Random Walks-Based Node Centralities to Attack Complex Networks
Abstract
:1. Introduction
2. Methods
2.1. Basic Notions
2.2. Synthetic Networks
- ER: classical Erdös–Rényi (ER) random graph [31]. In the ER model, each edge has a fixed probability of being present or absent, independent of the other edges. The ER graph is defined by two parameters only: the number of nodes, ; and the probability of drawn links, . We indicate the of the (number of nodes) and (probability of links) between each pair of vertices. We investigate ER network with and .
- LTC: rectangular (or square) lattice (LTC) complex network. A lattice graph is called a mesh or grid graph in graph theory. The LTC is a specific lattice graph where nodes form a grid with square meshes. The LTC can be defined by two parameters, and , indicating the number of nodes along each side. We simulate two networks by choosing and [32].
2.3. Real-World Complex Networks
- Air Control: This network was constructed from the USA’s FAA (Federal Aviation Administration) National Flight Data Center (NFDC), Preferred Routes Database (Preferred Routes Database: http://www.fly.faa.gov/ accessed on 29 October 2023). The nodes in this network represent airports or service centers, and the links are created from strings of preferred routes recommended by the NFDC [36].
- Arenas Email: email communications among people working within a medium-sized university (i.e., Universitat Rovira i Virgily, Spain) with about employees [25]. The nodes are employees, and the links describe the emailing among them.
- Barcelona Flow: models the traffic flow in Barcelona (Spain). The nodes represent intersections among roads, and the links represent roads [36].
- UK Faculty: personal friendship network within a faculty at a university in the UK. This network comprises 81 vertices representing individuals and edges representing their friendship relations [37].
- Netscience: a co-authorship network focusing on scientists involved in network science. The network represents collaborations among these scientists [29]. The nodes are scientists, and the links depict the co-authorship in scientific papers.
- Beijing 2nd: represents the second ring road of Beijing City, China’s capital. The nodes and links represent road intersections and roads, respectively [38].
- Beijing 3rd: represents the third ring road of Beijing City, China’s capital. The nodes and links represent road intersections and roads, respectively [38].
- Beijing 4th: represents the fourth ring road of Beijing City, China’s capital. The nodes and links represent road intersections and roads, respectively [38].
- Beijing 5th: represents the fifth ring road of Beijing City, China’s capital. The nodes and links represent road intersections and roads, respectively [38].
- Euroroad: a topological representation of international European roads in which the nodes represent intersections among roads, and the links represent roads [39].
- Little Rock Food Web: a model of trophic interactions among species of the Little Rock Lake ecosystem in Wisconsin. In this ecological network, the nodes represent living species, and the links represent the transfer of nutrients between them [40].
- Olocene Food Web: The Olocene Food Web ecological network is the basis of the 48 million years-old uppermost early Eocene Messel Shale food web. The nodes are biological species, and the links represent trophic relationships among them [41].
- San Francisco Reduced: represents a reduced version of the San Francisco road network [36] (Real Datasets for Spatial Databases, https://users.cs.utah.edu/~lifeifei/SpatialDataset.htm accessed on 29 October 2023) that was obtained by applying a simple spatial-partitioning algorithm, resulting in a smaller, computationally affordable graph for the scope of this work.
- Road Minnesota: the road map of Minnesota (US) [42]. The nodes represent intersections among roads, and the links represent roads.
- San Joaquin County: California (US) city road map [36] (Real Datasets for Spatial Databases, https://users.cs.utah.edu/~lifeifei/SpatialDataset.htm accessed on 29 October 2023). The nodes are the intersections among roads, and the links represent roads.
