Mathematical Model of the Flow in a Nanofiber/Microfiber Mixed Aerosol Filter
Abstract
1. Introduction
2. Formulation of the Problem
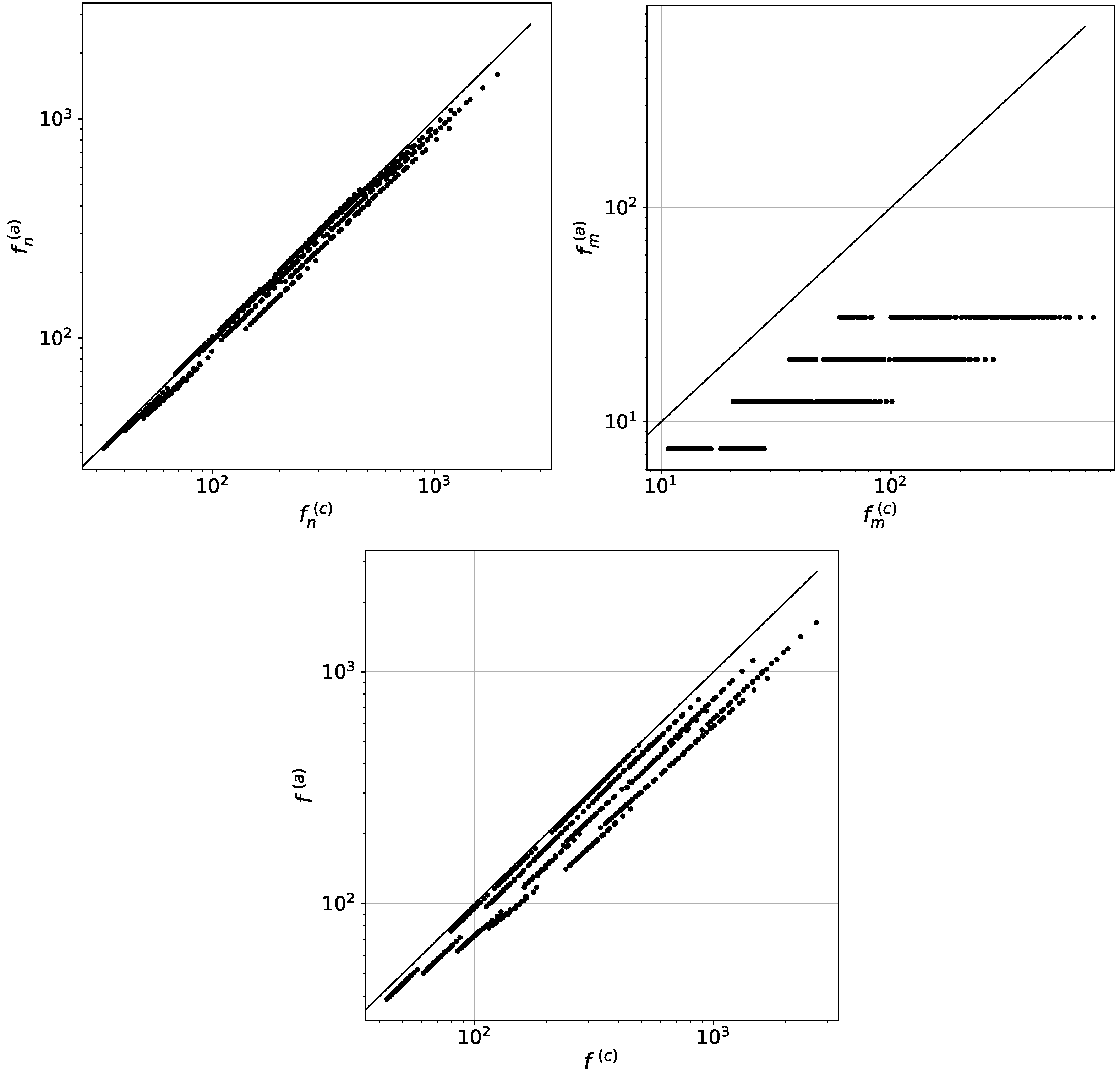
3. Numerical Results
4. Conclusions
Author Contributions
Funding
Data Availability Statement
Conflicts of Interest
References
- Fuchs, N.A. The Mechanics of Aerosol; Pergamon Press: New York, NY, USA, 1964; p. 408. [Google Scholar]
- Pich, J. The filtration theory of highly dispersed aerosols. Staub Reinhalt. Luft. 1965, 5, 16–23. [Google Scholar] [CrossRef]
- Kirsch, A.A.; Stechkina, I.B. Theory of aerosol filtration with fibrous filters. In Fundamentals of Aerosol Science; Wiley & Sons: New York, NY, USA, 1978; pp. 165–256. [Google Scholar]
- Tien, C. Granular Filtration of Aerosols and Hydrosols; Butterworth Series in Chemical Engineering; Butterworths: Stoneham, MA, USA, 1989; p. 365. [Google Scholar]
- Brown, R.C. Air Filtration; Pergamon Press: Oxford, UK, 1993; p. 408. [Google Scholar]
- Spurny, K.R. Advances in Aerosol Filtration; Lewis Publishers: Boca Raton, FL, USA, 1998; p. 533. [Google Scholar]
- Hinds, W. Aerosol Technology: Properties, Behavior, and Measurement of Airborne Particles, 2nd ed.; Wiley: New York, NY, USA, 1999; p. 504. [Google Scholar]
- Kuwabara, S. The forces experienced by randomly distributed parallel circular cylinders or spheres in a viscous flow at small Reynolds numbers. J. Phys. Soc. Jpn. 1959, 14, 527–532. [Google Scholar] [CrossRef]
- Asgharian, B.; Cheng, Y.S. The Filtration of Fibrous Aerosols. Aerosol Sci. Technol. 2002, 36, 10–17. [Google Scholar] [CrossRef]
- Kirsh, V.A. Diffusional Deposition of Heavy Submicron Aerosol Particles on Fibrous Filters. Colloid J. 2005, 67, 313–317. [Google Scholar] [CrossRef]
- Dunnett, S.; Clement, C. A numerical study of the effects of loading from diffusive deposition on the efficiency of fibrous filters. J. Aerosol Sci. 2006, 37, 1116–1139. [Google Scholar] [CrossRef]
- Davies, C.N.; Peetz, C.V.; Massey, H.S.W. Impingement of particles on a transverse cylinder. Proc. R. Soc. Lond. Ser. A Math. Phys. Sci. 1956, 234, 269–295. [Google Scholar] [CrossRef]
- Griffin, F.O.; Meisen, A. Impaction of spherical particles on cylinders at moderate Reynolds numbers. Chem. Eng. Sci. 1973, 28, 2155–2164. [Google Scholar] [CrossRef]
- Suneja, S.K.; Lee, C.H. Aerosol filtration by fibrous filters at intermediate Reynolds numbers (≤100). Atmos. Environ. 1974, 8, 1081–1094. [Google Scholar] [CrossRef]
