Numerical Modeling of Elastic Wave Propagation in Porous Soils with Vertically Inhomogeneous Fluid Contents Due to Infiltration
Abstract
:1. Introduction
2. Mathematical Models
2.1. Elastic Waves in a Layered Poroelastic Soil
2.2. Mathematical Model of Water Infiltration into Porous Soil
2.3. Numerical Solution of Richards’ Equation
2.3.1. Atmospheric BC
2.3.2. Free Drainage BC
3. Simulation of Wave Propagation in Functionally Graded Poroelastic Media
3.1. Wavefield Representation in a Homogeneous Poroelastic Layer
3.2. ES-Matrix Method for a Layered and Functionally Graded Poroelastic Structure
4. Results
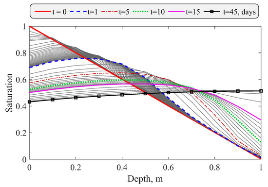
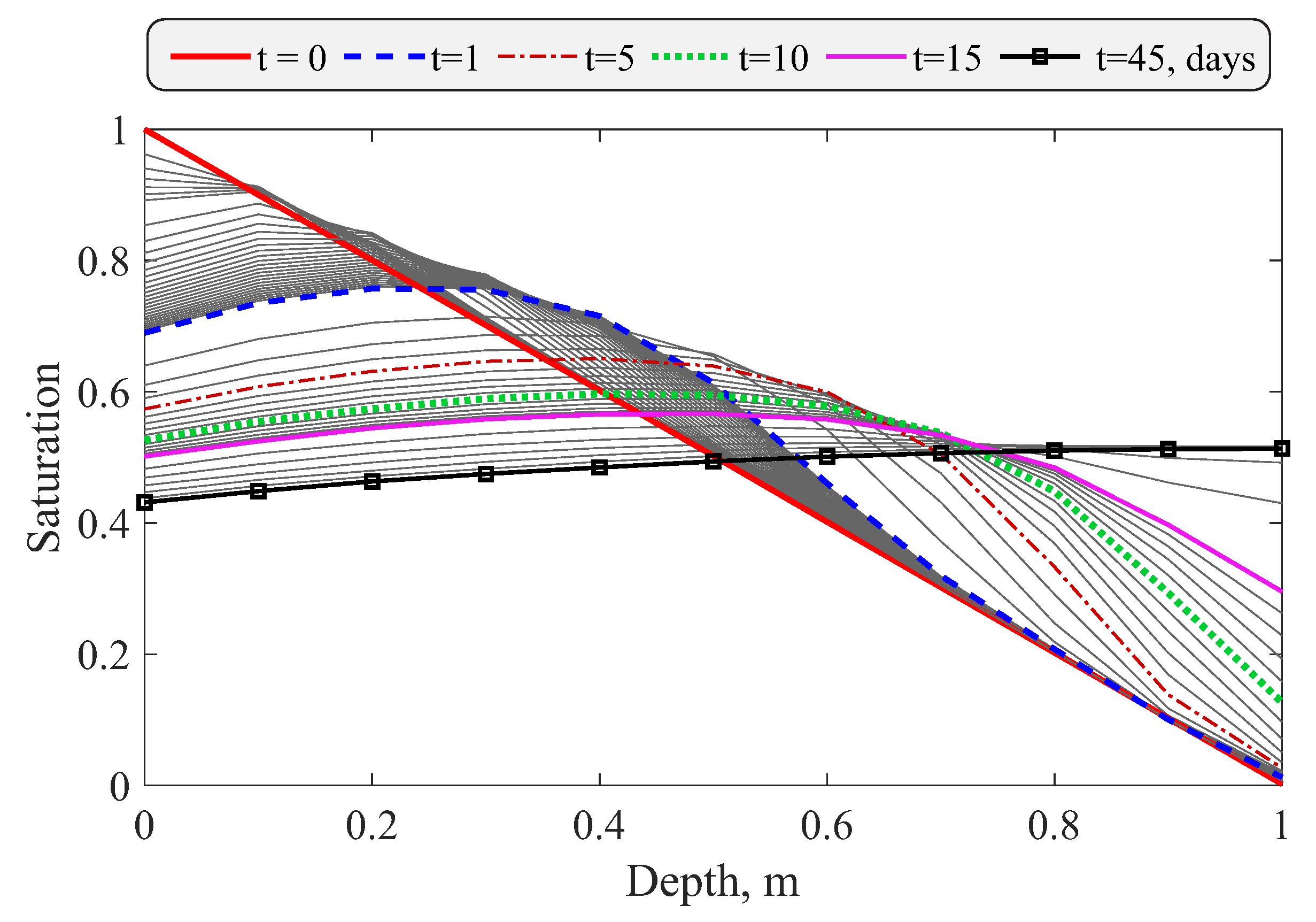
4.1. Infiltration in Loam
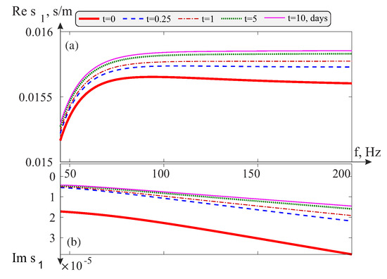
4.2. Validation. Influence of Water Saturation on Surface Waves
5. Discussion
Author Contributions
Funding
Acknowledgments
Conflicts of Interest
References
- Glushkov, E.V.; Glushkova, N.V.; Evdokimov, A.A. Hybrid numerical-analytical scheme for calculating elastic wave diffraction in locally inhomogeneous waveguides. Acoust. Phys. 2018, 64, 1–9. [Google Scholar] [CrossRef]
- Cheng, H.; Liu, Y.; Liang, D. Analyzing 3D Helmholtz equations by using the hybrid complex variable element-free Galerkin method. Int. J. Comput. Mater. Sci. Eng. 2023, 12, 2350005. [Google Scholar] [CrossRef]
- Golub, M.; Fomenko, S.; Shpak, A.; Gu, Y.; Wang, Y.; Zhang, C. Semi-analytical hybrid approach for modeling guided wave-based SHM system for a laminate with multiple delaminations and surface-mounted inhomogeneities. Appl. Math. Model. 2023, 120, 812–832. [Google Scholar] [CrossRef]
- Lo, W.C.; Sposito, G.; Majer, E. Wave propagation through elastic porous media containing two immiscible fluids. Water Resour. Res. 2005, 41, W02025. [Google Scholar] [CrossRef]
- Ben Neriah, A.; Assouline, S.; Shavit, U.; Weisbrod, N. Impact of ambient conditions on evaporation from porous media. Water Resour. Res. 2014, 50, 6696–6712. [Google Scholar] [CrossRef]
- Teng, J.; Zhang, X.; Zhang, S.; Zhao, C.; Sheng, D. An analytical model for evaporation from unsaturated soil. Comput. Geotech. 2019, 108, 107–116. [Google Scholar] [CrossRef]
- Henderson-Sellers, A. Soil moisture: A critical focus for global change studies. Glob. Planet. Chang. 1996, 13, 3–9. [Google Scholar] [CrossRef]
- Vereecken, H.; Kasteel, R.; Vanderborght, J.; Harter, T. Upscaling hydraulic properties and soil water flow processes in heterogeneous soils: A review. Vadose Zone J. 2007, 6, 1–28. [Google Scholar] [CrossRef]
- Van Genuchten, M.T. A closed-form equation for predicting the hydraulic conductivity of unsaturated soils. Soil Sci. Soc. Am. J. 1980, 44, 892–898. [Google Scholar] [CrossRef]
- Spiridonov, D.; Vasilyeva, M.; Chung, E.T.; Efendiev, Y.; Jana, R. Multiscale model reduction of the unsaturated flow problem in heterogeneous porous media with rough surface topography. Mathematics 2020, 8, 904. [Google Scholar] [CrossRef]
