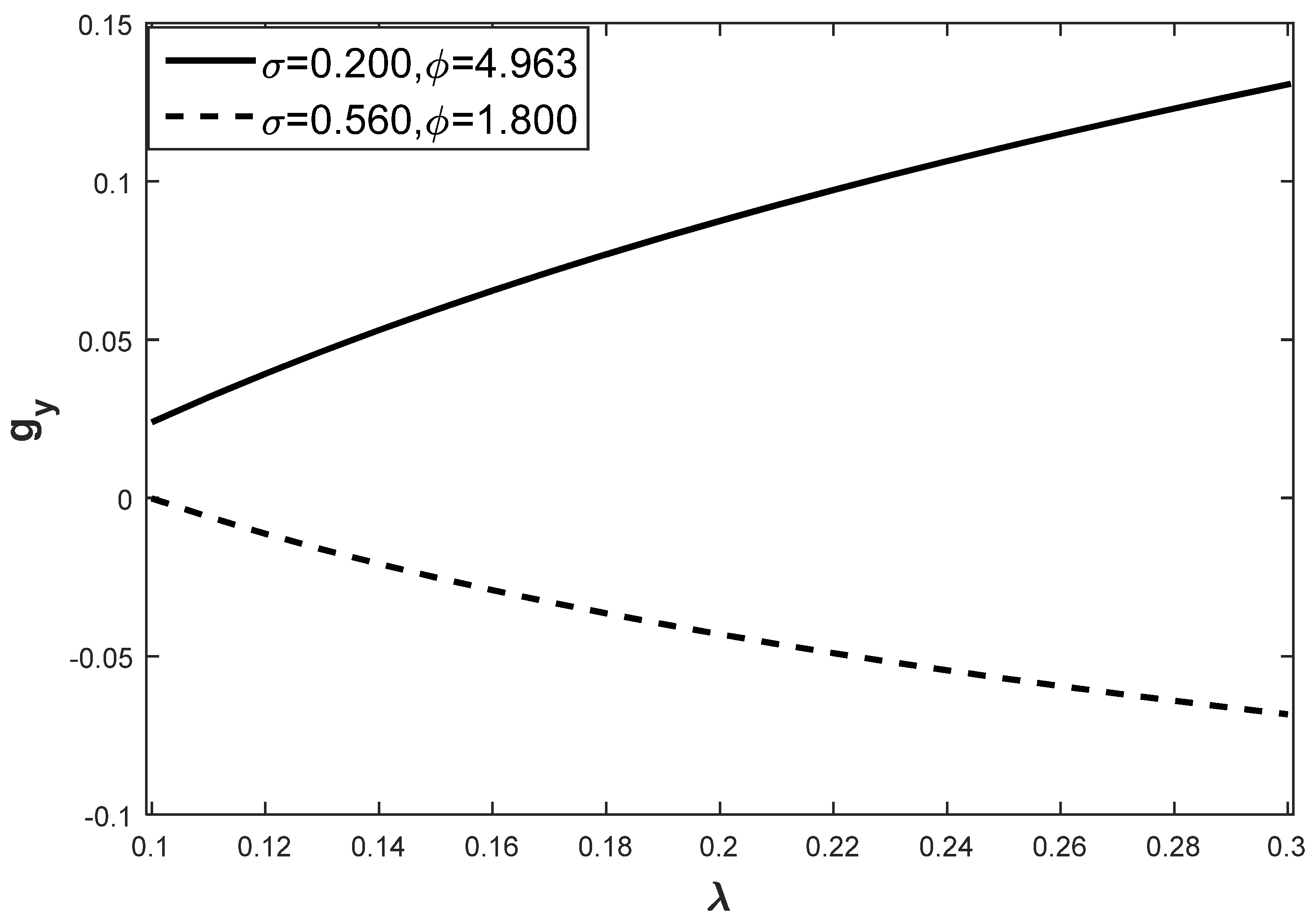
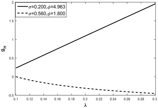
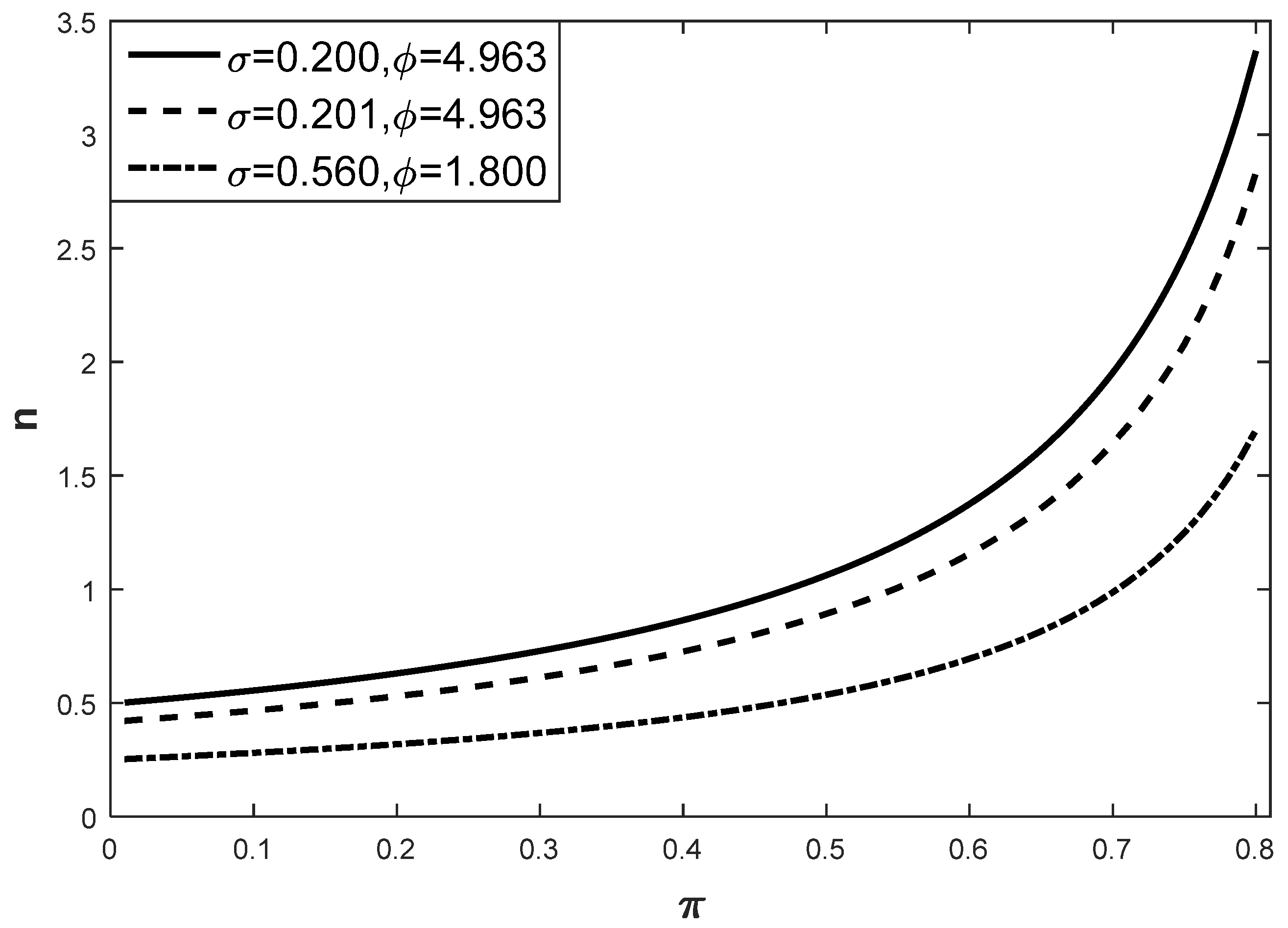
Based on the benchmark model, we analyze the effects of maternity insurance and public education on fertility, the human capital stock, and economic growth under the balanced growth path. This will demonstrate the fertility incentive effects of maternity insurance and public education and the mechanisms of their role in economic growth. Figure 1, Figure 2 and Figure 3 depict the changes in the fertility rate, growth rate of aggregate human capital, and growth rate of income per capita under three different parameter scenarios when the actual contribution rate of maternity insurance is increased to 0.8. The first set of parameters consists of the baseline parameter values, which satisfy the condition σ ( 1 α ) ( 1 υ ) / ( 1 η ) ( 1 σ ρ ) < 1 , i.e., the contribution of the technological progress path in the accumulation of aggregate human capital is smaller than that of the growth in the labor force, and the dilution effect of fertility on human capital is relatively weak. The marginal coefficients of the actual contribution rate of maternity insurance from 0.65 in the base case to 0.80 show that, for every 0.01 increase in the actual contribution rate, the fertility rate increases by 0.117 on average, and the growth rate of aggregate human capital and the growth rate of output per labor increase by 0.127 and 0.008 on average. The second set of parameterized scenarios consists of a 0.5 per cent increase in the rate of return on investment in education, i.e., σ = 0.201 . In this case, the marginal impact of the real rate of maternity insurance contributions on fertility and economic growth remains positive but decreases in magnitude, while the fertility rate, growth rate of aggregate human capital, and growth rate of output per capita all decline from the base case. This is mainly due to the fact that higher returns to human capital invested in education lead to a decline in fertility, as households favor the quality of children in the trade-off between the quantity and quality of children, resulting in a lower growth rate of human capital stock and economic growth than in the