Construction of a New 2D Hyperchaotic Map with Application in Efficient Pseudo-Random Number Generator Design and Color Image Encryption
Abstract
1. Introduction
- (1)
- A new two-dimensional hyperchaotic map with a wide range of chaotic parameters and strong chaotic performance is proposed.
- (2)
- An efficient PRNG is designed, which can generate highly random bit sequences and can be used in various applications.
- (3)
- A new image encryption scheme with cross-channel parallel permutation and diffusion (CCPPD) is proposed, which performs pixel scrambling and diffusion simultaneously, and the shuffling of pixel positions is across color channels. This strategy can improve the security and speed of encryption. The security of the image encryption scheme is verified using a large number of experiments and security analysis.
2. The New 2D Hyperchaotic Map
2.1. Mathematic Model of the 2D Hyperchaotic Map
2.2. Bifurcation Diagram and Trajectory
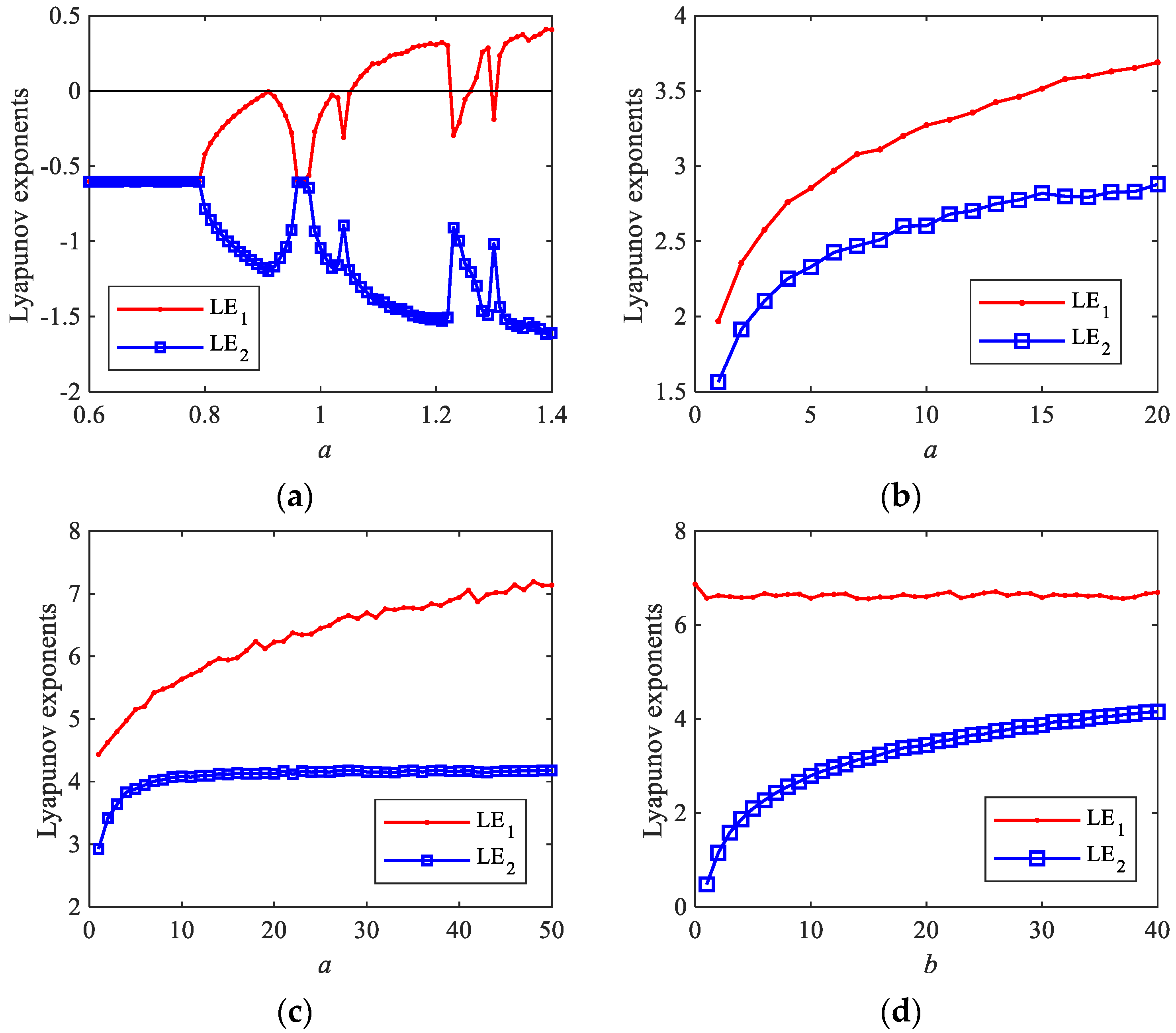
2.3. Lyapunov Exponent
2.4. Correlation Analysis
2.5. Approximate Entropy Analysis
2.6. Permutation Entropy Analysis
3. The Proposed Pseudo-Random Number Generator and Its Performance Test
3.1. Algorithm of the Pseudo-Random Number Generator
| Algorithm 1 Generating the chaotic secret key streams |
| Input: The security keys (x0, y0, a, b) and the number of groups in the binary sequence m. |
| 1: Initialization: Set values of (x0, y0, a, b), m = 1000, L = m × 106/8 |
| 2: [X, Y] = HCS(x0, y0, a, b, L); //HCS() is a function to generate chaotic sequences |
| 3: Intx = typecast(swapbytes(X),‘uint8’); //Get the integer sequence Intx |
| 4: xb = Intx(5:8:end); //Obtain the sub-sequence xb of length L |
| 5: FID = fopen(‘D:\NIST\f.bin’,‘w’); fwrite(FID,xb,‘uint8’); //Save the sequence xb to a file |
| Output: The binary sequence in the file f.bin of the PRNG |
3.2. NIST SP800-22 Test of the PRNG
4. The Proposed Color Image Encryption and Decryption Scheme
4.1. Chaotic Secret Key Streams Generation
| Algorithm 2 Generating the chaotic secret key streams |
| Input: The row number M, column number N, and security keys (x0, y0, a, b). |
| 1: Initialization: r = 1:M; s = 1:N; K = zeros (M, N); t = zeros (M, N, 3). |
| 2: [X, Y] = HCS(x0, y0, a, b, M × N); //HCS() is a function to generate chaotic sequences. |
| 3: [~, r] = sort (X(1:M); //sort() is a function to sort the sequence X (1:M) |
| 4: [~, s] = sort (Y(1:N)); //sort() is a function to sort the sequence Y (1:N) |
| 5: cs = reshape (X, M, N); K = mod(floor(cs × 106), 256); |
| 6: cs = reshape (Y, M, N); t(:, :, 1) = mod(floor(cs × 106), 3) + 1; |
| 7: t (:, :, 2) = mod (t (:, :, 1) + 1, 3) + 1; t (:, :, 3) = mod (t (:, :, 2) + 1, 3) + 1; |
