A Tripartite Evolutionary Game Analysis of Participant Decision-Making Behavior in Mobile Crowdsourcing
Abstract
1. Introduction
- Combining irrational characteristics, such as selfishness and the perfunctory strategy of the participant, the law of interaction among workers, crowdsourcing platforms and task requesters is studied.
- The mutual concealment of various misbehaviors is fully considered, and replication dynamics are employed to propose an ideal steady state that obtains the Nash equilibrium and achieves the maximum benefit to society.
- Using supervision mechanisms and combining factors, such as the strength of penalties, the cost of complaints and the technical level of the platform, we guide the participants and regulators in mobile crowdsourcing to make the right decisions.
2. Related Work
2.1. Mobile Crowdsourcing
2.2. Game Theory in Mobile Crowdsourcing
3. Model Formulation
3.1. Model Assumptions
3.2. Game Relationship among Three Participants
3.3. Model Construction
3.3.1. Replication Dynamic Equation and Phase Diagram for Crowd Workers
3.3.2. Replication Dynamic Equation and Phase Diagram for Crowdsourcing Platforms
3.3.3. Replication Dynamic Equation and Phase Diagram for Task Requesters
4. Evolutionary Equilibrium Analysis
4.1. Jacobian Matrix
4.2. Stability Analysis
5. Simulated Analysis
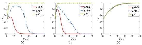
5.1. The Effect of Different Initial Strategies on Evolution
5.2. Analysis of Parameters Related to the Crowdsourcing Platform
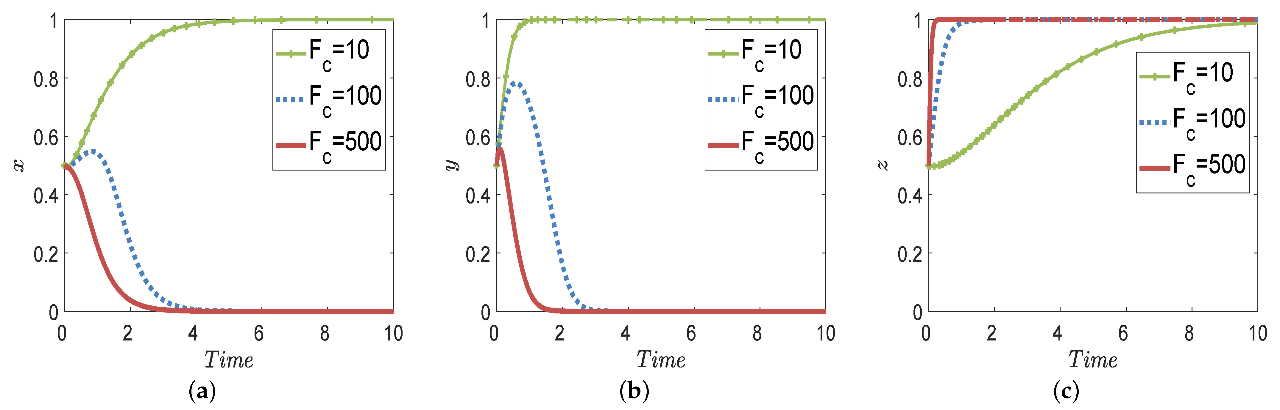
5.2.1. Data Filtering Cost for the Crowdsourcing Platform
5.2.2. Data Filtering Capacity of the Crowdsourcing Platform
5.2.3. Governing Agencies’ Fines for Crowdsourcing Platforms
5.2.4. The Probability of Regulation by the Governing Agencies
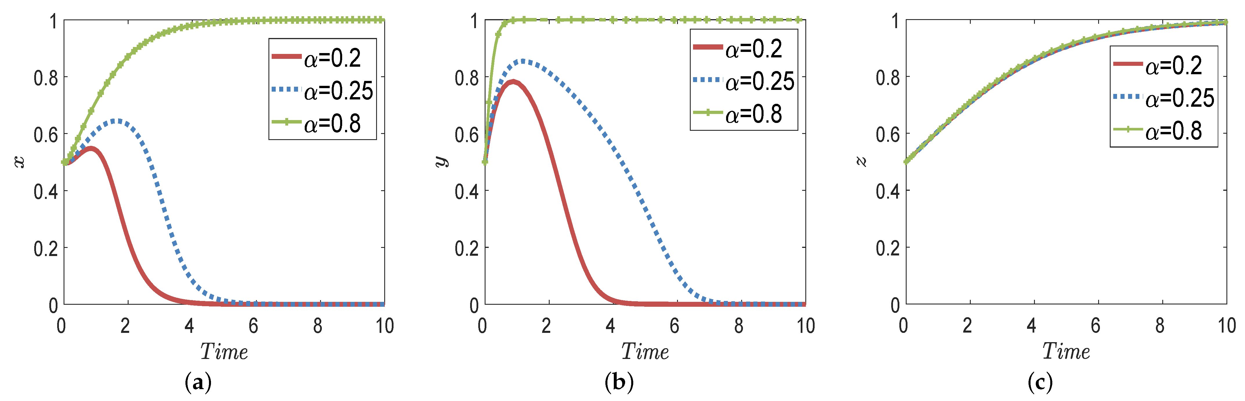
5.3. Analysis of Parameters Related to the Task Requester
5.3.1. The Task Requester’s Complaint Cost
5.3.2. Compensable C for the Task Requester
5.4. Analysis of Parameters Related to the Crowd Workers
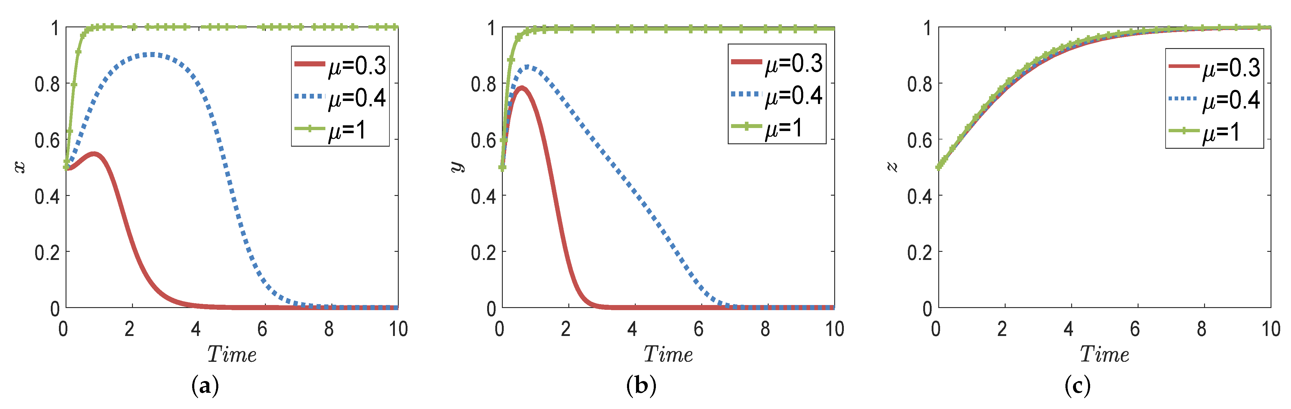
The Compensation Coefficient g
6. Conclusions and Future Works