2.4. Network Structural Indicators
2.5. Node Removal Strategies
2.6. Betweenness Centrality
2.7. Closeness Centrality
2.8. Degree Centrality
2.9. K-Shell Centrality
2.10. Random Walk-Based Strategies
2.11. Recurrence Number
2.12. Stop Node
2.13. Cover Time
2.14. Stop Distance
| Algorithm 1: Methodology of the RW analysis. |
| : |
| rec_number[start_node] 1 |
| cov_time 1 |
| while ∃ x ∊ V | rec_num[x] == 0 do |
| u randomly chose a neighbor of v |
| rec_num[u] rec_num[u] + 1 |
| stop_node u |
| cov_time cov_time + 1 |
| v u |
| end while |
| stop_distance d(start_node, stop_node) |
2.15. Network Robustness Indicator
2.15.1. Largest Connected Component
2.15.2. Robustness
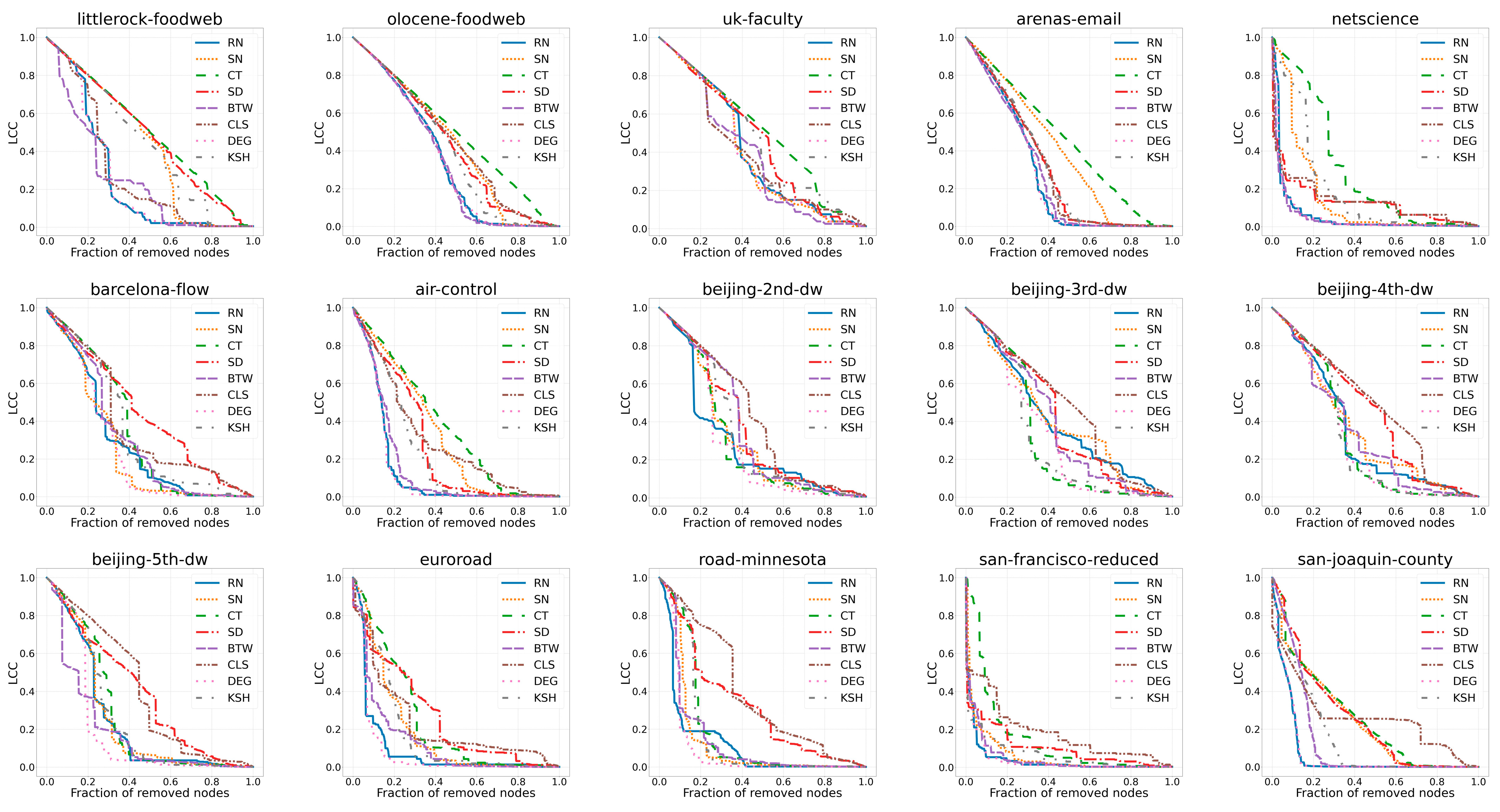
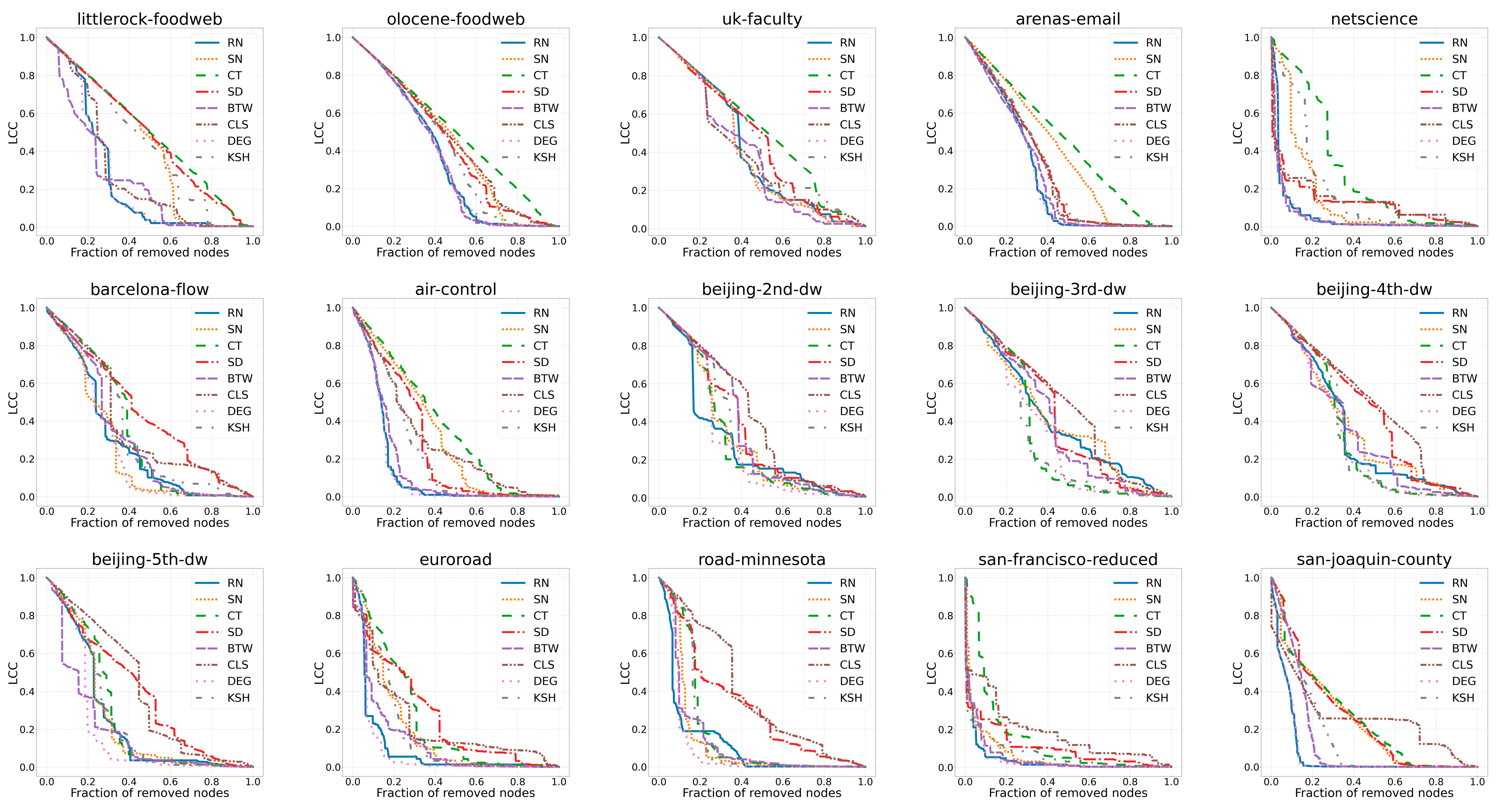
3. Results and Discussion
4. Conclusions
Author Contributions
Funding
Data Availability Statement
Acknowledgments
Conflicts of Interest
Appendix A




References
- Cohen, R.; Havlin, S. Complex Networks: Structure, Robustness and Function; Cambridge University Press: Cambridge, UK, 2010. [Google Scholar]
- Cohen, R.; Erez, K.; Ben-Avraham, D.; Havlin, S. Resilience of the Internet to Random Breakdowns. Phys. Rev. Lett. 2000, 85, 4626. [Google Scholar] [CrossRef]
- Morone, F.; Makse, H.A. Influence Maximization in Complex Networks through Optimal Percolation. Nature 2015, 524, 65–68. [Google Scholar] [CrossRef]
- Callaway, D.S.; Newman, M.E.J.; Strogatz, S.H.; Watts, D.J. Network Robustness and Fragility: Percolation on Random Graphs. Phys. Rev. Lett. 2000, 85, 5468. [Google Scholar] [CrossRef]
- Bellingeri, M.; Cassi, D.; Vincenzi, S. Efficiency of Attack Strategies on Complex Model and Real-World Networks. Phys. A Stat. Mech. Its Appl. 2014, 414, 174–180. [Google Scholar] [CrossRef]
- Huang, X.; Gao, J.; Buldyrev, S.V.; Havlin, S.; Stanley, H.E. Robustness of Interdependent Networks under Targeted Attack. Phys. Rev. E 2011, 83, 65101. [Google Scholar] [CrossRef]
