Next Article in Journal
Wave Propagation and Stability Analysis for Ostrovsky and Symmetric Regularized Long-Wave Equations
Next Article in Special Issue
Proactive Coordination of Traffic Guidance and Signal Control for a Divergent Network
Previous Article in Journal
An Extension of Strict Almost Contractions Employing Control Function and Binary Relation with Applications to Boundary Value Problems
Previous Article in Special Issue
A Study on Cognitive Error Validation for LED In-Ground Traffic Lights Using a Digital Twin and Virtual Environment
 
 
Font Type:
Arial Georgia Verdana
Font Size:
Aa Aa Aa
Line Spacing:
Column Width:
Background:
Article

A Min-Plus Algebra System Theory for Traffic Networks

Cosys-Grettia, University Gustave Eiffel, F-77454 Marne-la-Vallée, France
Mathematics 2023, 11(19), 4028; https://doi.org/10.3390/math11194028
Submission received: 30 August 2023 / Revised: 19 September 2023 / Accepted: 21 September 2023 / Published: 22 September 2023
(This article belongs to the Special Issue Advanced Methods in Intelligent Transportation Systems)

Abstract

In this article, we introduce a comprehensive system theory based on the min-plus algebra of 2 × 2 matrices of functions. This novel approach enables the algebraic construction of traffic networks and the analytical derivation of performance bounds for such networks. We use the term “traffic networks” or “congestion networks” to refer to networks where high densities of transported particles lead to flow drops, as commonly observed in road networks. Initially, we present a model for a segment or section of a link within the network and demonstrate that the dynamics can be expressed linearly within the min-plus algebra. Subsequently, we formulate the linear system using the min-plus algebra of 2 × 2 matrices of functions. By deriving the impulse response of the system, we establish its interpretation as a service guarantee, considering the traffic system as a server. Furthermore, we define a concatenation operator that allows for the combination of two segment systems, demonstrating that multiple segments can be algebraically linked to form a larger network. We also introduce a feedback operator within this system theory, enabling the modeling of closed systems. Lastly, we extend this theoretical framework to encompass two-dimensional systems, where nodes within the network are also taken into account in addition to the links. We present a model for a controlled node and provide insights into other potential two-dimensional models, along with directions for further extensions and research.

1. Introduction and Literature Review

Networks play a crucial role in facilitating the transportation of both physical particles and information, encompassing various types, such as road networks, communication networks, and electrical networks. However, these networks are susceptible to capacity drops, disturbances, disruptions, and congestion. These issues lead to delays in the movement of transported units, which can be classified into two categories: primary delays, which are the original delays, and secondary delays, which are delays caused by the initial ones. Furthermore, if the disturbances, disruptions, congestion, and resulting delays are not efficiently and promptly addressed, they can propagate throughout the network and often become magnified. This amplification of issues can give rise to significant economic and social costs.
To gain insights into the dynamics of traffic in congested networks, the development of traffic models is crucial. These models serve as the foundation for the development of strategies and techniques for traffic control and management, aimed at enhancing traffic flow and minimizing congestion and delays.
Various approaches are employed for the analysis of traffic in congestion networks, including graph theory, shortest path algorithms, operations research, Petri nets, and linear algebra, among others. In this article, we propose an algebraic modeling approach specifically tailored to congestion networks. This approach enables the algebraic construction of such networks and facilitates the derivation of “service guarantees” for the traffic. By leveraging these service guarantees, we demonstrate how it is possible to establish bounds on travel times within congestion networks using the network calculus theory, as outlined in previous works [1,2].
The introduced approach, proposed for the first time [3], utilizes a min-plus algebra formulation [4] of a first-order road traffic model known as the Lighthill–Whitham–Richards Model [5,6], as well as the cellular transmission traffic model [7] on a network link. Notably, it has been demonstrated that the latter model can be linearly formulated within the min-plus algebra of functions [1,4]. Subsequently, the impulse responses of the min-plus linear systems are interpreted as service curves within the network calculus theory. Leveraging existing results from this theory, an upper bound on travel time through a loop link has been derived; see [3].
Several advantages exist for the use of the algebraic approach that we propose in this article, for traffic systems analysis, over other existing approaches. First, we show in this article that the algebraic approach that we adopt permits the algebraic construction of road networks, which should ease this construction. Second, the min-plus algebra linearity of the elementary traffic systems permits analytic derivations of the responses of these systems, which has been interpreted as the guaranteed services. Then, from this derivation, and by applying the results of the network calculus theory (adapted to the traffic framework presented in this article), our approach permits the derivation of upper bounds for the travel time through a link or an itinerary of the network. We believe that these analytic derivations are important for the comprehension of the traffic physics, and also for the extension of the approach. We notice that existing numerical analysis approaches of the transport system do not necessarily propose such analytic derivations.
In this article, we draw inspiration from the ideas presented in [3], but we take a system theory approach. Indeed, the research gap in this direction is the consideration of 2D traffic systems, i.e., with junctions, which would permit the modeling of whole road networks, instead of only roads and road sections (1D traffic systems). Our approach enables the algebraic construction of large traffic networks using elementary traffic systems and predefined operators. One significant contribution of our work is the derivation of service guarantees for concatenated traffic systems. The concatenation of systems means here the composition of systems in the sense of system theory. It consists of connecting some inputs (respectively, outputs) of each system to the outputs (respectively, inputs) of the other system; please see Section 4.1 for more details. By combining two traffic systems with known service guarantees, we provide a result that allows the calculation of service guarantees for algebraically constructed networks comprising these elementary systems. Furthermore, we introduce a novel operator called the feedback operator. This operator plays a crucial role in our article as it facilitates the creation of closed networks from open ones, adding another layer of flexibility and applicability to our proposed framework.
In line with [3], our article focuses specifically on road networks. We provide an illustrative example that highlights the upper bounding of travel times in an urban road network governed by traffic lights. Among the various approaches for urban traffic control, we delve into the store-and-forward based methods. For instance, in [8], three store-and-forward methods for network-wide traffic signal control are presented, showcasing their efficacy. It is worth noting that signal control strategies can be categorized into two distinct classes: those designed for under-saturated traffic and those tailored to over-saturated traffic scenarios. Notable examples of under-saturated traffic control strategies include SCOOT [9] and SCATS [10], which have been extensively studied and implemented. An early contribution to the store-and-forward modeling of traffic networks can be attributed to Gazis and Potts [11], who introduced a seminal approach in this field. Additionally, another noteworthy under-saturated signal control strategy is Traffic Urban Control (TUC) [12].
An influential work that employs network calculus theory to establish bounds on urban road networks is [13]. In addition to deriving bounds, the authors of this reference also propose urban traffic control strategies that leverage the application of network calculus theory. The study focuses on ensuring guaranteed service for controlled links and phases, as outlined in [13]. The derived bounds encompass key performance metrics such as queue size, vehicle delay, burst size, and busy periods. It is worth noting that [13] make several assumptions in their analysis, including under-saturated traffic conditions where queues clear in every cycle, no head-of-line blocking, and known saturation rates for each phase. In contrast, our approach extends beyond the assumptions of [13] as it can be applied to uninterrupted traffic scenarios. Furthermore, our approach incorporates the more comprehensive modeling of traffic within the links, capturing the presence of backward waves and enhancing the fidelity of the analysis.
In the field of road network travel time estimation, a diverse array of methodologies and strategies have emerged to tackle this complex challenge. In the work presented in [14], a dynamic Bayesian network framework was employed to facilitate the precise estimation and prediction of arterial travel times. This approach harnessed the power of the Cellular Transmission Model to effectively model traffic dynamics. Probability distributions for travel time estimation were derived, and validation was conducted using real-world data from the Changping District of Beijing. On a different front, [15] introduced a deep learning model dedicated to optimizing travel time predictions and exploring potential travel routes. The model’s performance was evaluated against established benchmark datasets such as Q-Traffic, TaxiBJ, and Chengdu. Delving into the intricacies of travel time variability and reliability, [16] proposes a functional principal component analysis-based method for the modeling and depiction of time-varying variability and reliability. In a broader context, [17] takes a comprehensive view by offering a survey of travel time estimation methods that leverage mobile phone network data. This survey delves into existing methodologies, shedding light on the challenges that they encounter due to the unique nature of mobile phone data, their quality, and their inherent complexity.
The models presented in this article are based on several key assumptions. Firstly, we adopt a one-dimensional traffic model, specifically the well-established first-order traffic model known as the Lighthill–Whitham–Richards (LWR) model [5,6]. To numerically simulate this model, we utilize the cellular transmission model [7], which provides an effective scheme representing traffic flow on linear links. Secondly, our approach considers traffic as a single stream, where vehicles follow a first-in-first-out (FIFO) order without the ability to overtake each other. This assumption simplifies the analysis by maintaining a strict order of vehicle movement. For two-dimensional traffic systems, we focus exclusively on controlled intersections of links. The control mechanism employed in our analysis assumes fixed periodic cycles of traffic lights, with the period being predetermined and known. In order to derive upper bounds for travel times along entire paths or itineraries, we treat all the links within a given path as controlled intersections, following the approach described earlier.
This work makes significant contributions in various directions. First and foremost, we introduce an algebraic formulation of the cellular transmission model proposed by Daganzo [7]. Specifically, we demonstrate that this model can be expressed linearly within the min-plus algebra of 2 × 2 matrices of functions. By utilizing this formulation, we achieve a compact and efficient representation that incorporates all relevant parameters, including traffic demand and supply, in a concise matrix format. Another crucial contribution is the integration of our algebraic formulation with the application of network calculus theory to congestion traffic networks. This combination allows for the analysis and evaluation of traffic networks using rigorous mathematical principles. Furthermore, this article presents a novel system theory for congestion traffic networks, wherein large-scale networks can be constructed using elementary traffic systems and algebraic operators. This approach provides a systematic framework for the modeling and analysis of complex traffic networks.
In terms of theoretical contributions, we propose in this article an algebraic formulation of the CTM traffic model, show that the model is linear in the min-plus algebra of 2 × 2 matrices of functions, and derive analytically the impulse response of the linear system. Moreover, we propose adaptations of some existing results (theorems) of the network calculus theory and apply them to the proposed system theory. Finally, we propose two operators for the algebraic construction of 2D traffic systems, and, by this algebraic construction, we analytically derive the service guaranties of the composed systems. In terms of practical applications, our study primarily focuses on road networks. We introduce an algebraic methodology that enables the derivation of upper bounds for travel times across road sections, roads consisting of multiple sections, and entire itineraries. This information holds significant value in estimating travel times and assessing the reliability of travel time predictions.
This article is structured as follows. In Section 2, we provide comprehensive reviews of the min-plus algebra and network calculus theory. Additionally, we offer supplementary insights into the network calculus for multiple-input multiple-output (MIMO) systems. In Section 3, we present the traffic model specifically designed for a segment of a link, along with its algebraic formulation. Within this section, we also derive a guaranteed service for this system, enhancing our understanding of its performance characteristics. Moving forward, Section 4 introduces algebraic operators that facilitate the concatenation of one-dimensional traffic systems, allowing us to analyze and model more complex traffic scenarios. Subsequently, in Section 5, we delve into the treatment of controlled two-dimensional traffic systems, focusing on the derivation of guaranteed services at controlled junctions. This section provides some insights into the behavior of traffic flows in controlled intersections. In Section 6, we treat the calculus of upper bounds on travel times across entire links and paths. This analysis offers practical approaches to estimating travel times and assessing the reliability of these estimates. Finally, we conclude the article by summarizing the key findings and discussing potential future directions and perspectives for our approach.