- Šimůnek, J.; Van Genuchten, M.T.; Šejna, M. The HYDRUS software package for simulating two- and three-dimensional movement of water, heat, and multiple solutes in variably-saturated porous media. Tech. Man. Version 2018, 3, 274. [Google Scholar]
- Zhao, M.L. Finite Element Numerical Simulation of Two-Dimensional Unsaturated Soil Water Movement Problems. Appl. Mech. Mater. 2011, 71, 2933–2938. [Google Scholar] [CrossRef]
- Scharnagl, B.; Vrugt, J.; Vereecken, H.; Herbst, M. Bayesian inverse modeling of in situ soil water dynamics: Using prior information about the soil hydraulic properties. Hydrol. Earth Syst. Sci. Discuss. 2011, 8, 2019–2063. [Google Scholar]
- Vrugt, J.A.; Gupta, H.V.; Bouten, W.; Sorooshian, S. A Shuffled Complex Evolution Metropolis algorithm for optimization and uncertainty assessment of hydrologic model parameters. Water Resour. Res. 2003, 39, 1201. [Google Scholar] [CrossRef]
- Yang, Y.; Mei, G. A Deep Learning-Based Approach for a Numerical Investigation of Soil–Water Vertical Infiltration with Physics-Informed Neural Networks. Mathematics 2022, 10, 2945. [Google Scholar] [CrossRef]
- Jana, R.B.; Mohanty, B.P.; Springer, E.P. Multiscale Bayesian neural networks for soil water content estimation. Water Resour. Res. 2008, 44, W08408. [Google Scholar] [CrossRef]
- Hu, W.; Liu, G.; Zhang, X. A pore-scale model for simulating water flow in unsaturated soil. Microfluid. Nanofluid. 2018, 22, 71. [Google Scholar] [CrossRef]
- Novák, V.; Hlaváčiková, H.; Novák, V.; Hlaváčiková, H. Modelling of water flow and solute transport in soil. Appl. Soil Hydrol. 2019, 32, 319–337. [Google Scholar] [CrossRef]
- Wang, T.; Stewart, C.E.; Ma, J.; Zheng, J.; Zhang, X. Applicability of five models to simulate water infiltration into soil with added biochar. J. Arid. Land 2017, 9, 701–711. [Google Scholar] [CrossRef]
- Zou, C.; Zhang, S.; Jiang, X.; Chen, F. Monitoring and characterization of water infiltration in soil unsaturated zone through an integrated geophysical approach. Catena 2023, 230, 107243. [Google Scholar] [CrossRef]
- Biot, M.A. Theory of propagation of elastic waves in a fluid-saturated porous solid. I. Low-frequency range. II. Higher frequency range. J. Acoust. Soc. Am. 1956, 28, 168–191. [Google Scholar] [CrossRef]
- Frenkel, J. On the theory of seismic and seismoelectric phenomena in a moist soil. J. Eng. Mech. 2005, 131, 879–887. [Google Scholar] [CrossRef]
- Pride, S.R.; Gangi, A.F.; Morgan, F.D. Deriving the equations of motion for porous isotropic media. J. Acoust. Soc. Am. 1992, 92, 3278–3290. [Google Scholar] [CrossRef]
- Dell’Isola, F.; Igumnov, L.; Litvinchuk, S.Y.; Ipatov, A.; Petrov, A.; Modin, I. Surface waves in dissipative poroviscoelastic layered half space: Boundary element analyses. In Dynamical Processes in Generalized Continua and Structures; Springer: Berlin/Heidelberg, Germany, 2019; pp. 305–319. [Google Scholar]
