Next Article in Journal
A Second-Order Accurate Numerical Approximation for a Two-Sided Space-Fractional Diffusion Equation
Next Article in Special Issue
Carbon Trading Price Prediction of Three Carbon Trading Markets in China Based on a Hybrid Model Combining CEEMDAN, SE, ISSA, and MKELM
Previous Article in Journal
On the Construction of Exact Numerical Schemes for Linear Delay Models
 
 
Font Type:
Arial Georgia Verdana
Font Size:
Aa Aa Aa
Line Spacing:
Column Width:
Background:
Article

Prediction of Tool Remaining Useful Life Based on NHPP-WPHM

1
Key Laboratory of Reliability of CNC Equipment, Ministry of Education, No. 5988 Renmin Street, Nanguan, Changchun 130022, China
2
School of Mechanical and Aerospace Engineering, Jilin University, No. 5988 Renmin Street, Nanguan, Changchun 130022, China
3
China FAW Group Co., Ltd., Changchun 130011, China
4
Huawei Technologies Co., Ltd., Changchun 130012, China
*
Author to whom correspondence should be addressed.
Mathematics 2023, 11(8), 1837; https://doi.org/10.3390/math11081837
Submission received: 12 March 2023 / Revised: 10 April 2023 / Accepted: 11 April 2023 / Published: 12 April 2023

Abstract

A tool remaining useful life prediction method based on a non-homogeneous Poisson process and Weibull proportional hazard model (WPHM) is proposed, taking into account the grinding repair of machine tools during operation. The intrinsic failure rate model is built according to the tool failure data. The WPHM is established by collecting vibration information during operation and introducing covariates to describe the failure rate of the tool operation. In combination with the tool grinding repair, the NHPP-WPHM under different repair times is established to describe the tool comprehensive failure rate. The failure threshold of the tool life is determined by the maximum availability, and the remaining tool life is predicted. Take the cylindrical turning tool of the CNC lathe as an example, the root mean square error, mean absolute error, mean absolute percentage error, and determination coefficient (R2) are used as indicators. The proposed method is compared with the actual remaining useful life and the remaining useful life prediction model based on the WPHM to verify the effectiveness of the model.

1. Introduction

The CNC machine tool is a complex system that integrates machine, electricity, and fluid. The system’s operating reliability is not only related to the reliability of components themselves but is also affected and restricted by several factors, such as working environment, working load, and maintenance [1]. In actual production, the health level of the machine tool in direct contact with the workpiece affects not only the quality of the workpiece but also its performance and efficiency. The operating state of the tool must be monitored, and its remaining useful life must be predicted to ensure safe and orderly production and process.
At present, the tool remaining useful life prediction is mainly based on failure information, performance degradation information, or wear amount. Wiener process, Gamma process, or competitive failure model are applied and combined with the failure threshold [2,3,4,5,6,7,8,9,10]. However, collecting a large amount of life data for mechanical products, such as machine tools, in a short period of time is difficult compared with electronic products. Accordingly, tool reliability research under small sample conditions has gradually become a popular research topic. Yuan et al. [11] combined historical degradation data with empirical information and proposed a Bayesian-based reliability analysis method for accelerated performance degradation to realize tool life prediction without or with less failure data. Duan et al. [12] combined the irrelevant and related degradation data and proposed a reliability evaluation method based on several irrelevant and related degradation data to realize the joint reliability modeling of the equipment. Guan [13] established the autoregressive model of the intrinsic mode function based on the stabilized acoustic emission signal, extracted the model coefficients, constructed the characteristic vector, and used the least squares support vector machine regression algorithm to forecast the tool wear, which can effectively predict the tool wear after 10 s under the current cutting state. This mechanism has a higher forecasting accuracy compared with the neural network forecasting algorithm.
Jamie [14] established the remaining useful life prediction model of the tool based on the linear regression model, estimated the parameters using the classical least square method, and updated the unknown parameters with prior information, thereby improving the precision of the remaining useful life prediction model of the tool. The other mechanism is based on a similar model. The model can obtain the remaining useful life of the tool by the weighted average of the data by calculating the health factors of the current tool and comparing the similarity with the historical health factor data. Serin et al. [15] collected a large amount of information about the vibration, power, and stability of the machine tool by sensors, extracted the signal characteristics from the original data, established the SVR model considering different signal lengths to reflect the relationship between monitoring signal and tool life, obtained the best signal length of the accurate prediction result, and realized the prediction of the tool remaining useful life, with a prediction accuracy of 94.35%. Liu [16] extracted 14 characteristic values from the signals in the cutting process of the tool, obtained six characteristic quantities with the highest correlation using the Pearson correlation algorithm, and predicted the remaining useful life of the tool by using the support vector regression algorithm. Zhang [17] used a variety of machine learning mechanisms to evaluate the remaining life of the tool. Nicolas et al. [18] developed a data processing system that uses data collected from the processing lines of the common data sets. Tool wear prediction will enable the system to infer the type of problem causing this wear, the possible root cause, and the maintenance required based on an ontological reasoning tool. Wang [19] proposed that the prediction of the tool remaining useful life is based on time series prediction and is related to the current state of the tool, the predicted time point, and the current time point. Liao et al. [20] developed a tool wear monitoring system that uses an indirect measurement method that selects signal characteristics that are strongly correlated with tool wear to determine the tool wear status.
The reliability model and life prediction of the traditional cutting tools only consider the reliability level of the cutting tools themselves, but ignore the influence of cutting tools on the process of machining environment load and grinding repair. Accordingly, a reliability model, which integrates the overall and individual differences of the tool, is established. Based on the reliability level of the tool after different times of tool replacement, the real-time state monitoring of the tool is realized by means of sensor acquisition signal, and the remaining useful life of the tool is further predicted.
The main contributions of this work are as follows:
(1)
A parameter estimation method suitable for different sample types is proposed. The overall reliability model of the tool is established according to the test data.
(2)
The grey prediction model is improved using the artificial fish swarm algorithm, and the covariate prediction value is obtained. The Weibull proportional hazard model (WPHM) is constructed to describe the change rule of the tool failure rate.
(3)
Covariate parameters are added to the reliability model, and the non-homogeneous Poisson process (NHPP)-WPHM is established under different repair times. The remaining useful life prediction of the tool is realized, with the maximum availability as the goal.
The rest of this paper is organized as follows: Section 2 extensively elaborates on the prediction method of the tool remaining useful life based on NHPP-WPHM; Section 3 demonstrates an application example; Section 4 verifies the effectiveness and superiority of the method by comparing the results with those of existing forecasting models; Section 5 presents conclusions.

