Numerical Investigation of a Combustible Polymer in a Rectangular Stockpile: A Spectral Approach
Abstract
:1. Introduction
2. Mathematical Analysis
3. Solution Method
Convergence Analysis
4. Results and Discussion
4.1. Transient Profiles for Velocity and Temperature
4.2. Solution Blow-Up Profile
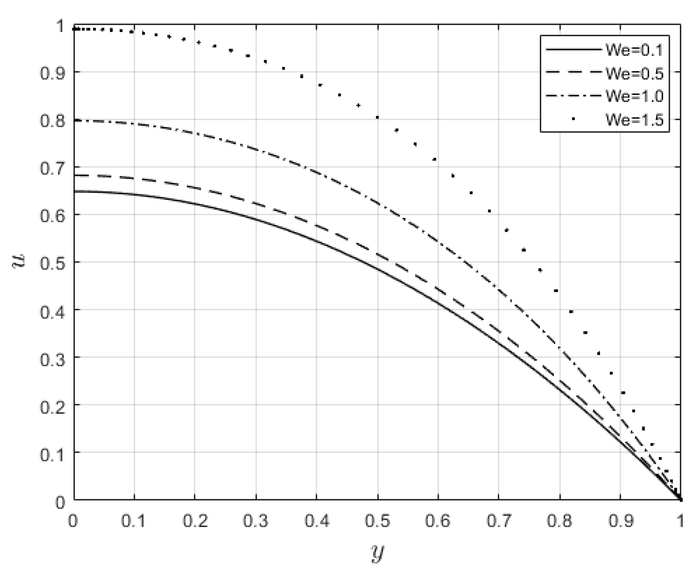
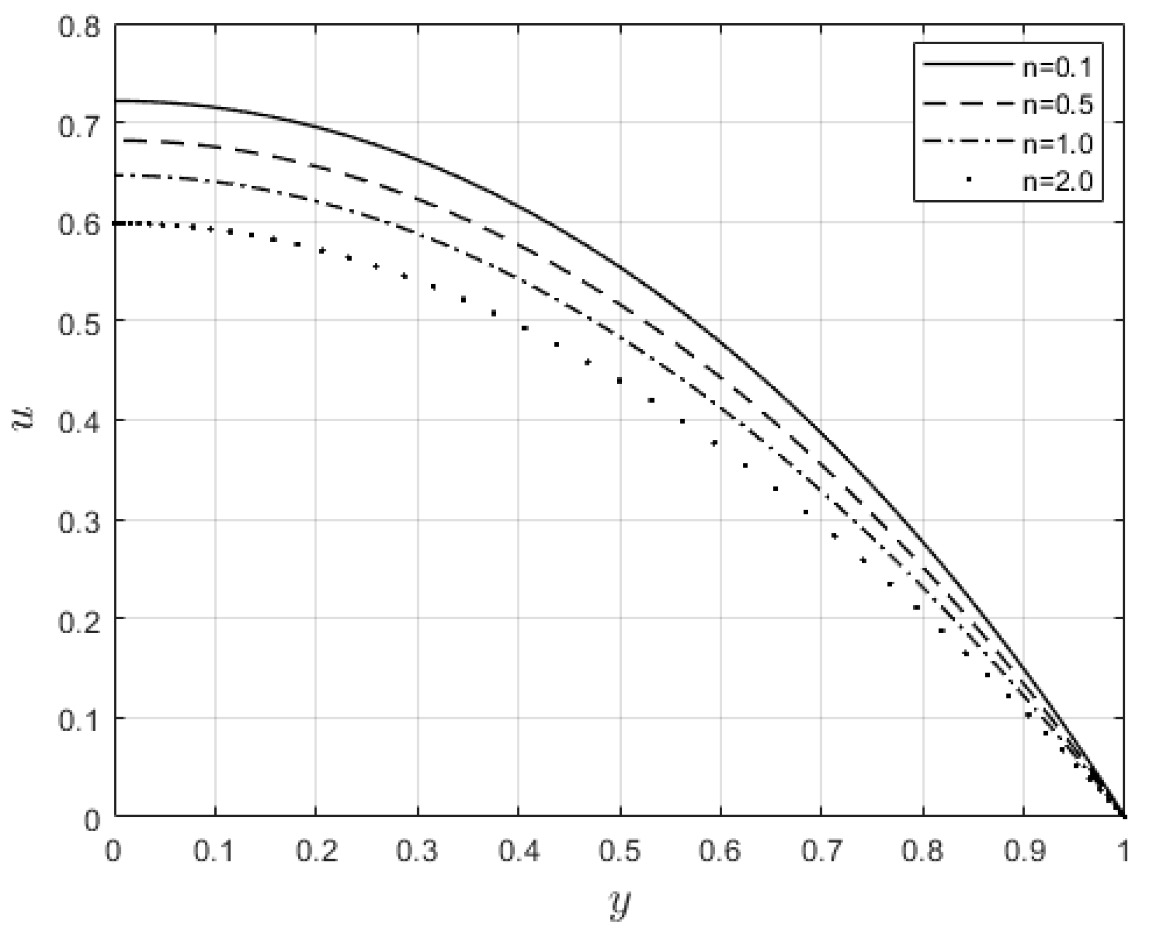
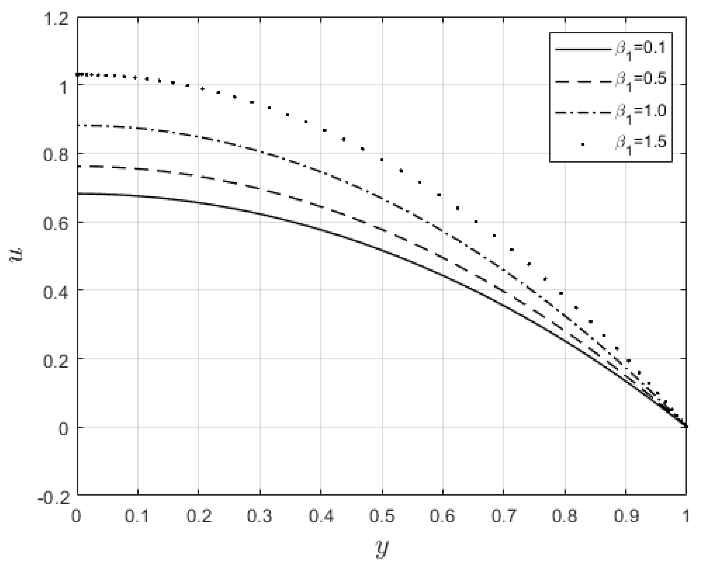
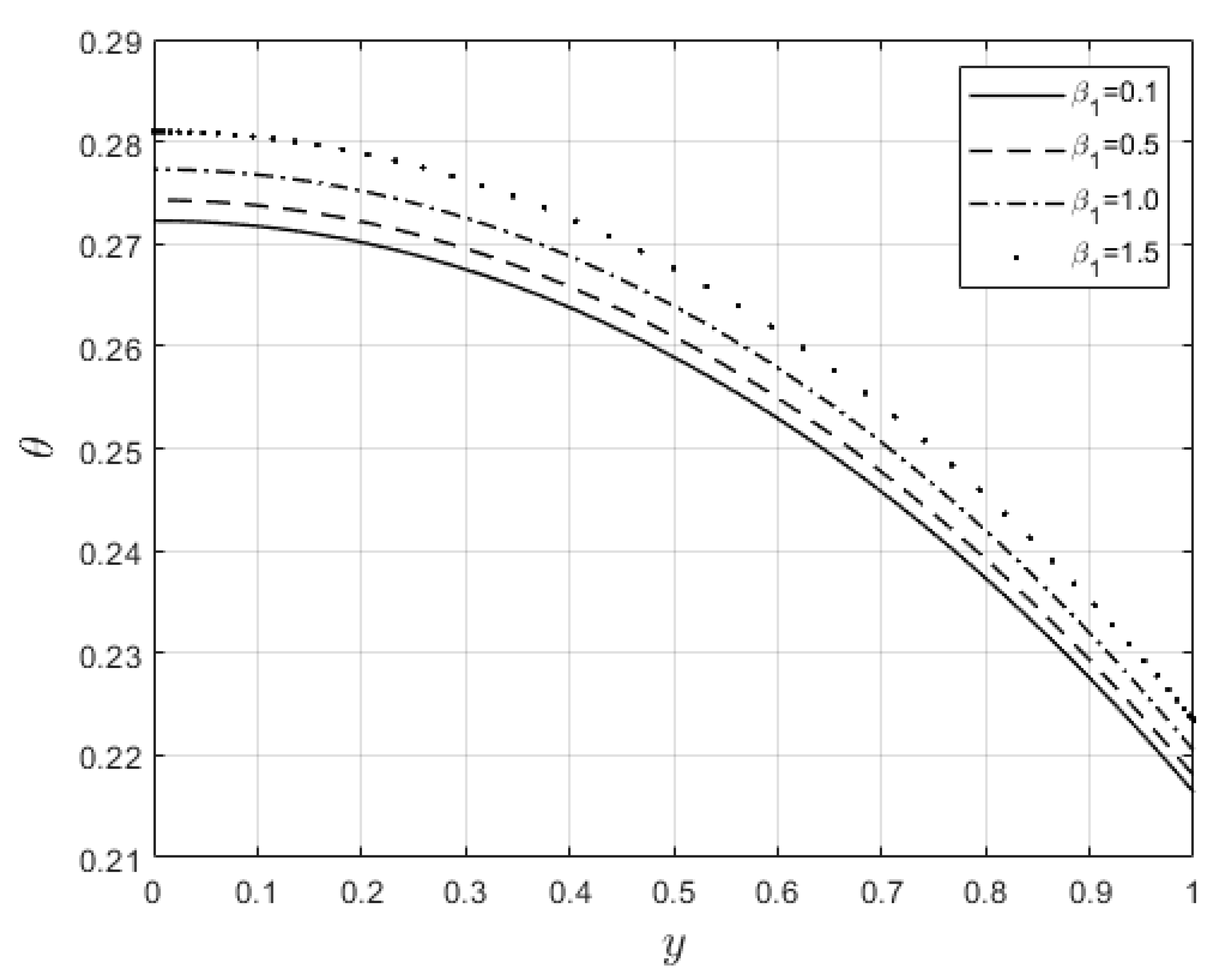
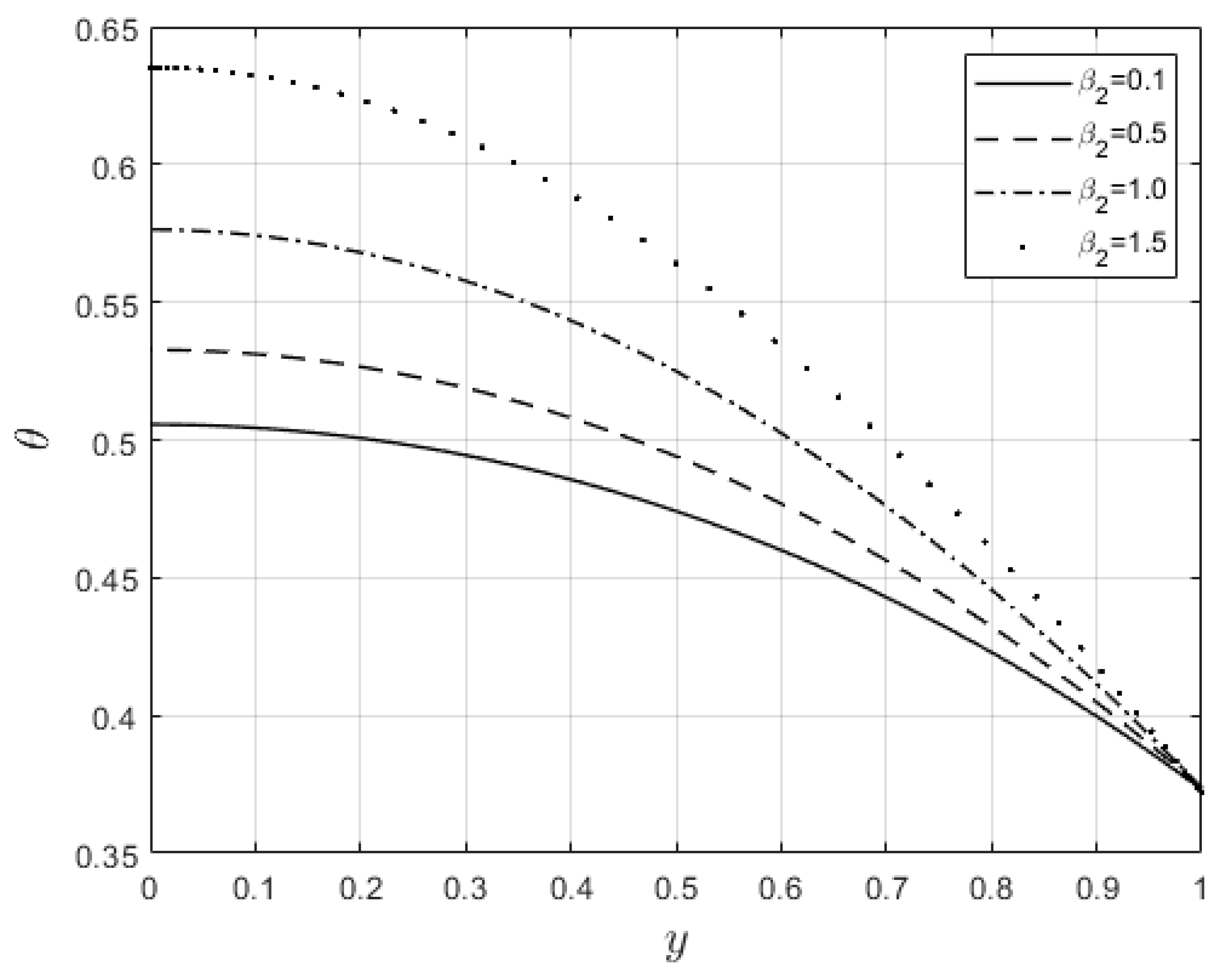
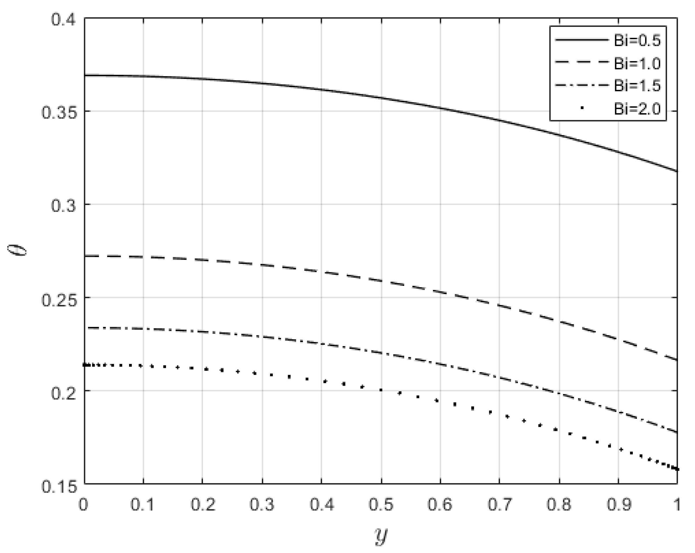
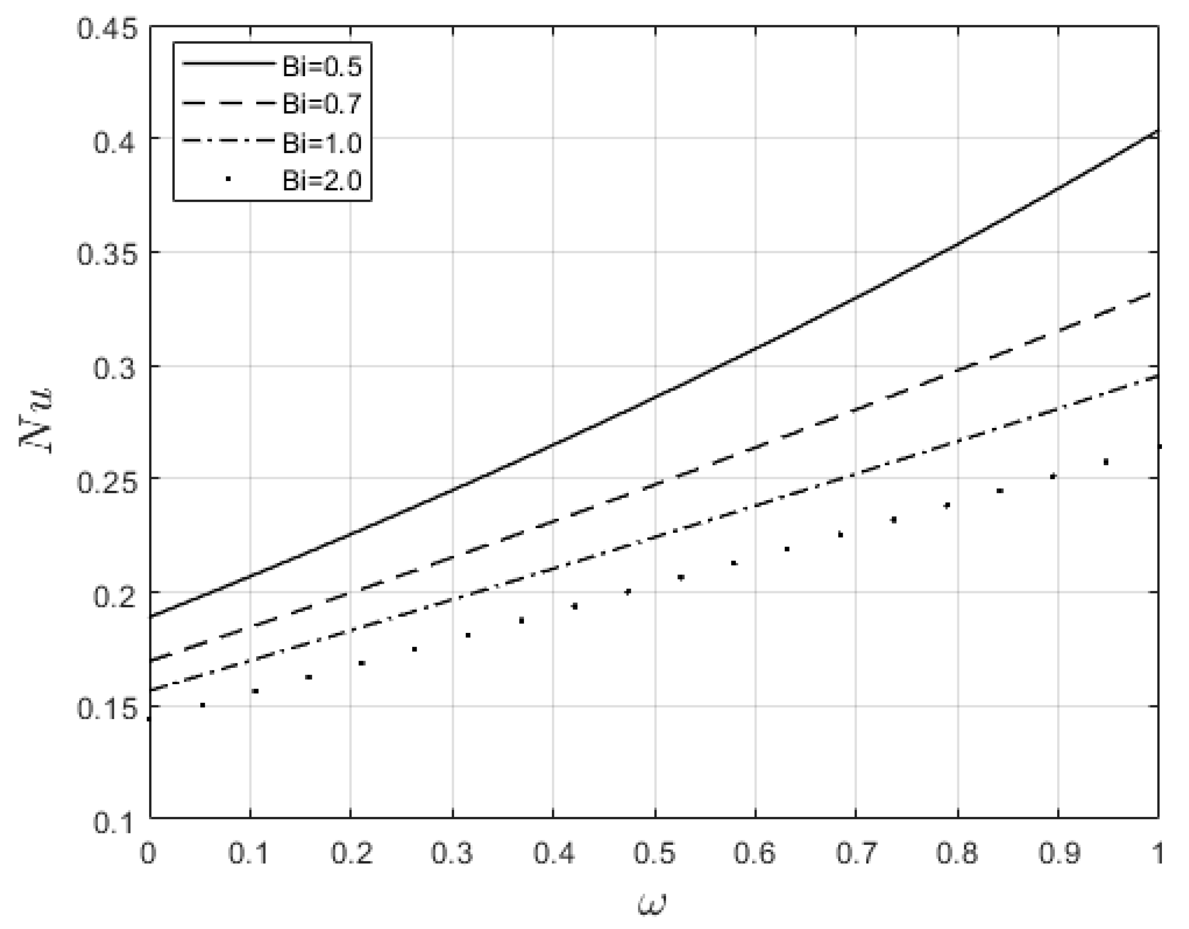
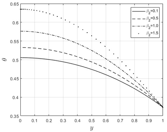
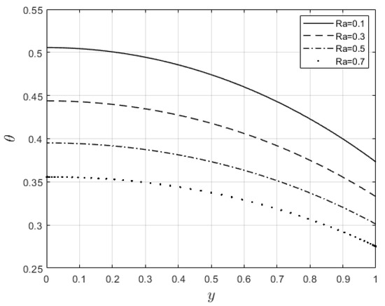
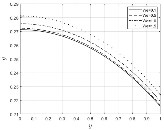
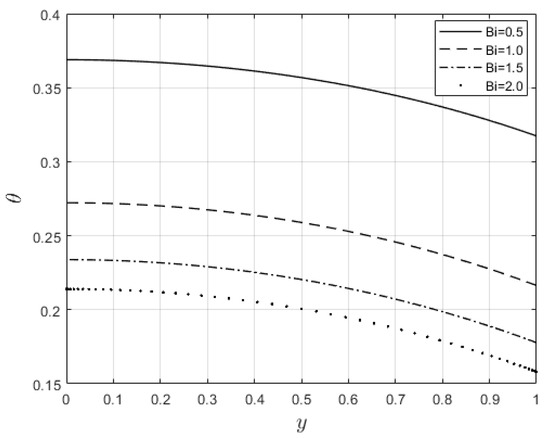
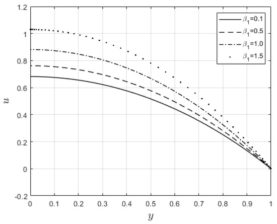
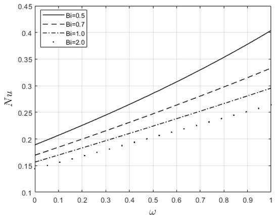
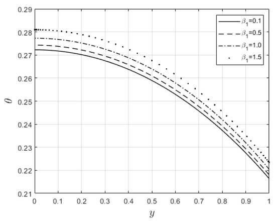
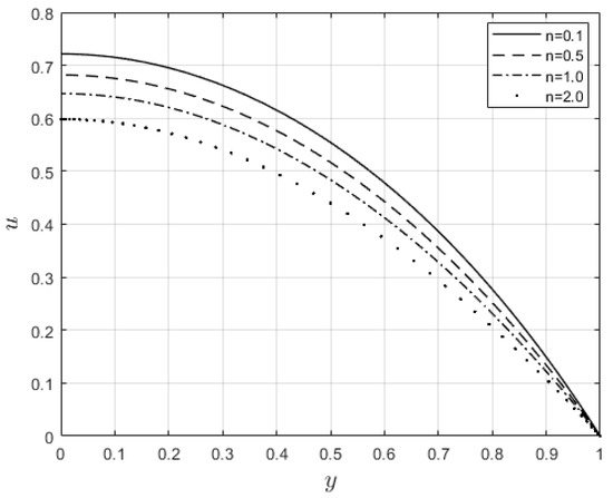
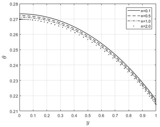
4.3. Dependence of Velocity and Temperature Profiles on Flow Parameters
5. Concluding Remarks
Author Contributions
Funding
Data Availability Statement
Conflicts of Interest
References
- Xiong, Q.; Kong, S. Modelling effect of interphase transport coefficients on biomass pyrolysis in fluidized beds. Powder Technol. 2014, 262, 96–105. [Google Scholar]