- Nie, T.; Guo, Z.; Zhao, K.; Lu, Z.-M. New Attack Strategies for Complex Networks. Phys. A Stat. Mech. Its Appl. 2015, 424, 248–253. [Google Scholar] [CrossRef]
- Pagani, A.; Mosquera, G.; Alturki, A.; Johnson, S.; Jarvis, S.; Wilson, A.; Guo, W.; Varga, L. Resilience or Robustness: Identifying Topological Vulnerabilities in Rail Networks. R. Soc. Open Sci. 2019, 6, 181301. [Google Scholar] [CrossRef]
- Cohen, R.; Erez, K.; Ben-Avraham, D.; Havlin, S. Breakdown of the Internet under Intentional Attack. Phys. Rev. Lett. 2001, 86, 3682. [Google Scholar] [CrossRef]
- Bassett, D.S.; Bullmore, E.D. Small-World Brain Networks. Neuroscientist 2006, 12, 512–523. [Google Scholar] [CrossRef]
- Bullmore, E.; Sporns, O. Complex Brain Networks: Graph Theoretical Analysis of Structural and Functional Systems. Nat. Rev. Neurosci. 2009, 10, 186–198. [Google Scholar] [CrossRef]
- Borgatti, S.P.; Mehra, A.; Brass, D.J.; Labianca, G. Network Analysis in the Social Sciences. Science 2009, 323, 892–895. [Google Scholar] [CrossRef]
- Boldi, P.; Rosa, M.; Vigna, S. Robustness of Social and Web Graphs to Node Removal. Soc. Netw. Anal. Min. 2013, 3, 829–842. [Google Scholar] [CrossRef]
- Sartori, F.; Turchetto, M.; Bellingeri, M.; Scotognella, F.; Alfieri, R.; Nguyen, N.-K.-K.; Le, T.-T.; Nguyen, Q.; Cassi, D. A Comparison of Node Vaccination Strategies to Halt SIR Epidemic Spreading in Real-World Complex Networks. Sci. Rep. 2022, 12, 21355. [Google Scholar] [CrossRef]
- Nguyen, N.-K.-K.; Nguyen, T.-T.; Nguyen, T.-A.; Sartori, F.; Turchetto, M.; Scotognella, F.; Alfieri, R.; Cassi, D.; Nguyen, Q.; Bellingeri, M. Effective Node Vaccination and Containing Strategies to Halt SIR Epidemic Spreading in Real-World Face-to-Face Contact Networks. In Proceedings of the 2022 RIVF International Conference on Computing and Communication Technologies (RIVF), Ho Chi Minh City, Vietnam, 20–22 December 2022; pp. 1–6. [Google Scholar]