2. Prediction of the Tool Remaining Useful Life Based on NHPP-WPHM

The tool degradation and vibration data during machining are collected on the basis of the inherent failure rate model of the cutting tool. A sequence of predictive characteristic values is established through noise reduction and feature extraction of the vibration information, and a WPHM is introduced to model the tool operation failure rate. On this basis, the NHPP-WPHM is obtained by non-homogeneous Poisson process with different numbers of grinding repairs. Taking the maximum availability as a monitoring target, the monitoring threshold is analyzed, with the vibration signal collected as the input variable. The real-time state of the tool is monitored, and the remaining useful life of the tool is predicted after different repair times. Taking the NC lathe cylindrical turning tool as an example, the validity of the model based on NHPP-WPHM is validated by comparing it with existing models. The results show that the NHPP-WPHM improves 40% over the mean square root index of the WPHM, 13% of the precision of the determination coefficient index, and reduces average absolute error by 51%. The research results of this work are of great significance to the improvement of product quality and processing efficiency in production and processing.
The process of the tool remaining useful life prediction based on the NHPP-WPHM model is shown in Figure 1.

2.1. Tool Inherent Failure Rate Modeling Based on Degraded Failure Information

The key to modeling the tool inherent failure rate is the selection of a distribution model. The commonly used reliability models include exponential distribution, normal distribution, logarithmic normal distribution, and Weibull distribution. Given that the Weibull distribution is compatible with other distribution forms, it can be converted to other distributions by changing its distribution parameter size. Accordingly, this work chooses a two-parameter Weibull distribution as an intrinsic failure rate model of the tool [21]. The parameters of the two-parameter Weibull distribution are estimated based on the sum of squares of the accumulated errors, and K–S is selected to test the validity of the model.

2.1.1. Estimation of the Tool Reliability Model Parameters

We assume that N test samples and n samples fail at time t i . The reliability of the product at time t i can be expressed as follows:
R t i = R t i 1 S t i .
The initial reliability of the product is 1. At this time, R t 0 = 1 , which means that the performance is perfect; S t i is the residual probability of the product in the t i 1 , t i period, and its calculation formula is as follows:
S t i = n s t i 1 n t i n s t i 1 ,
where n t i is the number of failed products within the time period t i 1 , t i , n s t i 1 is the number of products that still participate in the test at time t i 1 ; the calculation formula is as follows:
n s t i = N j = 1 i n ( t j ) + k ( t j ) ,  
where Δ k t j is the number of products that lost information within the time interval t j 1 , t j .
The empirical distribution function of t i time is obtained using the residual ratio method as follows:
F n t i = 1 R t i = 1 j = 1 i S t j .  

2.1.2. Fitting Test of the Tool Reliability Model

The χ 2 and K–S tests are the two test methods that are frequently used to analyze the fitting degree of the observed value distribution and the theoretical value. Considering the differences of the samples, this work selects the K–S test to evaluate the fitting effect of the parameter estimation.
The specific steps of the K–S inspection are as follows:
(1)
According to the order i of collected life data from small to large, calculate the empirical distribution function F n t i of life data t i .
(2)
Calculate the value of the cumulative distribution function F t , α , β under each life data under the two-parameter Weibull distribution model.
(3)
Calculate the absolute value of the difference between the cumulative distribution function and the empirical distribution function corresponding to each i , and take the maximum absolute value as D n , D n = s u p < t < F t , α , β F n t .
(4)
Determine the corresponding critical value D n , a according to sample size n and confidence level α .
(5)
Compare D n with the critical value D n , a . If D n < D n , a , then the sample failure data are considered to meet the Weibull distribution. Otherwise, the sample data do not meet the Weibull distribution characteristics.
In this work, the root mean square error (RMSE) is used to determine the accuracy of the different estimation methods. The calculation formula of the root mean square error is as follows:
R M S E = 1 n i = 1 n F n t i F t i 2 ,  
where n is the amount of invalid sample data, F n t i is the empirical distribution value of the cumulative distribution function of each group of data, and F t i is the estimated value of the cumulative distribution function of each group of life data t i .

2.2. Construction of NHPP-WPHM Considering Covariate

The reliability of cutting tools is not only related to the material quality of the tool itself but also affected by certain factors, such as the material to be processed, the cutting parameters, and the number of parts to be processed (processing time). NHPP-WPHM can link inherent reliability with operational load information to create a more accurate reflection of the equipment operational reliability level.
The state signals during tool machining can reflect the health of the tool and provide important information for evaluating its reliability. According to the field operating conditions and relevant literature, tool vibration is the main form of tool degradation during machining. Therefore, tool vibration signal is taken as the monitoring object in this work, and its running state is reflected by signal noise reduction and feature extraction.

2.2.1. Vibration Signal Acquisition and Covariate Parameter Extraction

(1)
Signal acquisition and signal noise reduction
An acceleration sensor is used to collect the vibration information of the cutting tool in machining, and the measuring point of the cutting tool is determined by comparing the vibration amplitude of the vibration signal of the cutting tool collected by sensors at different positions.
The original signal is doped with the influence of external noise, so the noise to must be cleaned and reduced when analyzing the tool wear with the signal. Wavelet analysis can only decompose signals in the low frequency band from signals, but it is insufficient for signal processing in the high frequency band. Wavelet packet decomposition makes up for the shortcomings of the wavelet analysis and makes the signal processing result highly accurate [22,23]. Therefore, this work uses the wavelet packet analysis method to analyze and process the test acquisition signal (Figure 2).
(2)
Covariate parameter extraction
The time variable depicts the trend of the signal, and the information obtained by this signal processing method is called time domain information. The time-domain characteristic parameters extracted from the time-domain signals can clearly reflect the real-time changes of the signals. When the equipment performance gradually deteriorates, its time-domain characteristic parameters typically change with the degradation of equipment performance. Therefore, researchers select the time-domain characteristic parameters of signals to evaluate the performance and life of equipment.
RMS can be selected as the covariant factor because it can effectively reflect the intensity of the vibration signal.