2. Reviews and Complements

In this section, we provide essential reviews necessary for the development of our proposed model. For the traffic system theory introduced in this article, the signals considered are cumulative traffic flows denoted by capital letters, which are functions of time. A traffic system can be viewed as a system with car inflows (input signals) and car outflows (output signals). This section is structured into three subsections. In Section 2.1, we offer a concise review of the min-plus algebra, which serves as a foundational mathematical framework for our model. This review provides the necessary background for an understanding of the algebraic operations and properties employed in our analysis. Section 2.2 focuses on reviewing the network calculus theory, which constitutes a fundamental component of our proposed approach. This theory provides the fundamental principles and tools for the analysis of performance bounds and service guarantees in network systems. Additionally, in Section 2.3, we provide supplementary insights, formulations, and results related to the network calculus theory. These complements are specifically tailored to our model’s requirements and will be essential for its development and analysis.

2.1. Min-Plus Algebra

We denote by R min : = R { + } , and define a b : = min ( a , b ) and a b : = a + b , a , b R min . Then, the algebraic structure ( R min , , ) is a commutative dioid (idempotent semiring) [4]. The zero element is ε : = + and the identity element is e : = 0 . We have a non-commutative dioid for square matrices in R min , with the zero element ε such that ε i j = ε , i , j , and the identity element e is such that e i i = e , i and e i j = ε , i j .
Let us now denote by F the set of functions f indexed by t N , such that f ( 0 ) 0 and f is increasing in N . Thus, f is non-negative. We endow F with two intern operations: the addition ⊕ (element-wise minimum) and the multiplication ∗ (minimum convolution), defined as ( f g ) ( t ) : = min ( f ( t ) , g ( t ) ) and ( f g ) ( t ) : = min 0 s t ( f ( s ) + g ( t s ) ) . The algebraic structure ( F , , ) is also a dioid; see [1,2,4]. The zero element ε and the identity element e are ε ( t ) : = + , t N , and e ( 0 ) = 0 , e ( t ) = + , t > 0 . For f F , we denote by f k , with k N the power operation with respect to the product ∗: f k = f f k 1 , with f 0 = e . The sub-additive closure on F is then defined: f * = k 0 f k .
Let us now consider the two signals γ p (the gain signal) and δ τ (the time-shift signal) in F .
  • γ p ( 0 ) = p , and γ p ( t ) = + for t > 0 .
  • δ τ ( t ) = 0 , for 0 t T , and δ τ ( t ) = + for t > T .
It is then easy to check the following:
γ p δ τ * ( p / τ ) t ,
γ p 2 δ τ 2 γ p 1 δ τ 1 * p 1 τ 1 t τ 2 p 2 p 1 τ 1 + ,
γ p 2 δ τ 2 γ p 1 δ τ 1 * p 1 τ 1 t + p 2 τ 2 τ 1 p 1 .
We now denote by F 0 the set of functions f F indexed by t N , such that f ( 0 ) = 0 and f is increasing in N . The structure ( F 0 , , ) is also a dioid for which the zero ε and the unity e elements coincide: ε ( 0 ) = e ( 0 ) = 0 , and ε ( t ) = e ( t ) = + , t > 0 .
For the model that we present in this article, in the case of cumulative flows, the functions belong to F , while, in the case of bounding curves, we need to work with functions in F 0 ; see the definition of arrival matrices (Definition 3). The addition (respectively, multiplication) of a signal f F 0 with a signal g F is done in F as we have F 0 F .
Let us now use the notation F n × n for the set of n × n matrices with elements in F . The addition, still denoted by ⊕, is the element-wise minimum, and the product, still denoted by ∗, is defined as follows.
( F G ) i j = 0 k n ( F i k G k j ) .
The zero element, still denoted by ε , is the n × n matrix with an ε on all the entries. The unity element is the n × n matrix with an e on every diagonal entry, and an ε elsewhere. We still have a dioid structure. As above, we denote by F k , for F F n × n and k N , the power operation with respect to the product ∗ on F n × n : F k = F F k 1 , with F 0 = e . Then, the sub-additive closure on F n × n is defined: F * : = k 0 F k .
Theorem 1 
([1,4]). (Linear system with feedback) The greatest subsolution, in the vector of signals Y, of the system Y = f Y U is f * U . If f ( 0 ) > 0 , then f * U is unique. Under the same condition, we have
Y f Y U Y f * U .

2.2. Network Calculus

The network calculus theory provides a framework for the association of arrival and service curves with a given system, treating it as a server. This theory enables the derivation of performance bounds, such as upper bounds on the delay experienced when passing through the system. An arrival curve represents an upper bound on the arrival inflows to the system, while a service curve represents a lower bound on the guaranteed service provided by the system and, consequently, on the departure outflows from the system. In the upcoming discussion, we focus on reviewing these two fundamental concepts of arrival and service curves specifically in the context of one-dimensional systems. In this case, we consider systems with a single arrival inflow and a single departure outflow, which are referred to as single-input single-output (SISO) systems.
We consider a system seen as a server with an arrival cumulative flow U F and a departure cumulative flow Y F .
Definition 1 
([1,2,18,19]).
  • The backlog B ( t ) at time t is defined as B ( t ) : = U ( t ) Y ( t ) , t 0 .
  • The (virtual) delay d ( t ) caused by the server at time t is defined as d ( t ) : = inf { h 0 , Y ( t + h ) U ( t ) } .
  • α F 0 is a maximum arrival curve for U, if U α U .
  • α ̲ F 0 is a minimum arrival curve for U, if
    U ( t ) max 0 s t ( U ( s ) + α ̲ ( t s ) ) .
  • β is a service curve for the server, if Y β U .
Let us now recall the following basic results.
Theorem 2 
([1,2,18,19]). The backlog B, the delay d, and the departure flow Y are bounded as follows.
  • B ( t ) ( α β ) ( 0 ) , t 0 .
  • d ( t ) sup s 0 inf h 0 , β ( s + h ) α ( s ) , t 0 .
  • Y ( α β ) Y ,
where ( f g ) ( t ) : = sup s 0 ( f ( t + s ) g ( s ) ) .
Among the most used signals for the approximation of arrival and service curves, let us cite the two following ones: Λ ( r , s ) ( t ) : = r t + s , t 0 for upper bounding (maximum) arrival curves, and λ ( R , T ) ( t ) : = R ( t T ) + , t 0 for lower bounding service curves, where r , s , R and T are the parameters of these curves.

2.3. Complements (Network Calculus for MIMO Systems)

Now, let us delve into some complementary aspects regarding multiple-input multiple-output (MIMO) systems. In this context, we are concerned with the multidimensional case, where the system receives multiple inflows and produces multiple outflows. To facilitate the discussion, we will utilize specific signals, namely ε , e , γ p , and δ T , as defined in the notation table provided earlier. Consider a MIMO server with n arrival flows, denoted as U i for i = 1 , 2 , , n , and n corresponding departure flows, denoted as Y i for i = 1 , 2 , , n . It is worth noting that the maximum and minimum arrival curves, denoted as α i and α ̲ i , respectively, can be estimated based on the flow U i using the following approach (refer to, for example, [2]):
U i U i α i
U i ̲ U i α i ̲
where ( f ̲ g ) ( t ) : = inf s 0 ( f ( t + s ) g ( s ) ) .
In a system where the service is influenced by multiple arrival flows, it is not enough to only establish upper bounds for each arrival independently. It becomes necessary to also account for the interdependencies among the different arrivals. In the subsequent discussion, we demonstrate how the definition of arrival curves can be extended from the single arrival case to the case of multiple arrivals by incorporating these inherent dependencies. To begin, we introduce a new concept called the “time-shift arrival matrix”, which will play a crucial role in defining an “arrival matrix” later on. The notion of a time-shift arrival matrix allows us to naturally capture and account for the dependencies among the various arrivals.