- Since the crowdsourcing platform, the crowd worker and the task requester are in the same dynamic system, any change in strategy choices by one of them will affect and restrict the strategy choices of the other two parties. Therefore, the following measures can be implemented to maintain the stable operation of the mobile crowdsourcing market: (i) increase fines for misconduct, (ii) increase the probability of supervision by governing agencies, (iii) reduce the cost of data filtering, (iv) reduce the complaint cost of task requesters, (v) improve the data filtering capability of crowdsourcing platforms and (vi) encourage the task requesters to actively report misconduct on crowdsourcing platforms. For example, the higher the probability of selecting the “data filtering” strategy is, the more crowd workers tend to select the “hardworking” strategy to complete the task; the higher the enthusiasm of task requesters to safeguard their rights os, the more misconduct on crowd workers and crowdsourcing platforms will be inhibited. Through the above analysis and the outcomes of the experiments, it can be concluded that the crowdsourcing platform selects the “data filtering” strategy, the task requester selects the “complaint” strategy, and the crowd workers select the “hardworking” task completion strategy, all of which are conducive to improving the sensing data’s quality and realizing the maximum social benefits. Therefore, the ideal stable state of the system is a policy combination of .
- For crowdsourcing platforms, data filtering plays an important role in stabilizing market operations. First of all, it will be difficult for task requesters to obtain high-quality sensing data without implementing data filtering measures, thus harming the self-interests of task requesters and causing the reputation loss of the platform. Secondly, the speculative behavior of crowdsourcing workers is more rampant without implementing data filtering, and it is not conducive to obtaining high-quality perception data. Therefore, crowdsourcing platforms need to improve data filtering capabilities, intensify technological transformation, reduce data filtering costs and enhance platform social responsibilities. In this way, not only can the interests of task requesters be protected from losses and mobile crowdsourcing market transactions be promoted, but also the reputation and core competitiveness of the platform can be comprehensively enhanced, and a virtuous cycle of the trading market can be promoted.