2.2.2. Improved Grey Model Based on the Artificial Fish School Algorithm

The forecast accuracy of the classical grey forecasting model depends on the selection of initial value and the construction of background value [24]. The background value of 0.5 is set in the traditional grey forecasting model, which is suitable when the time interval is small, but it is no longer applicable when the first-order cumulative sequence greatly fluctuates. In this work, the minimum relative error of the predicted and original series is taken as the optimization objective, and the artificial fish school algorithm is used to analyze the optimal background value.
The nearest mean of the x 1 k sequence considering the dynamic background value is expressed as follows:
z 1 k = P x 1 k + 1 P x 1 k 1 , k = 2 , 3 , , n .  
Given that the original and the prediction series are arrays, rather than a single number, the maximum value Y of the relative error array is used as the comparison object to find the minimum relative error value.
Y = min max x 0 x 0 x 0 ,  
where x 0 and x 0 are the original and prediction sequences, respectively.
The artificial fish school algorithm is a population intelligent optimization algorithm. In the water area, most fish are concentrated in the area with the richest food. The aforementioned algorithm uses this feature to explore the optimal solution of the problem by simulating the process of a fish school searching for food. The algorithm simulates four basic behaviors of a fish school in searching for food and has the advantages of parallelism, simplicity, and fast optimization speed. The steps of the artificial fish school algorithm to solve the optimal background value are as follows [25]:
(1)
Setting of the relevant parameters of the artificial fish school algorithm (Table 1).
(2)
Initialize fish shoal.
The background value range of the optimized grey prediction model is [0, 1]. Accordingly, the initial value of each fish in the fish school should randomly generate a value within [0, 1], thus obtaining a 1D random array.
(3)
Clustering behavior (Figure 3).
(4)
AF-Follow (Figure 4).
(5)
The specific process of fish feeding behavior is shown in Figure 5.
(6)
AF-Follow.
Random behavior: under the random behavior, the next position X i n e x t of the individual fish X i in the school can be expressed as follows:
X i n e x t = X i + c V i s u a l ,  
where c is a random number within the range of 0 ,   1 .
(7)
Let Y best = min Y i . At this time, the optimization process of fish schools has been completed, and the current iteration number is g e n = g e n + 1 .
(8)
If g e n < M A X G E N , then return to step 3; otherwise, the algorithm ends, and the best background value is outputted.

2.2.3. Establish the WPHM

The WPHM can combine the operation status information of the tool with the inherent failure rate, comprehensively consider the operating time of the tool and the status information at the current time, and establish a remaining useful life prediction model by combining the historical data and degradation information of the tool to guide the maintenance and avoid the occurrence of failures.
The WPHM is as follows.
h t , Z = h 0 t exp γ Z t ,  
where t is the tool working time, h 0 t is the tool inherent failure rate, h t , Z is the tool operation failure rate, Z t = Z 1 , Z 2 , , Z n T is the column vector formed by the covariate of the tool at time t , and r = r 1 , r 2 , , r n is the row vector formed by the regression coefficient corresponding to the covariate.
This value reflects the degree of influence of each covariate factor on the tool reserve efficiency. When the regression coefficient of the covariate is greater than zero, the covariate is a risk factor and has a negative influence on the reliability of the equipment. If the covariate is less than zero, then the covariate is a protective factor and has a positive influence on the reliability of the equipment.
In this work, the inherent failure rate h 0 t is taken as the Weibull distribution, h 0 t = β α t α β 1 , and the WPHM is as follows:
h t , Z = β α t α β 1 exp γ Z t .  
According to the reliability function relationship, the reliability function and cumulative fault distribution can be obtained as follows:
R t , Z = exp t α β exp γ Z t ,
F t , Z = 1 exp t α β exp γ Z t .  

2.3. Prediction of the Tool Remaining Useful Life Considering Covariates and Repair

In certain cases, the tool performance cannot be restored after repair based on the tool WPHM considering covariates and the characteristics of tool repair. The tool NHPP-WPHM considering covariates under different repair times is established in accordance with the non-homogeneous Poisson process [26,27].
Under the non-homogeneous Poisson process, the probability of n failures within the time interval t can be expressed as follows:
P N t + m N m = n = λ t t n ! e λ t t   n = 0 , 1 , 2 , .  
The cumulative failure intensity function Λ t = 0 t λ u d u represents the average number of failures in time 0 , t ; N t represents the total number of failures during the period from the beginning of the monitoring time to the operating time t .
The non-homogeneous Poisson process is a generalized updating process. The cumulative fault distribution function and reliability function of the tools with covariates are as follows:
F t i , Z = 1 exp t j α β exp γ Z t j   , i = 1 1 exp 1 α j = 1 i 1 t j β t j + j = 1 i 1 t j α β exp γ Z t j   , i = 2 , 3 , ,
where i represents the i th fault, j represents the j th moment, and Z t j represents the covariate.
The remaining useful life R U L t of the tool indicates the time difference between the time when the tool has not failed at the current running time t and the time when the tool has failed. The geometric meaning of the remaining useful life of the tool at time t is the area of the reliability curve within the operating range t , T .
According to the geometric meaning of the remaining useful life, the function expression of the tool comprehensive remaining useful life considering covariates can be deduced as follows:
R U L t = t T R τ d τ = 0 T exp 0 x h u , Z d u d x = 0 T exp t t + x β α u α β 1 exp γ Z t d u d x

3. Application Examples

Taking a CNC lathe in excellent condition as the research object, the cutting parameters are determined by the surface quality of the workpiece, the chip shape, and the specified cutting speed range of the tool to make the model more consistent with the actual machining conditions of the tool.
According to reference [28], the tool failure threshold is when the wear amount (VB) of the back face of the test tool reaches 0.3 mm. The same type of workpiece must be continuously processed under the same processing conditions. The processing parameters are shown in Table 2. Under this processing parameter, the surface quality of the workpiece is good, and the chip is C-shaped, indicating that the processing parameter is appropriate.

