Attitude Stabilization of a Satellite with Large Flexible Elements Using On-Board Actuators Only
Abstract
:1. Introduction
2. Problem Statement
3. Equations of Motion
- is the nonrotating frame; its origin coincides with Earth’s center of mass, is perpendicular to the equatorial plane, is directed to the vernal equinox point corresponding to a given epoch (e.g., J2000);
- is the body-fixed frame; its origin lies in the satellite hub center of mass (), and its axes coincide with its principal axes of inertia;
- are the flexible-element fixed frames with origin in the center of mass of the corresponding undeformed flexible element; axes are the principal axes of inertia of the undeformed flexible element.
4. Linearized Mathematical Model
5. Control Synthesis
5.1. Stabilizing Control
- Matrix from the LQR control law is the only positive definite solution of (25);
- The LQR provides the asymptotic stability for the linear system with matrices (22).
5.2. Compensation Control
6. Optimization Problem
- the cost function derivative is small (dimensionless parameter of cost function stagnation is );
- all particles are falling into some neighborhood of the best position (dimensionless parameter of swarm stagnation is ).
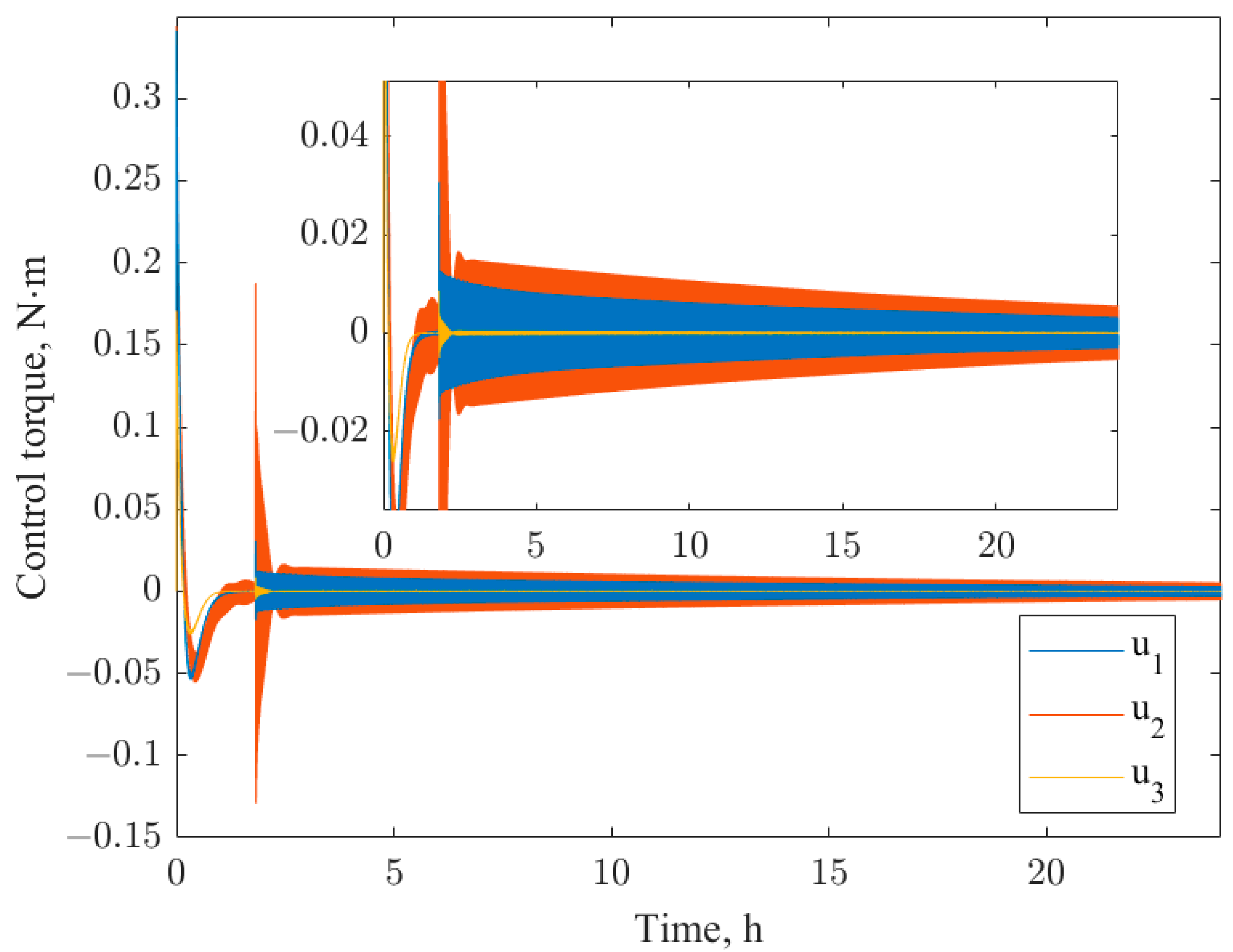
7. Numerical Example
8. Conclusions
Author Contributions
Funding
Data Availability Statement
Conflicts of Interest
Appendix A
Appendix B. General Force Calculation
Appendix B.1. Gravity
Appendix B.2. Solar Radiation Pressure
References
- Nicassio, F.; Fattizzo, D.; Giannuzzi, M.; Scarselli, G.; Avanzini, G. Attitude dynamics and control of a large flexible space structure by means of a minimum complexity model. Acta Astronaut. 2022, 198, 124–134. [Google Scholar] [CrossRef]
- Iannelli, P.; Angeletti, F.; Gasbarri, P. A model predictive control for attitude stabilization and spin control of a spacecraft with a flexible rotating payload. Acta Astronaut. 2022, 199, 401–411. [Google Scholar] [CrossRef]
- da Fonseca, I.M.; Rade, D.A.; Goes, L.C.S.; de Paula Sales, T. Attitude and vibration control of a satellite containing flexible solar arrays by using reaction wheels, and piezoelectric transducers as sensors and actuators. Acta Astronaut. 2017, 139, 357–366. [Google Scholar] [CrossRef]
- Meirovitch, L.; Lim, S. Maneuvering and control of flexible space robots. J. Guid. Control Dyn. 1994, 17, 520–528. [Google Scholar] [CrossRef]
- Ovchinnikov, M.Y.; Tkachev, S.S.; Shestopyorov, A.I. Algorithms of Stabilization of a Spacecraft with Flexible Elements. J. Comput. Syst. Sci. Int. 2019, 58, 474–490. [Google Scholar] [CrossRef]
- Bang, H.; Ha, C.-K.; Hyoung Kim, J. Flexible spacecraft attitude maneuver by application of sliding mode control. Acta Astronaut. 2005, 57, 841–850. [Google Scholar] [CrossRef]
- Yu, Y.; Meng, X.; Li, K.; Xiong, F. Robust Control of Flexible Spacecraft During Large-Angle Attitude Maneuver. J. Guid. Control Dyn. 2014, 37, 1027–1033. [Google Scholar] [CrossRef]