- Huang, L.; Liu, Z.; Wu, C.; Liang, J.; Pei, Q. A three-dimensional indirect boundary integral equation method for the scattering of seismic waves in a poroelastic layered half-space. Eng. Anal. Bound. Elem. 2022, 135, 167–181. [Google Scholar] [CrossRef]
- Li, X.; Thomas, H.; Fan, Y. Finite element method and constitutive modeling and computation for unsaturated soils. Comput. Methods Appl. Mech. Eng. 1999, 169, 135–159. [Google Scholar] [CrossRef]
- Zhao, C.; Li, W.; Wang, J. An explicit finite element method for Biot dynamic formulation in fluid-saturated porous media and its application to a rigid foundation. J. Sound Vib. 2005, 282, 1169–1181. [Google Scholar] [CrossRef]
- Song, J.; Xu, C.; Feng, C.; Wang, F. An Explicit Finite Element Method for Saturated Soil Dynamic Problems and Its Application to Seismic Liquefaction Analysis. Appl. Sci. 2022, 12, 4586. [Google Scholar] [CrossRef]
- Zhan, W.; Zhuang, M.; Liu, Q.Q.; Shi, L.; Sun, Y.; Liu, Q.H. Frequency domain spectral element method for modeling poroelastic waves in 3-D anisotropic, heterogeneous and attenuative porous media. Geophys. J. Int. 2021, 227, 1339–1353. [Google Scholar] [CrossRef]
- Vershinin, A. Poroelastoplastic modeling of a borehole stability under small and finite strains using isoparametric spectral element method. In Continuum Mechanics and Thermodynamics; Springer: Berlin/Heidelberg, Germany, 2022; pp. 1–18. [Google Scholar]
- Khoei, A.; Moallemi, S.; Haghighat, E. Thermo-hydro-mechanical modeling of impermeable discontinuity in saturated porous media with X-FEM technique. Eng. Fract. Mech. 2012, 96, 701–723. [Google Scholar] [CrossRef]
- Wu, W.; Yang, Y.; Zheng, H. Hydro-mechanical simulation of the saturated and semi-saturated porous soil–rock mixtures using the numerical manifold method. Comput. Methods Appl. Mech. Eng. 2020, 370, 113238. [Google Scholar] [CrossRef]
- Monforte, L.; Carbonell, J.M.; Arroyo, M.; Gens, A. Performance of mixed formulations for the particle finite element method in soil mechanics problems. Comput. Part. Mech. 2017, 4, 269–284. [Google Scholar] [CrossRef]
- Jin, Y.F.; Yin, Z.Y. Two-phase PFEM with stable nodal integration for large deformation hydromechanical coupled geotechnical problems. Comput. Methods Appl. Mech. Eng. 2022, 392, 114660. [Google Scholar] [CrossRef]
- Karim, M.; Nogami, T.; Wang, J. Analysis of transient response of saturated porous elastic soil under cyclic loading using element-free Galerkin method. Int. J. Solids Struct. 2002, 39, 6011–6033. [Google Scholar] [CrossRef]
- Soares, D., Jr. Iterative dynamic analysis of linear and nonlinear fully saturated porous media considering edge-based smoothed meshfree techniques. Comput. Methods Appl. Mech. Eng. 2013, 253, 73–88. [Google Scholar] [CrossRef]
- Deresiewicz, H.; Levy, A. The effect of boundaries on wave propagation in a liquid-filled porous solid: X. Transmission through a stratified medium. Bull. Seismol. Soc. Am. 1967, 57, 381–391. [Google Scholar] [CrossRef]
