Transient Convective Heat Transfer in Porous Media
Abstract
:1. Introduction
2. Theory
3. Fourier Transformation
4. Method of Integration
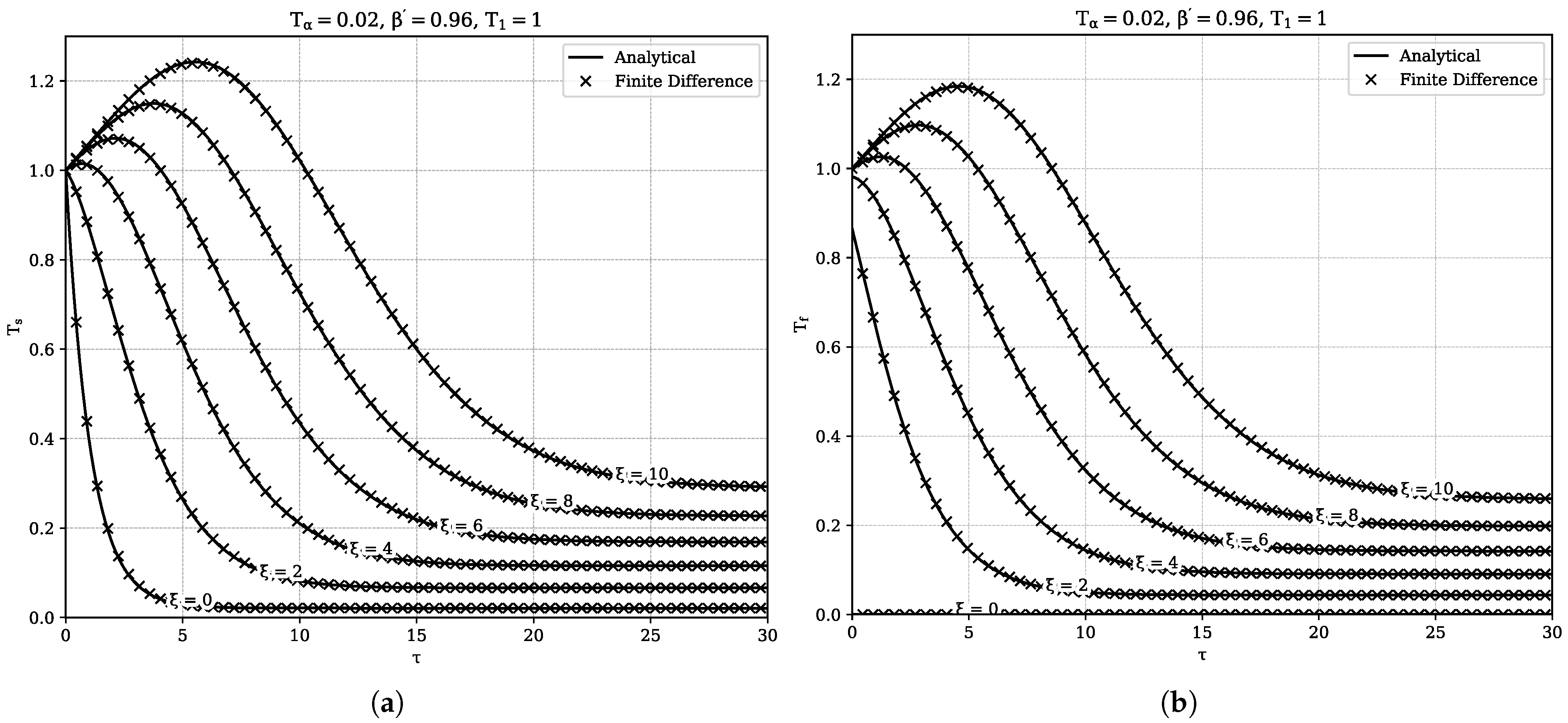
5. Finite Difference Method
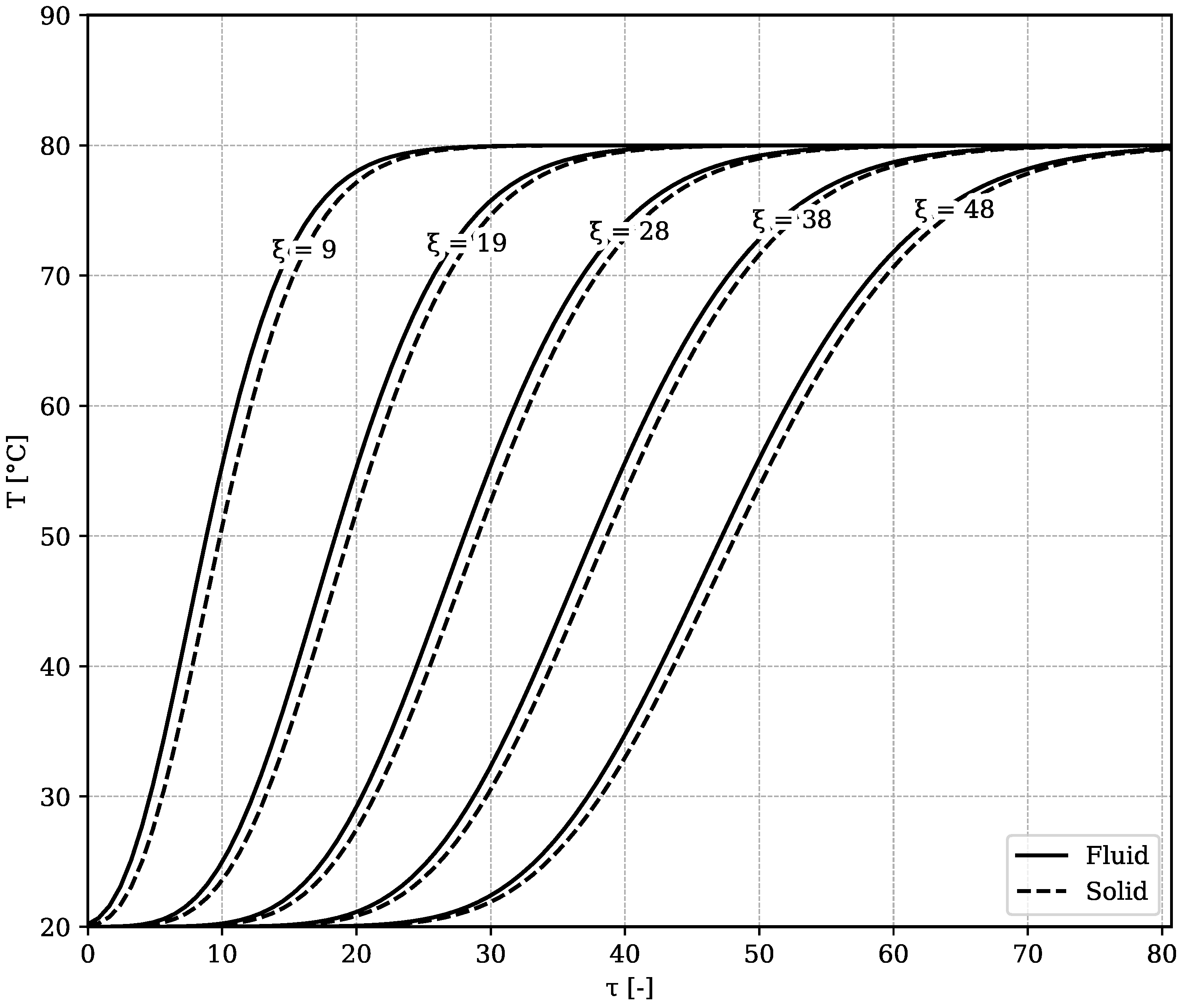
6. Practical Example
7. Convective Heat Transfer with Internal Heat Generation
8. Conclusions
Author Contributions
Funding
Data Availability Statement
Conflicts of Interest
Appendix A
References
- Trevisan, S.; Jemmal, Y.; Guedez, R.; Laumert, B. Packed bed thermal energy storage: A novel design methodology including quasi-dynamic boundary conditions and techno-economic optimization. J. Energy Storage 2021, 36, 102441. [Google Scholar] [CrossRef]
- Anderson, R.; Bates, L.; Johnson, E.; Morris, J.F. Packed bed thermal energy storage: A simplified experimentally validated model. J. Energy Storage 2015, 4, 14–23. [Google Scholar] [CrossRef]
- McTigue, J.D.; Markides, C.N.; White, A.J. Performance response of packed-bed thermal storage to cycle duration perturbations. J. Energy Storage 2018, 19, 379–392. [Google Scholar] [CrossRef]
- Ahmed, Z.; Constantin, A.; Bindra, H. The Thermal Response of a Packed Bed Thermal Energy Storage System upon Saturated Steam Injection Using Distributed Temperature Sensing. Energies 2022, 15, 3704. [Google Scholar] [CrossRef]
- Ma, X.; Fan, C.; Shao, W.; Cao, Q.; Cui, Z. Numerical and experimental studies of packed bed thermal energy storage system based on a novel transient energy model. Energy Sci. Eng. 2023, 11, 727–744. [Google Scholar] [CrossRef]
- Rindt, C.; Gaastra-Nedea, S. Modeling thermochemical reactions in thermal energy storage systems. In Advances in Thermal Energy Storage Systems; Elsevier: Amsterdam, The Netherlands, 2015; pp. 375–415. [Google Scholar]
- Gutfinger, C.; Abuaf, N. Heat transfer in fluidized beds. In Advances in Heat Transfer; Elsevier: Amsterdam, The Netherlands, 1974; Volume 10, pp. 167–218. [Google Scholar]