- Bellingeri, M.; Turchetto, M.; Bevacqua, D.; Scotognella, F.; Alfieri, R.; Nguyen, Q.; Cassi, D. Modeling the Consequences of Social Distancing over Epidemics Spreading in Complex Social Networks: From Link Removal Analysis to SARS-CoV-2 Prevention. Front. Phys. 2021, 9, 681343. [Google Scholar] [CrossRef]
- Wandelt, S.; Sun, X.; Feng, D.; Zanin, M.; Havlin, S. A Comparative Analysis of Approaches to Network-Dismantling. Sci. Rep. 2018, 8, 13513. [Google Scholar] [CrossRef]
- Iyer, S.; Killingback, T.; Sundaram, B.; Wang, Z. Attack Robustness and Centrality of Complex Networks. PLoS ONE 2013, 8, e59613. [Google Scholar] [CrossRef]
- Bessy, S.; Bonato, A.; Janssen, J.; Rautenbach, D.; Roshanbin, E. Burning a Graph Is Hard. Discret. Appl. Math. 2017, 232, 73–87. [Google Scholar] [CrossRef]
- García-Díaz, J.; Rodríguez-Henríquez, L.M.X.; Pérez-Sansalvador, J.C.; Pomares-Hernández, S.E. Graph Burning: Mathematical Formulations and Optimal Solutions. Mathematics 2022, 10, 2777. [Google Scholar] [CrossRef]
- Hartnell, B.; Rall, D.F. A Characterization of Graphs in Which Some Minimum Dominating Set Covers All the Edges. Czechoslov. Math. J. 1995, 45, 221–230. [Google Scholar] [CrossRef]
- Gutiérrez-De-La-Paz, B.R.; García-Díaz, J.; Menchaca-Méndez, R.; Montenegro-Meza, M.A.; Menchaca-Méndez, R.; Gutiérrez-De-La-Paz, O.A. The Moving Firefighter Problem. Mathematics 2022, 11, 179. [Google Scholar] [CrossRef]
- Burioni, R.; Cassi, D. Random Walks on Graphs: Ideas, Techniques and Results. J. Phys. A Math. Gen. 2005, 38, R45. [Google Scholar] [CrossRef]
- Masuda, N.; Porter, M.A.; Lambiotte, R. Random Walks and Diffusion on Networks. Phys. Rep. 2017, 716–717, 1–58. [Google Scholar] [CrossRef]
- Guimer, R.; Danon, L.; Diaz-Guilera, A.; Giralt, F.; Arenas, A. Self-Similar Community Structure in a Network of Human Interactions. Phys. Rev. E 2003, 68, 65103. [Google Scholar] [CrossRef] [PubMed]
- Agliari, E. Exact Mean First-Passage Time on the T-Graph. Phys. Rev. E 2008, 77, 11128. [Google Scholar] [CrossRef] [PubMed]