- Parra, J.O.; Xu, P.C. Dispersion and attenuation of acoustic guided waves in layered fluid-filled porous media. J. Acoust. Soc. Am. 1994, 95, 91–98. [Google Scholar] [CrossRef]
- Gorodetska, N. Wave Reflection from the free boundary of porous-elastic liquid-saturated half-space. Int. J. Fluid Mech. Res. 2005, 32, 327–339. [Google Scholar] [CrossRef]
- Yan, S.G.; Xie, F.L.; Li, C.Z.; Zhang, B.X. Dispersion function of Rayleigh waves in porous layered half-space system. Appl. Geophys. 2016, 13, 333–342. [Google Scholar] [CrossRef]
- Glushkov, E.; Glushkova, N.; Fomenko, S. Influence of porosity on characteristics of rayleigh-type waves in multilayered half-space. Acoust. Phys. 2011, 57, 230–240. [Google Scholar] [CrossRef]
- Kolesnikov, V.; Suvorova, T.; Belyak, O. Modeling antifriction properties of composite based on dynamic contact problem for a heterogeneous foundation. Mater. Phys. Mech. 2020, 46, 139–148. [Google Scholar]
- Teymouri, H.; Khojasteh, A.; Rahimian, M.; Pak, R.Y. Wave motion in multi-layered transversely isotropic porous media by the method of potential functions. Math. Mech. Solids 2020, 25, 547–572. [Google Scholar] [CrossRef]
- Shokrollahi, M.; Eskandari-Ghadi, M.; Khaji, N. A unified approach for stress wave propagation in transversely isotropic elastic and poroelastic layered media. Soil Dyn. Earthq. Eng. 2022, 157, 107152. [Google Scholar] [CrossRef]
- Dudarev, V.V.; Mnukhin, R.M.; Vatulyan, A.O.; Nedin, R.D.; Gusakov, D.V. On the determination of the Biot modulus of poroelastic cylinder. ZAMM J. Appl. Math. Mech. Z. Angew. Math. Mech. 2019, 99, e201800137. [Google Scholar] [CrossRef]
- Manna, S.; Anjali, T. Rayleigh type wave dispersion in an incompressible functionally graded orthotropic half-space loaded by a thin fluid-saturated aeolotropic porous layer. Appl. Math. Model. 2020, 83, 590–613. [Google Scholar] [CrossRef]
- Manna, S.; Pramanik, D.; Althobaiti, S. Love-type surface wave propagation due to interior impulsive point source in a homogeneous-coated anisotropic poroelastic layer over a non-homogeneous extended substance. In Waves in Random and Complex Media; Taylor & Francis: Abingdon, UK, 2022; pp. 1–37. [Google Scholar]
- Pradhan, N.; Saha, S.; Samal, S.K.; Pramanik, S. Nonlocal analysis of Rayleigh-type wave propagating in a gradient layered structure. Eur. Phys. J. Plus 2023, 138, 410. [Google Scholar] [CrossRef]
- Glushkov, Y.V.; Glushkova, N.V.; Yeremin, A.A.; Mikhas’kiv, V.V. The layered element method in the dynamic theory of elasticity. J. Appl. Math. Mech. 2009, 73, 449–456. [Google Scholar] [CrossRef]
- Ba, Z.; Zhang, E.; Liang, J.; Lu, Y.; Wu, M. Two-dimensional scattering of plane waves by irregularities in a multi-layered transversely isotropic saturated half-space. Eng. Anal. Bound. Elem. 2020, 118, 169–187. [Google Scholar] [CrossRef]
- Fomenko, S.I.; Golub, M.V.; Doroshenko, O.V.; Wang, Y.; Zhang, C. An advanced boundary integral equation method for wave propagation analysis in a layered piezoelectric phononic crystal with a crack or an electrode. J. Comput. Phys. 2021, 447, 110669. [Google Scholar] [CrossRef]
