Fixed-Time Adaptive Chaotic Control for Permanent Magnet Synchronous Motor Subject to Unknown Parameters and Perturbations
Abstract
1. Introduction
- The developed controller is designed within the fixed-time control framework. Stability analysis demonstrates that the developed controller can ensure the system states stabilize within a fixed time to small neighborhoods around the equilibrium point.
- The parametric adaptive mechanism is incorporated into the developed controller to estimate the unknown parameters and perturbations, respectively. Unlike the controllers in [58,59], this design ensures that the developed controller is not only insensitive to unknown parameters but also robust against perturbations.
2. Preliminaries and Problem Description
2.1. Preliminaries
2.2. Problem Description
3. Main Results
3.1. Chaotic Control about
3.2. Chaotic Control about and
4. Simulated Studies
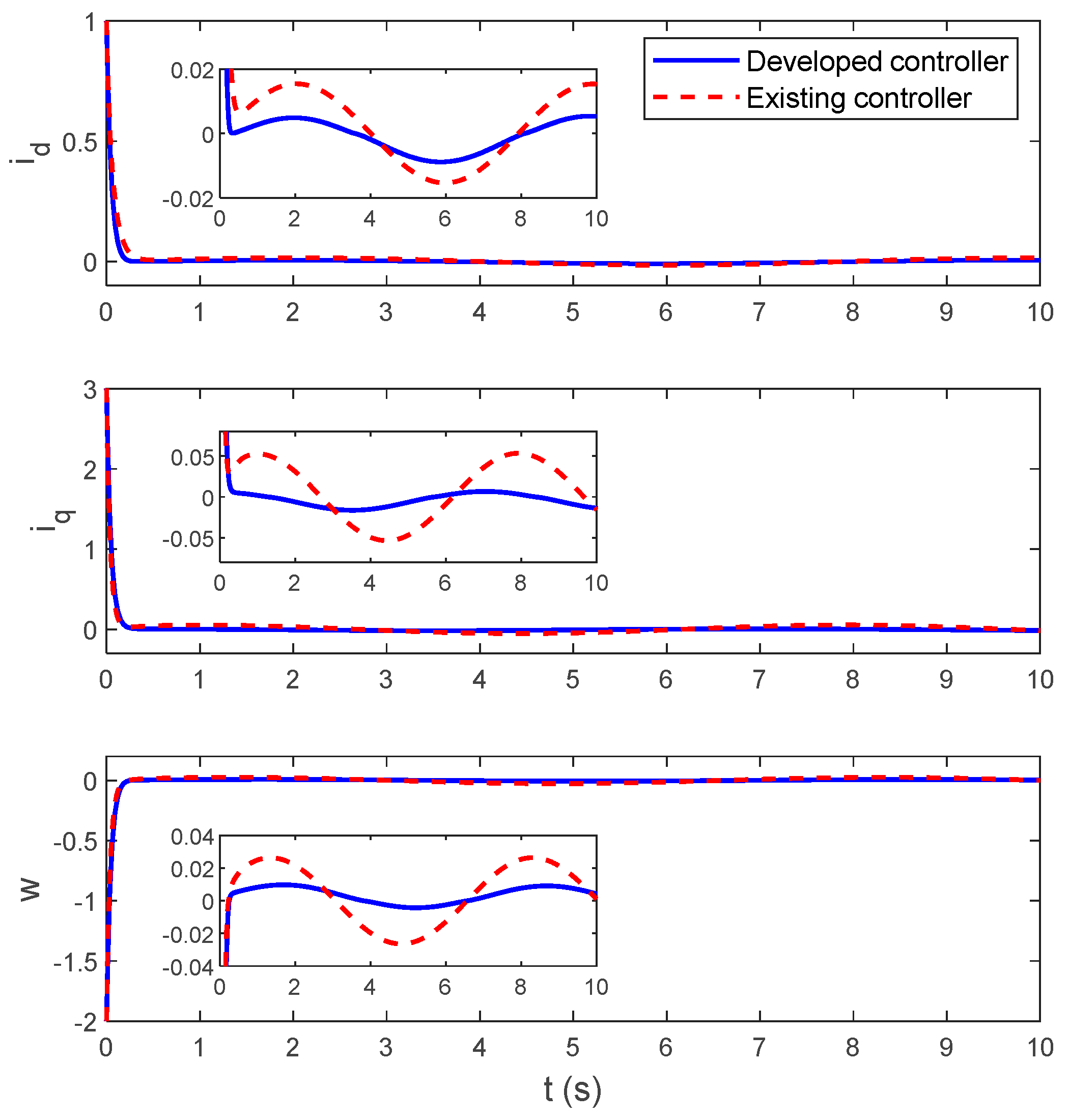
4.1. Performance Comparisons
4.2. Fixed-Time Stability Tests
5. Conclusions
Author Contributions
Funding
Data Availability Statement
Conflicts of Interest
References
- Jing, Z.; Park, J.B.; Joo, Y.H.; Zhang, B.; Chen, G. Bifurcations and chaos in a permanent-magnet synchronous motor. IEEE Trans. Circuits Syst. I Fundam. Theory Appl. 2002, 49, 383–387. [Google Scholar]
- Jing, Z.; Yu, C.; Chen, G. Complex dynamics in a permanent-magnet synchronous motor model. Chaos Solitons Fractals 2004, 22, 831–848. [Google Scholar] [CrossRef]
- Zribi, M.; Oteafy, A.; Smaoui, N. Controlling chaos in the permanent magnet synchronous motor. Chaos Solitons Fractals 2009, 41, 1266–1276. [Google Scholar] [CrossRef]
- Chen, S.; Lü, J. Synchronization of an uncertain unified chaotic system via adaptive control. Chaos Solitons Fractals 2002, 14, 643–647. [Google Scholar] [CrossRef]
- Chen, S.; Lü, J. Parameters identification and synchronization of chaotic systems based upon adaptive control. Phys. Lett. A 2002, 299, 353–358. [Google Scholar] [CrossRef]
- Yau, H.-T.; Chen, C.-L. Chaos control of Lorenz systems using adaptive controller with input saturation. Chaos Solitons Fractals 2007, 34, 1567–1574. [Google Scholar] [CrossRef]
- Wang, C.; Ge, S.S. Adaptive synchronization of uncertain chaotic systems via backstepping design. Chaos Solitons Fractals 2001, 12, 1199–1206. [Google Scholar] [CrossRef]
- Yu, Y.; Zhang, S. Adaptive backstepping synchronization of uncertain chaotic system. Chaos Solitons Fractals 2004, 21, 643–649. [Google Scholar] [CrossRef]
- Bowong, S.; Kakmeni, F.M.M. Synchronization of uncertain chaotic systems via backstepping approach. Chaos Solitons Fractals 2004, 21, 999–1011. [Google Scholar] [CrossRef]
- Bowong, S. Adaptive synchronization of chaotic systems with unknown bounded uncertainties via backstepping approach. Nonlinear Dyn. 2007, 49, 59–70. [Google Scholar] [CrossRef]
- Peng, C.-C.; Chen, C.-L. Robust chaotic control of Lorenz system by backstepping design. Chaos Solitons Fractals 2008, 37, 598–608. [Google Scholar] [CrossRef]
