Effect of Thermal Radiation and Variable Viscosity on Bioconvective and Thermal Stability of Non-Newtonian Nanofluids under Bidirectional Porous Oscillating Regime
Abstract
1. Introduction
2. Problem Formulation
3. Homotopy Analysis Method
4. Verification of the Analytical Model
5. Discussion
6. Conclusions
- An increase in the amplitude of the velocity occurs for a higher Deborah number without any phase shift.
- A lower velocity magnitude is encountered for the porosity parameter.
- The temporal variation in the temperature time increases with the increase in the thermic relaxation constant and the porosity parameter.
- The impact of the Deborah number has been found to reduce the concentration and microorganisms’ profiles.
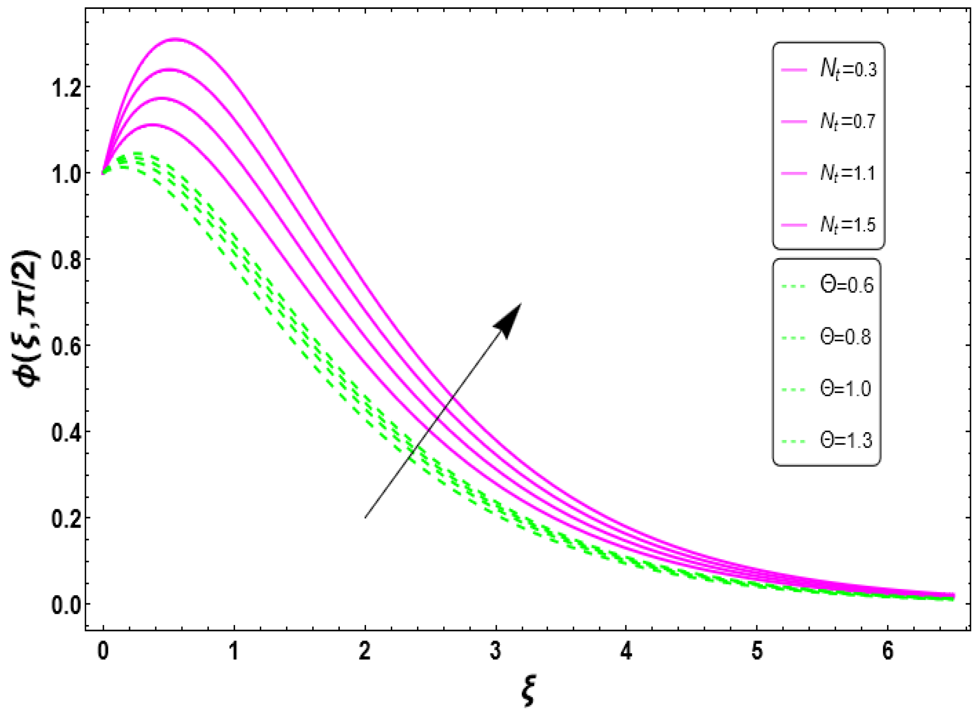
- The temperature profiles have higher values for a higher radiation parameter and the ratio of the oscillating frequency to the stretched rate.
- The variable thermal conductivity assumptions are very effective in improving the heat transfer rate.
- The increase in the chemical reaction parameter, Lewis number, and solutal relaxation reduces the concentration profile.
- With the increment of the concentration difference constant, the microorganism profile has lower values.
- With an increasing porosity parameter, the microorganism profile is enhanced.
- The Local Nusselt number, Sherwood number, and motile density number are enhanced with the Prandtl number and thermic relaxation constant.