base case. In addition, we provide a special case to show that the actual contribution rate of maternity insurance is negatively related to economic growth. We choose the scenarios with σ = 0.560 ,   𝜙 = 1.800 , and the exogenous parameters satisfy the conditions σ ( 1 α ) ( 1 υ ) / ( 1 η ) ( 1 σ ρ ) > 1 . In this set of parameter scenarios, while an increase in the actual contribution rate of maternity insurance incentivizes fertility behavior, its relationship with the growth rates of the human capital stock and per capita labor output is reversed.
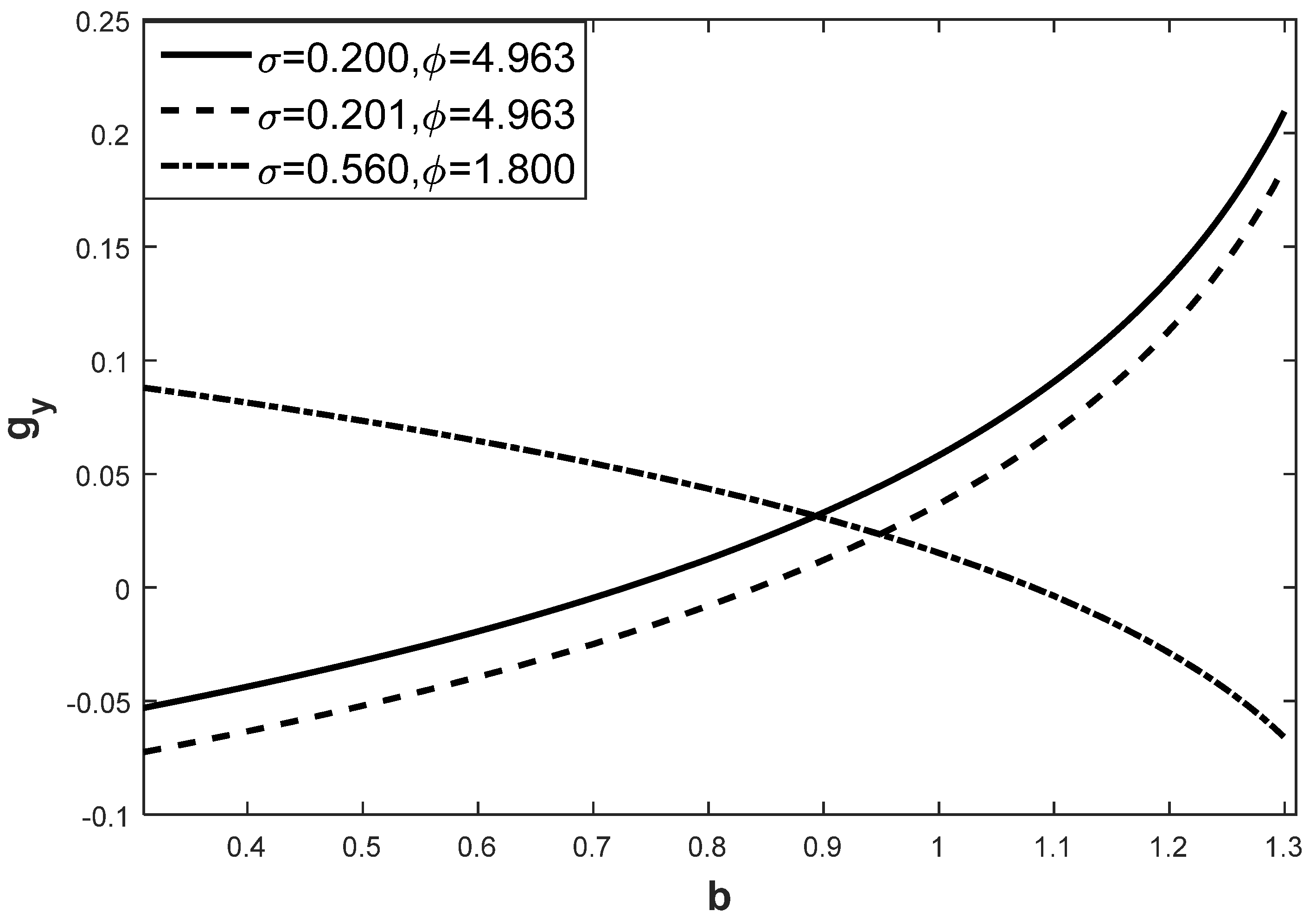
Increasing the level of the maternity allowance is a possible option to incentivize reproductive behavior under a constant social insurance contribution base. In order to discuss its economic impact, the model in this paper introduces the coefficient of the maternity allowance payment, which is a multiple of the contribution base of active employees (i.e., the actual social security contribution base of enterprises). Figure 4, Figure 5 and Figure 6 illustrate the fertility incentive effect of an increase in the maternity allowance and its economic impact under three different parameter sets. The first scenario is the base case, and the results indicate that, when the coefficient of the maternity allowance is raised from 1 by 1.3, i.e., the level of the maternity allowance payment is raised to 1.3 times the average social security contribution base, the average marginal effect shows that, for every increase of 0.01 in the coefficient of the maternity allowance, the fertility rate, the growth rate of human capital stock, and the growth rate of output per labor are raised by 0.226, 0.246, and 0.01 on average, respectively. In the second set of scenarios with a 0.5% increase in the rate of return to education, the economic impact of increasing the maternity allowance is consistent with the baseline scenario, but the increase in the rate of return to education weakens the marginal effect of the coefficient of the maternity allowance on fertility and economic growth. In addition, we provide a special case to show that the maternity allowance is negatively related to economic growth. We choose the scenarios with σ = 0.560 ,   𝜙 = 1.800 , and the exogenous parameters satisfy the conditions σ ( 1 α ) ( 1 υ ) / ( 1 η ) ( 1 σ ρ ) > 1 . In this case, although the increase in the level of the maternity allowance stimulates an increase in fertility, it reduces the growth rate of aggregate human capital and the growth rate of the labor output per capita, confirming the corresponding findings of the equilibrium analysis.
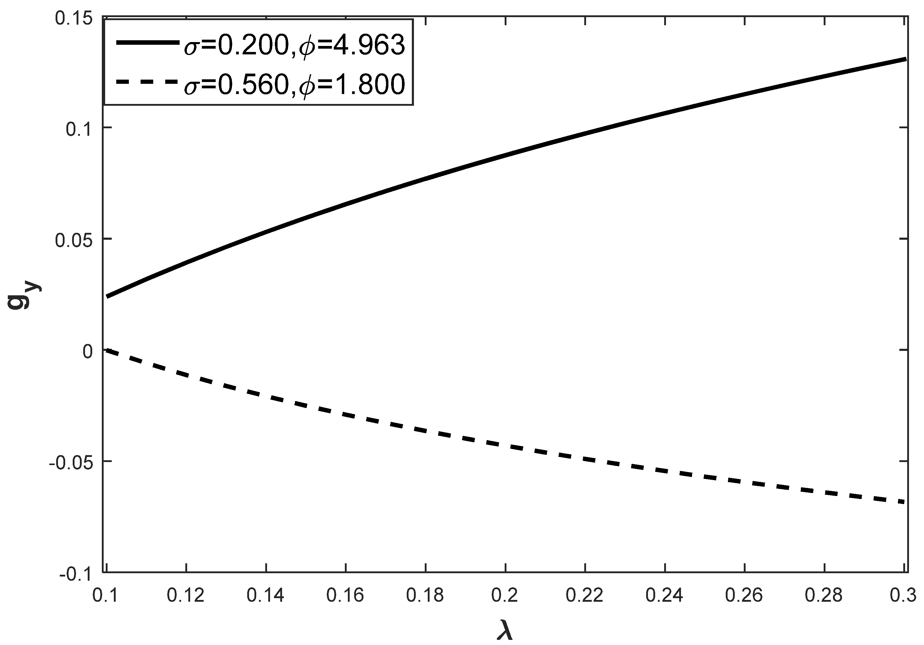
Figure 7, Figure 8 and Figure 9 show the changes in fertility, the growth rate of aggregate human capital, and the economic growth rate when the share of expenditure on public education increases to 30% in the two numerical scenarios at μ = 0.5 , 0.6 . μ = 0.5 is the benchmark parameter, in which the average marginal effect of increasing the proportion of public expenditure on education from the benchmark value of 14.8% to 30% shows that an increase of 0.010 in the proportion of public education expenditure leads to an average increase in the fertility rate of 0.080 and an average increase in the growth rates of the human capital stock and output per labor of 0.007 and 0.005, respectively. In the second parametric scenario, μ = 0.6 , and the relative contribution of public versus private education in the process of human capital accumulation rises. The results in this case show that the same public education expenditures result in higher fertility rates, higher growth rates of aggregate human capital, and higher economic growth than in the baseline scenario. At the same time, an increase of 0.010 in the proportion of public education expenditure in this scenario raises the fertility rate, the growth rate of aggregate human capita, and the growth rate of output per labor by an average of 0.095, 0.102, and 0.005, respectively, with greater marginal effects than in the baseline scenario. This suggests that the fertility incentives and economic impacts of higher public education spending are somewhat dependent on the relative contribution of public education. This further suggests that increasing the relative contribution of public education spending to human capital accumulation will produce favorable fertility incentives and positive economic impacts in the long run.