3.1. Modeling of the Inherent Failure Rate of the NC Lathe Tools

The wear of the flank of the 10 NC lathe tools is measured during the continuous processing to determine whether they are invalid. The wear degradation of the flank of the tool is shown in Figure 6. The continuous machining test is carried out, and the first failure times of the 10 tools are obtained according to the tool failure criteria, as shown in Table 3. In this work, we used 70% of the data for training the model and the remaining 30% for verification purposes.
The first failure time of the 10 sample tools is sorted, and their empirical distribution values are calculated. Table 4 illustrates the first failure time and its empirical distribution value of the test tool.
Three different parameter estimation methods are used to calculate the model parameters, and the estimated values of the parameters of the aforementioned three parameter estimation methods are shown in Table 5 [29].
The curve fitting tool box of MATLAB software is used for the parameter fitting and fitting test. The models obtained using the three parameter estimation methods are tested. The root mean square error and D n are shown in Table 6.
Table 6 illustrates how the critical value D n = 0.46799 is obtained when the significance level α = 10 % . The experimental data are consistent with the Weibull distribution, and the parameter estimation accuracy based on the least square sum of cumulative error is the highest.
Accordingly, the cumulative distribution function, reliability function, and failure efficiency function are as follows:
F t = 1 e t 6977.9 2.3766 ,  
R t = e t 6977.9 2.3766 ,  
λ t = 2.3766 6977.9 t 6977.9 1.3766 .  

3.2. Modeling of the NC Lathe Tool Comprehensive Failure Rate

According to the parameter settings in Table 3, the iterative process of the artificial fish school algorithm is as follows.
The graph is dynamic in the process of program operation. With the increase in the number of iterations, artificial fish constantly move to the optimal value and local extreme value. In the late algorithm, most artificial fish gather near the optimal value, and a few artificial fish gather near the individual extreme value. With the increase in the number of iterations, the optimization result can be approximated to the optimal extreme point (Figure 7).
The root mean square value of the vibration signal can be utilized as a characteristic quantity to reduce the amount of noise in the collected vibration signal. Meanwhile, the traditional grey prediction model and the improved grey prediction model of the artificial fish school algorithm are utilized to make predictions. The optimized array is shown in Table 7.
To make the grey prediction model optimized by the artificial fish school algorithm available for practical analysis, the robustness and accuracy of the algorithm must be evaluated to determine whether the optimization algorithm is appropriate. Q-test, C-test, and P-test are used to test the accuracy of the model. If the model passes the test, then the model can be further used for prediction.
The robustness and accuracy of the algorithm must be analyzed to determine whether the optimization algorithm is reasonable. Q-test, C-test, and P-test are used to test the accuracy of the model. If the model passes the test, then the model can be further used for prediction.
The test values of the traditional grey prediction model and the improved grey prediction model based on fish school are shown in Table 8.
The smaller the relative error value Q is, the higher the precision of the model will be. Table 8 illustrates how the prediction effect of the improved grey prediction model based on the artificial fish school algorithm is better. Accordingly, the covariate data obtained from the improved grey prediction of the artificial fish school algorithm in Table 8 is taken as the covariate value of the first tool failure time. The NHPP-WPHM parameters to be estimated are obtained by combining Formula (10) with the predicted covariate data and the corresponding failure time, and the NHPP-WPHM considering covariates is established as follows:
h t , Z = 3 6977.9 t 6977.9 2 exp 0.9992 Z t .

3.3. NC Lathe Tool Remaining Useful Life Prediction

According to Formula (14), the NHPP-WPHM after different repair times is as follows.
F t i , Z = 1 exp t i 6977.9 3 exp j = 1 N 0.9992 Z t j , i = 1 1 exp 1 6977.9 j = 1 i 1 t j 3 t i + j = 1 i 1 t j 6977.9 3 exp j = 1 N 0.9992 Z t j , i = 2 , 3 ,
Availability A t is defined as the ratio of available time to available time plus unavailable time. The availability of the NC lathe tools is an important parameter to measure their function during their operation. In this work, availability is used to measure the status of the NC lathe tools.
A t = 0 t R i t , Z d t 0 t R i t , Z d t + R i t , Z T p + 1 R i t , Z T c ,
where T p and T c represent the time required for the average preventive and corrective maintenance of the tool, respectively.
A t = 1 + T a T d = 1 + 1 ψ
According to the processing conditions, the average tool change time T p of the CNC lathe tools is 5 min, and the tool grinding time T c is 30 min. The variation relationship between variable ψ and time is shown in Figure 8.
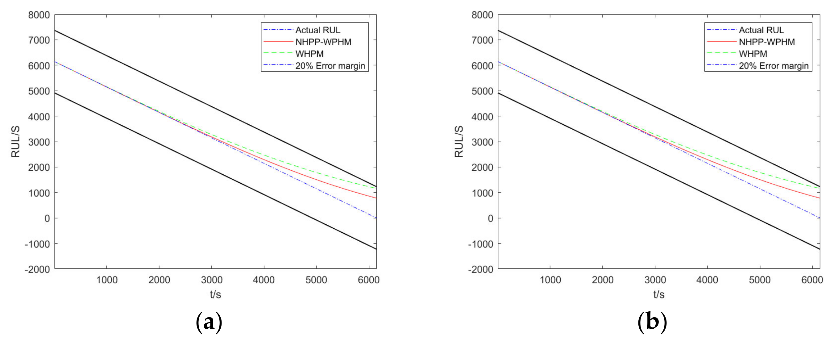
When the time variable t = 6145 s, the tool availability of the CNC lathe is the highest. Considering the actual processing requirements, the time cut-off point is t = 6145 s when the availability is highest. The RUL of the tool is predicted before the first repair shown in Figure 9a.
Figure 9 demonstrates that the error between the remaining useful life predicted by the NHPP-WPHM and the actual remaining useful life is relatively small.
The remaining useful life of the tool before the second repair is analyzed and predicted. The results are shown in Figure 9b.
According to the test results, WPHM can better predict its RUL in the initial stage of tool operation. When a tool is used for a period of time, its performance degradation will exacerbate its vibration during the cutting process. Vibration can accelerate tool failure, but this factor is not considered in WPHM. Accordingly, a certain deviation can be observed between the life prediction based on WPHM and the actual RUL. Therefore, the changes in the vibration signals and performance during the cutting process in the prediction model must be considered to attain a more realistic prediction.