2.4. Time-Shift Arrival Matrix

For a system with n input and n output flows, we need to estimate a matrix arrival α , which is a matrix of arrival curves such that α i i , 1 i n are nothing but maximum arrival curves for arrival flows U i , 1 i n , while α i j , i j are curves that bound the deviations between each pair of arrival flows ( i , j ) , i j . For i j , the difference with respect to the case i = j is that it is possible to have U i ( t ) U j ( s ) > 0 , even for t < s . Indeed, otherwise, if we assume that U i ( t ) U j ( s ) 0 , t < s , then we obtain U i ( s ) U j ( s ) 0 , s 0 , and similarly U j ( s ) U i ( s ) 0 , s 0 . Therefore, U i ( s ) U j ( s ) = 0 , s 0 . It is trivial that such an assumption is very restrictive. Therefore, if we would like to upper bound U i ( t ) U j ( s ) for all s , t 0 , then we need to work with negative times for the arrival curves. In order to continue working with non-negative times, we back-shift the curves with negative times to zero. To obtain such back-shifted arrival matrices, let us first define what we call here time-shift matrix T (of non-negative entries).
Definition 2 
(Time-shift matrix) The time-shift matrix T R + n × n for arrival flows U i , i = 1 , 2 , , n is defined as follows:
T i j = sup t 0 inf { s 0 , U i ( t + s ) U j ( t ) 0 } , i , j .
It is easy to see that T i i = 0 , i = 1 , 2 , , n .
For two arrival flows U i and U j , if we see U i as an output flow of U j , then T i j can be seen as the maximum delay (see definition of maximum delay). From this remark, an easy way to estimate the matrix T is given by Proposition 1 below.
Proposition 1. 
If α i and α ̲ i are, respectively, the maximum and minimum arrival curves for U i , i = 1 , 2 , , n , and if T is a shift matrix for U i , i = 1 , 2 , , n , then
T i j sup t 0 inf { h 0 , α ̲ i ( t + h ) α j ( t ) 0 } .
Proof. 
Follows directly from the definitions of T , α , and α ̲ . □
In order for an element T i j of the shift matrix T to be finite, we need to guarantee that
lim t U i ( t ) / t lim t U j ( t ) / t .
In terms of road traffic, the average traffic demand needs to be lower than the average traffic supply. Therefore, in order for both entries T i j and T j i of the shift matrix T to be finite, the average flows U i and U j need to be the same, i.e., the two flows need to be comparable on average. Hence, if the traffic demand U i exceeds the traffic supply U j on average, then the backward delay tends to infinity, since the shift T 12 goes to infinity.
Definition 3. 
(Arrival matrix) For a given n × 1 vector U of cumulative arrival flows U i , i = 1 , , n , a matrix α F n × n is said to be a maximum (respectively, minimum) arrival matrix for U if there exists a time-shift matrix T for U i , i = 1 , 2 , , n , such that
i , j = 1 , 2 , , n , s , t N , U i ( t ) U j ( s ) α i j ( T i j + t s ) .
( r e s p . U i ( t ) U j ( s ) α i j ( T i j + t s ) . )
which can also be written as
i , j = 1 , 2 , , n , U i δ T i j ( α i j U j ) .
( r e s p . U i δ T i j ( α i j U j ) ) .
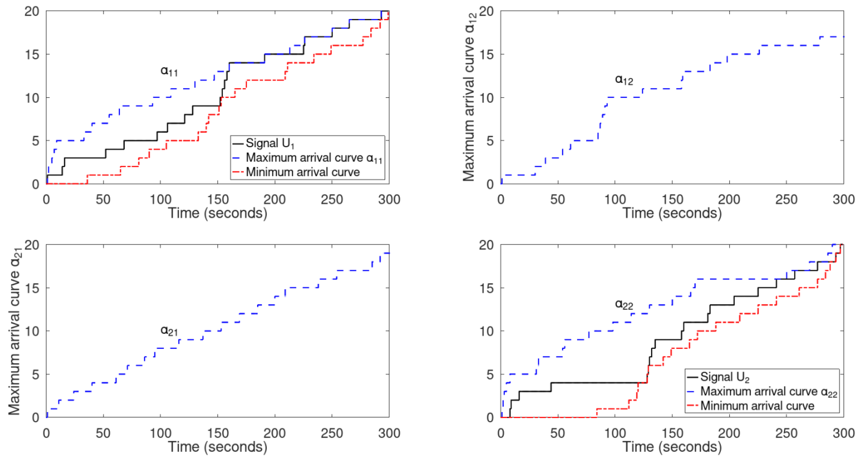
Let us note that Definition 3 is different from Definition 4.2.1 in [1]. Definition 3 is illustrated in Example 1 below; see also Figure 1.
A procedure for the estimation of an arrival matrix for a cumulative inflow vector U, from the data of U themselves, is the following.
1.
Estimate maximum and minimum arrival curves for each arrival flow, individually, by the deconvolution operator.
α i = α i i = U i U i , i . α ̲ i = α ̲ i i = U i ̲ U i , i .
2.
Estimate a shift-time matrix from these curves, by maximum delay calculus, as explained above in Proposition 1.
T i j max t 0 min { s 0 , α ̲ i ( t + s ) α j ( t ) 0 } .
3.
Estimate non-diagonal shift arrival curves, by shift deconvolution. From Definition 3, α i j satisfy
α i j δ T i j ( U i U j ) .
It is easy to check that for i = j , we have T i i = 0 , and then α i i is a one-dimensional arrival curve.
We notice that for long-term calculus, it is better to consider several time periods in which the calculus of arrival curves has sense. The minimum length of such time periods should be in the range of the maximum origin–destination (end-to-end) travel time in the road network.
Example 1. 
In Figure 1, we show the four curves of the arrival matrix for a vector of two signals U 1 and U 2 . These signals are supposed from time zero to time 300. The calculus of these curves is as follows.
  • α 11 = α ¯ 1 = U 1 U 1 .
  • α 22 = α ¯ 2 = U 2 U 2 .
  • T 12 = max t 0 min { s 0 , U 1 ( t + s ) U 2 ( t ) 0 } = 60 .
  • T 21 = max t 0 min { s 0 , U 2 ( t + s ) U 1 ( t ) 0 } = 8 .
  • α 12 = δ T 12 ( U 1 U 2 ) .
  • α 21 = δ T 21 ( U 2 U 1 ) .
Let us proceed with the definition of service for a MIMO server. In this regard, we build upon an established definition of service guarantee in the multidimensional case, which involves multiple input flows and multiple output flows, as provided in [1]. By integrating this definition with the previously presented Definition 3 of arrival curves, we can derive revised upper bounds for virtual delays and other performance metrics. This combined approach allows us to recalculate and refine the performance bounds associated with the system.
Definition 4 
([1]). (Service matrix) For a given server with input vector U and output vector Y, a n × n matrix β is said to be a service matrix for the server, if Y β U .
Definition 5 
([1]). (Virtual delay) For a given server with input vector U and output vector Y, the virtual delay of the last quantity arrived at time t from the ith input to depart from the ith output, denoted d i ( t ) , is defined:
d i ( t ) = inf { d 0 , Y i ( t + d ) U i ( t ) } .
The following result improves Theorem 4.3.6 of [1], which derives upper bounds for the virtual delays through input–output pairs.
Theorem 3. 
For a given server with input vector U and output vector Y, if α is an arrival matrix for U, with a shift-time matrix T, and if β is a service matrix for the server, then i = 1 , 2 , , n , t N ,
d i ( t ) inf { d 0 , α i j ( T i j + s ) β i j ( s + d ) , T i j s t , j } .
and then the virtual delays d i , i = 1 , , n are bounded as follows.
i = 1 , 2 , , n , t N ,
d i ( t ) max 1 j n sup T i j s t inf { d 0 , α i j ( T i j + s ) β i j ( s + d ) } .
or equivalently
d i ( t ) max 1 j n T i j + sup s 0 inf { d 0 , α i j ( s ) β i j ( s + d ) } .
Proof. 
The proof is an adaptation of the proof of Theorem 4.3.6 in [1]. It is given in Appendix A. □
In order to construct the traffic system that corresponds to an entire traffic network, we rely on elementary traffic systems that serve as fundamental building blocks in the composition process. The concatenation and feedback operators proposed in this work draw inspiration from previous studies such as [20], along with related works like [3,21,22,23]. These operators, detailed in Section 4, consist of a concatenation operator and a feedback operator. In the upcoming section (Section 3), we will first introduce the fundamental model for a single segment or section of a road. Subsequently, the composition of one-dimensional traffic systems will be presented in Section 4, while controlled two-dimensional traffic systems will be discussed in Section 5.