5.3. Sensitivity Analysis

In order to further verify the robustness of the above findings, it is examined whether the variations in the parameters with important economic implications affect the relationships between the core variables. In this paper, we focus on choosing the parameter γ regarding households’ preferences for children. Controlling for the other parameters as benchmark values, Table 2 illustrates the incentive effects of the actual contribution rate for maternity insurance, the coefficient of the maternity allowance payment, the share of public education expenditure, and the impact on the economic growth rate for γ taking the values of 0.25 and 0.35. As can be seen in Table 2, increases in the level of households’ preferences for children do not change the fertility incentive effects of maternity insurance and public education and their impacts on aggregate human capital and economic growth, but only the magnitude of the effects. This also supports the robustness of the conclusions in the benchmark parameter case. In addition, by comparing the values of key economic variables at different values of γ , it can be observed that the higher the parental preference for children, the higher the fertility incentive effects of maternity insurance and public education and the higher the growth rate of aggregate human capital and output per labor.
The probability of survival in old age reflects the length of the life expectancy, and the existing literature suggests that a longer life expectancy reduces the fertility rates [23]. This suggests that survival probabilities may affect the fertility incentive effects of maternity insurance and public education. Table 3 gives the effects of maternity insurance and public education expenditure on fertility and economic growth for survival probabilities p of 0.60 and 0.70. As can be seen from the results, the change in the survival probability does not change the effects of maternity insurance and public education expenditure on the fertility rate, human capital growth, and economic growth. This also verifies that the conclusions of the equilibrium analysis of the benchmark model are valid and robust.