| Output: The chaotic secret key matrix: r, s, K, t. |
4.2. The First Round of Cross-Channel Parallel Permutation and Diffusion
| Algorithm 3 The first round of CCPPD |
| Input: The plain image P, c0, and the chaotic secret key matrix of {r, s, K, t}. |
| 1: Initialization: [M, N, ~] = size(P); C = zeros(M, N, 3); Pre = c0. |
| 2: for k = 1 to 3 do |
| 3: for j = 1 to N do |
| 4: for i = 1 to M do |
| 5: C(i, j, k) = mod(P(r(i), s(j), t(i, j, k)) + K(i, j) + Pre, 256); |
| 6: Pre = C(i, j, k) ; |
| 7: end for |
| 8: end for |
| 9: end for |
| Output: The intermediate cipher image C. |
4.3. The Second Round of Cross-Channel Parallel Permutation and Diffusion
| Algorithm 4 The second round of CCPPD |
| Input: The intermediate cipher image C and the chaotic key matrix of {r, s, K, t}. |
| 1: Initialization: [M, N, ~] = size(C); D = zeros(M, N, 3); Pre = C(M, N, 3). |
| 2: for k = 1 to 3 do |
| 3: for j = 1 to N do |
| 4: for i = 1 to M do |
| 5: D(i, j, k) = mod(C(r(i), s(j), t(i, j, k)) + K(i, j) + Pre, 256); |
| 6: Pre = D(i, j, k); |
| 7: end for |
| 8: end for |
| 9: end for |
| Output: The final cipher image D. |
4.4. The Decryption Process
| Algorithm 5 The first round of decryption operation |
| Input: The final cipher image D and the chaotic key matrix of {r, s, K, t}. |
| 1: Initialization: [M, N, ~] = size(D); C = zeros(M, N, 3); Pre = C(M, N, 3). |
| 2: i = find(r = = M); //Find the index of the element has value M in matrix r |
| 3: j = find(s = = N); //Find the index of the element has value N in matrix s |
| 4: k = find(t(i, j, :) = = 3); //Find the 3rd index of the element t(i, j, :) |
| 5: if (i >1) Then Pre = D(i−1, j, k); |
| 6: if (i = = 1) & (j > 1) Then Pre = D(M, j−1, k); |
| 7: if (i = = 1) & (j = = 1) Then Pre = D(M, N, k−1); |
| 8: C(r(i),s(j),t(i, j, k)) = mod(D(i, j, k) − K(i, j) − Pre, 256); |
| 9: Pre = C(r(i), s(j), t(i, j, k)); |
| 10: for k = 1 to 3 do |
| 11: for j = 1 to N do |
| 12: for i = 1 to M do |
| 13: C(r(i), s(j), t(i, j, k)) = mod(D(i, j, k) − K(i, j) − Pre, 256); |
| 14: Pre = D(i, j, k); |
| 15: end for |
| 16: end for |
| 17: end for |
| Output: The intermediate cipher image C. |
| Algorithm 6 The second round of decryption operation |
| Input: The intermediate cipher image C, c0, and the secret key matrix of {r, s, K, t}. |
| 1: Initialization: [M, N, ~] = size(C); P = zeros(M, N, 3); Pre = c0. |
| 2: for k = 1 to 3 do |
| 3: for j = 1 to N do |
| 4: for i = 1 to M do |
| 5: P(r(i), s(j), t(i, j, k)) = mod(C(i, j, k) −K(i, j) − Pre, 256); |
| 6: Pre = C(i, j, k) ; |
| 7: end for |
| 8: end for |
| 9: end for |
| Output: The restored decrypted image P. |
5. Experimental Results and Security Analysis