3. The Segment Model

In this section, we introduce the primary model employed in our approach. Our model revolves around the formulation of the cellular transmission traffic model [7], which serves as a numerical scheme for the Lighthill–Whitham–Richards first-order traffic model [5,6]. However, we present this formulation within the context of the min-plus algebra of 2 × 2 matrices of functions, denoted as F 2 × 2 . We begin by applying this formulation to an elementary traffic system, namely a road section or segment. The elementary traffic system represents a road segment approximately 300 m in length. For simplicity, we assume a single lane and traffic flow in one direction only. Additionally, we consider the traffic to be homogeneous within this segment. By focusing on this simplified scenario, we lay the foundation for an understanding of the algebraic modeling of more complex traffic networks.
The model presented in this section provides a linear formulation of traffic dynamics on the road section within the min-plus algebra of matrices of functions ( F 2 × 2 ). By deriving the impulse response of the system, we establish a guarantee on the service offered by the traffic system under consideration. This derivation holds significance as it enables us to interpret the results in terms of the network calculus theory. We demonstrate that the network calculus theory is applicable to road traffic networks, specifically for deriving upper bounds on the travel time through a traffic system. Furthermore, this theory offers the potential to derive additional bounds, such as the expected overflow queue. By leveraging the network calculus framework, we gain valuable insights into the performance and behavior of traffic systems, allowing us to make informed assessments and predictions regarding travel times and system reliability.

3.1. The Algebraic Formulation of the Traffic Dynamics

In Figure 2, a road section denoted by i is depicted as a rectangle. The length of this road section is denoted by L, approximately 300 m, as mentioned earlier. Cars enter the road section from the left side as the input flow, traverse through it, and exit from the right side as the output flow. Specifically, the input flows U f w and U b w represent the traffic demand from the upstream section ( i 1 ) to section i and the traffic supply from the downstream section ( i + 1 ) to section i, respectively. These flows are commonly referred to as the sending and receiving flows, as defined in Daganzo [7]. On the other hand, the outputs Y f w and Y b w represent the traffic outflow from section i to the downstream section ( i + 1 ) (also serving as the traffic demand for section ( i + 1 ) ) and the traffic supply from section i to the upstream section ( i 1 ) , respectively. Please refer to Figure 2 for a visual representation of these traffic flows and their directions.
Let us clarify the notations U f w , Y f w , U b w , and Y b w .
  • U f w ( t ) : cumulative forward inflow of cars from time zero to time t.
  • Y f w ( t ) : cumulative forward outflow of cars from time zero to time t.
  • U b w ( t ) : cumulative backward supply of section ( i + 1 ) from time zero to time t.
  • Y b w ( t ) : cumulative backward supply of section i from time zero to time t.
We make the assumption that there are initially n cars present on the road section at time zero, and the cars follow a first in first out (FIFO) rule as they pass through the road section. This assumption implies that either the road has only one lane or that the lanes are undifferentiated, and overtaking is not allowed. Furthermore, we assume that the maximum number of cars that can be on the road section simultaneously is denoted as n max . Let n ¯ = n max n represent the additional number of cars that the road section can accommodate at time zero. In other words, n ¯ represents the available free spaces in the section at the start. For the sake of simplicity and without loss of generality, we assume that all cumulative flows are initially set to zero (it is sufficient for our purposes that U f w ( 0 ) = Y f w ( 0 ) and U b w ( 0 ) = Y b w ( 0 ) ). This simplification allows us to present the concepts more easily while maintaining general applicability.
U f w ( 0 ) = Y f w ( 0 ) = U b w ( 0 ) = Y b w ( 0 ) = 0 .
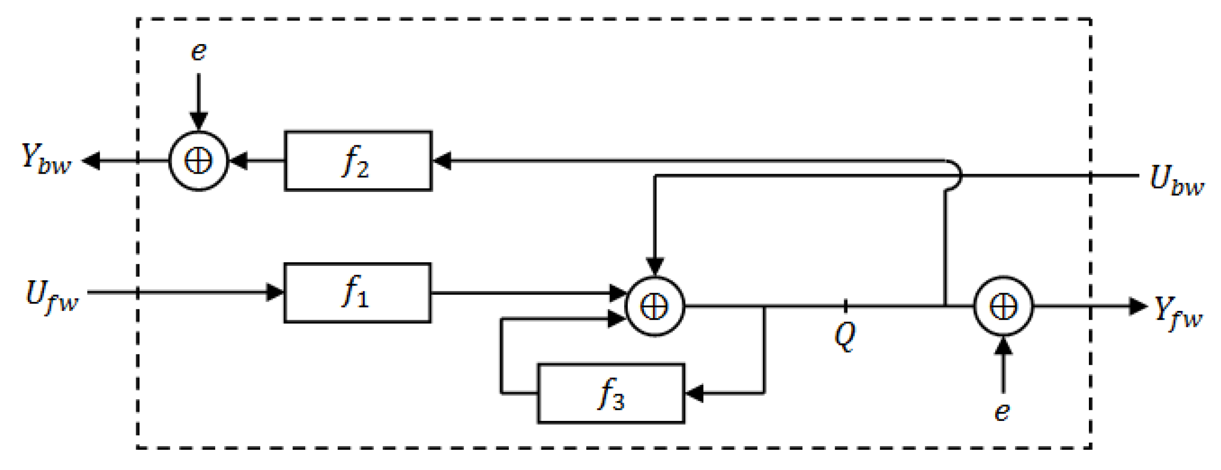
Let us proceed to formulate the traffic dynamics on the road section. Similar to the approach presented in [3], we adopt the cell transmission model [7] with a trapezoidal fundamental diagram, as depicted in Figure 3. In this context, we denote the free flow speed, road section capacity (maximum flow), and backward wave speed as v, q max , and w, respectively. The dynamics of the system can be described as in Equations (7)–(9), with the introduction of an intermediate variable Q, which represents the cumulative forward outflow: Q = Y f w . This intermediate variable allows us to track the cumulative flow of vehicles exiting the road section in the forward direction.
Q ( t ) = min U f w t L / v + n , ( a ) Q t L / v + q m a x L / v , ( b ) U b w ( t ) ( c ) ,
Y f w ( t ) = Q ( t ) ,
Y b w ( t ) = Q t L / w + n ¯ .
Equation (7) provides insight into the calculation of the forward output flow Y f w (also represented by the variable Q). It is determined as the minimum of three distinct flows, as follows. (a) The forward demand flow U f w , shifted in time by L / v , which accounts for the time it takes for a car to traverse the section. Additionally, it incorporates the initial number n of cars present on the road section. (b) The flow Q itself, time-shifted by L / v and increased by q max L / v . This term reflects the limitation imposed by the road section’s capacity, denoted as q max , as depicted in the fundamental traffic diagram of Figure 3. This means that no more than q max cars can pass through the section within a given time unit. (c) The backward flow U b w , which restricts the outflow from the section based on the supply flow provided by the downstream section. Combining these three flows, Equation (7) captures the interplay of demand, capacity, and supply in determining the forward output flow Y f w (or Q).
In the context of the min-plus algebra ( F , , ) defined earlier, the variables U f w , U b w , Y f w , Y b w , and Q are regarded as time signals. Within this algebraic framework, the addition of two signals is defined as the minimum of the two signals, while the multiplication of two signals corresponds to the minimum convolution operation. Applying the notations of the min-plus algebra, we can express the dynamics given by Equations (7)–(9) as follows.
Q = f 3 Q f 1 U f w U b w ,
Y f w = Q e ,
Y b w = f 2 Q e ,
where f 1 = γ n δ L / v , f 2 = γ n ¯ δ L / w and f 3 = γ q max L / v δ L / v , and where the operators γ p and δ τ are the ones defined in Section 2.1. We add (min-plus addition) the unity vector e to Y f w and to Y b w in order to satisfy condition (6). The dynamics (10)–(12) are illustrated in Figure 4.
Let us represent the variables U f w and U b w as elements of a column vector U = ( U f w , U b w ) , and, similarly, the variables Y f w and Y b w as elements of a column vector Y = ( Y f w , Y b w ) . With this notation, we can express the dynamics described by Equations (10)–(12) as follows.
Q = A Q B U Y = C Q e
with A = γ q max L / v δ L / v . B denotes the line vector B : = ( γ n δ L / v , e ) , C denotes the column vector C : = ( e , γ n ¯ δ L / w ) , and e denotes in (13) the column vector ( e , e ) .
Therefore, the traffic dynamics on a road section can be expressed linearly in the min-plus algebra using three matrices: a signal matrix A, a row matrix B consisting of two signals, and a column matrix C consisting of two signals. In this configuration, the matrix B represents the impact on the traffic demand of the section, the matrix C represents the influence on the traffic supply that the section offers to a potential upstream section, and the matrix A models the maximum outflow limit q max imposed by the trapezoidal fundamental diagram, corresponding to the road section capacity.