- Lee, K.W.; Liu, B.Y.H. Theoretical Study of Aerosol Filtration by Fibrous Filters. Aerosol Sci. Technol. 1982, 1, 147–161. [Google Scholar] [CrossRef]
- Brown, R.C. A many-fibre model of airflow through a fibrous filter. J. Aerosol Sci. 1984, 15, 583–593. [Google Scholar] [CrossRef]
- Rao, N.; Faghri, M. Computer Modeling of Aerosol Filtration by Fibrous Filters. Aerosol Sci. Technol. 1988, 8, 133–156. [Google Scholar] [CrossRef]
- Ramarao, B.V.; Tien, C.; Mohan, S. Calculation of single fiber efficiencies for interception and impaction with superposed Brownian motion. J. Aerosol Sci. 1994, 25, 295–313. [Google Scholar] [CrossRef]
- Liu, Z.G.; Wang, P.K. Numerical Investigation of Viscous Flow Fields Around Multifiber Filters. Aerosol Sci. Technol. 1996, 25, 375–391. [Google Scholar] [CrossRef]
- Li, Y.; Park, C.W. Deposition of Brownian Particles on Cylindrical Collectors in a Periodic Array. J. Colloid Interface Sci. 1997, 185, 49–56. [Google Scholar] [CrossRef]
- Wang, C.Y. Stokes flow through a rectangular array of circular cylinders. Fluid Dyn. Res. 2001, 29, 65–80. [Google Scholar] [CrossRef]
- Chen, S.; Cheung, C.S.; Chan, C.K.; Zhu, C. Numerical simulation of aerosol collection in filters with staggered parallel rectangular fibres. Comput. Mech. 2002, 28, 152–161. [Google Scholar] [CrossRef]
- Przekop, R.; Moskal, A.; Gradon, L. Lattice-Boltzmann approach for description of the structure of deposited particulate matter in fibrous filters. J. Aerosol Sci. 2003, 34, 133–147. [Google Scholar] [CrossRef]
- Li, S.Q.; Marshall, J. Discrete element simulation of micro-particle deposition on a cylindrical fiber in an array. J. Aerosol Sci. 2007, 38, 1031–1046. [Google Scholar] [CrossRef]
- Kirsch, V.A. Stokes flow in model fibrous filters. Sep. Purif. Technol. 2007, 58, 288–294. [Google Scholar] [CrossRef]
- Wang, J.; Pui, D.Y.H. Filtration of aerosol particles by elliptical fibers: A numerical study. J. Nanopart. Res. 2009, 11, 185–196. [Google Scholar] [CrossRef]
- Qian, F.; Zhang, J.; Huang, Z. Effects of the Operating Conditions and Geometry Parameter on the Filtration Performance of the Fibrous Filter. Chem. Eng. Technol. 2009, 32, 789–797. [Google Scholar] [CrossRef]
- Hosseini, S.A.; Tafreshi, H.V. Modeling particle filtration in disordered 2-D domains: A comparison with cell models. Sep. Purif. Technol. 2010, 74, 160–169. [Google Scholar] [CrossRef]
- Kouropoulos, G. The effect of the Reynolds number of air flow to the particle collection efficiency of a fibrous filter medium with cylindrical section. J. Urban Environ. Eng. 2014, 8, 3–10. [Google Scholar] [CrossRef]