5.1. Key Space Analysis
5.2. Histogram Analysis
5.3. Pixel Correlation Analysis
5.4. Information Entropy Analysis
5.5. Sensitivity Analysis
5.5.1. Secret Key Sensitivity
5.5.2. Plain Image Sensitivity
5.6. Robustness Analysis
5.7. Security Analysis for Classical Attacks
5.8. Time Complexity Analysis
6. Conclusions
Author Contributions
Funding
Institutional Review Board Statement
Informed Consent Statement
Data Availability Statement
Conflicts of Interest
References
- Jain, A.K.; Sahoo, S.R.; Kaubiyal, J. Online social networks security and privacy: Comprehensive review and analysis. Complex Intell. Syst. 2021, 7, 2157–2177. [Google Scholar] [CrossRef]
- Zhang, Q.; Han, J. A novel color image encryption algorithm based on image hashing, 6D hyperchaotic and DNA coding. Multimed. Tools Appl. 2021, 80, 13841–13864. [Google Scholar] [CrossRef]
- Moafimadani, S.S.; Chen, Y.; Tang, C. A New Algorithm for Medical Color Images Encryption Using Chaotic Systems. Entropy 2019, 21, 577. [Google Scholar] [CrossRef] [PubMed]
- Dou, Y.; Li, M. Cryptanalysis of a New Color Image Encryption Using Combination of the 1D Chaotic Map. Appl. Sci. 2020, 10, 2187. [Google Scholar] [CrossRef]
- Zhang, X.; Yan, X. Adaptive Chaotic Image Encryption Algorithm Based on RNA and Pixel Depth. Electronics 2021, 10, 1770. [Google Scholar] [CrossRef]
- Zhang, S.; Liu, L.; Xiang, H. A Novel Plain-Text Related Image Encryption Algorithm Based on LB Compound Chaotic Map. Mathematics 2021, 9, 2778. [Google Scholar] [CrossRef]
- Zhao, R.; Zhang, Y.; Nan, Y.; Wen, W.; Chai, X.; Lan, R. Primitively visually meaningful image encryption: A new paradigm. Inf. Sci. 2022, 613, 628–648. [Google Scholar] [CrossRef]
- Shi, Y.; Hu, Y.; Wang, B. Image Encryption Scheme Based on Multiscale Block Compressed Sensing and Markov Model. Entropy 2021, 23, 1297. [Google Scholar] [CrossRef]
- Bao, W.; Zhu, C. A secure and robust image encryption algorithm based on compressive sensing and DNA coding. Multimed. Tools Appl. 2022, 81, 15977–15996. [Google Scholar] [CrossRef]
- Liang, Q.; Zhu, C. A new one-dimensional chaotic map for image encryption scheme based on random DNA coding. Opt. Laser Technol. 2023, 160, 109033. [Google Scholar] [CrossRef]
- Zhang, B.; Liu, L. Chaos-Based Image Encryption Review, Application, and Challenges. Mathematics 2023, 11, 2585. [Google Scholar] [CrossRef]
- Peng, J.; Zhu, C.; Jiang, D. A new 2D-ASC chaotic system and its image encryption applications. Mod. Phys. Lett. B 2023, 37, 2350009. [Google Scholar] [CrossRef]
- Ali, W.; Zhu, C.; Latif, R.; Asim, M.; Tariq, M.U. Image Encryption Scheme Based on Orbital Shift Pixels Shuffling with ILM Chaotic System. Entropy 2023, 25, 787. [Google Scholar] [CrossRef] [PubMed]