3.2. Derivation of the Guaranteed Service

From Theorem 1, the greatest subsolution for Q in (13) is given by A * B U . In other words, we have Q A * B U . Therefore, we obtain Y ( C A * B ) U e . Then, since U ( 0 ) = 0 , we have e U . Therefore, we obtain
Y ( C A * B ) U U = ( e C A * B ) U ,
which gives the impulse response of the min-plus linear system (13), and which is interpreted in terms of road traffic as a service matrix of the traffic system of one road section.
Theorem 4. 
The impulse response matrix β of system (13) is β = e C A * B , also written as
β = e ( γ q max L / v δ L / v ) * γ n δ L / v e γ n max δ L / v + L / w γ n ¯ δ L / w .
Proof. 
It follows directly from (14). □
Corollary 1. 
The service matrix β for the traffic system (13) satisfies β i j ( 0 ) = 0 , i , j { 1 , 2 } , and t > 0 , and we have
β 11 ( t ) q max t + n q max L v Λ ( q max , n q max L v ) if n ρ 1 L λ ( q max , L v n q max ) otherwise ,
β 12 ( t ) q max t = Λ ( q max , 0 ) = λ ( q max , 0 ) ,
β 21 ( t ) q max t + n max q max L v + L w = Λ ( q max , ( ρ 2 ρ 1 ) L ) ,
β 22 ( t ) q max t + n ¯ q max L w Λ ( q max , n ¯ q max L w ) if n ρ 2 L λ ( q max , L w n ¯ q max ) otherwise ,
Proof. 
It is a tight approximation of the service matrix given in Theorem 4, with linear and rate-latency-like curves. □
It should be noted that the initial n vehicles present on the road section at time zero are included in the forward output flow Y f w . Similarly, the n ¯ available free spaces in the road section at time zero are accounted for in the backward output flow (traffic supply flow) Y b w . Consequently, when calculating upper bounds for the road section, we need to consider augmented arrival flows U f w + n and U b w + n ¯ instead of only U f w and U b w , respectively. Therefore, we require the calculation of a matrix arrival for the vector ( U f w + n , U b w + n ¯ ) representing the augmented arrival flows.
Example 2. 
Let us take a road section of length L = 200 m (meters), with the fundamental diagram parameters v = 28 m/s (about 100 km/h), w = 7 m/s (about 25 km/h), ρ j = 1 / 10 veh/m (100 veh/km), and q max = 0.5 veh/s (1800 veh/h). We consider a time step d t = 5 s, and an initial number of vehicles in the road n = 10 vehicles (i.e., ρ = 1 / 20 veh/m) (and thus n ¯ = 10 , since n max = 20 ), then ρ 1 = 1 / 56 veh/m and ρ 2 = 1 / 35 veh/m). The service matrix β is bounded by Corollary 1 as follows (time unit being 1 s).
  • β 11 ( t ) 0.5 t + 6.43 ,
  • β 12 ( t ) 0.5 t ,
  • β 21 ( t ) 0.5 t + 2.14 ,
  • β 22 ( t ) 0.5 ( t 8.57 ) + .
More precisely, the curves of the service matrix of the road section are given by Theorem 4 and shown in Figure 5.
The model presented here provides a method of determining the minimum service provided by a road section when viewed as a server. This calculation relies on the fundamental diagram of traffic for the road section, and the accuracy of the approximation of this diagram affects the minimum service estimation. Since our objective is to obtain a guarantee on the service of the road section, it is more appropriate to utilize specific approximations of the fundamental diagram of traffic. These approximations should accurately estimate the minimum flow through the road, taking into account the relationship between car density and flow.

4. Composition of 1D Traffic Systems

In this section, we introduce two operators to connect one-dimensional road traffic systems, which are traffic systems without junctions. The first operator is the concatenation operator, which combines two road traffic systems with two input flows and two output flows. The resulting traffic system also has two input and two output flows. By using the concatenation operator, we can construct more complex systems, such as an entire road consisting of multiple sections. The second operator is the feedback operator, which allows us to model closed traffic systems, such as a circular road or a road arranged in a ring-like structure. The feedback operator enables us to incorporate the interactions between different sections of the road, creating a closed loop of traffic flow. By employing these operators, we can analyze and design traffic systems that go beyond individual road sections, encompassing larger road networks and circular configurations. These operators provide a framework for the study of the behavior and performance of interconnected traffic systems in various scenarios.

4.1. Concatenation

The composition of traffic systems occurs in two dimensions, as each system has two inputs and two outputs. However, the connection between systems is not simply a series connection, where the outputs of one system are connected to the inputs of the other. Instead, the connection operates bidirectionally. It involves linking an output of system 1 to an input of system 2, and also connecting an output of system 2 to an input of system 1. This two-way connection ensures the exchange of traffic flow between the interconnected systems.
In Figure 6, we provide an illustration of the connection between two elementary systems, which, in this case, are represented by road sections. The diagram depicts the interconnection of these systems, highlighting the bidirectional nature of the connection. This composition approach enables the analysis and modeling of traffic systems that involve the interaction and exchange of traffic flows between different sections, leading to a more comprehensive understanding of the overall traffic behavior.
Let us consider two min-plus linear traffic systems 1 and 2, with impulse response matrices β ( 1 ) and β ( 2 ) . We then have
Y f w ( i ) Y b w ( i ) = ( β ( i ) ) 11 ( β ( i ) ) 12 ( β ( i ) ) 21 ( β ( i ) ) 22 U f w ( i ) U b w ( i ) , i { 1 , 2 } .
The following result is on the composition of such two systems.
Theorem 5. 
An impulse response matrix β for the whole system is given by
β 11 = β 11 ( 2 ) β 11 ( 1 ) β 11 ( 2 ) β 12 ( 1 ) β 21 ( 2 ) β 12 ( 1 ) * β 21 ( 2 ) β 11 ( 1 ) β 12 = β 11 ( 2 ) β 12 ( 1 ) β 21 ( 2 ) β 12 ( 1 ) * β 22 ( 2 ) β 12 ( 2 ) β 21 = β 21 ( 1 ) β 22 ( 1 ) β 21 ( 2 ) β 12 ( 1 ) * β 21 ( 2 ) β 11 ( 1 ) β 22 = β 22 ( 1 ) β 21 ( 2 ) β 12 ( 1 ) * β 22 ( 2 ) .
such that
Y f w ( 2 ) Y b w ( 1 ) = β 11 β 12 β 21 β 22 U f w ( 1 ) U b w ( 2 ) .
Proof. 
The proof is given in Appendix B. □
As mentioned earlier, one immediate application of concatenating road traffic systems is the construction of an entire road consisting of multiple sections, which may have different lengths and characteristics, such as their fundamental diagrams. By utilizing Theorem 4 or Corollary 1, the service matrices for individual road sections can be determined based on their specific characteristics.
Through the concatenation operation, we can obtain a service matrix for the entire road using Theorem 5. Once the service matrix is established, the next step is to establish upper bounds for the arrival flows of the system, namely the forward demand U f w and backward supply U b w . This can be achieved by calculating an arrival matrix, as explained in detail in Section 2.3. By obtaining this arrival matrix, it becomes possible to derive deterministic upper bounds for the travel time across the road network.
In Section 6, we will provide an example that demonstrates the concatenation of multiple traffic systems using the algebraic operator proposed in this section. This example will illustrate how the proposed framework can be applied to connect and analyze various traffic systems within a road network.

4.2. Feedback Connection

In this section, we introduce another operator for one-dimensional traffic systems that enables the construction of closed systems or systems with loops. This operator is known as the feedback operator, which establishes a connection between the input flows (or a subset of input flows) and the output flows (or a subset of output flows) of a given traffic system, resulting in a feedback loop within the system.
For the purpose of our discussion, we consider a traffic system with two inputs, namely U f w and U b w , and two outputs, namely Y f w and Y b w . The feedback operator connects the inputs U f w and U b w to the corresponding outputs Y f w and Y b w of the same system, establishing a feedback mechanism within the system. This configuration is illustrated in Figure 7, where the inputs U f w and U b w are given as the outputs Y f w and Y b w , respectively.
The traffic system is configured in a feedback arrangement, as depicted in Figure 7. Initially, we are provided with an impulse response matrix β for the open system. This implies that Y β U , where Y represents the output matrix and U represents the input matrix. In the case of the system operating in a feedback loop, we have
Y f w β 11 ( U f w Y f w ) β 12 ( U f w Y f w ) , Y b w β 21 ( U f w Y f w ) β 22 ( U f w Y f w ) ,
which can simply be written as Y β Y β U . Then, from Theorem 1, we immediately obtain Y ( β * β ) U . Hence, β * β is an impulse response matrix for the system set in a feedback loop, and it is a service matrix for the traffic system set in a feedback loop. Therefore, we have the following result.
Theorem 6. 
If β is a service matrix for an open traffic system, then β * β is a service matrix for the system set in a feedback loop.
An immediate example of utilizing the feedback configuration for traffic systems is applying it to a road section. By setting a road section in feedback, we create a closed loop where the output flows are fed back to the input of the same section. Another example is the feedback arrangement of an entire road consisting of multiple sections, forming a ring road configuration.

5. Controlled 2D Traffic Systems

The calculation of guaranteed service for routes that traverse intersections requires consideration of the control mechanisms employed at each intersection. In the context of communication networks, residual services are computed for flows passing through data routers. Similarly, in the realm of road traffic, we encounter two distinct cases: (1) intersections controlled by traffic lights operating in an open loop and (2) other cases involving feedback control based on traffic conditions, priority rules, roundabouts, etc. In the first case, control decisions at the intersection are solely based on time and do not depend on the traffic conditions of the roads entering or exiting the intersection. In such cases, it is possible to calculate a service guarantee for each flow passing through the intersection independently of other flows. In this work, we primarily focus on the first case, which is studied and detailed in Section 5. However, in the second case, service guarantees for flows passing through the intersection must be calculated taking into account the presence of other flows using the same intersection. Different control mechanisms can be defined and implemented to address this scenario.