6. Conclusions

Combining unified growth theory with the R&D-based endogenous growth theory, this study develops an overlapping generations model that includes fertility incentives, taking into consideration China’s maternity insurance and public education. The study uses theoretical analysis and numerical simulation to analyze the fertility incentive effects of maternity insurance and public education, as well as their impacts on economic growth. Some important findings have been discovered.
Firstly, increasing the actual contribution rate of maternity insurance and the level of maternity allowance has an incentivizing effect on fertility, but extending the length of maternity leave has a disincentivizing effect on fertility. In the process of collecting maternity insurance premiums in China, there are a number of enterprises that reduce their levels of contributions by changing the way that salaries are paid out or that simply avoid making contributions. These problems have led to a maternity insurance contribution base that is lower than the actual level of wages paid. Maternity benefits during maternity leave are paid according to the contribution base, which results in the real maternity benefits being lower than the wages earned before the birth, thus creating an opportunity cost of maternity. This opportunity cost is determined by the real contribution base for maternity insurance and the level of the maternity allowance. At the same time, this opportunity cost increases as the maternity leave is extended. This means that the extension of maternity leave under the current maternity insurance system is not an incentive for reproductive behavior. Therefore, governments should improve the maternity insurance system and give full play to the incentive role of maternity insurance. They should raise the actual contribution rate for maternity insurance, establish a flexible mechanism for the adjustment of maternity allowances, and improve maternity allowance entitlements. For example, the introduction of a coefficient for maternity allowances that increases with the number of births, using the current average social security contribution base as the basic allowance standard, and granting maternity allowances to female employees who have given birth to two or more children in accordance with the standard of the basic allowance times the coefficient of maternity allowances would incentivize multiple births.
Second, increasing the proportion of public education expenditure in the public financial expenditure promotes fertility, and the marginal effect is influenced by the relative contribution of public education expenditure to human capital accumulation compared to private education inputs. Under China’s education system, the fierce competition in the process of further education means that private educational inputs play a significant role in human capital formation. Increased government public education expenditure results in an incentive effect on childbearing, easing the educational burden on families. However, the relative importance of public education inputs in the process of human capital accumulation influences the intensity of this incentive effect. Thus, the government should pay more attention to improving the education policy system with fertility incentives in mind, increasing the contribution of public education investment to the accumulation of human capital, lowering the burden of private education, promoting the relatively balanced development of education resources, and easing the education anxiety of people of childbearing age.
Third, maternity insurance and public education’s fertility incentive have an impact on aggregate human capital and economic growth. However, the overall impact of fertility incentives on aggregate human capital and economic growth is uncertain, as it depends on the strength of the dilution effect of higher fertility on the per capita human capital during the accumulation of aggregate human capital. When the dilution effect on human capital is weaker, the increase in the actual contribution rate of maternity insurance, the level of maternity allowance, and the share of public education expenditure have a positive long-term effect on the growth in aggregate human capital and economic growth. Parameters calibrated to Chinese data suggest that the current dilution effect of fertility incentives in human capital accumulation is weak, and incentivizing fertility behavior promotes long-term growth in the Chinese economy.

Author Contributions

Writing—original draft preparation, L.H.; writing—review and editing, Q.W. All authors have read and agreed to the published version of the manuscript.

Funding

This research was funded by National Social Science Foundation grant number [20RKC009].

Data Availability Statement

The raw data used in the present study were collected from the Chinese Statistical Yearbook reported by China’s National Bureau of Statistics.

Conflicts of Interest

The authors declare no conflict of interest.

Appendix A

Table A1. Mathematical symbols and definitions.
Table A1. Mathematical symbols and definitions.
SymbolDefinitionSymbolDefinition
h t Level of human capital H Y , t Human capital stock input in final goods sector
e t 1 Expenditure of parents in investing in their children’s education x j , t Quantity of intermediate goods
o t 1 Average public education expenditure per child by the government A t Category of intermediate goods
σ Coefficient of education investment, which directly contributes to the level of children’s human capital w t Y Cost of human capital input in final goods sector
μ Coefficient of the contribution of public investment in education to children’s human capital accumulation j Intermediate goods
E Technical parameters of human capital p j , t Price of intermediate goods j
z Share of time spent on maternity leave for childbearing α Elasticity of intermediate goods
n t Number of children w t I Cost of human capital input in intermediate goods sector
l t Share of hours spent on maternity leave for participation in the labor market H A , t Human capital stock input in R&D sector
b Maternity allowance payment coefficient ψ t Efficiency of R&D output
π Proportion of the actual contribution base of maternity insurance accounts to the payable wage income η Coefficient for standing-on-shoulders effect
τ Personal tax rate υ Coefficient for stepping-on-toes effect
c 1 , t Adult’s consumption N t Number of adults
s t Savings G t Public revenues
p Survival probability λ Proportion of public expenditure
r t Risk-free interest rate D t Public expenditure
c 2 , t Consumption in old age H d , t Human capital stock input in intermediate goods sector
γ Preference of parents regarding the quantity and quality of their children V t Value of technology patents
𝜙 Degree of tendency of parents to prefer the quality of their children g H , t Growth rates of human capital stock
β Discount factor g A , t Growth rates of technological progress
Y t Final goods g y , t Growth rates of output per labor