- Chen, Y.; Uchimura, T.; Irfan, M.; Huang, D.; Xie, J. Detection of water infiltration and deformation of unsaturated soils by elastic wave velocity. Landslides 2017, 14, 1715–1730. [Google Scholar] [CrossRef]
- Chen, Y.; Irfan, M.; Uchimura, T. Estimation of elastic wave velocity through unsaturated soil slope as function of water content and shear deformation. Soils Found. 2019, 59, 2180–2194. [Google Scholar] [CrossRef]
- Solazzi, S.G.; Bodet, L.; Holliger, K.; Jougnot, D. Surface-Wave Dispersion in Partially Saturated Soils: The Role of Capillary Forces. J. Geophys. Res. Solid Earth 2021, 126, e2021JB022074. [Google Scholar] [CrossRef]
- Deng, T.; Hellwig, O.; Hlousek, F.; Kern, D.; Buske, S.; Nagel, T. Numerical modeling of seismic wave propagation in loosely deposited partially saturated sands: An application to a mine dump monitoring case. Environ. Earth Sci. 2023, 82, 200. [Google Scholar] [CrossRef]
- Glushkov, E.V.; Glushkova, N.V.; Fomenko, S.I.; Zhang, C. Surface waves in materials with functionally gradient coatings. Acoust. Phys. 2012, 58, 339–353. [Google Scholar] [CrossRef]
- Teja, A.; Rice, P. Generalized corresponding states method for the viscosities of liquid mixtures. Ind. Eng. Chem. Fundam. 1981, 20, 77–81. [Google Scholar] [CrossRef]
- Sveshnikov, A.G. The limit absorption principle for a waveguide. Dokl. Akad. Nauk USSR 1951, 80, 345–347. (In Russian) [Google Scholar]
- Šimůnek, J.; Van Genuchten, M.T.; Šejna, M. Recent developments and applications of the HYDRUS computer software packages. Vadose Zone J. 2016, 15. [Google Scholar] [CrossRef]
- Babeshko, V.A.; Glushkov, E.V.; Zinchenko, J.F. Dynamics of Inhomogeneous Linear-Elastic Media; Nauka: Moscow, Russia, 1989. (In Russian) [Google Scholar]
- Glushkov, E.V.; Glushkova, N.V. On the efficient implementation of the integral equation method in elastodynamics. J. Comput. Acoust. 2001, 9, 889–898. [Google Scholar] [CrossRef]
- Lo, W.C.; Yeh, C.L.; Jan, C.D. Effect of soil texture and excitation frequency on the propagation and attenuation of acoustic waves at saturated conditions. J. Hydrol. 2008, 357, 270–281. [Google Scholar] [CrossRef]
- Umov, N.A. The Equations of Motion of the Energy in Bodies; State Publishers of Technical-Theoretical Literature (GITTL): Moscow, Russia, 1950. (In Russian) [Google Scholar]
- Glushkov, E.; Glushkova, N.; Fomenko, S. Wave energy transfer in elastic half-spaces with soft interlayers. J. Acoust. Soc. Am. 2015, 137, 1802–1812. [Google Scholar] [CrossRef]
- Gravenkamp, H.; Plestenjak, B.; Kiefer, D.A. Notes on osculations and mode tracing in semi-analytical waveguide modeling. Ultrasonics 2023, 135, 107112. [Google Scholar] [CrossRef]
- Irfan, M.; Uchimura, T. Development and Performance Evaluation of Disk-Type Piezoelectric Transducer for Measurement of Shear and Compression Wave Velocities in Soil. J. Earthq. Eng. 2018, 22, 147–171. [Google Scholar] [CrossRef]