Traffic Control with a Traffic Light

We examine a traffic system in the form of a road controlled by a traffic light. In this scenario, the cycle time of the traffic light is denoted by c, with g representing the duration of the green phase and r representing the duration of the red phase, such that c = g + r . While we focus on this specific road, it is implied that other traffic systems (i.e., roads entering the same intersection) are controlled by the same traffic light. Consequently, when the light is red for the considered system, it is green for another traffic system.
The traffic light can be viewed as a road section system with zero length, introducing a delay of up to r in the forward outflow Y f w of the system. Additionally, the traffic light imposes an outflow restriction on the system, allowing a maximum outflow of ( g / c ) Y f w . The traffic dynamics through a traffic light system can thus be expressed as follows.
Q ( t ) = min U f w t r , ( a ) Q t d t + g / c d t , ( b ) U b w ( t ) ( c ) ,
Y f w ( t ) = Q ( t ) ,
Y b w ( t ) = Q t .
Therefore, a service matrix of the traffic light seen as a server can be derived using Theorem 4 and Corollary 1. We then obtain the following result.
Proposition 2. 
A service matrix β for the traffic light seen as a traffic system (system 2) satisfies
β = e ( γ g δ c ) * δ r e δ r e λ ( g / c , r ) λ ( g / c , 0 ) λ ( g / c , r ) λ ( g / c , 0 )
Any traffic system controlled with a traffic light can then be defined as a concatenation of the system itself with a traffic light system defined in this section. A service matrix for the whole controlled system can then be derived by Theorem 5. In Figure 8, we illustrate the service curves of the service matrix given in Proposition 2, as well as the rate latency lower bounding curves λ .

6. Routes

To construct a road consisting of m sections, we employ the concatenation of m elementary traffic systems, each representing a road section. The service matrix for each road section can be derived using Theorem 4, which provides fundamental traffic diagrams for individual sections. By concatenating these road section systems and applying Theorem 5, we obtain the service matrix for the entire road. In the case of a controlled road with traffic lights, a similar approach is followed, where m uncontrolled road sections are concatenated with a traffic light system.
In an urban network regulated by traffic lights, a route or itinerary is formed by concatenating controlled roads. Figure 9 illustrates the concatenation of controlled roads to create a traffic system representing a complete itinerary within an urban road network. To compute a service matrix for a traffic flow passing through roads R1, R2, R3, and R4 in Figure 9, the following procedure is employed.
  • Determine service matrices for all the uncontrolled sections of the route, by Theorem 4.
  • Then, determine service matrices for all the controlled roads R1, R2, and R3 and for the uncontrolled road R4 of the itinerary, by concatenation (Theorem 5).
  • Finally, determine a service matrix for the route by concatenating the systems R1, R2, R3, and R4, by Theorem 5.
Once a service matrix is determined for the whole itinerary system, lower bounding the guaranteed service and having an arrival matrix upper bounding the traffic demand arriving to the system, as well as the traffic supply that feeds backwards into it, it suffices to apply Theorem 3 to obtain upper bounds for the travel time for any input–output couple of the traffic system. In particular, we obtain an upper bound for the (forward) travel time through the considered itinerary.
We demonstrate the application of the presented results in this article through a numerical example. We consider the urban route shown in Figure 9. Our goal is to calculate an upper bound for the travel time from the entry of road R1 to the exit from road R4, passing through the controlled roads R1, R2, and R3, and ultimately transitioning to and exiting from the uncontrolled road R4. For the sake of consistency, we assume several common parameters across all road sections: a free flow speed of v = 15 m per second, a backward wave speed of w = 7 m/s, and a critical density of ρ j = 1 / 10 vehicles per meter. Additional parameters specific to each road section can be found in Table 1.
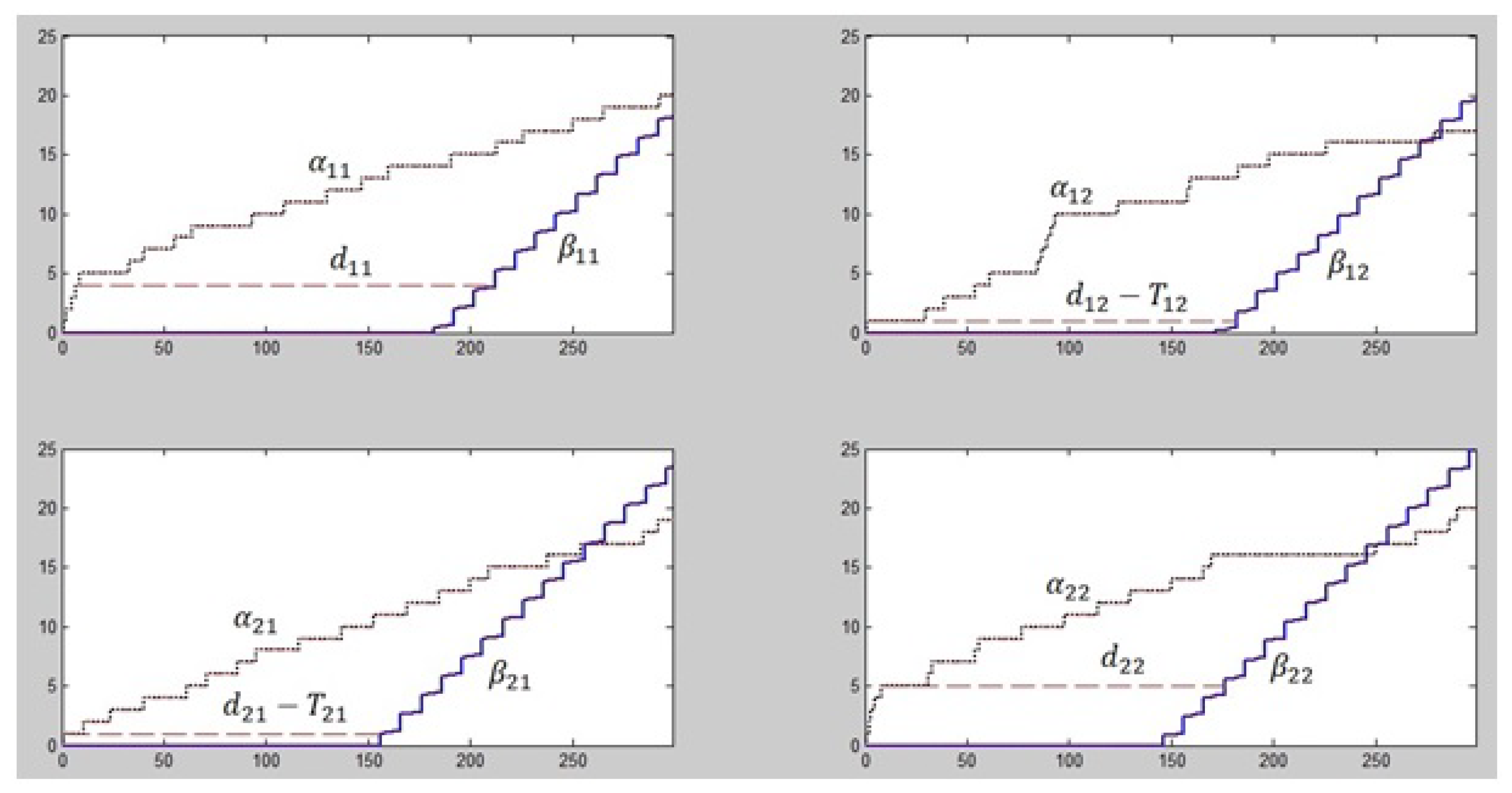
The results of this example are depicted in Figure 10. The input signals, U f w entering road 1 and U b w leaving road 4, are carefully designed to ensure that the arrival flows do not surpass the service capacity of the entire route. The arrival curves of the arrival matrix α are computed using Definition 3 and the procedure outlined in Section 2.4. The shift times T 12 = 60 s and T 21 = 8 s are determined first, followed by the derivation of the curves using Definition 3. The service curves are then computed using the aforementioned steps. To obtain an upper bound for the travel time along the route, we apply Theorem 3. In this case, our focus is on the delay d 1 , which corresponds to the forward travel time (while d 2 represents the backward travel time of the backward waves). The obtained result for this example is as follows.
d 1 = max ( d 11 , d 12 ) = max ( 205 , 241 ) = 241 s .