Appendix B

According to the dynamic equation of individual human capital accumulation h t + 1 = E ( e t + μ o t ) σ h t 1 ρ , and Equations (7), (19), (20), and (26), the dynamic equation for the human capital level can be obtained:
h t + 1 = E ˜ w ˜ t σ h t ρ + σ
which is E ˜ = E z ( 1 τ b π ) 𝜙 σ n + μ τ ( 1 z n ) ( 1 𝜙 σ ) ( 1 𝜙 σ ) ( 1 + π b z n ) n σ .
According to the dynamic equation of human capital per capita, the dynamic change equation for aggregate human capital H t is
H t + 1 H t = w ˜ t w ˜ t 1 σ h t h t 1 ρ + σ l t + 1 l t N t + 1 N t
It can be seen that the dynamics of aggregate human capital depend on the dynamics of the cost of human capital w ˜ t / w ˜ t 1 , the dynamics of the level of individual human capital h t / h t 1 , the dynamics of the duration of labor market participation l t + 1 / l t , and the dynamics of the size of the adult population N t + 1 / N t . According to Equation (25), N t + 1 / N t = n is constant on the balanced growth path, so l t + 1 / l t = ( 1 z n t + 1 ) / ( 1 z n t ) = 1 .
According to Equations (8), (9), and (14), we can obtain
w ˜ t = α 2 α ( 1 α ) 1 α A t 1 α
Substituting Equation (A3) into (A2) yields a dynamic relationship between the growth rate of aggregate human capital g H , t = H t H t 1 / H t 1 and the growth rate of technological progress g A , t = A t A t 1 / A t 1 :
1 + g H , t + 1 = 1 + g A , t σ ( 1 α ) 1 + g H , t σ + ρ n 1 ( σ + ρ )
This is obtained from Equations (2), (5), (6), (12), (18), (19), and (23):
A t + 1 = s t N t V t = s t A t η H A , t υ N t w ˜ t = ψ ˜ 0 A t η H A , t υ H t
where ψ ˜ 0 = β p ( 1 γ ) ( 1 τ ) ( 1 τ b π ) ( 1 + π b z n ) [ ( 1 τ b π ) ( ( 1 γ ) ( 1 + β p ) + γ ) ( 1 𝜙 σ ) ( 1 τ ) γ ] .
On the other hand, the human capital requirements of the R&D sector can be obtained from Equations (16) and (17):
H A , t = A t 1 η 1 υ A t + 1 A t 1 1 1 υ
Bringing Equation (A6) into Equation (A5) gives the dynamic equation for technological innovation
A t + 1 A t = A t A t 1 η υ 1 υ A t + 1 / A t 1 A t / A t 1 1 υ 1 υ H t + 1 H t
i.e.,
1 + g A , t + 1 = 1 + g A , t η υ 1 υ g A , t + 1 g A , t υ 1 υ ( 1 + g H , t + 1 )
The dynamic evolution of the growth rate of aggregate human capital shows permanent growth rather than convergence to a balanced growth path when σ + ρ > 1 , and a balanced growth path exists when σ + ρ < 1 . Thus, this paper will discuss the balanced growth path under the condition of σ + ρ < 1 . Under the balanced growth path, the growth rates of the total human capital and technological progress are both constants, i.e., g H , t + 1 = g H , t = g H and g A , t + 1 = g A , t = g A . The combination of Equations (A4) and (A7) yields
1 + g A = n ( 1 υ ) ( 1 σ ρ ) ( 1 η ) ( 1 σ ρ ) σ ( 1 α ) ( 1 υ )
1 + g H = n ( 1 η ) ( 1 σ ρ ) ( 1 η ) ( 1 σ ρ ) σ ( 1 α ) ( 1 υ )
It can be shown that the growth rate of aggregate human capital and the growth rate of technological progress under the balanced growth path depend on the equilibrium fertility rate n .
Finally, the growth rate of output per labor under the balanced growth path is examined at g y , t = y t / y t 1 , where y t = Y t / N t . Using Equations (8)–(10) and (13), we can obtain:
α H Y , t 1 α x t α 1 = p t = 1 α w t = 1 α α Y t H Y , t = 1 α α H Y , t 1 α A t x t α H Y , t
This yields the ratio of human capital inputs in the final goods sector and the intermediate goods sector:
H Y , t A t x t = 1 α α 2
Substituting Equation (A10) into Equation (8) yields
Y t = H Y , t 1 α A t x t α = A t 1 α H Y , t A t x t 1 α A t x t = A t 1 α 1 α α 2 1 α A t x t
Substituting Equation (A10) into Equation (21) yields
A t x t = α 2 1 α α 2 ( H t H A , t )
Substituting Equation (A12) into (A11) yields
Y t = ( 1 α ) 1 α α 2 α 1 α + α 2 A t 1 α 1 H A , t H t H t
Under a balanced growth path, the growth rate of technological innovation is constant. Dividing (16) by (A5) yields
H A , t H t = ψ ˜ 0 g A , t + 1 1 + g A , t + 1 = ψ ˜ 0 g A 1 + g A
This shows that the ratio of human capital input to aggregate human capital in the R&D sector under the balanced growth path is constant. Joining (A13) and (A14), yields output per labor as:
y t = ( 1 α ) 1 α α 2 α 1 α + α 2 A t 1 α 1 ψ ˜ 0 g A 1 + g A H t N t
Equation (A15) is used to obtain the growth rate of output per labor under the balanced growth path:
1 + g y , t = y t y t 1 = A t A t 1 1 α H t H t 1 N t N t 1 1
Under the balanced growth path:
1 + g y = n ( 1 υ ) ( 1 ρ ) ( 1 α ) ( 1 η ) ( 1 σ ρ ) σ ( 1 α ) ( 1 υ )