- Yu, S.-H.; Hyun, C.-H.; Park, M. Control and synchronization of new hyperchaotic system using active backstepping design. Int. J. Fuzzy Log. Intell. Syst. 2011, 11, 77–83. [Google Scholar] [CrossRef]
- Yu, S.-H.; Hyun, C.-H.; Park, M. Backstepping control and synchronization for 4-D Lorenz-Stenflo chaotic system with single input. Int. J. Fuzzy Log. Intell. Syst. 2011, 11, 143–148. [Google Scholar] [CrossRef]
- Tu, J.; He, H.; Xiong, P. Adaptive backstepping synchronization between chaotic systems with unknown Lipschitz constant. Appl. Math. Comput. 2014, 236, 10–18. [Google Scholar] [CrossRef]
- Yau, H.-T. Design of adaptive sliding mode controller for chaos synchronization with uncertainties. Chaos Solitons Fractals 2004, 22, 341–347. [Google Scholar] [CrossRef]
- Yan, J.-J.; Yang, Y.-S.; Chiang, T.-Y.; Chen, C.-Y. Robust synchronization of unified chaotic systems via sliding mode control. Chaos Solitons Fractals 2007, 34, 947–954. [Google Scholar] [CrossRef]
- Li, W.-L.; Chang, K.-M. Robust synchronization of drive-response chaotic systems via adaptive sliding mode control. Chaos Solitons Fractals 2009, 39, 2086–2092. [Google Scholar] [CrossRef]
- Wang, B.; Wen, G. On the synchronization of uncertain master-slave chaotic systems with disturbance. Chaos Solitons Fractals 2009, 41, 145–151. [Google Scholar] [CrossRef]
- Feki, M. Sliding mode control and synchronization of chaotic systems with parametric uncertainties. Chaos Solitons Fractals 2009, 41, 1390–1400. [Google Scholar] [CrossRef]
- Zribi, M.; Smaoui, N.; Salim, H. Synchronization of the unified chaotic systems using a sliding mode controller. Chaos Solitons Fractals 2009, 42, 3197–3209. [Google Scholar] [CrossRef]
- Pourmahmood, M.; Khanmohammadi, S.; Alizadeh, G. Synchronization of two different uncertain chaotic systems with unknown parameters using a robust adaptive sliding mode controller. Commun. Nonlinear Sci. Numer. Simul. 2011, 16, 2853–2868. [Google Scholar] [CrossRef]
- Liu, H.; Yang, J. Sliding-mode synchronization control for uncertain fractional-order chaotic systems with time delay. Entropy 2015, 17, 4202–4214. [Google Scholar] [CrossRef]
- Cheng, C.-K.; Chao, P.C.-P. Trajectory tracking between Josephson junction and classical chaotic system via iterative learning control. Appl. Sci. 2018, 8, 1285. [Google Scholar] [CrossRef]
- Kim, J.-H.; Park, C.-W.; Kim, E.; Park, M. Fuzzy adaptive synchronization of uncertain chaotic systems. Phys. Lett. A 2005, 334, 295–305. [Google Scholar] [CrossRef]
- Liu, Y.-J.; Zheng, Y.-Q. Adaptive robust fuzzy control for a class of uncertain chaotic systems. Nonlinear Dyn. 2009, 57, 431–439. [Google Scholar] [CrossRef]
- Lin, D.; Wang, X. Self-organizing adaptive fuzzy neural control for the synchronization of uncertain chaotic systems with random-varying parameters. Neurocomputing 2011, 74, 2241–2249. [Google Scholar] [CrossRef]
- Lin, D.; Wang, X.; Yao, Y. Fuzzy neural adaptive tracking control of unknown chaotic systems with input saturation. Nonlinear Dyn. 2012, 67, 2889–2897. [Google Scholar] [CrossRef]