7. Conclusions and Perspectives

We propose in this article an algebraic method for the calculation of upper bounds on the guaranteed service in congestion networks in general, with a focus on road networks. In a deterministic modeling framework, upper bounding the service of a network is one of the main approaches to evaluating its reliability. In road networks, we focus on upper bounding the travel times required for passage through a given route of the network.
Our model is based on the cellular transmission model (a numerical scheme of the first-order model of road traffic). After giving some reviews of the min-plus algebra and the network calculus theory, with some complements for the MIMO systems, we first showed that the traffic dynamics under the latter model can be written linearly in the min-plus algebra of 2 × 2 matrices of functions. We then derived the impulse response of the linear system corresponding to an elementary traffic system (a road section) and showed that the response is interpreted as a service guarantee for the traffic system, in terms of the network calculus theory.
In order to build large networks algebraically, we defined some operators on the considered algebraic structure. These operators permit us to concatenate several (elementary) traffic systems, to set a traffic system in feedback, or to add a traffic light control for a given traffic system. By this, we showed that we were able to build a whole controlled urban network. We then illustrated our approach on a small network, where we derived an upper bound for the travel time for passage through a given route of the network.
One of the main hypotheses of this work was the existence of fundamental traffic diagrams for elementary traffic systems (road sections). This is, in general, accepted by the road traffic community. We considered here a trapezoidal fundamental traffic diagram, which is also the one generally considered in the road traffic literature. Another assumption of our approach is the deterministic modeling, although several sources of uncertainty exist for congestion networks in general, and for road traffic networks in particular. Nevertheless, most road traffic models are deterministic, and the latter have demonstrated their effectiveness.
We have proposed in this article an approach to the derivation of upper bounds for the travel times through road networks. Our approach uses the min-plus algebra to build the road networks, and the network calculus theory for the derivation of the service guarantees. Therefore, our approach is naturally restricted by the limits of the network calculus theory. For example, the difficulties in the derivation of service guarantees on networks with cyclic dependencies is well known by the network calculus community; see [1,2]. Moreover, as our traffic modeling is deterministic, we are limited to the use of deterministic network calculus results. Therefore, our service guarantees are deterministic and do not take into consideration the natural uncertainties on congestion networks and the probability distributions of the stochastic processes associated with the traffic flows, travel times, etc.
Despite the limitations mentioned above, several extensions of the approach proposed in this article are possible, particularly for the derivation of service guarantees on two-dimensional traffic systems. First, the modeling of the controlled roads and traffic light settings presented in this work are the simplest ones. The objective in this article was to show the possibility of modeling 2D traffic systems. However, our approach should be extended to model complex junctions with advanced traffic control strategies, including feedback controls on the state of the traffic. Other existing and interesting 2D traffic management methods, such as blind merging and management with priority rules settings, should be considered from the perspective of our approach.

Funding

This research received no external funding.

Data Availability Statement

Not applicable.

Conflicts of Interest

The author declares no conflict of interest.

Notations

u ( t ) inflow at time t.
U ( t ) cumulative inflow from time zero to time t.
y ( t ) outflow at time t.
Y ( t ) cumulative outflow from time zero to time t.
α maximum arrival curve (time function).
β minimum service curve (time function).
Fthe set of time functions f is non-decreasing and f ( t ) = 0 , t < 0 .
element-wise operation (min-plus addition in F), ( f g ) ( t ) = min ( f ( t ) , g ( t ) ) .
min-plus convolution in F, ( f g ) ( t ) = inf 0 s t ( f ( s ) + g ( t s ) ) .
min-plus de-convolution in F, ( f g ) ( t ) = sup s 0 ( f ( t + s ) f ( s ) ) .
ε the zero element of the dioid ( F , , ) , ε ( t ) = + , t 0 .
ethe unity element of the dioid, ( F , , ) , e ( t ) = + , t > 0 , a n d e ( 0 ) = 0 .
f k convolution power. f k = f f f (k times).
B ( t ) the backlog at time t. B ( t ) = U ( t ) Y ( t ) .
d ( t ) the virtual delay at time t, d ( t ) = I n f h 0 , Y ( t + h ) U ( t ) .
γ p a particular function in F, γ p ( t ) = + t > 0 , and γ p ( 0 ) = p .
δ T a particular function in F, δ T ( t ) = 0 t T , and δ T ( t ) = + t > T .
[ f ] + m a x ( 0 , f ) .
qcar flow.
q max the maximum car flow.
q i ( t ) the car outflow from the ith section at time t.
Q i ( t ) the cumulative car outflow from the ith section from time zero to time t.
n i the number of cars in the ith section at time zero.
n m a x the maximum number of cars that a section can contain.
ρ the average car density in the road.
ρ c the critical car density.
ρ j the jam car density.
vthe free car speed.
wthe backward wave speed.
Lthe section length.
q ( ρ ) the car flow function of the car density (fundamental traffic diagram).
τ ( ρ ) the travel time function of the car density.
τ max ( ρ ) a maximum bound on the travel time, function of the car density.
Mset of n × m matrices with entries in F.
ε zero element for ( M ( n × n ) , , ) ,
eunity element for ( M ( n × n ) , , ) ,
A k power operation in M ( n × n ) .
A * sub-additive closure in M ( n × n ) , such that A * = ( k 0 ) ( A k ) .
Λ ( r , s ) the maximum arrival curve Λ ( r , s ) ( t ) = r t + s .
λ ( R , T ) the minimum service curve λ ( R , T ) ( t ) = R ( t T ) + .

Appendix A. Proof of Theorem 3

Proof. 
Theorem 3 is a an adaptation of Theorem 4.3.6 in [1]. Let
d * = inf { d 0 , α i j ( T i j + s ) β i j ( s + d ) , T i j s t , j = 1 , 2 , , n } .
Then, it suffices to show that
d d * , U i ( t ) Y j ( t + d ) .
Since β is a service matrix for Y, we have
U i ( t ) Y j ( t + d ) max 1 j n max 0 s t + d U i ( t ) U j ( s ) β i j ( t + d s ) ,
i.e., j { 1 , 2 , , n } , 0 s t + d , such that
U i ( t ) Y j ( t + d ) U i ( t ) U j ( s ) β i j ( t + d s ) .
Then, two cases are distinguished.
1.
t s T i j
U i ( t ) U j ( s ) β i j ( t + d s ) δ T i j α i j ( t s ) β i j ( t + d s ) = α i j ( T i j + t s ) β i j ( t + d s ) 0 , sin ce d d * .
2.
t s < T i j
U i ( t ) U j ( s ) β i j ( t + d s ) 0 β i j ( t + d s ) 0 .

Appendix B. Proof of Theorem 5

Proof. 
From system 2, we have
Y b w ( 2 ) = β 21 ( 2 ) U f w ( 2 ) β 22 ( 2 ) U b w ( 2 ) .
Then, by replacing U f w ( 2 ) by Y f w ( 1 ) , we obtain
Y b w ( 2 ) = β 21 ( 2 ) β 11 ( 1 ) U f w ( 1 ) β 12 ( 1 ) U b w ( 1 ) β 22 ( 2 ) U b w ( 2 ) = β 21 ( 2 ) β 11 ( 1 ) U f w ( 1 ) β 21 ( 2 ) β 12 ( 1 ) U b w ( 1 ) β 22 ( 2 ) U b w ( 2 ) .
Now, we replace U b w ( 1 ) by Y b w ( 2 ) . We obtain
Y b w ( 2 ) = β 21 ( 2 ) β 11 ( 1 ) U f w ( 1 ) β 21 ( 2 ) β 12 ( 1 ) Y b w ( 2 ) β 22 ( 2 ) U b w ( 2 ) ,
for which the solution, in Y b w ( 2 ) , is given as follows.
Y b w ( 2 ) = β 21 ( 2 ) β 12 ( 1 ) * β 21 ( 2 ) β 11 ( 1 ) U f w ( 1 ) β 22 ( 2 ) U b w ( 2 ) .
From system 2, we also have
Y f w ( 2 ) = β 11 ( 2 ) U f w ( 2 ) β 12 ( 2 ) U b w ( 2 ) .
Then, by replacing U f w ( 2 ) with Y f w ( 1 ) , we obtain
Y f w ( 2 ) = β 11 ( 2 ) β 11 ( 1 ) U f w ( 1 ) β 12 ( 1 ) U b w ( 1 ) β 12 ( 2 ) U b w ( 2 ) = β 11 ( 2 ) β 11 ( 1 ) U f w ( 1 ) β 11 ( 2 ) β 12 ( 1 ) U b w ( 1 ) β 12 ( 2 ) U b w ( 2 ) .
We then replace U b w ( 1 ) with the expression of Y b w ( 2 ) in (A1). We obtain
Y f w ( 2 ) = β 11 ( 2 ) β 11 ( 1 ) U f w ( 1 ) β 11 ( 2 ) β 12 ( 1 ) β 21 ( 2 ) β 12 ( 1 ) * β 21 ( 2 ) β 11 ( 1 ) U f w ( 1 ) β 22 ( 2 ) U b w ( 2 ) β 12 ( 2 ) U b w ( 2 ) .
In particular,
Y f w ( 2 ) = β 11 ( 2 ) β 11 ( 1 ) β 11 ( 2 ) β 12 ( 1 ) β 21 ( 2 ) β 12 ( 1 ) * β 21 ( 2 ) β 11 ( 1 ) U f w ( 1 ) β 11 ( 2 ) β 12 ( 1 ) β 21 ( 2 ) β 12 ( 1 ) * β 22 ( 2 ) β 12 ( 2 ) U b w ( 2 ) .
Similarly, from system 1, we have
Y b w ( 1 ) = β 21 ( 1 ) U f w ( 1 ) β 22 ( 1 ) U b w ( 1 ) .
Then, by replacing U b w ( 1 ) with the expression of Y b w ( 2 ) in (A1), we obtain
Y b w ( 1 ) = β 21 ( 1 ) U f w ( 1 ) β 22 ( 1 ) β 21 ( 2 ) β 12 ( 1 ) * β 21 ( 2 ) β 11 ( 1 ) U f w ( 1 ) β 22 ( 2 ) U b w ( 2 ) .
In particular,
Y b w ( 1 ) = β 21 ( 1 ) β 22 ( 1 ) β 21 ( 2 ) β 12 ( 1 ) * β 21 ( 2 ) β 11 ( 1 ) U f w ( 1 ) β 22 ( 1 ) β 21 ( 2 ) β 12 ( 1 ) * β 22 ( 2 ) U b w ( 2 ) .
The result is thus given by (A2) and (A3). □