- Muller, T.K.; Meyer, J.; Kasper, G. Low Reynolds number drag and particle collision efficiency of a cylindrical fiber within a parallel array. J. Aerosol Sci. 2014, 77, 50–66. [Google Scholar] [CrossRef]
- Cho, D.; Naydich, A.; Frey, M.W.; Joo, Y.L. Further improvement of air filtration efficiency of cellulose filters coated with nanofibers via inclusion of electrostatically active nanoparticles. Polymer 2013, 54, 2364–2372. [Google Scholar] [CrossRef]
- Hassan, M.A.; Yeom, B.Y.; Wilkie, A.; Pourdeyhimi, B.; Khan, S.A. Fabrication of nanofiber meltblown membranes and their filtration properties. J. Membr. Sci. 2013, 427, 336–344. [Google Scholar] [CrossRef]
- Uppal, R.; Bhat, G.; Eash, C.; Akato, K. Meltblown Nanofiber Media for Enhanced Quality Factor. Fibers Polym. 2013, 14, 660–668. [Google Scholar] [CrossRef]
- Zhou, Y.; Liu, Y.; Zhang, M.; Feng, Z.; Yu, D.G.; Wang, K. Electrospun Nanofiber Membranes for Air Filtration: A Review. Nanomaterials 2022, 12, 1077. [Google Scholar] [CrossRef]
- Matulevicius, J.; Kliucininkas, L.; Martuzevicius, D.; Krugly, E.; Tichonovas, M.; Baltrusaitis, J. Design and Characterization of Electrospun Polyamide Nanofiber Media for Air Filtration Applications. J. Nanomater. 2014, 2014, 1–13. [Google Scholar] [CrossRef]
- Kirsch, A.; Stechkina, I.B.; Fuchs, N. Effect of gas slip on the pressure drop in fibrous filters. J. Aerosol Sci. 1973, 4, 287–293. [Google Scholar]
- Bao, L.; Seki, K.; Niinuma, H.; Otani, Y.; Balgis, R.; Ogi, T.; Gradon, L.; Okuyama, K. Verification of slip flow in nanofiber filter media through pressure drop measurement at low-pressure conditions. Sep. Purif. Technol. 2016, 159, 100–107. [Google Scholar] [CrossRef]
- Choi, H.J.; Kumita, M.; Seto, T.; Inui, Y.; Bao, L.; Fujimoto, T.; Otani, Y. Effect of slip flow on pressure drop of nanofiber filters. J. Aerosol Sci. 2017, 114, 244–249. [Google Scholar] [CrossRef]
- Lee, S.; Bui-Vinh, D.; Baek, M.; Kwak, D.B.; Lee, H. Modeling pressure drop values across ultra-thin nanofiber filters with various ranges of filtration parameters under an aerodynamic slip effect. Sci. Rep. 2023, 13, 5449. [Google Scholar] [CrossRef]
- Maze, B.; Vahedi Tafreshi, H.; Wang, Q.; Pourdeyhimi, B. A simulation of unsteady-state filtration via nanofiber media at reduced operating pressures. J. Aerosol Sci. 2007, 38, 550–571. [Google Scholar] [CrossRef]