- Xiong, Q.; Kong, S.; Passalacqua, A. Development of a generalized numerical frame work for simulating biomass fast pyrolysis in fluidized-bed reactors. Chem. Eng. Sci. 2013, 99, 305–313. [Google Scholar]
- Tan, Z.; Su, G.; Su, J. Improved lumped models for combined convective and radiative cooling of a wall. Appl. Therm. Eng. 2009, 29, 2439–2443. [Google Scholar]
- Drysdale, D. Ignition: The initiation of flaming combustion. In An Introduction to Fire Dynamics, 3rd ed.; Wiley: Hoboken, NJ, USA, 2011; Chapter 6; pp. 225–275. [Google Scholar]
- Shi, L.; Chew, M.Y.L. A review of fire processes modeling of combustible materials under external heat flux. Fuel 2013, 106, 30–50. [Google Scholar]
- Sener, A.A.; Demirhan, E. The investigation of using magnesium hydroxide as a flame retardant in the cable insulation material by cross-linked polyethylene. Mater. Des. 2008, 29, 1376–1379. [Google Scholar]
- Gong, T.; Xie, Q.; Huang, X. Fire behaviors of flame-retardant cable part decomposition, swelling and spontaneous ignition. Fire Saf. J. 2018, 95, 113–121. [Google Scholar]
- Xie, Q.; Gong, T.; Huang, X. Fire Zone Diagram of Flame-Retardant Cables: Ignition and Upward Flame Spread. Fire Technol. 2021, 57, 2643–2659. [Google Scholar]