- Task requesters should enhance their awareness of rights protection and safeguard their own interests from being infringed upon. In addition, protecting their rights actively plays an important role in supervising the speculative behaviors of other participants. Task requesters are the final inspectors who estimate the quality of data. After finding data quality problems, they should give timely feedback to regulators, which can not only safeguard their own interests but also help curb speculation in the crowdsourcing system and play a positive role in stabilizing market operation.
- Crowd workers should enhance their sense of social responsibility and not deceive others into performing their tasks perfunctorily for their own benefit. The only way to stand out and gain trust in the highly competitive trading market environment is to enhance your own working skills and treat one another with sincerity.
- Governing agencies should actively perform their supervisory duties. To begin with, they should develop anonymous reporting platforms, develop a reasonable regulatory system, improve the probability of regulation and reduce the cost of rights protection for task requesters. In addition, they can also conduct regular thematic education to raise the rights protection awareness of task requesters and increase the sense of social responsibility of mass workers and crowdsourcing platforms.
- Regarding stakeholders’ participation in collusion, we will consider the effect of inter-participant collusion on the strategy choices of other participants in a comprehensive manner to make the game system more realistic.
- Regarding setting incentives for crowd workers, we will combine the reputations of the crowd workers to set incentives to ensure they complete the tasks with a “hardworking” strategy and improve the quality of the sensing data.
Author Contributions
Funding
Institutional Review Board Statement
Informed Consent Statement
Data Availability Statement
Acknowledgments
Conflicts of Interest
References
- Hamrouni, A.; Ghazzai, H.; Frikha, M.; Massoud, Y. A Spatial Mobile Crowdsourcing Framework for Event Reporting. IEEE Trans. Comput. Soc. Syst. 2020, 7, 477–491. [Google Scholar] [CrossRef]
- Khan, F.; Rehman, A.U.; Zheng, J.; Jan, M.A.; Alam, M. Mobile crowdsensing: A survey on privacy-preservation, task management, assignment models, and incentives mechanisms. Future Gener. Comput. Syst. 2019, 100, 456–472. [Google Scholar] [CrossRef]
- Yang, J.; Ban, X.; Xing, C. Using greedy random adaptive procedure to solve the user selection problem in mobile crowdsourcing. Sensors 2019, 19, 3158. [Google Scholar] [CrossRef] [PubMed]
- Wu, S.; Wang, Y.; Tong, X. Multi-objective task assignment for maximizing social welfare in spatio-temporal crowdsourcing. China Commun. 2021, 18, 11–25. [Google Scholar] [CrossRef]
- Li, F.; Wang, Y.; Gao, Y.; Tong, X.; Jiang, N.; Cai, Z. Three-Party Evolutionary Game Model of Stakeholders in Mobile Crowdsourcing. IEEE Trans. Comput. Soc. Syst. 2022, 9, 974–985. [Google Scholar] [CrossRef]
- Chi, C.; Wang, Y.; Li, Y.; Tong, X. Multistrategy Repeated Game-Based Mobile Crowdsourcing Incentive Mechanism for Mobile Edge Computing in Internet of Things. Wirel. Commun. Mob. Comput. 2021, 2021, 6695696. [Google Scholar] [CrossRef]
- Yang, S.; Wu, F.; Tang, S.; Gao, X.; Yang, B.; Chen, G. On Designing Data Quality-Aware Truth Estimation and Surplus Sharing Method for Mobile Crowdsensing. IEEE J. Sel. Areas Commun. 2017, 35, 832–847. [Google Scholar] [CrossRef]
- Hou, Y.; Cheng, W. Task allocation based on profit maximization for mobile crowdsourcing. J. China Univ. Posts Telecommun. 2020, 27, 26–30. [Google Scholar]
- Zhan, Y.; Xia, Y.; Zhang, J. Quality-aware incentive mechanism based on payoff maximization for mobile crowdsensing. Ad Hoc Netw. 2018, 72, 44–55. [Google Scholar] [CrossRef]