- Patil, A.V.; Peters, E.; Kolkman, T.; Kuipers, J. Modeling bubble heat transfer in gas–solid fluidized beds using DEM. Chem. Eng. Sci. 2014, 105, 121–131. [Google Scholar] [CrossRef]
- Oppong, F. Recent studies of heat transfer mechanisms in a fluidized bed. R D J. South Afr. Inst. Mech. Eng. 2018, 2018, 72–82. [Google Scholar]
- Anzelius, A. Über erwärmung vermittels durchströmender medien. ZAMM-J. Appl. Math. Mech. Angew. Math. Mech. 1926, 6, 291–294. [Google Scholar] [CrossRef]
- Schumann, T.E. Heat transfer: A liquid flowing through a porous prism. J. Frankl. Inst. 1929, 208, 405–416. [Google Scholar] [CrossRef]
- Brinkley, S.R., Jr. Heat transfer between a fluid and a porous solid generating heat. J. Appl. Phys. 1947, 18, 582–585. [Google Scholar] [CrossRef]
- Yang, K.; Vafai, K. Transient aspects of heat flux bifurcation in porous media: An exact solution. J. Heat Transfer. 2011, 133, 052602. [Google Scholar] [CrossRef]
- Villatoro, F.; Pérez, J.; Domínguez-Muñoz, F.; Cejudo-López, J. Approximate analytical solution for the heat transfer in packed beds for solar thermal storage in building simulators. In Proceedings of the Eleventh International IBPSA Conference, Glasgow, UK, 27–30 July 2009; pp. 709–715. [Google Scholar]
- Kuznetsov, A. An analytical solution for heating a two-dimensional porous packed bed by a non-thermal equilibrium fluid flow. Appl. Sci. Res. 1995, 55, 83–93. [Google Scholar] [CrossRef]





| Assumption | Justification |
|---|---|
| 1-D flow | tube configuration |
| conduction neglected | |
| constant fluid flow | experimental implementation |
| no heat exchange with environment | good setup insulation |
| linear internal heat generation for Brinkley model (see Section 7) | following Brinkley assumption that heat is generated by chemical reaction |
| semi-infinite domain | long-tube experiment |
| Parameter | Description | Value | Unit |
|---|---|---|---|