- Elghandour, A.; Salah, A.; Karawia, A. A new cryptographic algorithm via a two-dimensional chaotic map. Ain Shams Eng. J. 2022, 13, 101489. [Google Scholar] [CrossRef]
- Yang, S.; Tong, X.; Wang, Z.; Zhang, M. Efficient color image encryption algorithm based on 2D coupled chaos and multi-objective optimized S-box. Phys. Scr. 2022, 97, 045204. [Google Scholar] [CrossRef]
- Lai, Q.; Liu, Y. A cross-channel color image encryption algorithm using two-dimensional hyperchaotic map. Expert Syst. Appl. 2023, 223, 119923. [Google Scholar] [CrossRef]
- Lai, Q.; Wan, Z.; Zhang, H.; Chen, G. Design and Analysis of Multiscroll Memristive Hopfield Neural Network With Adjustable Memductance and Application to Image Encryption. In IEEE Transactions on Neural Networks and Learning Systems; IEEE: Piscataway, NJ, USA, 2022; pp. 1–14. [Google Scholar] [CrossRef]
- Zhou, S.; Qiu, Y.; Wang, X.; Zhang, Y. Novel image cryptosystem based on new 2D hyperchaotic map and dynamical chaotic S-box. Nonlinear Dynam. 2023, 111, 9571–9589. [Google Scholar] [CrossRef]
- Zhu, S.; Deng, X.; Zhang, W.; Zhu, C. Secure image encryption scheme based on a new robust chaotic map and strong S-box. Math. Comput. Simul. 2023, 207, 322–346. [Google Scholar] [CrossRef]
- Sun, K.H.; He, S.B.; Yin, L.Z.; Li-Kun, A. Application of FuzzyEn algorithm to the analysis of complexity of chaotic sequence. Acta Phys. Sin. 2012, 61, 130507. [Google Scholar]
- Sun, K.H.; He, S.B.; He, Y.; Yin, L.Z. Complexity analysis of chaotic pseudo-random sequences based on spectral entropy algorithm. Acta Phys. Sin. 2013, 62, 010501. [Google Scholar] [CrossRef]
- Zhu, S.; Deng, X.; Zhang, W.; Zhu, C. A New One-Dimensional Compound Chaotic System and Its Application in High-Speed Image Encryption. Appl. Sci. 2021, 11, 11206. [Google Scholar] [CrossRef]
- Erkan, U.; Toktas, A.; Toktas, F.; Alenezi, F. 2D eπ-map for image encryption. Inf. Sci. 2022, 589, 770–789. [Google Scholar] [CrossRef]
- He, J.; Yu, S.; Cai, J. Numerical Analysis and Improved Algorithms for Lyapunov-Exponent Calculation of Discrete-Time Chaotic Systems. Int. J. Bifurc. Chaos 2016, 26, 1650219. [Google Scholar] [CrossRef]
- Zhu, S.; Deng, X.; Zhang, W.; Zhu, C. Image Encryption Scheme Based on Newly Designed Chaotic Map and Parallel DNA Coding. Mathematics 2023, 11, 231. [Google Scholar] [CrossRef]
- Paar, C.; Pelzl, J. Understanding Cryptography—A Textbook for Students and Practitioner; Springer: Berlin/Heidelberg, Germany, 2010. [Google Scholar]
- Alvarez, G.; Li, S. Some basic cryptographic requirements for chaos-based cryptosystems. Int. J. Bifurc. Chaos 2006, 16, 2129–2151. [Google Scholar] [CrossRef]