4. Model Validation

The following four indicators are used in this work to assess the accuracy of the remaining useful life prediction model: RMSE, mean absolute percentage error (MAP), determination coefficient (R2), mean absolute error (MAE) [30].
M A P E = 1 n y i y i y i 100 % ,  
R 2 = i = 1 n y i y ¯ i 2 i = 1 n y i y ¯ i 2 ,  
M A E = 1 n i = 1 n y ^ i y i ,  
where y i is the predicted remaining useful life, y i is the actual remaining useful life, y i ¯ is the average of the actual remaining useful life, and n is the total sample of the remaining useful life.
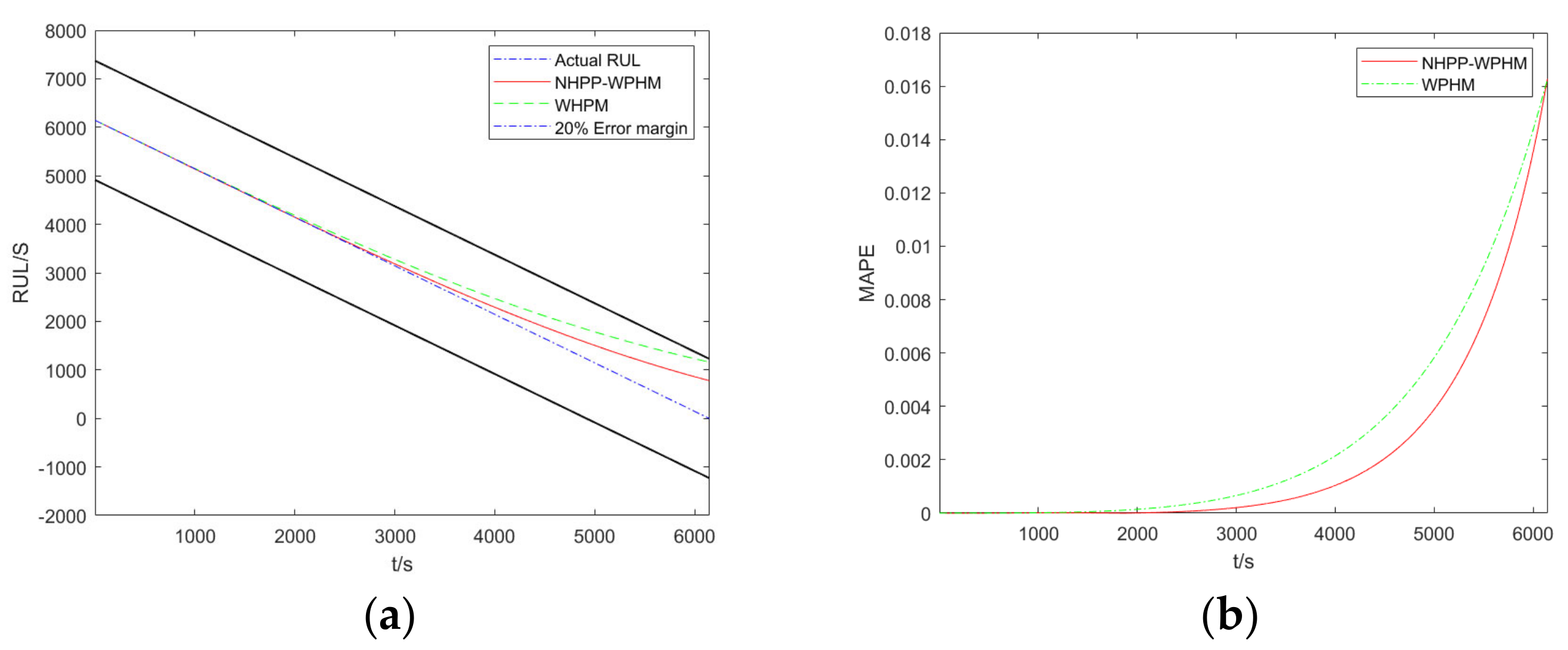
The WPHM of tool reliability without covariate is compared with the RUL prediction based on the NHPP-WPHM, as shown in Figure 10.
Figure 10a demonstrates that when the forecast accuracy of the two models is less than 3000 s, the forecast accuracy of the WPHM significantly decreases from more than 3000 s. By comparison, the predicted results of NHPP-WPHM are closer to the actual remaining useful life.
Figure 10b depicts the average absolute percentage error of the remaining useful life prediction model based on the WPHM and the NHPP-WPHM. The MAPE value of the RUL prediction model based on the NHPP-WPHM is less than and equal to that of the WPHM, indicating that the remaining useful life prediction results based on the NHPP-WPHM are more accurate.
The root mean square error and determination coefficient of the RUL prediction model based on the WPHM and the NHPP-WPHM are shown in Table 9.
The RMSE index and the determinant coefficient index of the RUL prediction model based on the NHPP-WPHM are better than those based on the WPHM. All three indicators indicate that the accuracy of the RUL prediction model based on the NHPP-WPHM is better.
In this work, the WPHM does not consider the covariate. When a tool undergoes severe wear, NHPP-WPHM can combine the monitored vibration signals to make a more accurate prediction of its remaining useful life. Figure 11 shows the predicted results of tool remaining useful life before the second repair based on the NHPP-WPHM. The RUL prediction results based on the NHPP-WPHM are more accurate than those based on the WPHM.
When the tool operates for about 4000 s, severe vibration exacerbates its degradation and failure. However, WPHM did not consider this situation, so its prediction results have a significant deviation.
The root mean square error and determination coefficient of the remaining useful life prediction model based on the WPHM and the NHPP-WPHM before the second tool repair are shown in Table 10.
The root mean square error index and the determinant coefficient index of the NHPP-WPHM are better than those of the RUL prediction model based on the WPHM. In combination with the average absolute percentage error index of Figure 10b, all three indicators demonstrate that the RUL prediction model based on the NHPP-WPHM taking covariate into account has a better accuracy.
We know that vibration signals can reflect the working state of the tool. The model can continuously update its parameters while using the tool by adding vibration signals as covariates to the prediction model, which will make the prediction results more realistic.