- Geschwindner, C.; Goedderz, D.; Li, T.; Köser, J.; Fasel, C.; Riedel, R.; Altstädt, V.; Bethke, C.; Puchtler, F.; Breu, J.; et al. Investigation of flame retarded polypropylene by high-speed planar laser-induced fluorescence of OH radicals combined with a thermal decomposition analysis. Exp. Fluids 2020, 61, 30. [Google Scholar]
- Lohrer, C.; Krause, U.; Steinbach, J. Self-Ignition of Combustible Bulk Materials Under Various Ambient Conditions. Process. Saf. Environ. Prot. 2000, 83, 145–150. [Google Scholar]
- Lohrer, C.; Schmidt, M.; Krause, U. A study on the influence of liquid water and water vapor on the self-ignition of lignite coal-experiments and numerical simulations. J. Prev. Process. Ind. 2005, 18, 167–177. [Google Scholar]
- Lebelo, R.S. Thermal stability investigation in a reactive sphere of combustible material. Adv. Math. Phys. 2016, 2016, 9384541. [Google Scholar]
- Lebelo, R.S.; Makinde, O.D.; Chinyoka, T. Thermal decomposition analysis in a sphere of combustible materials. Adv. Mech. Eng. 2017, 9, 1–14. [Google Scholar]
- Lebelo, R.S.; Adeosun, A.T.; Gbadeyan, J.A.; Akindeinde, S.O. On the heat transfer stability for a convective reactive material of variable thermal conductivity in a sphere. Gorteria J. 2021, 34, 62–74. [Google Scholar]