Appendix C

Noting that g h , t = h t h t 1 / h t 1 , taking logarithms on both sides of Equation (29) yields
ln 1 + g H , t + 1 ln 1 + g H , t = σ ( 1 α ) ln ( 1 + g A , t ) + ( σ + ρ 1 ) ln ( 1 + g H , t ) ln n = σ ( 1 α ) ln ( 1 + g A , t ) + ( σ + ρ 1 ) ln 1 + g h , t
Noting that g w ˜ , t = w ˜ t w ˜ t 1 / w ˜ t 1 , according to Equation (A1), we have
ln ( 1 + g h , t + 1 ) = σ ln ( 1 + g w ˜ , t ) + ( ρ + σ ) ln ( 1 + g h , t )
According to Equation (A3), we have
ln ( 1 + g w ˜ , t ) = ( 1 α ) ln ( 1 + g A , t )
According to Equations (16) and (17), g A , t is positive and thus g w ˜ , t is positive. According to the dynamic process of individual human capital g h , t in Equation (A19), it can be seen that the sign of the human capital per capita growth rate depends on the initial state g h , 0 . According to Galor [1], the individual human capital shows an increasing tendency in the process of human social development; this paper assumes that the per capita human capital formation function is an increasing function, so the growth rate of individual human capital g h , t is positive. Therefore, according to (A18), when σ + ρ > 1 , the right-hand side of the equation is always greater than zero, and the dynamic evolution of the aggregate human capital supply shows permanent growth rather than convergence to a balanced growth path.

References

  1. Galor, O. Chapter 4 From Stagnation to Growth: Unified Growth Theory. Handb. Econ. Growth 2005, 1 Pt A, 171–293. [Google Scholar]
  2. Hashimoto, K.; Tabata, K. Demographic Change, Human Capital Accumulation and R&D-Based Growth. Can. J. Econ. 2016, 49, 707–737. [Google Scholar]
  3. Bucci, A.; Prettner, K. Endogenous education and the reversal in the relationship between fertility and economic growth. J. Popul. Econ. 2020, 33, 1025–1068. [Google Scholar] [CrossRef]
  4. Aghion, P.; Howitt, P. Model of Growth Through Creative Destruction. Econometrica 1992, 60, 323–351. [Google Scholar] [CrossRef]
  5. Grossman, G.M.; Helpman, E. Quality Ladders in the Theory of Economic Growth. Rev. Econ. Stud. 1991, 58, 43–61. [Google Scholar] [CrossRef]
  6. Romer, P.M. Endogenous Technological Change. J. Political Econ. 1990, 98, 1002–1037. [Google Scholar] [CrossRef]
  7. Jones, C.I. R & D-Based Models of Economic Growth. J. Political Econ. 1995, 103, 759–783. [Google Scholar]
  8. Kortum, S. Research, Patenting and Technological Change. Econometrica 1997, 65, 1389–1419. [Google Scholar] [CrossRef]
  9. Segerstrom, P.S. Endogenous Growth Without Scale Effects. Am. Econ. Rev. 1998, 88, 1290–1310. [Google Scholar]
  10. Howitt, P. Steady Endogenous Growth with Population and R&D Inputs Growth. J. Political Econ. 1999, 715–730. [Google Scholar]
  11. Peretto, P.F. Technological Change and Population Growth. J. Econ. Growth 1998, 3, 283–311. [Google Scholar] [CrossRef]
  12. Becker, G.S.; Murphy, K.M.; Tamura, R.F. Human Capital, Fertility, and Economic Growth. J. Political Econ. 1990, 98, 12–37. [Google Scholar] [CrossRef]
  13. Strulik, H. The Role of Human Capital and Population Growth in R&D-Based Models of Economic Growth. Rev. Int. Econ. 2005, 13, 129–145. [Google Scholar]
  14. Bucci, A. Returns to Specialization, Competition, Population, and Growth. J. Econ. Dyn. Control 2013, 37, 2023–2040. [Google Scholar] [CrossRef]
  15. Strulik, H.; Prettner, K.; Prskawetz, A. The Past and Future of Knowledge-Based Growth. J. Econ. Growth 2013, 18, 411–437. [Google Scholar] [CrossRef]
  16. Baldanzi, A.; Bucci, A.; Prettner, K. Children’s health, human capital accumulation, and R&D-based economic growth. Macroecon. Dyn. 2021, 25, 651–668. [Google Scholar]
  17. Azarnert, L.V. Free Education, Fertility and Human Capital Accumulation. J. Popul. Econ. 2010, 23, 449–468. [Google Scholar] [CrossRef]
  18. Murata, K. Education Policies, Human Capital Accumulation, and Economic Growth. Int. J. Econ. Policy Stud. 2017, 12, 96–106. [Google Scholar] [CrossRef]
  19. Gao, A.; Gong, L. State capital receipts allocated to pension insurance, human capital accumulation and economic growth. Financ. Res. 2015, 16–31. [Google Scholar]
  20. Zhang, X.; Han, J. Empirical Analysis of Positive Externalities of Local Fiscal Investment in Education-Based on the Comparison of East, Middle and Wes. J. Jiangxi Univ. Financ. Econ. 2010, 27–31. [Google Scholar]
  21. Fang, F.; Liu, Z. The impact of funding input on the scale of regional higher education. Res. High. Educ. 2019, 40, 43–50. [Google Scholar]
  22. Jing, P.; Zheng, W. State capital transfer to pension fund and long-term labor supply. Econ. Res. 2019, 54, 55–71. [Google Scholar]
  23. Zhang, J.; Zhang, J. The Effect of Life Expectancy on Fertility, Saving, Schooling and Economic Growth: Theory and Evidence. Scand. J. Econ. 2005, 107, 45–66. [Google Scholar] [CrossRef]