- Li, K.; Wang, S.; Cheng, X.; Hu, Q. A Misreport- and Collusion-Proof Crowdsourcing Mechanism Without Quality Verification. IEEE Trans. Mob. Comput. 2022, 21, 3084–3095. [Google Scholar] [CrossRef]
- Gong, X.; Shroff, N.B. Truthful Data Quality Elicitation for Quality-Aware Data Crowdsourcing. IEEE Trans. Control. Netw. Syst. 2020, 7, 326–337. [Google Scholar] [CrossRef]
- Wu, P.; Ngai, E.; Wu, Y. Toward a real-time and budget-aware task package allocation in spatial crowdsourcing. Decis. Support Syst. 2018, 110, 107–117. [Google Scholar] [CrossRef]
- Huang, Y.; Chen, H.; Ma, G.; Lin, K.; Ni, Z.; Yan, N.; Wang, Z. OPAT: Optimized Allocation of Time-Dependent Tasks for Mobile Crowdsensing. IEEE Trans. Ind. Inform. 2022, 18, 2476–2485. [Google Scholar] [CrossRef]
- Zhang, X.; Wu, Y.; Huang, L.; Heng, J.; Cao, G. Expertise-Aware Truth Analysis and Task Allocation in Mobile Crowdsourcing. IEEE Trans. Mob. Comput. 2021, 20, 1001–1016. [Google Scholar] [CrossRef]
- Wu, Z.; Peng, L.; Xiang, C. Assuring quality and waiting time in real-time spatial crowdsourcing. Decis. Support Syst. 2023, 164, 113869. [Google Scholar] [CrossRef]
- Yang, D.; Xue, G.; Xi, F.; Jian, T. Incentive Mechanisms for Crowdsensing: Crowdsourcing With Smartphones. IEEE/ACM Trans. Netw. 2016, 24, 1732–1744. [Google Scholar] [CrossRef]
- Peng, D.; Wu, F.; Chen, G. Data Quality Guided Incentive Mechanism Design for Crowdsensing. IEEE Trans. Mob. Comput. 2018, 17, 307–319. [Google Scholar] [CrossRef]
- Luo, Z.; Xu, J.; Zhao, P.; Yang, D.; Luo, J. Towards high quality mobile crowdsensing: Incentive mechanism design based on fine-grained ability reputation. Comput. Commun. 2021, 180, 197–209. [Google Scholar] [CrossRef]
- Liang, X.; Chen, T.; Xie, C.; Dai, H.; Poor, H. Mobile Crowdsensing Games in Vehicular Networks. IEEE Trans. Veh. Technol. 2018, 67, 1535–1545. [Google Scholar]
- Dasari, V.; Kantarci, B.; Pouryazdan, M.; Foschini, L.; Girolami, M. Game theory in mobile crowdsensing: A comprehensive survey. Sensors 2020, 20, 2055. [Google Scholar] [CrossRef]
- Li, X.; Zhu, Q. Social Incentive Mechanism Based Multi-User Sensing Time Optimization in Co-Operative Spectrum Sensing with Mobile Crowd Sensing. Sensors 2018, 18, 250. [Google Scholar] [CrossRef] [PubMed]
- Zhao, P.; Li, X.; Gao, S.; Wei, X. Cooperative task assignment in spatial crowdsourcing via multi-agent deep reinforcement learning. J. Syst. Archit. 2022, 128, 102551. [Google Scholar] [CrossRef]
- Zhan, Y.; Xia, Y.; Zhang, J.; Wang, Y. Incentive Mechanism Design in Mobile Opportunistic Data Collection with Time Sensitivity. IEEE Internet Things J. 2018, 5, 246–256. [Google Scholar] [CrossRef]
- Yang, G.; He, S.; Shi, Z.; Chen, J. Promoting Cooperation by the Social Incentive Mechanism in Mobile Crowdsensing. IEEE Commun. Mag. 2017, 55, 86–92. [Google Scholar] [CrossRef]
- Ming, L.; Jian, L.; Yang, D.; Xue, G.; Jian, T. QUAC: Quality-Aware Contract-Based Incentive Mechanisms for Crowdsensing. In Proceedings of the 2017 IEEE 14th International Conference on Mobile Ad Hoc and Sensor Systems (MASS), Orlando, FL, USA, 22–25 October 2017; pp. 72–80. [Google Scholar]
- Jin, H.; Su, L.; Xiao, H.; Nahrstedt, K. INCEPTION: Incentivizing Privacy-Preserving Data Aggregation for Mobile Crowd Sensing Systems. ACM Int. Symp. 2016, 2016, 341–350. [Google Scholar]
- Wu, L.; Xiong, Y.; Liu, K.; She, J. A real-time pricing mechanism considering data freshness based on non-cooperative game in crowdsensing. Inf. Sci. 2022, 608, 392–409. [Google Scholar] [CrossRef]
- Jiang, W.; Liu, X.; Shi, D.; Chen, J.; Sun, Y.; Guo, L. Research on Crowdsourcing Price Game Model in Crowd Sensing. Comput. Mater. Contin. 2021, 68, 1769–1784. [Google Scholar] [CrossRef]