- Cao, L.; Xiao, B.; Golestani, M. Robust fixed-time attitude stabilization control of flexible spacecraft with actuator uncertainty. Nonlinear Dyn. 2020, 100, 2505–2519. [Google Scholar] [CrossRef]
- Xiao, B.; Hu, Q.; Zhang, Y. Adaptive Sliding Mode Fault Tolerant Attitude Tracking Control for Flexible Spacecraft under Actuator Saturation. IEEE Trans. Control Syst. Technol. 2012, 20, 1605–1612. [Google Scholar] [CrossRef]
- Shahravi, M.; Azimi, M. Attitude and Vibration Control of Flexible Spacecraft Using Singular Perturbation Approach. ISRN Aerosp. Eng. 2014, 2014, 163870. [Google Scholar] [CrossRef]
- Azadi, M.; Eghtesad, M.; Fazelzadeh, S.A.; Azadi, E. Dynamics and control of a smart flexible satellite moving in an orbit. Multibody Syst. Dyn. 2015, 35, 1–23. [Google Scholar] [CrossRef]
- Zhang, L.; Xu, S.; Zhang, Z.; Cui, N. Active vibration suppression for flexible satellites using a novel component synthesis method. Adv. Space Res. 2021, 67, 1968–1980. [Google Scholar] [CrossRef]
- Tayyeb Taher, M.; Esmaeilzadeh, S.M. Model predictive control of attitude maneuver of a geostationary flexible satellite based on genetic algorithm. Adv. Space Res. 2017, 60, 57–64. [Google Scholar] [CrossRef]
- Tao, J.; Zhang, T.; Liu, Q. Novel finite-time adaptive neural control of flexible spacecraft with actuator constraints and prescribed attitude tracking performance. Acta Astronaut. 2021, 179, 646–658. [Google Scholar] [CrossRef]
- Yao, Q.; Jahanshahi, H.; Moroz, I.; Alotaibi, N.D.; Bekiros, S. Neural Adaptive Fixed-Time Attitude Stabilization and Vibration Suppression of Flexible Spacecraft. Mathematics 2022, 10, 1667. [Google Scholar] [CrossRef]
- Sendi, C. Attitude Control of a Flexible Spacecraft via Fuzzy Optimal Variance Technique. Mathematics 2022, 10, 179. [Google Scholar] [CrossRef]
- Rouzegar, H.; Khosravi, A.; Sarhadi, P. Vibration suppression and attitude control for the formation flight of flexible satellites by optimally tuned on-off state-dependent Riccati equation approach. Trans. Inst. Meas. Control 2020, 42, 2984–3001. [Google Scholar] [CrossRef]
- Fakoor, M.; Nikpay, S.; Kalhor, A. On the ability of sliding mode and LQR controllers optimized with PSO in attitude control of a flexible 4-DOF satellite with time-varying payload. Adv. Space Res. 2021, 67, 334–349. [Google Scholar] [CrossRef]
- Spiller, D.; Melton, R.G.; Curti, F. Inverse dynamics particle swarm optimization applied to constrained minimum-time maneuvers using reaction wheels. Aerosp. Sci. Technol. 2018, 75, 1–12. [Google Scholar] [CrossRef]
- Angeletti, F.; Gasbarri, P.; Sabatini, M. Optimal design and robust analysis of a net of active devices for micro-vibration control of an on-orbit large space antenna. Acta Astronaut. 2019, 164, 241–253. [Google Scholar] [CrossRef]
- Sabatini, M.; Palmerini, G.B.; Gasbarri, P. Synergetic approach in attitude control of very flexible satellites by means of thrusters and PZT devices. Aerosp. Sci. Technol. 2020, 96, 105541. [Google Scholar] [CrossRef]