Author Contributions
Funding
Institutional Review Board Statement
Informed Consent Statement
Data Availability Statement
Conflicts of Interest
References
- Choi, S.U.S. Enhancing thermal conductivity of fluids with nanoparticles. ASME-Publ. Fed. 1995, 231, 99–106. [Google Scholar]
- Buongiorno, J. Convective transport in nanofluids. J. Heat Transf. 2006, 128, 240–250. [Google Scholar] [CrossRef]
- Mahmud, K.; Rana, S.; Al-Zubaidi, A.; Mehmood, R.; Saleem, S. Interaction of Lorentz force with cross swimming microbes in couple stress nano fluid past a porous Riga plate. Int. Commun. Heat Mass Transf. 2022, 138, 106347. [Google Scholar] [CrossRef]
- Madkhali, H.A.; Haneef, M.; El-Shafay, A.S.; Alharbi, S.O.; Nawaz, M. Mixed convective transport in Maxwell hybrid nano-fluid under generalized Fourier and Fick laws. Int. Commun. Heat Mass Transf. 2022, 130, 105714. [Google Scholar] [CrossRef]
- Hameed, N.; Noeiaghdam, S.; Khan, W.; Pimpunchat, B.; Fernandez-Gamiz, U.; Khan, M.S.; Rehman, A. Analytical analysis of the magnetic field, heat generation and absorption, viscous dissipation on couple stress casson hybrid nano fluid over a nonlinear stretching surface. Results Eng. 2022, 16, 100601. [Google Scholar] [CrossRef]
- Chandrasekaran, M.; Prakash, K.B.; Subramaniyan, C.; Santhosh, N.; Tamilarasan, V.D. Experimental investigation on heavy duty engine radiator using cerium oxide nano fluid. Mater. Today Proc. 2022, 66, 1497–1500. [Google Scholar] [CrossRef]
- Cui, J.; Razzaq, R.; Farooq, U.; Khan, W.A.; Farooq, F.B.; Muhammad, T. Impact of non-similar modeling for forced convection analysis of nano-fluid flow over stretching sheet with chemical reaction and heat generation. Alex. Eng. J. 2022, 61, 4253–4261. [Google Scholar] [CrossRef]
- Mishra, G.; Chhabra, R.P. Effects of flow fluctuations and buoyancy on heat transfer from a sphere in non-Newtonian nano fluids: Potential for intensification. Chem. Eng. Process. Process Intensif. 2022, 178, 109048. [Google Scholar] [CrossRef]
- Mahmud, K.; Mehmood, R.; Rana, S.; Al-Zubaidi, A. Flow of magnetic shear thinning nano fluid under zero mass flux and hall current. J. Mol. Liq. 2022, 352, 118732. [Google Scholar] [CrossRef]
- Balaji, T.; Rajendiran, S.; Selvam, C.; Lal, D.M. Enhanced heat transfer characteristics of water based hybrid nanofluids with graphene nanoplatelets and multi walled carbon nanotubes. Powder Technol. 2021, 394, 1141–1157. [Google Scholar] [CrossRef]
- Manohar, G.R.; Venkatesh, P.; Gireesha, B.J.; Madhukesh, J.K.; Ramesh, G.K. Dynamics of hybrid nanofluid through a semi spherical porous fin with internal heat generation. Partial. Differ. Equ. Appl. Math. 2021, 4, 100150. [Google Scholar] [CrossRef]
- Chen, Y.; Luo, P.; Tao, Q.; Liu, X.; He, D. Natural convective heat transfer investigation of nanofluids affected by electrical field with periodically changed direction. Int. Commun. Heat Mass Transf. 2021, 128, 105613. [Google Scholar] [CrossRef]
- Jaafar, A.; Jamaludin, A.; Nasir, N.A.A.M.; Nazar, R.; Pop, I. MHD opposing flow of Cu−TiO2 hybrid nanofluid under an exponentially stretching/shrinking surface embedded in porous media with heat source and slip impacts. Results Eng. 2023, 17, 101005. [Google Scholar] [CrossRef]
- Mustafa, J.; Abdullah, M.M.; Ahmad, M.Z.; Husain, S.; Sharifpur, M. Numerical study of two-phase turbulence nanofluid flow in a circular heatsink for cooling LEDs by changing their location and dimensions. Eng. Anal. Bound. Elem. 2023, 149, 248–260. [Google Scholar] [CrossRef]
- Zainal, N.A.; Waini, I.; Khashi’ie, N.S.; Kasim, A.R.M.; Naganthran, K.; Nazar, R.; Pop, I. Stagnation point hybrid nanofluid flow past a stretching/shrinking sheet driven by Arrhenius kinetics and radiation effect. Alex. Eng. J. 2023, 68, 29–38. [Google Scholar] [CrossRef]