- Wu, L.; Xiong, Y.; Liu, K.; She, J. Stable Strategy Formation for Mobile Users in Crowdsensing Using Co-Evolutionary Model. J. Adv. Comput. Intell. 2021, 25, 1000–1010. [Google Scholar] [CrossRef]
- Wang, J.; Hu, Y.; Qu, W.; Ma, L. Research on Emergency Supply Chain Collaboration Based on Tripartite Evolutionary Game. Sustainability 2022, 14, 11893. [Google Scholar] [CrossRef]
- Yang, J.; Yan, X.; Yang, W. A Tripartite Evolutionary Game Analysis of Online Knowledge Sharing Community. Wirel. Commun. Mob. Comput. 2022, 2022, 4460034. [Google Scholar] [CrossRef]
- Friedman, D. Evolutionary Games in Economics. Econometrica 1991, 59, 637–666. [Google Scholar] [CrossRef]













| Symbol | Description |
|---|---|
| The cost of crowd workers choosing “hardworking” strategies to complete tasks | |
| The cost of crowd workers choosing “perfunctory” strategies to complete tasks | |
| The payments that crowdsourcing platforms make to crowd workers | |
| The amount paid to the platform by the task requester | |
| The cost of data filtering on crowdsourcing platforms | |
| The unit cost of operating a crowdsourcing platform | |
| Fines imposed on platforms by governing agencies | |
| C | Compensation received by task requesters |
| Complaint costs for task requesters | |
| N | The number of tasks |
| Data filtering capabilities of crowdsourcing platforms | |
| Regulatory probability of governing agencies | |
| g | Compensation factor |
| x | The probability of crowd workers completing a task with a “hardworking” strategy |
| y | The probability of data filtering by the crowdsourcing platform |
| z | The probability of no complaint by task requesters |
| Crowd Workers | Task Requester | Crowdsourcing Platform | |
|---|---|---|---|
| Filter | Not Filter | ||
| Hardworking | Not complain | ||
| Complain | |||
| Perfunctory | Not Complain | ||
| Complain | |||
| (0,0,0) | |||
| (0,0,1) | |||
| (0,1,0) | |||
| (1,0,0) | |||
| (0,1,1) | |||
| (1,0,1) | |||
| (1,1,0) | |||
| (1,1,1) |
| Eigenvalue Analysis | Stability | |
|---|---|---|
| (0,0,0) | , so it is unstable. | Unstable |
| (0,0,1) | If , all eigenvalues are negative. | ESS |
| (0,1,0) | , so it is unstable. | Unstable |
| (1,0,0) | , so it is unstable. | Unstable |
| (0,1,1) | If , and , all eigenvalues are negative. | ESS |
| (1,0,1) | , so it is unstable. | Unstable |
| (1,1,0) | , so it is unstable. | Unstable |
| (1,1,1) | If , and , all eigenvalues are negative. | ESS |
Disclaimer/Publisher’s Note: The statements, opinions and data contained in all publications are solely those of the individual author(s) and contributor(s) and not of MDPI and/or the editor(s). MDPI and/or the editor(s) disclaim responsibility for any injury to people or property resulting from any ideas, methods, instructions or products referred to in the content. |
© 2023 by the authors. Licensee MDPI, Basel, Switzerland. This article is an open access article distributed under the terms and conditions of the Creative Commons Attribution (CC BY) license (https://creativecommons.org/licenses/by/4.0/).
Share and Cite
Hao, H.; Yang, J.; Wang, J. A Tripartite Evolutionary Game Analysis of Participant Decision-Making Behavior in Mobile Crowdsourcing. Mathematics 2023, 11, 1269. https://doi.org/10.3390/math11051269
Hao H, Yang J, Wang J. A Tripartite Evolutionary Game Analysis of Participant Decision-Making Behavior in Mobile Crowdsourcing. Mathematics. 2023; 11(5):1269. https://doi.org/10.3390/math11051269
Chicago/Turabian StyleHao, Hanyun, Jian Yang, and Jie Wang. 2023. "A Tripartite Evolutionary Game Analysis of Participant Decision-Making Behavior in Mobile Crowdsourcing" Mathematics 11, no. 5: 1269. https://doi.org/10.3390/math11051269
APA StyleHao, H., Yang, J., & Wang, J. (2023). A Tripartite Evolutionary Game Analysis of Participant Decision-Making Behavior in Mobile Crowdsourcing. Mathematics, 11(5), 1269. https://doi.org/10.3390/math11051269