- Angeletti, F.; Tortorici, D.; Laurenzi, S.; Gasbarri, P. Vibration Control of Innovative Lightweight Thermoplastic Composite Material via Smart Actuators for Aerospace Applications. Appl. Sci. 2023, 13, 9715. [Google Scholar] [CrossRef]
- Song, G.; Agrawal, B.N. Vibration suppression of flexible spacecraft during attitude control. Acta Astronaut. 2001, 49, 73–83. [Google Scholar] [CrossRef]
- Posani, M.; Pontani, M.; Gasbarri, P. Nonlinear Slewing Control of a Large Flexible Spacecraft Using Reaction Wheels. Aerospace 2022, 9, 244. [Google Scholar] [CrossRef]
- Ivanov, D.S.; Meus, S.V.; Ovchinnikov, A.V.; Ovchinnikov, M.Y.; Shestakov, S.A.; Yakimov, E.N. Methods for the vibration determination and parameter identification of spacecraft with flexible structures. J. Comput. Syst. Sci. Int. 2017, 56, 311–327. [Google Scholar] [CrossRef]
- Ghani, M.; Assadian, N.; Varatharajoo, R. Attitude and deformation coupled estimation of flexible satellite using low-cost sensors. Adv. Space Res. 2022, 69, 677–689. [Google Scholar] [CrossRef]
- Santini, P.; Gasbarri, P. General background and approach to multibody dynamics for space applications. Acta Astronaut. 2009, 64, 1224–1251. [Google Scholar] [CrossRef]
- Meirovitch, L.; Quinn, R.D. Equations of Motion for Maneuvering Flexible Spacecraft. J. Guid. Control 1987, 10, 453–465. [Google Scholar] [CrossRef]
- Ovchinnikov, M.Y.; Tkachev, S.S.; Roldugin, D.S.; Nuralieva, A.B.; Mashtakov, Y.V. Angular motion equations for a satellite with hinged flexible solar panel. Acta Astronaut. 2016, 128, 534–539. [Google Scholar] [CrossRef]
- Sanyal, A.; Fosbury, A.; Chaturvedi, N.; Bernstein, D.S. Inertia-Free Spacecraft Attitude Tracking with Disturbance Rejection and Almost Global Stabilization. J. Guid. Control Dyn. 2009, 32, 1167–1178. [Google Scholar] [CrossRef]
- Gasbarri, P.; Monti, R.; Sabatini, M. Very large space structures: Non-linear control and robustness to structural uncertainties. Acta Astronaut. 2014, 93, 252–265. [Google Scholar] [CrossRef]
- Thomas, R.K.; Levinson, D.A. Formulation of Equations of Motion for Complex Spacecraft. J. Guid. Control 1980, 3, 99–112. [Google Scholar]
- Banerjee, A.K. Contributions of Multibody Dynamics to Space Flight: A Brief Review. J. Guid. Control Dyn. 2003, 26, 385–394. [Google Scholar] [CrossRef]
- Lanczos, C. The Variational Principles of Mechanics, 4th ed.; Dover Publications: New York, NY, USA, 1986; 464p. [Google Scholar]
- Santini, P.; Gasbarri, P. Dynamics of multibody systems in space environment; Lagrangian vs. Eulerian approach. Acta Astronaut. 2003, 54, 1–24. [Google Scholar] [CrossRef]
- Meirovitch, L.; Baruh, H. Robustness of the independent modal-space control method. J. Guid. Control Dyn. 1983, 6, 20–25. [Google Scholar] [CrossRef]
- Kwakernaak, H.; Sivan, R. Linear Optimal Control Systems; Wiley-Interscience: New York, NY, USA, 1972; ISBN 0471511102. [Google Scholar]
- Barbashin, E.A. Introduction to the Theory of Stability; Wolters-Noordhoff: Groningen, The Netherlands, 1970. [Google Scholar]
- Boyd, S.; Vandenberghe, L. Convex Optimization; Cambridge Univercity Press: Cambridge, UK, 2004; 716p. [Google Scholar]