- Lebelo, R.S.; Moloi, K.C.; Okosun, K.O.; Mukamuri, M.; Adesanya, S.O.; Muthuvalu, M.S. Two-step low-temperature oxidation for thermal stability analysis of a combustible sphere. Alex. Eng. J. 2018, 57, 2829–2835. [Google Scholar]
- Lebelo, R.S.; Waetzel, M.; Mahlobo, R.K.; Moloi, K.C.; Adesanya, S.O. On transient heat analysis of a two-step convective reactive cylinder. J. Phys. Conf. Ser. 2021, 1730, 012141. [Google Scholar]
- Khan, M.; Hashim. Boundary layer flow and heat transfer to Carreau fluid over a nonlinear stretching sheet. AIP Adv. 2015, 5, 107203. [Google Scholar]
- Siska, B.; Bendova, H.; MacHak, I. Terminal velocity of non-spherical particles falling through a Carreau model fluid. Chem. Eng. Process 2005, 44, 1312–1319. [Google Scholar]
- Reedy, S.; Srihari, P.; Ali, F.; Naikoti, K. Numerical analysis of Carreau fluid flow over a vertical porous microchannel with entropy generation. Partial. Differ. Equ. Appl. Math. 2022, 5, 100304. [Google Scholar]
- Abbas, T.; Rehman, S.; Shah, R.A.; Idrees, M.; Qayyum, M. Analysis of MHD Carreau fluid flow over a stretching permeable sheet with variable viscosity and thermal conductivity. Physical A 2020, 551, 124225. [Google Scholar]