| L | reactor length | 5 | m |
| timescale | 75,000 | s | |
| porosity | 0.2 | - | |
| S | specific area | 120 | 1/m |
| solid density | 2900 | kg/m | |
| solid heat capacity | 900 | J/kgK | |
| fluid density | 1.11 | kg/m | |
| fluid heat capacity | 1008 | J/kgK | |
| u | fluid velocity | 0.1 | m/s |
| solid particle diameter | 0.04 | m | |
| h | heat transfer coefficient | 18.7 | W/mK |
| thermal conductivity | 0.026 | W/mK | |
| thermal diffusivity | m/s | ||
| solid convective coefficient | 1/s | ||
| fluid convective coefficient | 1/s | ||
| inlet temperature | 80 | °C | |
| initial temperature | 20 | °C |
Disclaimer/Publisher’s Note: The statements, opinions and data contained in all publications are solely those of the individual author(s) and contributor(s) and not of MDPI and/or the editor(s). MDPI and/or the editor(s) disclaim responsibility for any injury to people or property resulting from any ideas, methods, instructions or products referred to in the content. |
© 2023 by the authors. Licensee MDPI, Basel, Switzerland. This article is an open access article distributed under the terms and conditions of the Creative Commons Attribution (CC BY) license (https://creativecommons.org/licenses/by/4.0/).
Share and Cite
D’Rose, R.; Willemsz, M.; Smeulders, D. Transient Convective Heat Transfer in Porous Media. Mathematics 2023, 11, 4415. https://doi.org/10.3390/math11214415
D’Rose R, Willemsz M, Smeulders D. Transient Convective Heat Transfer in Porous Media. Mathematics. 2023; 11(21):4415. https://doi.org/10.3390/math11214415
Chicago/Turabian StyleD’Rose, Ruben, Mark Willemsz, and David Smeulders. 2023. "Transient Convective Heat Transfer in Porous Media" Mathematics 11, no. 21: 4415. https://doi.org/10.3390/math11214415
APA StyleD’Rose, R., Willemsz, M., & Smeulders, D. (2023). Transient Convective Heat Transfer in Porous Media. Mathematics, 11(21), 4415. https://doi.org/10.3390/math11214415