- Hu, Y.; Wu, H.; Zhou, L. Color image encryption base on a 2D hyperchaotic enhanced Henon map and cross diffusion. Alex. Eng. J. 2023, 73, 385–402. [Google Scholar] [CrossRef]
- Xin, J.; Hu, H.; Zheng, J. 3D variable-structure chaotic system and its application in color image encryption with new Rubik’s Cube-like permutation. Nonlinear Dynam. 2023, 111, 7859–7882. [Google Scholar] [CrossRef]
- Sha, Y.; Sun, B.; Cheng, X.; Mou, J.; Wang, L. Cross-plane colour image encryption scheme based on BST model and chaotic map. Eur. Phys. J. Spec. Top. 2022, 231, 3249–3263. [Google Scholar] [CrossRef]
- Khalil, N.; Sarhan, A.; Alshewimy, M.A.M. An efficient color/grayscale image encryption scheme based on hybrid chaotic maps. Opt. Laser Technol. 2021, 143, 107326. [Google Scholar] [CrossRef]
- Wang, S.; Peng, Q.; Du, B. Chaotic color image encryption based on 4D chaotic maps and DNA sequence. Opt. Laser Technol. 2022, 148, 107753. [Google Scholar] [CrossRef]
- Teng, L.; Wang, X.; Yang, F.; Xian, Y. Color image encryption based on cross 2D hyperchaotic map using combined cycle shift scrambling and selecting diffusion. Nonlinear Dynam. 2021, 105, 1859–1876. [Google Scholar] [CrossRef]
- Qiu, H.; Xu, X.; Jiang, Z.; Sun, K.; Xiao, C. A color image encryption algorithm based on hyperchaotic map and Rubik’s Cube scrambling. Nonlinear Dynam. 2022, 110, 2869–2887. [Google Scholar] [CrossRef]
- Ahmad, I.; Shin, S. A novel hybrid image encryption-compression scheme by combining chaos theory and number theory. Signal Process.-Image Commun. 2021, 98, 116418. [Google Scholar] [CrossRef]
















| The Statistical Test Item Name | p-Value | Pass Rate | Results |
|---|---|---|---|
| Frequency (Monobit) | 0.660012 | 993/1000 = 99.3% | Pass |
| Block Frequency (m = 128) | 0.417219 | 993/1000 = 99.3% | Pass |
| Cumulative Sums (Forward) | 0.08151 | 994/1000 = 99.4% | Pass |
| Cumulative Sums (Reverse) | 0.089301 | 990/1000 = 99.0% | Pass |
| Runs | 0.263572 | 993/1000 = 99.3% | Pass |
| Longest Run of Ones | 0.348869 | 991/1000 = 99.1% | Pass |
| Rank | 0.769527 | 992/1000 = 99.2% | Pass |
| FFT | 0.263572 | 993/1000 = 99.3% | Pass |
| Non-Overlapping Templates * | 0.016488 | 989/1000 = 98.9% | Pass |
| Overlapping Templates | 0.825505 | 989/1000 = 98.9% | Pass |
| Universal | 0.643366 | 991/1000 = 99.1% | Pass |
| Approximate Entropy | 0.496351 | 990/1000 = 99.0% | Pass |
| Random Excursions * | 0.331257 | 623/627 = 99.4% | Pass |
| Random Excursions Variant * | 0.080439 | 623/627 = 99.4% | Pass |
| Serial Test 1 | 0.213309 | 990/100 = 99.0% | Pass |
| Serial Test 2 | 0.181557 | 990/100 = 99.0% | Pass |
| Linear Complexity | 0.19692 | 991/100 = 99.1% | Pass |