- Megahed, M. Carreau fluid flow due to nonlinearly stretching sheet with thermal radiation, heat flux, and variable thermal conductivity. Appl. Math. Mech. 2019, 40, 1615–1624. [Google Scholar]
- Hayat, T.; Yasmin, H.; Alsaedi, A. Peristatic motion of Carreau fluid in a channel with convective boundary conditions. Appl. Bionics Biomech. 2014, 11, 157–168. [Google Scholar]
- Alqarni, M.M.; Riaz, A.; Firdous, M.; Lali, I.U.; El Sayed, M.; El-Din, T.; ur Rahman, S. Hall currents and EDL effects on multiphase wavy flow of Carreau fluid in a microchannel having oscillating walls: A numerical study. Front. Phys. 2022, 10, 984277. [Google Scholar] [CrossRef]
- Noreen, S.; Kausar, T.; Tripathi, D.; Ain, Q.U.; Lu, D. Heat transfer analysis on creeping flow Carreau fluid driven by peristaltic pumping in an inclined asymmetric channel. Therm. Sci. Eng. Prog. 2020, 17, 100486. [Google Scholar] [CrossRef]
- Asha, S.K.; Beleri, J. Peristatic flow of Carreau nanofluid in presence of joule heat effect in an inclined asymmetric channel by multi-step differential transformation method. World Sci. News Int. J. 2022, 164, 44–63. [Google Scholar]
- Qayyum, M.; Abbas, T.; Afzal, S.; Saeed, S.T.; Akgül, A.; Inc, M.; Mahmoud, K.H.; Alsubaie, A.S. Heat transfer analysis of unsteady MHD Carreau fluid flow over a stretching/shrinking sheet. Coatings 2022, 12, 1661. [Google Scholar]