- Noh, J.D.; Rieger, H. Random Walks on Complex Networks. Phys. Rev. Lett. 2004, 92, 118701. [Google Scholar] [CrossRef]
- Rocha, L.E.C.; Masuda, N. Random Walk Centrality for Temporal Networks. New J. Phys. 2014, 16, 63023. [Google Scholar] [CrossRef]
- Newman, M.E.J. Analysis of Weighted Networks. Phys. Rev. E 2004, 70, 56131. [Google Scholar] [CrossRef] [PubMed]
- Cordella, L.P.; Foggia, P.; Sansone, C.; Vento, M. A (Sub)Graph Isomorphism Algorithm for Matching Large Graphs. IEEE Trans. Pattern Anal. Mach. Intell. 2004, 26, 1367–1372. [Google Scholar] [CrossRef]
- Erdös, P.; Rényi, A. On Random Graph I. Publ. Math. 1959, 6, 290–297. [Google Scholar] [CrossRef]
- Acharya, B.D.; Gill, M.K. On the Index of Gracefulness of a Graph and the Gracefulness of Two-Dimensional Square Lattice Graphs. Indian J. Math. 1981, 23, 14. [Google Scholar]
- Cormen, T.; Leiserson, C.; Rivest, R.; Stein, C. Introduction to Algorithms; MIT Press: Cambridge, MA, USA, 2009. [Google Scholar]
- Van Steen, M. Graph Theory and Complex Networks: An Introduction; 2010; Volume 144. [Google Scholar]
- Chen, G.; Wang, X.; Li, X. Fundamentals of Complex Networks: Models, Structures and Dynamics; John Wiley & Sons: Hoboken, NJ, USA, 2014; Volume 96. [Google Scholar]
- Kunegis, J. Konect: The Koblenz Network Collection. In Proceedings of the 22nd International Conference on World Wide Web, Rio de Janeiro, Brazil, 13–17 May 2013; pp. 1343–1350. [Google Scholar]
- Nepusz, T.; Petróczi, A.; Négyessy, L.; Bazsó, F. Fuzzy Communities and the Concept of Bridgeness in Complex Networks. Phys. Rev. E 2008, 77, 16107. [Google Scholar] [CrossRef]
- Guo, X.-L.; Lu, Z.-M. Urban Road Network and Taxi Network Modeling Based on Complex Network Theory. J. Inf. Hiding Multim. Signal Process. 2016, 7, 558–568. [Google Scholar]
- Šubelj, L.; Bajec, M. Robust Network Community Detection Using Balanced Propagation. Eur. Phys. J. B 2011, 81, 353–362. [Google Scholar] [CrossRef]
- Martinez, N.D. Artifacts or Attributes? Effects of Resolution on the Little Rock Lake Food Web. Ecol. Monogr. 1991, 61, 367–392. [Google Scholar] [CrossRef]