5. Conclusions

The main contents and conclusions of this work are as follows:
(1)
Research on the basic failure law of the cutting tool. The least square method, weighted least square method, and cumulative error smoothing square method are introduced based on the results of the cutter constant truncation test to estimate the model parameters and optimize the model. The research shows that the basic failure rate of the cutter follows the two-parameter Weibull distribution with a shape parameter of 2.3766 and scale parameter of 6977.9.
(2)
Research on the comprehensive failure law of the cutting tool. The grey prediction model is improved using the artificial fish swarm algorithm, and the covariate prediction value is obtained. The updated Weibull model is constructed to describe the change rule of the tool failure rate. The research shows that the comprehensive reliability function of the cutting tool follows the NHPP-WPHM with a shape parameter of 3, scale parameter of 6977.9, and covariant regression coefficient of 0.9992.
(3)
The prediction model of the tool remaining life is established. The number of tool failures conforms to the non-homogeneous Poisson process. On this basis, the NHPP-WPHM model with covariates considered under different repair times is established. The collected covariate information is used to predict the remaining useful life of the tool.
The precision of the root mean square index of the NHPP-WPHM model is 40% higher than that of the WPHM, the precision of the determination coefficient index is 13% higher, the precision of the mean absolute error index is 51% lower, and the average absolute percentage error is lower than that of the prediction method based on the WPHM, verifying the validity of the model.
In this work, a prediction method for tool life remaining based on the NHPP-WPHM model is proposed, which considers not only the intrinsic reliability level of the tool but also the influence of external factors during the tool operation and the performance of the tool after different repair times. This method can correct the errors caused by the reliability model established based only on the tool degradation life data, can better reflect the wear level of the tool, and accurately assess the remaining useful life of the tool.

Author Contributions

Y.Z. (Yingzhi Zhang): Methodology, Formal analysis; G.G.: Writing—original draft, Formal analysis; F.Y.: Resources; Y.Z. (Yubin Zheng): Writing—review and editing, Supervision; F.Z.: Validation, Investigation. All authors have read and agreed to the published version of the manuscript.

Funding

This work is supported by Jilin Province Science and Technology Development Plan Project (Grant No. 20190302104GX), the National Science and Technology Major Project of the Ministry of Science and Technology of China (Grant No. 2015ZX04005005), and the Project 101832020DJX037 Supported by Ph.D. Graduate Interdisciplinary Research of Jilin University.

Data Availability Statement

The dataset can be provided upon request.

Conflicts of Interest

The authors declare no conflict of interest.