- Shao, Y.; Wu, A.; Abbas, S.; Khan, W.; Ashraf, I. Thermal management for the shear-rate driven flow of Carreau fluid in a ciliated channel. Int. Commun. Heat Mass Transf. 2022, 139, 106473. [Google Scholar]
- Tshehla, M.S. The flow of a Carreau fluid down an inclined with a free surface. Int. J. Phys. Sci. 2011, 6, 3896–3910. [Google Scholar]
- Tijani, Y.O.; Oloniiju, S.D.; Kasali, K.B.; Akolade, M.T. Nonsimilar solution of a boundary layer flow of a Reiner–Philippoff fluid with nonlinear thermal convection. Heat Transf. 2022, 51, 5659–5678. [Google Scholar]
- Agbaje, T.; Mondal, S.; Motsa, S.; Sibanda, P. A numerical study of unsteady non-Newtonian Powell-Eyring nanofluid flow over a shrinking sheet with heat generation and thermal radiation. Alex. Eng. J. 2017, 56, 81–91. [Google Scholar]
- Magagula, V.M. On the multidomain bivariate spectral local linearization method for solving systems of nonlinear boundary layer partial differential equations. Int. J. Math. Math. Sci. 2019, 2019, 6423294. [Google Scholar]
- Tairu, S.; Makinde, O.D. Analysis of nonlinear heat transfer in a cylindrical solid with two-step exothermic kinetic and radiative heat loss. Defect Diffus. Forum 2017, 377, 17–28. [Google Scholar]


















| 0.00 | 0.8472544166 | 0.5231137461 | 0.5231137500 | |