- Dunne, J.A.; Labandeira, C.C.; Williams, R.J. Highly Resolved Early Eocene Food Webs Show Development of Modern Trophic Structure after the End-Cretaceous Extinction. Proc. R. Soc. B Biol. Sci. 2014, 281, 20133280. [Google Scholar] [CrossRef]
- Rossi, R.A.; Ahmed, N.K. The Network Data Repository with Interactive Graph Analytics and Visualization. In Proceedings of the Twenty-Ninth AAAI Conference on Artificial Intelligence, Austin, TX, USA, 25–30 January 2015. [Google Scholar]
- Bellingeri, M.; Montepietra, D.; Cassi, D.; Scotognella, F. The Robustness of the Photosynthetic System I Energy Transfer Complex Network to Targeted Node Attack and Random Node Failure. J. Complex Netw. 2021, 10, cnab050. [Google Scholar] [CrossRef]
- Boccaletti, S.; Latora, V.; Moreno, Y.; Chavez, M.; Hwang, D.-U. Complex Networks: Structure and Dynamics. Phys. Rep. 2006, 424, 175–308. [Google Scholar] [CrossRef]
- Gleeson, J.P.; Melnik, S.; Hackett, A. How Clustering Affects the Bond Percolation Threshold in Complex Networks. Phys. Rev. E 2010, 81, 66114. [Google Scholar] [CrossRef]
- Dunne, J.A.; Williams, R.J.; Martinez, N.D. Network Structure and Biodiversity Loss in Food Webs: Robustness Increases with Connectance. Ecol. Lett. 2002, 5, 558–567. [Google Scholar] [CrossRef]
- Bellingeri, M.; Vincenzi, S. Robustness of Empirical Food Webs with Varying Consumer’s Sensitivities to Loss of Resources. J. Theor. Biol. 2013, 333, 18–26. [Google Scholar] [CrossRef]
- Nguyen, Q.; Pham, H.-D.; Cassi, D.; Bellingeri, M. Conditional Attack Strategy for Real-World Complex Networks. Phys. A Stat. Mech. Its Appl. 2019, 530, 121561. [Google Scholar] [CrossRef]
- Albert, R.; Barabási, A.-L. Statistical Mechanics of Complex Networks. Rev. Mod. Phys. 2002, 74, 47. [Google Scholar] [CrossRef]
- Tiago, P. Peixoto Graph-Tool, Efficient Network Analysis. Available online: https://Graph-Tool.Skewed.De/ (accessed on 29 October 2023).