- Jahanshahi, H.; Shahriari-Kahkeshi, M.; Alcaraz, R.; Wang, X.; Singh, V.P.; Pham, V.-T. Entropy analysis and neural network-based adaptive control of a non-equilibrium four-dimensional chaotic system with hidden attractors. Entropy 2019, 21, 156. [Google Scholar] [CrossRef]
- Le, T.-L.; Huynh, T.-T.; Nguyen, V.-Q.; Lin, C.-M.; Hong, S.-K. Chaotic synchronization using a self-evolving recurrent interval type-2 Petri cerebellar model articulation controller. Mathematics 2020, 8, 219. [Google Scholar] [CrossRef]
- Zhu, Z.-Y.; Zhao, Z.-S.; Zhang, J.; Wang, R.-K.; Li, Z. Adaptive fuzzy control design for synchronization of chaotic time-delay system. Inf. Sci. 2020, 535, 225–241. [Google Scholar] [CrossRef]
- Jahanshahi, H.; Yousefpour, A.; Munoz-Pacheco, J.M.; Moroz, I.; Wei, Z.; Castillo, O. A new multi-stable fractional-order four-dimensional system with self-excited and hidden chaotic attractors: Dynamic analysis and adaptive synchronization using a novel fuzzy adaptive sliding mode control method. Appl. Soft Comput. 2020, 87, 105943. [Google Scholar] [CrossRef]
- Wang, S.-Y.; Lin, C.-M.; Li, C.-H. Design of adaptive TSK fuzzy self-organizing recurrent cerebellar model articulation controller for chaotic systems control. Mathematics 2021, 11, 1567. [Google Scholar] [CrossRef]
- Xiong, P.-Y.; Jahanshahi, H.; Alcaraz, R.; Chu, Y.-M.; Gómez-Aguilar, J.F.; Alsaadi, F.E. Spectral entropy analysis and synchronization of a multi-stable fractional-order chaotic system using a novel neural network-based chattering-free sliding mode technique. Chaos Solitons Fractals 2021, 144, 110576. [Google Scholar] [CrossRef]
- Yao, Q. Neural adaptive learning synchronization of second-order uncertain chaotic systems with prescribed performance guarantees. Chaos Solitons Fractals 2021, 152, 111434. [Google Scholar] [CrossRef]
- Zaqueros-Martinez, J.; Rodriguez-Gomez, G.; Tlelo-Cuautle, E.; Orihuela-Espina, F. Fuzzy synchronization of chaotic systems with hidden attractors. Entropy 2023, 25, 495. [Google Scholar] [CrossRef] [PubMed]
- Bhat, S.P.; Bernstein, D.S. Geometric homogeneity with applications to finite-time stability. Math. Control Signals Syst. 2005, 17, 101–127. [Google Scholar] [CrossRef]
- Bhat, S.P.; Bernstein, D.S. Finite-time stability of continuous autonomous systems. SIAM J. Control Optim. 2000, 38, 751–766. [Google Scholar] [CrossRef]
- Li, S.; Tian, Y.-P. Finite time synchronization of chaotic systems. Chaos Solitons Fractals 2003, 15, 303–310. [Google Scholar] [CrossRef]
- Aghababa, M.P.; Khanmohammadi, S.; Alizadeh, G. Finite-time synchronization of two different chaotic with unknown parameters via sliding mode technique. Appl. Math. Model. 2011, 35, 3080–3091. [Google Scholar] [CrossRef]
- Aghababa, M.P.; Aghababa, H.P. Chaos suppression of rotational machine systems via finite-time control method. Nonlinear Dyn. 2012, 69, 1881–1888. [Google Scholar] [CrossRef]
- Aghababa, M.P.; Aghababa, H.P. A general nonlinear adaptive control scheme for finite-time synchronization of chaotic systems with uncertain parameters and nonlinear inputs. Nonlinear Dyn. 2012, 69, 1903–1914. [Google Scholar] [CrossRef]