- Wang, J.; Kim, S.C.; Pui, D.Y.H. Figure of Merit of Composite Filters with Micrometer and Nanometer Fibers. Aerosol Sci. Technol. 2008, 42, 722–728. [Google Scholar] [CrossRef]
- Podgorski, A.; Maisser, A.; Szymanski, W.W.; Jackiewicz, A.; Gradon, L. Penetration of Monodisperse, Singly Charged Nanoparticles through Polydisperse Fibrous Filters. Aerosol Sci. Technol. 2011, 45, 215–233. [Google Scholar] [CrossRef]
- Sambaer, W.; Zatloukal, M.; Kimmer, D. 3D modeling of filtration process via polyurethane nanofiber based nonwoven filters prepared by electrospinning process. Chem. Eng. Sci. 2011, 66, 613–623. [Google Scholar] [CrossRef]
- Ramakrishnan, S.; Johnson, J.; Muzwar, M.; Chetty, R.; Arul Prakash, K. Numerical modeling of nanofibrous filter media and performance characteristics. Chem. Eng. Sci. 2022, 262, 118019. [Google Scholar] [CrossRef]
- Choi, H.J.; Kumita, M.; Hayashi, S.; Yuasa, H.; Kamiyama, M.; Seto, T.; Tsai, C.J.; Otani, Y. Filtration Properties of Nanofiber/Microfiber Mixed Filter and Prediction of its Performance. Aerosol Air Qual. Res. 2017, 17, 1052–1062. [Google Scholar] [CrossRef]
- Bao, L.; Otani, Y.; Namiki, N.; Mori, J.; Emi, H. Prediction of HEPA Filter Collection Efficiency with a Bimodal Fiber Size Distribution. Kagaku Kogaku Ronbunshu 1998, 24, 766–771. [Google Scholar] [CrossRef][Green Version]
- Happel, J.; Brenner, H. Low Reynolds Number Hydrodynamics: With Special Applications to Particulate Media; Prentice-Hall: Englewood Cliffs, NJ, USA; New York, NY, USA, 1965; p. 553. [Google Scholar]
- Li, P.; Wang, C.; Zhang, Y.; Wei, F. Air Filtration in the Free Molecular Flow Regime: A Review of High-Efficiency Particulate Air Filters Based on Carbon Nanotubes. Small 2014, 10, 4543–4561. [Google Scholar] [CrossRef]
- Basset, A.B. A Treatise on Hydrodynamics; Deighton, Bell and Company: London, UK, 1888. [Google Scholar]
- Maxwell, J.C. On stresses in rarified gases arising from inequalities of temperature. Philos. Trans. R. Soc. Lond. 1879, 170, 231–256. [Google Scholar] [CrossRef]
- Kirsh, V.; Budyka, A.; Kirsh, A. Simulation of nanofibrous filters produced by the electrospinning method: 2. The effect of gas slip on the pressure drop. Colloid J. 2008, 70, 584–588. [Google Scholar] [CrossRef]
- Mardanov, R.; Zaripov, S.; Sharafutdinov, V. New mathematical model of fluid flow around nanofiber in a periodic cell. Lobachevskii J. Math. 2022, 43, 2206–2221. [Google Scholar] [CrossRef]
- Mardanov, R.; Dunnett, S.; Zaripov, S. Modeling of fluid flow in periodic cell with porous cylinder using a boundary element method. Eng. Anal. Bound. Elem. 2016, 68, 54–62. [Google Scholar] [CrossRef][Green Version]