| 0.25 | 0.7969166162 | 0.5149631360 | ||
| 0.50 | 0.6436905650 | 0.4901023867 | ||
| 0.75 | 0.3812086637 | 0.4472855132 | ||
| 1.00 | 0.3843857453 |
| 0.1 | 0.1 | 0.5 | 0.5 | 0.1 | 1.0 | 0.17064 |
| 0.3 | 0.1 | 0.5 | 0.5 | 0.1 | 1.0 | 0.15603 |
| 0.5 | 0.1 | 0.5 | 0.5 | 0.1 | 1.0 | 0.14231 |
| 0.1 | 0.1 | 0.5 | 0.5 | 0.1 | 1.0 | 0.17064 |
| 0.1 | 0.3 | 0.5 | 0.5 | 0.1 | 1.0 | 0.15942 |
| 0.1 | 0.5 | 0.5 | 0.5 | 0.1 | 1.0 | 0.14860 |
| 0.1 | 0.1 | 0.1 | 0.5 | 0.1 | 1.0 | 0.18038 |
| 0.1 | 0.1 | 0.3 | 0.5 | 0.1 | 1.0 | 0.17695 |
| 0.1 | 0.1 | 0.5 | 0.5 | 0.1 | 1.0 | 0.17064 |
| 0.1 | 0.1 | 0.5 | 0.5 | 0.1 | 1.0 | 0.17064 |
| 0.1 | 0.1 | 0.5 | 1.0 | 0.1 | 1.0 | 0.18081 |
| 0.1 | 0.1 | 0.5 | 1.5 | 0.1 | 1.0 | 0.18591 |
| 0.1 | 0.1 | 0.5 | 0.5 | 0.1 | 1.0 | 0.17064 |
| 0.1 | 0.1 | 0.5 | 0.5 | 0.3 | 1.0 | 0.19447 |
| 0.1 | 0.1 | 0.5 | 0.5 | 0.5 | 1.0 | 0.21836 |
| 0.1 | 0.1 | 0.5 | 0.5 | 0.1 | 0.5 | 0.10362 |
| 0.1 | 0.1 | 0.5 | 0.5 | 0.1 | 1.0 | 0.17064 |
| 0.1 | 0.1 | 0.5 | 0.5 | 0.1 | 1.5 | 0.22120 |
Disclaimer/Publisher’s Note: The statements, opinions and data contained in all publications are solely those of the individual author(s) and contributor(s) and not of MDPI and/or the editor(s). MDPI and/or the editor(s) disclaim responsibility for any injury to people or property resulting from any ideas, methods, instructions or products referred to in the content. |