| Algorithm | Image Name | Direction | R Channel | G Channel | B Channel |
|---|---|---|---|---|---|
| This work | 2.1.04/Oakland | Horizontal | 0.0027 | −0.0004 | 0.0025 |
| This work | 2.1.04/Oakland | Vertical | 0.0011 | 0.0014 | 0.0007 |
| This work | 2.1.04/Oakland | Diagonal | 0.0012 | 0.0005 | −0.0009 |
| Ref. [28] | 2.1.04/Oakland | Horizontal | −0.0012 | 0.0003 | 0.0014 |
| Ref. [28] | 2.1.04/Oakland | Vertical | 0.0009 | 0.0030 | −0.0027 |
| Ref. [28] | 2.1.04/Oakland | Diagonal | −0.0014 | −0.0021 | −0.0009 |
| This work | 2.2.01 | Horizontal | 0.0001 | −0.0007 | −8.7595 × 10−5 |
| This work | 2.2.01 | Vertical | 0.0003 | 0.0013 | 0.0005 |
| This work | 2.2.01 | Diagonal | 7.979 × 10−5 | 0.0009 | −0.0010 |
| Ref. [29] | 2.2.01 | Horizontal | −0.0003 | 0.0006 | 0.0019 |
| Ref. [29] | 2.2.01 | Vertical | 0.0003 | 0.0007 | 0.0025 |
| Ref. [29] | 2.2.01 | Diagonal | −0.004 | 0.0002 | 0.0003 |
| This work | 4.2.04 | Horizontal | −0.0027 | −4.6744 × 10−5 | 0.0043 |
| This work | 4.2.04 | Vertical | 0.0029 | −0.0009 | −5.6333 × 10−5 |
| This work | 4.2.04 | Diagonal | 0.0018 | −0.0012 | 0.0015 |
| Ref. [29] | 4.2.04 | Horizontal | 0.0006 | −0.0004 | 0.0001 |
| Ref. [29] | 4.2.04 | Vertical | −0.0012 | −0.0007 | 0.0005 |
| Ref. [29] | 4.2.04 | Diagonal | 0.0008 | 0.0007 | 0.0006 |
| This work | 4.2.05 | Horizontal | −0.00062639 | 0.0018238 | −0.0010242 |
| This work | 4.2.05 | Vertical | 0.00017306 | 0.00065355 | −0.0004688 |
| This work | 4.2.05 | Diagonal | 0.0026312 | 0.00047658 | −0.0013144 |
| Ref. [15] | 4.2.05 | Horizontal | 0.0017 | 0.0026 | 0.0017 |
| Ref. [15] | 4.2.05 | Vertical | 0.0019 | 0.0019 | 0.0015 |
| Ref. [15] | 4.2.05 | Diagonal | 0.0017 | 0.0021 | 0.0020 |
| This work | 4.2.03 | Horizontal | −0.00011509 | 0.00056796 | 0.0013133 |
| This work | 4.2.03 | Vertical | 0.0017407 | −0.00075841 | −0.0016187 |
| This work | 4.2.03 | Diagonal | 0.00054237 | 0.001598 | −0.000471 |
| Ref. [29] | 4.2.03 | Horizontal | −0.0003 | 0.0008 | 0.0008 |
| Ref. [29] | 4.2.03 | Vertical | −0.0002 | −0.0002 | 0.0008 |
| Ref. [29] | 4.2.03 | Diagonal | −0.0011 | 0.0005 | 0.0025 |
| Ref. [15] | 4.2.03 | Horizontal | 0.0015 | 0.0018 | 0.0023 |
| Ref. [15] | 4.2.03 | Vertical | 0.0026 | 0.0031 | 0.0021 |
| Ref. [15] | 4.2.03 | Diagonal | 0.0017 | 0.0022 | 0.0016 |
| This work | 4.2.07 | Horizontal | 0.0031349 | −0.0038061 | 0.0024694 |
| This work | 4.2.07 | Vertical | −0.0013014 | 0.0012009 | 0.0025589 |
| This work | 4.2.07 | Diagonal | −2.7096 × 10−5 | 0.0011369 | −0.0030308 |
| Ref. [15] | 4.2.07 | Horizontal | 0.0017 | 0.0016 | 0.0017 |
| Ref. [15] | 4.2.07 | Vertical | 0.0022 | 0.0016 | 0.0022 |
| Ref. [15] | 4.2.07 | Diagonal | 0.0020 | 0.0026 | 0.0022 |