- Wang, S.; Yousefpour, A.; Yusuf, A.; Jahanshahi, H.; Alcaraz, R.; He, S.; Munoz-Pacheco, J.M. Synchronization of a non-equilibrium four-dimensional chaotic system using a disturbance-observer-based adaptive terminal sliding mode control method. Entropy 2020, 22, 271. [Google Scholar] [CrossRef] [PubMed]
- Wei, Z.; Yousefpour, A.; Jahanshahi, H.; Kocamaz, U.E.; Moroz, I. Hopf bifurcation and synchronization of a five-dimensional self-exciting homopolar disc dynamo using a new fuzzy disturbance-observer-based terminal sliding mode control. J. Frankl. Inst. 2021, 358, 814–833. [Google Scholar] [CrossRef]
- Narayanan, G.; Ali, M.S.; Alam, M.I.; Rajchakit, G.; Boonsatit, N.; Kumar, P.; Hammachukiattikul, P. Adaptive fuzzy feedback controller design for finite-time Mittag-Leffler synchronization of fractional-order quaternion-valued reaction-diffusion fuzzy molecular modeling of delayed neural networks. IEEE Access 2021, 9, 130862–130883. [Google Scholar] [CrossRef]
- Wang, Y.-L.; Jahanshahi, H.; Bekiros, S.; Bezzina, F.; Chu, Y.-M.; Aly, A.A. Deep recurrent neural networks with finite-time terminal sliding mode control for a chaotic fractional-order financial system with market confidence. Chaos Solitons Fractals 2021, 146, 110881. [Google Scholar] [CrossRef]
- Alsaadi, F.E.; Jahanshahi, H.; Yao, Q.; Mou, J. Recurrent neural networkbased technique for synchronization of fractional-order systems subject to control input limitations and faults. Chaos Solitons Fractals 2023, 173, 113717. [Google Scholar] [CrossRef]
- Wang, J.; Chen, X.; Fu, J. Adaptive finite-time control of chaos in permanent magnet synchronous motor with uncertain parameters. Nonlinear Dyn. 2014, 78, 1321–1328. [Google Scholar] [CrossRef]
- Narayanan, G.; Ali, M.S.; Iqbal, M.M.; Kumar, P. Synchronization of fractional-order permanent magnet synchronous generator model based on terminal sliding mode control with switching surface. Math. Eng. Sci. Aerosp. 2021, 12, 655–667. [Google Scholar]
- Andrieu, V.; Praly, L.; Astolfi, A. Homogeneous approximation, recursive observer design, and output feedback. SIAM J. Control Optim. 2008, 47, 1814–1850. [Google Scholar] [CrossRef]
- Polyakov, A. Nonlinear feedback design for fixed-time stabilization of linear control systems. IEEE Trans. Autom. Control. 2012, 57, 2106–2110. [Google Scholar] [CrossRef]
- Jiang, B.; Hu, Q.; Friswell, M.I. Fixed-time attitude control for rigid spacecraft with actuator saturation and faults. IEEE Trans. Control Syst. Technol. 2016, 51, 332–340. [Google Scholar] [CrossRef]
- Ni, J.; Liu, L.; Liu, C.; Hu, X.; Li, S. Fast fixed-time nonsingular terminal sliding mode control and its application to chaos suppression in power system. IEEE Trans. Circuits Syst. II Exp. Briefs 2017, 64, 151–155. [Google Scholar] [CrossRef]
- Yao, Q. Synchronization of second-order chaotic systems with uncertainties and disturbances using fixed-time adaptive sliding mode control. Chaos Solitons Fractals 2021, 142, 110372. [Google Scholar] [CrossRef]