Figure 1. The effect of the actual contribution rate of maternity insurance on the fertility rate.
Figure 1. The effect of the actual contribution rate of maternity insurance on the fertility rate.
Mathematics 12 03184 g001
Figure 2. The effect of the actual contribution rate of maternity insurance on the growth in aggregate human capital.
Figure 2. The effect of the actual contribution rate of maternity insurance on the growth in aggregate human capital.
Mathematics 12 03184 g002
Figure 3. The effect of the actual contribution rate of maternity insurance on economic growth.
Figure 3. The effect of the actual contribution rate of maternity insurance on economic growth.
Mathematics 12 03184 g003
Figure 4. The effect of the maternity allowance on the fertility rate.
Figure 4. The effect of the maternity allowance on the fertility rate.
Mathematics 12 03184 g004
Figure 5. The effect of the maternity allowance on the growth in aggregate human capital.
Figure 5. The effect of the maternity allowance on the growth in aggregate human capital.
Mathematics 12 03184 g005
Figure 6. The effect of the maternity allowance on economic growth.
Figure 6. The effect of the maternity allowance on economic growth.
Mathematics 12 03184 g006
Figure 7. The effect of public education expenditure on the fertility rate.
Figure 7. The effect of public education expenditure on the fertility rate.
Mathematics 12 03184 g007
Figure 8. The effect of public education expenditure on the growth in aggregate human capital.
Figure 8. The effect of public education expenditure on the growth in aggregate human capital.
Mathematics 12 03184 g008
Figure 9. The effect of public education expenditure on economic growth.
Figure 9. The effect of public education expenditure on economic growth.
Mathematics 12 03184 g009
Table 1. Parameter values of baseline model.
Table 1. Parameter values of baseline model.
Parameter z π b τ λ ρ σ μ
Value0.0140.6501.0000.0670.1480.4240.2000.500
Parameter E η p β γ 𝜙 υ α
Value1.0000.5000.6520.7420.3004.9630.9320.525
Table 2. Sensitivity analysis of parameter γ .
Table 2. Sensitivity analysis of parameter γ .
π 0.70000.75000.8000 0.70000.75000.8000
γ = 0.25 n 1.8684 2.3655 3.2228 γ = 0.352.04012.58283.5189
g H 0.91701.45052.38131.10071.68532.7053
g y 0.0767 0.1071 0.14830.0879 0.1187 0.1603
b 1.05001.10001.1500 1.05001.10001.1500
γ = 0.25 n 1.74041.99412.3344 γ = 0.351.90032.17732.5489
g H 0.78051.05141.41700.95111.24801.6486
g y 0.06770.08500.10540.07880.09630.1169
λ 0.15000.15500.1600 0.15000.15500.1600
γ = 0.25 n 1.5603 1.6009 1.6414 γ = 0.351.70211.74261.7831
g H 0.5890 0.6321 0.67510.73960.78280.8259
g y 0.05400.05720.06030.06490.06780.0707
Table 3. Sensitivity analysis for the parameter p .
Table 3. Sensitivity analysis for the parameter p .
π 0.70000.75000.8000 0.70000.75000.8000
p = 0.60 n 1.96232.4843 3.3846 p = 0.701.9442 2.46143.3535
g H 1.01731.57882.55830.99801.55412.5242
g y 0.08290.1135 0.15500.08170.11230.1537
b 1.05001.10001.1500 1.05001.10001.1500
p = 0.60 n 1.82782.09432.4517 p = 0.701.8110 2.07502.4291
g H 0.87361.15881.5436 0.8557 1.13811.5192
g y 0.0739 0.09130.11180.0727 0.09010.1106
λ 0.15000.15500.1600 0.15000.15500.1600
p = 0.60 n 1.63781.6784 1.7189 p = 0.701.62291.66341.7040
g H 0.67130.7144 0.75750.6554 0.69850.7416
g y 0.0600 0.06310.06610.0589 0.06200.0650
Disclaimer/Publisher’s Note: The statements, opinions and data contained in all publications are solely those of the individual author(s) and contributor(s) and not of MDPI and/or the editor(s). MDPI and/or the editor(s) disclaim responsibility for any injury to people or property resulting from any ideas, methods, instructions or products referred to in the content.

Share and Cite

MDPI and ACS Style

He, L.; Wang, Q. Economic Growth Model with Fertility Incentives: A Theoretical Analysis Framework and Policy Simulation for China. Mathematics 2024, 12, 3184. https://doi.org/10.3390/math12203184

AMA Style

He L, Wang Q. Economic Growth Model with Fertility Incentives: A Theoretical Analysis Framework and Policy Simulation for China. Mathematics. 2024; 12(20):3184. https://doi.org/10.3390/math12203184

Chicago/Turabian Style

He, Lei, and Qin Wang. 2024. "Economic Growth Model with Fertility Incentives: A Theoretical Analysis Framework and Policy Simulation for China" Mathematics 12, no. 20: 3184. https://doi.org/10.3390/math12203184

APA Style

He, L., & Wang, Q. (2024). Economic Growth Model with Fertility Incentives: A Theoretical Analysis Framework and Policy Simulation for China. Mathematics, 12(20), 3184. https://doi.org/10.3390/math12203184

Note that from the first issue of 2016, this journal uses article numbers instead of page numbers. See further details here.

Article Metrics

Back to TopTop