- Zaripov, S.; Mardanov, R.; Sharafutdinov, V. Determination of Brinkman model parameters using Stokes flow model. Transp. Porous Media 2019, 130, 529–557. [Google Scholar] [CrossRef]
- de Luca Xavier Augusto, L.; Tronville, P.; Gonçalves, J.A.S.; Lopes, G.C. A simple numerical method to simulate the flow through filter media: Investigation of different fibre allocation algorithms. Can. J. Chem. Eng. 2021, 99, 2760–2770. [Google Scholar] [CrossRef]









| Parameter | Values |
|---|---|
| N | 10, 20, 30, 50, 70 |
| 0.05, 0.1, 0.15, 0.2 | |
| k | 10, 12.5, 15, 17.5, 20 |
| 0, 0.1, 0.2, 0.3, 0.4, 0.5 |
| Average (22) and (23) | 20.8 | 6.4 | 68.5 |
| Maximum (22) and (23) | 44.3 | 22.8 | 96 |
| Average (24)–(27) | 3.6 | 2.3 | 8.9 |
| Maximum (24)–(27) | 11.9 | 8 | 22.7 |
| i | N | L [µm] | |||
|---|---|---|---|---|---|
| 1 | 0.05 | 0.152 | 11 | 3.2 | 276 |
| 2 | 0.1 | 0.172 | 23 | 2.68 | 237 |
| 3 | 0.2 | 0.186 | 52 | 3.27 | 235 |
| 4 | 0.3 | 0.195 | 88 | 1.57 | 239 |
Disclaimer/Publisher’s Note: The statements, opinions and data contained in all publications are solely those of the individual author(s) and contributor(s) and not of MDPI and/or the editor(s). MDPI and/or the editor(s) disclaim responsibility for any injury to people or property resulting from any ideas, methods, instructions or products referred to in the content. |
© 2023 by the authors. Licensee MDPI, Basel, Switzerland. This article is an open access article distributed under the terms and conditions of the Creative Commons Attribution (CC BY) license (https://creativecommons.org/licenses/by/4.0/).
Share and Cite
Panina, E.; Mardanov, R.; Zaripov, S. Mathematical Model of the Flow in a Nanofiber/Microfiber Mixed Aerosol Filter. Mathematics 2023, 11, 3465. https://doi.org/10.3390/math11163465
Panina E, Mardanov R, Zaripov S. Mathematical Model of the Flow in a Nanofiber/Microfiber Mixed Aerosol Filter. Mathematics. 2023; 11(16):3465. https://doi.org/10.3390/math11163465
Chicago/Turabian StylePanina, Elvina, Renat Mardanov, and Shamil Zaripov. 2023. "Mathematical Model of the Flow in a Nanofiber/Microfiber Mixed Aerosol Filter" Mathematics 11, no. 16: 3465. https://doi.org/10.3390/math11163465
APA StylePanina, E., Mardanov, R., & Zaripov, S. (2023). Mathematical Model of the Flow in a Nanofiber/Microfiber Mixed Aerosol Filter. Mathematics, 11(16), 3465. https://doi.org/10.3390/math11163465