- Abdollahi, S.A.; Alizadeh, A.A.; Esfahani, i.C.; Zarinfar, M.; Pasha, P. Investigating heat transfer and fluid flow betwixt parallel surfaces under the influence of hybrid nanofluid suction and injection with numerical analytical technique. Alex. Eng. J. 2023, 70, 423–439. [Google Scholar] [CrossRef]
- Shahzad, A.; Imran, M.; Tahir, M.; Khan, S.A.; Akgül, A.; Abdullaev, S.; Park, C.; Zahran, H.Y.; Yahia, I.S. Brownian motion and thermophoretic diffusion impact on Darcy-Forchheimer flow of bioconvective micropolar nanofluid between double disks with Cattaneo-Christov heat flux. Alex. Eng. J. 2023, 62, 1–15. [Google Scholar] [CrossRef]
- Kairi, R.R.; Roy, S.; Raut, S. Stratified thermosolutal Marangoni bioconvective flow of gyrotactic microorganisms in Williamson nanofluid. Eur. J. Mech. B/Fluids 2023, 97, 40–52. [Google Scholar] [CrossRef]
- Hussain, S.; Aly, A.M.; Alsedias, N. Bioconvection of oxytactic microorganisms with nano-encapsulated phase change materials in an omega-shaped porous enclosure. J. Energy Storage 2022, 56, 105872. [Google Scholar] [CrossRef]
- Din, I.S.U.; Siddique, I.; Ali, R.; Jarad, F.; Abdal, S.; Hussain, S. On heat and flow characteristics of Carreau nanofluid and tangent hyperbolic nanofluid across a wedge with slip effects and bioconvection. Case Stud. Therm. Eng. 2022, 39, 102390. [Google Scholar] [CrossRef]
- Mariam, A.; Siddique, I.; Abdal, S.; Jarad, F.; Ali, R.; Salamat, N.; Hussain, S. Bioconvection attribution for effective thermal transportation of upper convicted Maxwell nanofluid flow due to an extending cylindrical surface. Case Stud. Therm. Eng. 2022, 34, 102062. [Google Scholar] [CrossRef]
- Cui, J.; Munir, S.; Raies, S.F.; Farooq, U.; Razzaq, R. Non-similar aspects of heat generation in bioconvection from flat surface subjected to chemically reactive stagnation point flow of Oldroyd-B fluid. Alex. Eng. J. 2022, 61, 5397–5411. [Google Scholar] [CrossRef]
- Habib, D.; Abdal, S.; Ali, R.; Baleanu, D.; Siddique, I. On bioconvection and mass transpiration of micropolar nanofluid dynamics due to an extending surface in existence of thermal radiations. Case Stud. Therm. Eng. 2021, 27, 101239. [Google Scholar] [CrossRef]
- Waqas, H.; Naseem, R.; Muhammad, T.; Farooq, U. Bioconvection flow of Casson nanofluid by rotating disk with motile microorganisms. J. Mater. Res. Technol. 2021, 13, 2392–2407. [Google Scholar] [CrossRef]
- Baranovskii, E.S. Flows of a polymer fluid in domain with impermeable boundaries. Comput. Math. Math. Phys. 2014, 54, 1589–1596. [Google Scholar] [CrossRef]
- Muzara, H.; Shateyi, S. MHD Laminar Boundary Layer Flow of a Jeffrey Fluid Past a Vertical Plate Influenced by Viscous Dissipation and a Heat Source/Sink. Mathematics 2021, 9, 1896. [Google Scholar] [CrossRef]
- Raje, A.; Bhise, A.A.; Kulkarni, A. Entropy analysis of the MHD Jeffrey fluid flow in an inclined porous pipe with convective boundaries. Int. J. Therm. 2023, 17, 100275. [Google Scholar] [CrossRef]
- Khan, Z.A.; Shah, N.A.; Haider, N.; El-Zahar, E.R.; Yook, S.J. Analysis of natural convection flows of Jeffrey fluid with Prabhakar-like thermal transport. Case Stud. Therm. Eng. 2022, 35, 102079. [Google Scholar] [CrossRef]
- Nabwey, H.A.; Mushtaq, M.; Nadeem, M.; Ashraf, M.; Rashad, A.M.; Alshber, S.I.; Hawsah, M.A. Note on the Numerical Solutions of Unsteady Flow and Heat Transfer of Jeffrey Fluid Past Stretching Sheet with Soret and Dufour Effects. Mathematics 2022, 10, 4634. [Google Scholar] [CrossRef]
- Ahmad, I.; Aziz, S.; Ali, N.; Khan, S.U. Radiative unsteady hydromagnetic 3D flow model for Jeffrey nanofluid configured by an accelerated surface with chemical reaction. Heat Transf. Asian Res. 2021, 50, 942–966. [Google Scholar] [CrossRef]