- Lu, L.; Charron, E.; Glushkov, E.; Glushkova, N.; Bonello, B.; Julien, F.H.; Gogneau, N.; Tchernycheva, M.; Boyko, O. Probing elastic properties of nanowire-based structures. Appl. Phys. Lett. 2018, 113, 161903. [Google Scholar] [CrossRef]
- Golub, M.V.; Doroshenko, O.V.; Arsenov, M.; Bareiko, I.; Eremin, A.A. Identification of material properties of elastic plate using guided waves based on the matrix pencil method and laser Doppler vibrometry. Symmetry 2022, 14, 1077. [Google Scholar] [CrossRef]
- Delory, A.; Lemoult, F.; Eddi, A.; Prada, C. Guided elastic waves in a highly-stretched soft plate. Extrem. Mech. Lett. 2023, 61, 102018. [Google Scholar] [CrossRef]
- Lo, W.C.; Lee, J.W. Effect of water content and soil texture on consolidation in unsaturated soils. Adv. Water Resour. 2015, 82, 51–69. [Google Scholar] [CrossRef]
- Barak, M.; Kumar, M.; Kumari, M.; Singh, A. Inhomogeneous wave propagation in partially saturated soils. Wave Motion 2020, 93, 102470. [Google Scholar] [CrossRef]






| Material | ||||||||||
|---|---|---|---|---|---|---|---|---|---|---|
| kg/m | GPa | MPa | kg/m | MPa | MPa | m | N s/m | |||
| water-saturated loam | 2650 | 35 | 997 | 100 | ||||||
| air-saturated loam | 2650 | 35 | 18 | |||||||
| water-saturated sand | 2650 | 35 | 997 | 100 | ||||||
| bedrock | 2600 | 15,600 | 0 | – | – | – | – | – | – |
Disclaimer/Publisher’s Note: The statements, opinions and data contained in all publications are solely those of the individual author(s) and contributor(s) and not of MDPI and/or the editor(s). MDPI and/or the editor(s) disclaim responsibility for any injury to people or property resulting from any ideas, methods, instructions or products referred to in the content. |
© 2023 by the authors. Licensee MDPI, Basel, Switzerland. This article is an open access article distributed under the terms and conditions of the Creative Commons Attribution (CC BY) license (https://creativecommons.org/licenses/by/4.0/).
Share and Cite
Fomenko, S.I.; Jana, R.B.; Golub, M.V. Numerical Modeling of Elastic Wave Propagation in Porous Soils with Vertically Inhomogeneous Fluid Contents Due to Infiltration. Mathematics 2023, 11, 4131. https://doi.org/10.3390/math11194131
Fomenko SI, Jana RB, Golub MV. Numerical Modeling of Elastic Wave Propagation in Porous Soils with Vertically Inhomogeneous Fluid Contents Due to Infiltration. Mathematics. 2023; 11(19):4131. https://doi.org/10.3390/math11194131
Chicago/Turabian StyleFomenko, Sergey I., Raghavendra B. Jana, and Mikhail V. Golub. 2023. "Numerical Modeling of Elastic Wave Propagation in Porous Soils with Vertically Inhomogeneous Fluid Contents Due to Infiltration" Mathematics 11, no. 19: 4131. https://doi.org/10.3390/math11194131
APA StyleFomenko, S. I., Jana, R. B., & Golub, M. V. (2023). Numerical Modeling of Elastic Wave Propagation in Porous Soils with Vertically Inhomogeneous Fluid Contents Due to Infiltration. Mathematics, 11(19), 4131. https://doi.org/10.3390/math11194131