- Wie, B. Space Vehicle Dynamics and Control, 2nd ed.; American Institute of Aeronautics and Astronautics Inc.: Blacksburg, VA, USA, 2008; 950p. [Google Scholar]
- Balakrishnan, V.; Boyd, S.; Balemi, S. Branch and bound algorithm for computing the minimum stability degree of parameter-dependent linear systems. Int. J. Robust Nonlinear Control 1991, 1, 295–317. [Google Scholar] [CrossRef]
- Boyd, S.; El Ghaoui, L.; Feron, E.; Balakrishnan, V. Linear Matrix Inequalities in System and Control Theory; SIAM: Philadelphia, PA, USA, 1994; 193p. [Google Scholar]
- Kennedy, J.; Eberhart, R. Particle swarm optimization. In Proceedings of the ICNN’95—International Conference on Neural Networks, Perth, WA, Australia, 27 November–1 December 1995; IEEE: New York, NY, USA, 1995; Volume 4, pp. 1942–1948. [Google Scholar]
- Simon, D. Evolutionary Optimization Algorithms; Wiley: Hoboken, NJ, USA, 2013; 742p. [Google Scholar]
- Vallado, D.A. (Ed.) Fundamentals of Astrodynamics and Applications, 2nd ed.; Microcosm, Inc.: El Segundo, CA, USA, 2001; 958p, ISBN 1881883124. [Google Scholar]
- Schaub, H.; Junkins, J.L. Analytical Mechanics of Space Systems (AIAA Education), 3rd ed.; American Institute of Aeronautics and Astronautics, Inc.: Reston, VA, USA, 2014; 853p. [Google Scholar]








| D | ||
| and | ||
| 200 | ||
| 500 | ||
| 0.9, 0.4 | ||
| 2.05, 0 | ||
| 2.05, 0 | ||
| 0.001 | ||
| 0.005 | ||
| , | 3500 |
| , | |
| , | |
| , | |
| , | 130 |
| , | |
| , | |
| , | 310 |
| , | |
| , |
Disclaimer/Publisher’s Note: The statements, opinions and data contained in all publications are solely those of the individual author(s) and contributor(s) and not of MDPI and/or the editor(s). MDPI and/or the editor(s) disclaim responsibility for any injury to people or property resulting from any ideas, methods, instructions or products referred to in the content. |
© 2023 by the authors. Licensee MDPI, Basel, Switzerland. This article is an open access article distributed under the terms and conditions of the Creative Commons Attribution (CC BY) license (https://creativecommons.org/licenses/by/4.0/).
Share and Cite
Tkachev, S.; Shestoperov, A.; Okhitina, A.; Nuralieva, A. Attitude Stabilization of a Satellite with Large Flexible Elements Using On-Board Actuators Only. Mathematics 2023, 11, 4928. https://doi.org/10.3390/math11244928
Tkachev S, Shestoperov A, Okhitina A, Nuralieva A. Attitude Stabilization of a Satellite with Large Flexible Elements Using On-Board Actuators Only. Mathematics. 2023; 11(24):4928. https://doi.org/10.3390/math11244928
Chicago/Turabian StyleTkachev, Stepan, Alexey Shestoperov, Anna Okhitina, and Anna Nuralieva. 2023. "Attitude Stabilization of a Satellite with Large Flexible Elements Using On-Board Actuators Only" Mathematics 11, no. 24: 4928. https://doi.org/10.3390/math11244928
APA StyleTkachev, S., Shestoperov, A., Okhitina, A., & Nuralieva, A. (2023). Attitude Stabilization of a Satellite with Large Flexible Elements Using On-Board Actuators Only. Mathematics, 11(24), 4928. https://doi.org/10.3390/math11244928