References

  1. Gu, D.W.; Zhong, Y.H.; Xu, Z.; Chen, B.K.; Wang, Z.Q. An importance measure of a CNC lathe considering failure correlations. Qual. Reliab. Eng. Int. 2022, 38, 1367–1379. [Google Scholar] [CrossRef]
  2. Cai, W.L.; Hu, X.F.; Liu, M.X. Tool residual life prediction method based on transfer learning. Comput. Integr. Manuf. Syst. 2021, 27, 1541–1549. [Google Scholar]
  3. Yang, X.; Ran, Y.; Zhang, G.B.; Wang, H.W.; Mu, Z.Y.; Zhi, S.G. A digital twin-driven hybrid approach for the prediction of performance degradation in transmission unit of CNC machine tool. Robot. Comput. Integr. Manuf. 2022, 73, 102230. [Google Scholar] [CrossRef]
  4. Wang, X.G.; Zhang, X.Y.; Yang, L.J. Tool reliability analysis for wear degradation data under competitive failure conditions. China Mech. Eng. 2020, 31, 1672. [Google Scholar]
  5. Du, Y.J.; Yue, C.X.; Li, X.C.; Liu, X.L.; Liang, S.Y. Analytical modeling of tool failure boundary map in milling titanium alloy. Proc. Inst. Mech. Eng. Part B J. Eng. Manuf. 2022, 236, 798–810. [Google Scholar] [CrossRef]
  6. Cui, C.; Shi, W.W.; Hu, S.S. Tool reliability model and verification based on normal distribution of wear amount. J. Guangxi Univ. Nat. Sci. Ed. 2020, 45, 1378–1385. [Google Scholar]
  7. Li, J.; Wang, Z.; Zhang, Y.; Liu, C.; Fu, H. A nonlinear Wiener process degradation model with autoregressive errors. Reliab. Eng. Syst. Saf. 2018, 173, 48–57. [Google Scholar] [CrossRef]
  8. Jin, Y.Q.; Wang, X.Y.; Fox, E.A.; Xie, Z.W.; Neogi, A.; Mishra, R.S.; Wang, T.H. Numerically Trained Ultrasound AI for Monitoring Tool Degradation. Adv. Intell. Syst. 2022, 4, 2100215. [Google Scholar] [CrossRef]
  9. Li, Y.L.; Zhang, X.G.; Ran, Y.; Zhang, G.B. Early failure modeling and analysis of CNC machine tools. Int. J. Adv. Manuf. Technol. 2021, 112, 2731–2754. [Google Scholar] [CrossRef]
  10. Umer, U.; Mian, S.H.; Mohammed, M.K.; Abidi, M.H.; Moiduddin, K.; Kishawy, H. Tool Wear Prediction When Machining with Self-Propelled Rotary Tools. Materials 2022, 15, 4059. [Google Scholar] [CrossRef]
  11. Yuan, R.; Tang, M.; Wang, H.; Li, H.Q. A Reliability Analysis Method of Accelerated Performance Degradation Based on Bayesian Strategy. IEEE 2019, 7, 169047–169054. [Google Scholar] [CrossRef]
  12. Duan, C.Q.; Deng, C.; Li, N. Reliability assessment for CNC equipment based on degradation data. Int. J. Adv. Manuf. Technol. 2019, 100, 421–434. [Google Scholar] [CrossRef]
  13. Guan, S.; Yan, L.H.; Peng, C. Application of LS-SVM regression algorithm in tool wear prediction. China Mech. Eng. 2015, 26, 217–222. [Google Scholar]
  14. Coble, J.; Hines, J.W. Incorporating Prior Belief In The General Path Model: A Comparison Of Information Sources. Nucl. Eng. Technol. 2014, 46, 773–782. [Google Scholar] [CrossRef]
  15. Serin, G.; Sener, B.; Ozbayoglu, A.M.; Unver, H.O. Review of tool condition monitoring in machining and opportunities for deep learning. Int. J. Adv. Manuf. Technol. 2020, 109, 953–974. [Google Scholar] [CrossRef]
  16. Liu, Y.; Hu, X.; Sun, S. Remaining Useful Life Prediction of Cutting Tools Based on Support Vector Regression. IOP Conf. Ser. Mater. Sci. Eng. 2019, 576, 012021. [Google Scholar] [CrossRef]
  17. Zhang, C.; Hong, G.S.; Xu, H.; Tan, K.C.; Zhou, J.H.; Chan, H.L.; Li, H.Z. A Data-Driven Prognostics Framework for Tool Remaining Useful Life Estimation in Tool Condition Monitoring. In Proceedings of the 22nd IEEE International Conference on Emerging Technologies and Factory Automation (ETFA), Limassol, Cyprus, 12–15 September 2017. [Google Scholar]
  18. Nicolas, N.; Mario, D.S.; Oliveira, S.; Helena, S.T.; Athon, F.C.S.; Moura, L.; Matheus, B.C.; Anderson, L.S. Towards Real-Time Machining Tool Failure Forecast Approach for Smart Manufacturing Systems. IFAC-PapersOnLine 2022, 55, 548–553. [Google Scholar]
  19. Liu, C.Q.; Li, Y.J.; Wang, Q. A synchronous association approach of geometry, process and monitoring information for intelligent manufacturing. Robot. Comput. Integr. Manuf. 2019, 58, 120–129. [Google Scholar] [CrossRef]
  20. Liao, X.P.; Zhou, G.; Zhang, Z.K.; Lu, J.; Ma, J.Y. Tool wear state recognition based on GWO-SVM with feature selection of genetic algorithm. Int. J. Adv. Manuf. Technol. 2019, 104, 1051–1063. [Google Scholar] [CrossRef]
  21. Liu, W.; Cao, Z.M.; Cheng, X.L. Screening of conditional variables based on conditional cumulative distribution function. Stat. Decis. 2021, 37, 30–33. [Google Scholar]
  22. Li, C.; Liu, S.J.; Zhang, H.C.; Hu, Y.W. Machinery condition prediction based on wavelet and support vector machine. J. Intell. Manuf. 2013, 28, 1045–1055. [Google Scholar] [CrossRef]
  23. Kim, J.; Lee, H.; Jeon, J.W.; Kim, J.M.; Lee, H.U.; Kim, S. Stacked Auto-Encoder Based CNC Tool Diagnosis Using Discrete Wavelet Transform Feature Extraction. Processes 2020, 8, 456. [Google Scholar] [CrossRef]
  24. Lu, J.; Li, F. Optimization and application of GM (1,1) model based on initial value and background value improvement. Oper. Res. Manag. 2020, 29, 27–33. [Google Scholar]
  25. Li, Q.Y. Application of Fish School Grey Prediction Model in Power Load Forecasting. Master’s Thesis, Tianjin University of Technology, Tianjin, China, 2014. [Google Scholar]
  26. Ebeling, C.E. An Introduction to Reliability and Maintainability Engineering; Tsinghua University Press: Beijing, China, 2010; p. 189. [Google Scholar]
  27. Marseguerra, M.; Zio, E.; Podofillini, L. Multiobjective spare part allocation by means of genetic algorithms and Monte Carlo simulation. Rebability Eng. Syst. Saf. 2005, 87, 325–335. [Google Scholar] [CrossRef]
  28. Zhu, R.; Dong, H. Fundamentals of Mechanical Manufacturing Technology; Beijing Institute of Technology Press: Beijing, China, 2004; p. 122. [Google Scholar]
  29. Zhang, Y.Z.; Zhai, F.L.; Zheng, Y.B. Parameter Estimation Method Based on Minimum Cumulative Error Square Sum. J. South China Univ. Technol. 2020, 48, 49–54. [Google Scholar]