- Siek, J.G.; Lee, L.-Q.; Lumsdaine, A. The Boost Graph Library: User Guide and Reference Manual; Addison-Wesley Professional: Boston, MA, USA, 2001. [Google Scholar]
- Freeman, L.C. A Set of Measures of Centrality Based on Betweenness. Sociometry 1977, 40, 35–41. [Google Scholar] [CrossRef]
- Marchiori, M.; Latora, V. Harmony in the Small-World. Phys. A Stat. Mech. Its Appl. 2000, 285, 539–546. [Google Scholar] [CrossRef]
- Carmi, S.; Havlin, S.; Kirkpatrick, S.; Shavitt, Y.; Shir, E. A Model of Internet Topology Using K-Shell Decomposition. Proc. Natl. Acad. Sci. USA 2007, 104, 11150–11154. [Google Scholar] [CrossRef] [PubMed]
- Batagelj, V.; Zaveršnik, M. Fast Algorithms for Determining (Generalized) Core Groups in Social Networks. Adv. Data Anal. Classif. 2011, 5, 129–145. [Google Scholar] [CrossRef]
- Campari, R.; Cassi, D. Random Collisions on Branched Networks: How Simultaneous Diffusion Prevents Encounters in Inhomogeneous Structures. Phys. Rev. E 2012, 86, 21110. [Google Scholar] [CrossRef]
- Xia, F.; Liu, J.; Nie, H.; Fu, Y.; Wan, L.; Kong, X. Random Walks: A Review of Algorithms and Applications. IEEE Trans. Emerg. Top. Comput. Intell. 2019, 4, 95–107. [Google Scholar] [CrossRef]
- Lovász, L. Random Walks on Graphs. In Combinatorics, Paul Erdos Is Eighty; János Bolyai Mathematical Society: Budapest, Hungary, 1993; Volume 2, p. 4. [Google Scholar]
- Bellingeri, M.; Bevacqua, D.; Scotognella, F.; Cassi, D. The Heterogeneity in Link Weights May Decrease the Robustness of Real-World Complex Weighted Networks. Sci. Rep. 2019, 9, 10692. [Google Scholar] [CrossRef]
- Zhang, Y.; Ng, S.T. Identification and Quantification of Node Criticality through EWM–TOPSIS: A Study of Hong Kong’s MTR System. Urban Rail Transit 2021, 7, 226–239. [Google Scholar] [CrossRef]
- Schneider, C.M.; Moreira, A.A.; Andrade, J.S., Jr.; Havlin, S.; Herrmann, H.J. Mitigation of Malicious Attacks on Networks. Proc. Natl. Acad. Sci. USA 2011, 108, 3838–3841. [Google Scholar] [CrossRef] [PubMed]
- Levin, D.A.; Peres, Y. Markov Chains and Mixing Times; American Mathematical Society: Providence, RI, USA, 2017; Volume 107. [Google Scholar]
- Kitsak, M.; Gallos, L.K.; Havlin, S.; Liljeros, F.; Muchnik, L.; Stanley, H.E.; Makse, H.A. Identification of Influential Spreaders in Complex Networks. Nat. Phys. 2010, 6, 888–893. [Google Scholar] [CrossRef]







| Network | |||||||
|---|---|---|---|---|---|---|---|
| Air Control | 1226 | 2410 | 17 | 3.931 | 5.924 | 0.064 | 0.003 |
| Arenas Email | 1133 | 5451 | 8 | 9.622 | 3.603 | 0.166 | 0.009 |
| Barcelona Flow | 930 | 1798 | 27 | 3.867 | 12.721 | 0.084 | 0.004 |
| Beijing 2nd | 144 | 233 | 19 | 3.236 | 7.813 | 0.011 | 0.023 |
| Beijing 3rd | 322 | 544 | 27 | 3.379 | 11.030 | 0.018 | 0.011 |
| Beijing 4th | 547 | 926 | 33 | 3.386 | 13.904 | 0.019 | 0.006 |
| Beijing 5th | 815 | 1308 | 48 | 3.210 | 17.246 | 0.024 | 0.004 |
| Euroroad | 1039 | 1305 | 62 | 2.512 | 18.377 | 0.035 | 0.002 |
| Little Rock Food Web | 183 | 2452 | 4 | 26.798 | 2.135 | 0.332 | 0.147 |