References

  1. Chang, C.S. Performance Guarantees in Communication Networks; Springer: London, UK, 2000. [Google Scholar]
  2. Le Boudec, J.Y.; Thiran, P. Network calculus—A Theory for Deterministic Queuing Systems for the Internet; Springer: London, UK, 2001. [Google Scholar]
  3. Farhi, N.; Haj-Salem, H.; Lebacque, J.P. Algebraic Approach for Performance Bound Calculus on Transportation Networks. Transp. Res. Rec. 2014, 2334, 10–20. [Google Scholar] [CrossRef]
  4. Baccelli, F.; Cohen, G.; Olsder, G.J.; Quadrat, J.P. Synchronization and Linearity; Wiley: New York, NY, USA, 1992. [Google Scholar]
  5. Lighthill, J.; Whitham, J.B. A min-plus derivation of the fundamental car-traffic law. Proc. R. Soc. 1955, A229, 281–345. [Google Scholar]
  6. Richards, P.I. Shock Waves on the Highway. Oper. Res. 1956, 4, 42–51. [Google Scholar] [CrossRef]
  7. Daganzo, C.F. The cell transmission model: A dynamic representation of highway traffic consistent with the hydrodynamic theory. Transp. Res. Part B Methodol. 1994, 28, 269–287. [Google Scholar] [CrossRef]
  8. Aboudolas, K.; Papageorgiou, M.; Kosmatopoulos, E. Store-and-forward based methods for the signal control problem in large-scale congested urban road networks. Transp. Res. Part C Emerg. Technol. 2009, 17, 163–174. [Google Scholar] [CrossRef]
  9. Hunt, P.B.; Robertson, D.I.; Bretherton, R.D.; Winton, R.I. SCOOT-a Traffic Responsive Method of Co-Ordinating Signals; Technical Report; Transport and Road Research Laboratory: Wokingham, UK, 1981. [Google Scholar]
  10. Lowrie, P. The Sydney coordinated adaptive traffic system. In Proceedings of the Institute of Electrical Engineers International Conference on Road Road Traffic Signalling, London, UK, 30 March–1 April 1982; pp. 67–70. [Google Scholar]
  11. Gazis, D.C.; Herman, R.; Potts, R.B. Car-Following Theory of Steady-State Traffic Flow. Oper. Res. 1959, 7, 499–505. [Google Scholar] [CrossRef]
  12. Diakaki, C.; Papageorgiou, M.; Aboudolas, K. A multivariable regulator approach to traffic-responsive network-wide signal control. Control Eng. Pract. 2002, 10, 183–195. [Google Scholar] [CrossRef]
  13. Varaiya, P. The Max-Pressure Controller for Arbitrary Networks of Signalized Intersections. In Advances in Dynamic Network Modeling in Complex Transportation Systems; Ukkusuri, S.V., Ozbay, K., Eds.; Springer: New York, NY, USA, 2013; Volume 2, pp. 27–66. [Google Scholar]
  14. He, Z.; Shao, R.; Wang, J. Estimation of urban arterial travel time based on dynamic bayesian network. In Proceedings of the China Automation Congress (CAC), Beijing, China, 22–24 October 2021. [Google Scholar]
  15. Vankdoth, S.R.; Arock, M. Deep intelligent transportation system for travel time estimation on spatio-temporal data. Neural Comput. Appl. 2023, 35, 19117–19129. [Google Scholar] [CrossRef]
  16. Chiou, J.M.; Liou, H.T.; Chen, W.H. Modeling Time-Varying Variability and Reliability of Freeway Travel Time Using Functional Principal Component Analysis. IEEE Trans. Intell. Transp. Syst. 2021, 22, 257–266. [Google Scholar] [CrossRef]
  17. Hadachi, A.; Pourmoradnasseri, M. A Survey on the Advancement of Travel Time Estimation Using Mobile Phone Network Data. IEEE Trans. Intell. Transp. Syst. 2022, 23, 11779–11788. [Google Scholar] [CrossRef]
  18. Cruz, R.L. A calculus for network delay, Part I: Network elements in isolation. IEEE Trans. Inform. Theory 1991, 37, 114–131. [Google Scholar] [CrossRef]
  19. Cruz, R.L. A calculus for network delay, Part II: Network analysis. IEEE Trans. Inform. Theory 1991, 37, 132–141. [Google Scholar] [CrossRef]
  20. Farhi, N. Modélisation Minplus et Commande du Trafic de Villes Régulières. Ph.D. Thesis, Université Paris 1 Panthéon-Sorbonne, Paris, France, 2008. [Google Scholar]
  21. Farhi, N.; Goursat, M.; Quadrat, J. Piecewise linear concave dynamical systems appearing in the microscopic traffic modeling. Linear Algebra Appl. 2011, 435, 1711–1735. [Google Scholar] [CrossRef][Green Version]
  22. Farhi, N.; Goursat, M.; Quadrat, J. The Traffic Phases of Road Networks. Transp. Res. Part C 2011, 19, 85–102. [Google Scholar] [CrossRef]
  23. Farhi, N. Piecewise linear car-following modeling. Transp. Res. Part C Emerg. Technol. 2012, 25, 100–112. [Google Scholar] [CrossRef][Green Version]
Figure 1. The four curves of the arrival matrix of a vector of two signals.
Figure 1. The four curves of the arrival matrix of a vector of two signals.
Mathematics 11 04028 g001
Figure 2. The traffic system of a road section. fw: forward, bw: backward.
Figure 2. The traffic system of a road section. fw: forward, bw: backward.
Mathematics 11 04028 g002
Figure 3. A trapezoidal fundamental diagram, with ρ j = n max / L , ρ 1 = q max / v , ρ 2 = ρ j q max / w , q ˜ = ρ j / ( 1 / v + 1 / w ) , ρ c = q ˜ / v = ρ j q ˜ / w .
Figure 3. A trapezoidal fundamental diagram, with ρ j = n max / L , ρ 1 = q max / v , ρ 2 = ρ j q max / w , q ˜ = ρ j / ( 1 / v + 1 / w ) , ρ c = q ˜ / v = ρ j q ˜ / w .
Mathematics 11 04028 g003
Figure 4. Diagram for the system (10)–(12).
Figure 4. Diagram for the system (10)–(12).
Mathematics 11 04028 g004
Figure 5. The four service curves of the service matrix given in Theorem 4, and their approximations given in Corollary 1, for Example 2.
Figure 5. The four service curves of the service matrix given in Theorem 4, and their approximations given in Corollary 1, for Example 2.
Mathematics 11 04028 g005
Figure 6. Composition of two min-plus linear traffic systems.
Figure 6. Composition of two min-plus linear traffic systems.
Mathematics 11 04028 g006
Figure 7. A feedback on a traffic system with two inputs and two outputs.
Figure 7. A feedback on a traffic system with two inputs and two outputs.
Mathematics 11 04028 g007
Figure 8. The four service curves and the lower bounding curves λ of the service matrix of a traffic light system given in Proposition 2, with c = 90 , g = 40 , and r = 50 .
Figure 8. The four service curves and the lower bounding curves λ of the service matrix of a traffic light system given in Proposition 2, with c = 90 , g = 40 , and r = 50 .
Mathematics 11 04028 g008
Figure 9. Illustration of an urban itinerary system.
Figure 9. Illustration of an urban itinerary system.
Mathematics 11 04028 g009
Figure 10. On the x-axis: time. On the y-axis: arrival curves α i j of the arrival matrix, service curves β i j of the service matrix, and the time delays d 11 , d 12 T 12 , d 21 T 21 , and d 22 , for i , j = 1 , 2 .
Figure 10. On the x-axis: time. On the y-axis: arrival curves α i j of the arrival matrix, service curves β i j of the service matrix, and the time delays d 11 , d 12 T 12 , d 21 T 21 , and d 22 , for i , j = 1 , 2 .
Mathematics 11 04028 g010
Table 1. Parameters of the numerical example.
Table 1. Parameters of the numerical example.
R1R2R3R4
Length L (m)150150100100
Maximum flow q max (veh/s)0.320.350.40.38
Initial density of cars n (veh/m)5/15010/1503/1007/100
Cycle time c (s)609080-
Green time G (s)305045-
Disclaimer/Publisher’s Note: The statements, opinions and data contained in all publications are solely those of the individual author(s) and contributor(s) and not of MDPI and/or the editor(s). MDPI and/or the editor(s) disclaim responsibility for any injury to people or property resulting from any ideas, methods, instructions or products referred to in the content.

Share and Cite

MDPI and ACS Style

Farhi, N. A Min-Plus Algebra System Theory for Traffic Networks. Mathematics 2023, 11, 4028. https://doi.org/10.3390/math11194028

AMA Style

Farhi N. A Min-Plus Algebra System Theory for Traffic Networks. Mathematics. 2023; 11(19):4028. https://doi.org/10.3390/math11194028

Chicago/Turabian Style

Farhi, Nadir. 2023. "A Min-Plus Algebra System Theory for Traffic Networks" Mathematics 11, no. 19: 4028. https://doi.org/10.3390/math11194028

APA Style

Farhi, N. (2023). A Min-Plus Algebra System Theory for Traffic Networks. Mathematics, 11(19), 4028. https://doi.org/10.3390/math11194028

Note that from the first issue of 2016, this journal uses article numbers instead of page numbers. See further details here.

Article Metrics

Back to TopTop