  30. Saxena, A.; Celaya, J.; Balaban, E.; Goebel, K.; Saha, B.; Saha, S.; Schwabacher, M. Metrics for Evaluating Performance of Prognostic Techniques. In Proceedings of the 2008 International Conference on Prognostics and Health Management, Denver, CO, USA, 6–9 October 2008; pp. 1–17. [Google Scholar]
Figure 1. Flow chart of the tool remaining useful life prediction based on NHPP-WPHM.
Figure 1. Flow chart of the tool remaining useful life prediction based on NHPP-WPHM.
Mathematics 11 01837 g001
Figure 2. (a) 1A313 type acceleration sensor; (b) DH5922 signal acquisition instrument; (c) placement of sensors.
Figure 2. (a) 1A313 type acceleration sensor; (b) DH5922 signal acquisition instrument; (c) placement of sensors.
Mathematics 11 01837 g002
Figure 3. Clustering behavior.
Figure 3. Clustering behavior.
Mathematics 11 01837 g003
Figure 4. AF-Follow.
Figure 4. AF-Follow.
Mathematics 11 01837 g004
Figure 5. Feeding behavior.
Figure 5. Feeding behavior.
Mathematics 11 01837 g005
Figure 6. (a) Electron microscope; (b) wear of the tool flank.
Figure 6. (a) Electron microscope; (b) wear of the tool flank.
Mathematics 11 01837 g006
Figure 7. (a) Early iteration stage of the artificial fish school algorithm; (b) late iteration stage of the artificial fish school algorithm; (c) final result of the artificial fish school algorithm.
Figure 7. (a) Early iteration stage of the artificial fish school algorithm; (b) late iteration stage of the artificial fish school algorithm; (c) final result of the artificial fish school algorithm.
Mathematics 11 01837 g007
Figure 8. Variation relationship between variable ψ and time.
Figure 8. Variation relationship between variable ψ and time.
Mathematics 11 01837 g008
Figure 9. (a) RUL prediction before the first repair; (b) RUL prediction before the second repair.
Figure 9. (a) RUL prediction before the first repair; (b) RUL prediction before the second repair.
Mathematics 11 01837 g009
Figure 10. (a) RUL prediction results of two models; (b) MAPE of two models.
Figure 10. (a) RUL prediction results of two models; (b) MAPE of two models.
Mathematics 11 01837 g010
Figure 11. RUL prediction results of two models.
Figure 11. RUL prediction results of two models.
Mathematics 11 01837 g011
Table 1. Parameters of the artificial fish school algorithm.
Table 1. Parameters of the artificial fish school algorithm.
ItemSymbolValue
Number of fish schoolsNF50
Maximum moving stepStep0.01
Maximum number of attemptsMA100
Maximum iterationsMI50
Crowding degree of fish school δ 0.618
Perceived distance range V i s u a l 1
Table 2. Processing parameters.
Table 2. Processing parameters.
Parameter
CNC lathe modelCK6140
Tool informationYBC251
Cutting parametersCutting depth: 1 mm; feed rate: 200 mm/min; cutting speed: 235 m/min
Material of the workpiece45# steel
Table 3. First tool failure time.
Table 3. First tool failure time.
Sample No.12345678910
Processing time (s)21003499.863606720756085056011447966255986
Table 4. First tool failure time and experience distribution.
Table 4. First tool failure time and experience distribution.
Sample No12345678910
Processing time (s)21003499.844795986601163606625672075608505
Value of empirical distribution0.06730.16350.25960.35580.45190.54810.64420.74040.83650.9327
Table 5. Parameter estimates of the Weibull model.
Table 5. Parameter estimates of the Weibull model.
Estimation MethodShape ParameterScale Parameter
Classical least square method1.82956799.4
Weighted least squares method1.91226910.1
Based on the minimum sum of squares of cumulative error2.37666977.9
Table 6. Root mean square error and K–S test value.
Table 6. Root mean square error and K–S test value.
Classical Least Square MethodWeighted Least Squares MethodBased on the Minimum Sum of Squares of Cumulative Error
RMSE0.08660.09910.0875
D n 0.171140.14550.1401
Table 7. Forecast sequence.
Table 7. Forecast sequence.
Prediction ModelForecast Sequence
Traditional grey prediction model0.2432 0.3491 0.3793 0.3213 0.2721 0.2957 0.2699 0.3122 0.2998 0.3162
Improved grey prediction based on
The artificial fish school algorithm
0.2432 0.3497 0.3802 0.3220 0.2726 0.2963 0.2708 0.3141 0.3011 0.3166
Table 8. Model inspection.
Table 8. Model inspection.
QMean Square Deviation Ratio CP
Traditional grey prediction model0.02220.18291
Improved grey prediction based on
the artificial fish school algorithm
0.02160.18291
Table 9. RMSE, R 2 , and MAE before the first repair.
Table 9. RMSE, R 2 , and MAE before the first repair.
ModelRMSE R 2 MAE
WPHM432.23390.7344237.5514
NHPP-WPHM27,023.22140.835599.7622
Table 10. RMSE, R 2 , and MAE before the second repair.
Table 10. RMSE, R 2 , and MAE before the second repair.
ModelRMSE R 2 MAE
WPHM453.11080.7109231.7928
NHPP-WPHM 256.77520.822399.068
Disclaimer/Publisher’s Note: The statements, opinions and data contained in all publications are solely those of the individual author(s) and contributor(s) and not of MDPI and/or the editor(s). MDPI and/or the editor(s) disclaim responsibility for any injury to people or property resulting from any ideas, methods, instructions or products referred to in the content.

Share and Cite

MDPI and ACS Style

Zhang, Y.; Guo, G.; Yang, F.; Zheng, Y.; Zhai, F. Prediction of Tool Remaining Useful Life Based on NHPP-WPHM. Mathematics 2023, 11, 1837. https://doi.org/10.3390/math11081837

AMA Style

Zhang Y, Guo G, Yang F, Zheng Y, Zhai F. Prediction of Tool Remaining Useful Life Based on NHPP-WPHM. Mathematics. 2023; 11(8):1837. https://doi.org/10.3390/math11081837

Chicago/Turabian Style

Zhang, Yingzhi, Guiming Guo, Fang Yang, Yubin Zheng, and Fenli Zhai. 2023. "Prediction of Tool Remaining Useful Life Based on NHPP-WPHM" Mathematics 11, no. 8: 1837. https://doi.org/10.3390/math11081837

APA Style

Zhang, Y., Guo, G., Yang, F., Zheng, Y., & Zhai, F. (2023). Prediction of Tool Remaining Useful Life Based on NHPP-WPHM. Mathematics, 11(8), 1837. https://doi.org/10.3390/math11081837

Note that from the first issue of 2016, this journal uses article numbers instead of page numbers. See further details here.

Article Metrics

Back to TopTop