- Yao, Q.; Jahanshahi, H.; Batrancea, L.M.; Alotaibi, N.D.; Rus, M.-I. Fixed-time output-constrained synchronization of unknown chaotic financial systems using neural learning. Mathematics 2022, 10, 3682. [Google Scholar] [CrossRef]
- Alsaade, F.W.; Yao, Q.; Bekiros, S.; Al-zahrani, M.S.; Alzahrani, A.S.; Jahanshahi, H. Chaotic attitude synchronization and anti-synchronization of master-slave satellites using a robust fixed-time adaptive controller. Chaos Solitons Fractals 2022, 165, 112883. [Google Scholar] [CrossRef]
- Yao, Q.; Alsaade, F.W.; Al-zahrani, M.S.; Jahanshahi, H. Fixed-time neural control for output-constrained synchronization of second-order chaotic systems. Chaos Solitons Fractals 2023, 169, 113284. [Google Scholar] [CrossRef]
- Bekiros, S.; Yao, Q.; Mou, J.; Alkhateeb, A.F.; Jahanshahi, H. Adaptive fixed-time robust control for function projective synchronization of hyperchaotic economic systems with external perturbations. Chaos Solitons Fractals 2023, 172, 113609. [Google Scholar] [CrossRef]
- Wang, H.; Yue, H.; Liu, S.; Li, T. Adaptive fixed-time control for Lorenz systems. Nonlinear Dyn. 2020, 102, 2617–2625. [Google Scholar] [CrossRef]
- Wang, H.; Ai, Y. Adaptive fixed-time control and synchronization for hyperchaotic Lü systems. Appl. Math. Comput. 2022, 433, 127388. [Google Scholar] [CrossRef]
- Hardy, G.H.; Littlewood, J.E.; Pólya, G. Inequalities; Cambridge University Press: Cambridge, UK, 1952. [Google Scholar]







Disclaimer/Publisher’s Note: The statements, opinions and data contained in all publications are solely those of the individual author(s) and contributor(s) and not of MDPI and/or the editor(s). MDPI and/or the editor(s) disclaim responsibility for any injury to people or property resulting from any ideas, methods, instructions or products referred to in the content. |
© 2023 by the authors. Licensee MDPI, Basel, Switzerland. This article is an open access article distributed under the terms and conditions of the Creative Commons Attribution (CC BY) license (https://creativecommons.org/licenses/by/4.0/).
Share and Cite
Yao, Q.; Jahanshahi, H.; Bekiros, S.; Liu, J.; Al-Barakati, A.A. Fixed-Time Adaptive Chaotic Control for Permanent Magnet Synchronous Motor Subject to Unknown Parameters and Perturbations. Mathematics 2023, 11, 3182. https://doi.org/10.3390/math11143182
Yao Q, Jahanshahi H, Bekiros S, Liu J, Al-Barakati AA. Fixed-Time Adaptive Chaotic Control for Permanent Magnet Synchronous Motor Subject to Unknown Parameters and Perturbations. Mathematics. 2023; 11(14):3182. https://doi.org/10.3390/math11143182
Chicago/Turabian StyleYao, Qijia, Hadi Jahanshahi, Stelios Bekiros, Jinping Liu, and Abdullah A. Al-Barakati. 2023. "Fixed-Time Adaptive Chaotic Control for Permanent Magnet Synchronous Motor Subject to Unknown Parameters and Perturbations" Mathematics 11, no. 14: 3182. https://doi.org/10.3390/math11143182
APA StyleYao, Q., Jahanshahi, H., Bekiros, S., Liu, J., & Al-Barakati, A. A. (2023). Fixed-Time Adaptive Chaotic Control for Permanent Magnet Synchronous Motor Subject to Unknown Parameters and Perturbations. Mathematics, 11(14), 3182. https://doi.org/10.3390/math11143182