- Liao, S.J. On the Analytic Solution of Magnetohydrodynamic Flows of non-Newtonian Fluids over a stretching sheet. J. Fluid Mech. 2003, 488, 189–212. [Google Scholar] [CrossRef]
- Turkyilmazoglu, M. Numerical and Analytical solutions for the Flow and Heat Transfer near the Equator of an MHD Boundary layer over a Porous Rotating sphere. Int. J. Therm. Sci. 2011, 50, 831–842. [Google Scholar] [CrossRef]
- Abbasbandy, S.; Shirzadi, A. Homotopy Analysis Method for a Nonlinear Chemistry Problem. Stud. Nonlinear Sci. 2010, 1, 127–132. [Google Scholar]
- Dinarvand, S.; Abbassi, A.; Hosseini, R.; Pop, I. Homotopy analysis method for mixed convective boundary layer flow of a nanofluid over a vertical circular cylinder. Therm. Sci. 2015, 19, 549–561. [Google Scholar] [CrossRef]
- Ariel, P.D. The three-dimensional flow past a stretching sheet and the homotopy perturbation method. Comput. Math. Appl. 2007, 54, 920–925. [Google Scholar] [CrossRef]



















| Ariel [35] | Present Results | |||
|---|---|---|---|---|
| 0.0 | 1.00000 | 0.00000 | 1.00000 | 0.00000 |
| 0.1 | 1.02025 | 0.06684 | 1.020256 | 0.066856 |
| 0.2 | 1.03949 | 0.14873 | 1.039501 | 0.148719 |
| 0.4 | 0.2 | 1.5 | 0.3 | 0.2 | 0.4 | 0.5562 | 0.41537 | 0.5394 |
| 0.5 | 0.5342 | 0.3857 | 0.5246 | |||||
| 0.6 | 0.5279 | 0.3646 | 0.4942 | |||||
| 0.2 | 0.50 | 0.4404 | 0.38325 | 0.5131 | ||||
| 0.4724 | 0.3956 | 0.4823 | ||||||
| 0.4968 | 0.43577 | 0.4634 | ||||||
| 0.7 | 0.4505 | 0.4156 | 0.5332 | |||||
| 1.1 | 0.4877 | 0.43435 | 0.5554 | |||||
| 1.5 | 0.5143 | 0.4435 | 0.5635 | |||||
| 0.2 | 0.4403 | 0.45032 | 0.5642 | |||||
| 0.3 | 0.4654 | 0.46435 | 0.5847 | |||||
| 0.4 | 0.5153 | 0.4935 | 0.6242 | |||||
| 0.3 | 0.4345 | 0.40466 | 0.5035 | |||||
| 0.5 | 0.3965 | 0.38466 | 0.4842 | |||||
| 0.7 | 0.3546 | 0.37343 | 0.4435 | |||||
| 0.4 | 0.4832 | 0.49353 | 0.55456 | |||||
| 0.6 | 0.4353 | 0.43577 | 0.5246 | |||||
| 0.8 | 0.3868 | 0.41334 | 0.4756 |
Disclaimer/Publisher’s Note: The statements, opinions and data contained in all publications are solely those of the individual author(s) and contributor(s) and not of MDPI and/or the editor(s). MDPI and/or the editor(s) disclaim responsibility for any injury to people or property resulting from any ideas, methods, instructions or products referred to in the content. |
© 2023 by the authors. Licensee MDPI, Basel, Switzerland. This article is an open access article distributed under the terms and conditions of the Creative Commons Attribution (CC BY) license (https://creativecommons.org/licenses/by/4.0/).
Share and Cite
Kolsi, L.; Al-Khaled, K.; Khan, S.U.; Khedher, N.B. Effect of Thermal Radiation and Variable Viscosity on Bioconvective and Thermal Stability of Non-Newtonian Nanofluids under Bidirectional Porous Oscillating Regime. Mathematics 2023, 11, 1600. https://doi.org/10.3390/math11071600
Kolsi L, Al-Khaled K, Khan SU, Khedher NB. Effect of Thermal Radiation and Variable Viscosity on Bioconvective and Thermal Stability of Non-Newtonian Nanofluids under Bidirectional Porous Oscillating Regime. Mathematics. 2023; 11(7):1600. https://doi.org/10.3390/math11071600
Chicago/Turabian StyleKolsi, Lioua, Kamel Al-Khaled, Sami Ullah Khan, and Nidhal Ben Khedher. 2023. "Effect of Thermal Radiation and Variable Viscosity on Bioconvective and Thermal Stability of Non-Newtonian Nanofluids under Bidirectional Porous Oscillating Regime" Mathematics 11, no. 7: 1600. https://doi.org/10.3390/math11071600
APA StyleKolsi, L., Al-Khaled, K., Khan, S. U., & Khedher, N. B. (2023). Effect of Thermal Radiation and Variable Viscosity on Bioconvective and Thermal Stability of Non-Newtonian Nanofluids under Bidirectional Porous Oscillating Regime. Mathematics, 11(7), 1600. https://doi.org/10.3390/math11071600