| Netscience | 379 | 914 | 17 | 4.823 | 6.026 | 0.431 | 0.013 |
| Olocene Food Web | 700 | 6425 | 6 | 18.357 | 2.629 | 0.074 | 0.026 |
| Road Minnesota | 2641 | 3303 | 100 | 2.501 | 35.349 | 0.028 | 0.001 |
| San Francisco Reduced | 435 | 440 | 41 | 2.023 | 17.461 | 0.000 | 0.005 |
| San Joaquin County | 7087 | 9793 | 50 | 2.764 | 13.939 | 0.000 | 0.000 |
| UK Faculty | 81 | 577 | 4 | 14.247 | 2.072 | 0.473 | 0.178 |
| LTC (20,5) | 100 | 175 | 23 | 3.500 | 8.250 | 0.000 | 0.035 |
| LTC (20,20) | 400 | 760 | 38 | 3.800 | 13.300 | 0.000 | 0.010 |
| BBT | 100 | 99 | 12 | 1.980 | 7.654 | 0.000 | 0.020 |
| ER (N = 80, p = 0.15) | 80.0 | 474.52 | 3.1 | 11.863 | 1.969 | 0.148 | 0.150 |
| LCC | (network’s) largest connected component |
| |V| | number of nodes in the network |
| |E| | number of links in the network |
| Diam | diameter of the network |
| average node degree | |
| average length of shortest path among all node pairs | |
| CC | clustering coefficient, i.e., number of closed triples |
| ρ | network density, i.e., fraction of realized links in the network among all possible links |
| R | robustness of the network |
| inverse of the network robustness | |
| average inverse robustness, , among all networks | |
| RN | recurrence number |
| CT | cover time |
| SN | stop node |
| SD | stop distance |
| BTW | betweenness centrality |
| CLS | closeness centrality |
| KSH | k-shell centrality |
| DEG | degree centrality |
Disclaimer/Publisher’s Note: The statements, opinions and data contained in all publications are solely those of the individual author(s) and contributor(s) and not of MDPI and/or the editor(s). MDPI and/or the editor(s) disclaim responsibility for any injury to people or property resulting from any ideas, methods, instructions or products referred to in the content. |
© 2023 by the authors. Licensee MDPI, Basel, Switzerland. This article is an open access article distributed under the terms and conditions of the Creative Commons Attribution (CC BY) license (https://creativecommons.org/licenses/by/4.0/).
Share and Cite
Turchetto, M.; Bellingeri, M.; Alfieri, R.; Nguyen, N.-K.-K.; Nguyen, Q.; Cassi, D. Random Walks-Based Node Centralities to Attack Complex Networks. Mathematics 2023, 11, 4827. https://doi.org/10.3390/math11234827
Turchetto M, Bellingeri M, Alfieri R, Nguyen N-K-K, Nguyen Q, Cassi D. Random Walks-Based Node Centralities to Attack Complex Networks. Mathematics. 2023; 11(23):4827. https://doi.org/10.3390/math11234827
Chicago/Turabian StyleTurchetto, Massimiliano, Michele Bellingeri, Roberto Alfieri, Ngoc-Kim-Khanh Nguyen, Quang Nguyen, and Davide Cassi. 2023. "Random Walks-Based Node Centralities to Attack Complex Networks" Mathematics 11, no. 23: 4827. https://doi.org/10.3390/math11234827
APA StyleTurchetto, M., Bellingeri, M., Alfieri, R., Nguyen, N.-K.-K., Nguyen, Q., & Cassi, D. (2023). Random Walks-Based Node Centralities to Attack Complex Networks. Mathematics, 11(23), 4827. https://doi.org/10.3390/math11234827