© 2023 by the authors. Licensee MDPI, Basel, Switzerland. This article is an open access article distributed under the terms and conditions of the Creative Commons Attribution (CC BY) license (https://creativecommons.org/licenses/by/4.0/).
Share and Cite
Adeosun, A.T.; Ukaegbu, J.C.; Lebelo, R.S. Numerical Investigation of a Combustible Polymer in a Rectangular Stockpile: A Spectral Approach. Mathematics 2023, 11, 3510. https://doi.org/10.3390/math11163510
Adeosun AT, Ukaegbu JC, Lebelo RS. Numerical Investigation of a Combustible Polymer in a Rectangular Stockpile: A Spectral Approach. Mathematics. 2023; 11(16):3510. https://doi.org/10.3390/math11163510
Chicago/Turabian StyleAdeosun, Adeshina T., Joel C. Ukaegbu, and Ramoshweu S. Lebelo. 2023. "Numerical Investigation of a Combustible Polymer in a Rectangular Stockpile: A Spectral Approach" Mathematics 11, no. 16: 3510. https://doi.org/10.3390/math11163510
APA StyleAdeosun, A. T., Ukaegbu, J. C., & Lebelo, R. S. (2023). Numerical Investigation of a Combustible Polymer in a Rectangular Stockpile: A Spectral Approach. Mathematics, 11(16), 3510. https://doi.org/10.3390/math11163510