| Image Name | Channels | Ours | Ref. [15] | Ref. [30] | Ref. [31] | Ref. [29] |
|---|---|---|---|---|---|---|
| 2.2.01/San Diego | R | 7.9998 | \ | \ | \ | 7.9998 |
| 2.2.01/San Diego | G | 7.9998 | \ | \ | \ | 7.9998 |
| 2.2.01/San Diego | B | 7.9998 | \ | \ | \ | 7.9998 |
| 4.2.03/Baboon | R | 7.9993 | 7.9993 | \ | 7.9992 | 7.9992 |
| 4.2.03/Baboon | G | 7.9993 | 7.9994 | \ | 7.9993 | 7.9993 |
| 4.2.03/Baboon | B | 7.9993 | 7.9993 | \ | 7.9993 | 7.9991 |
| 4.2.04/Lena | R | 7.9994 | \ | 7.9994 | 7.9993 | 7.9976 |
| 4.2.04/Lena | G | 7.9994 | \ | 7.9994 | 7.9994 | 7.9973 |
| 4.2.04/Lena | B | 7.9993 | \ | 7.9994 | 7.9993 | 7.9971 |
| 4.2.05/Airplane | R | 7.9993 | 7.9993 | 7.9993 | 7.9992 | \ |
| 4.2.05/Airplane | G | 7.9994 | 7.9993 | 7.9992 | 7.9993 | \ |
| 4.2.05/Airplane | B | 7.9994 | 7.9992 | 7.9993 | 7.9993 | \ |
| 4.2.07/Peppers | R | 7.9993 | 7.9993 | 7.9993 | 7.9993 | 7.9991 |
| 4.2.07/Peppers | G | 7.9992 | 7.9993 | 7.9994 | 7.9993 | 7.9992 |
| 4.2.07/Peppers | B | 7.9993 | 7.9993 | 7.9993 | 7.9993 | 7.9992 |
| Channels | MSE1 | MSE2 | MSE3 | MSE4 |
|---|---|---|---|---|
| R | 10,937 | 10,920 | 10,951 | 10,929 |
| G | 10,966 | 10,870 | 10,955 | 10,967 |
| B | 10,911 | 10,940 | 10,878 | 10,907 |
| Algorithms | NPCR (%) | UACI (%) | ||||
|---|---|---|---|---|---|---|
| R | G | B | R | G | B | |
| Ours | 99.6136 | 99.6059 | 99.6143 | 33.4562 | 33.4078 | 33.4610 |
| Ref. [30] | 99.6167 | 99.6046 | 99.6158 | 33.4395 | 33.4587 | 33.4566 |
| Ref. [32] | 99.6109 | 99.6208 | 99.6067 | 33.4782 | 33.4580 | 33.4228 |
| Ref. [29] | 99.6140 | 99.6017 | 99.6140 | 33.5627 | 33.5218 | 33.4339 |
| Images | Size | Encryption Time (s) | Decryption Time (s) |
|---|---|---|---|
| House | 256 × 256 × 3 | 0.0602 | 0.0157 |
| Airplane | 512 × 512 × 3 | 0.0854 | 0.0539 |
| Peppers | 512 × 512 × 3 | 0.0862 | 0.0555 |
| San Diego | 1024 × 1024 × 3 | 0.3498 | 0.2088 |
Disclaimer/Publisher’s Note: The statements, opinions and data contained in all publications are solely those of the individual author(s) and contributor(s) and not of MDPI and/or the editor(s). MDPI and/or the editor(s) disclaim responsibility for any injury to people or property resulting from any ideas, methods, instructions or products referred to in the content. |
© 2023 by the authors. Licensee MDPI, Basel, Switzerland. This article is an open access article distributed under the terms and conditions of the Creative Commons Attribution (CC BY) license (https://creativecommons.org/licenses/by/4.0/).
Share and Cite
Zhu, S.; Deng, X.; Zhang, W.; Zhu, C. Construction of a New 2D Hyperchaotic Map with Application in Efficient Pseudo-Random Number Generator Design and Color Image Encryption. Mathematics 2023, 11, 3171. https://doi.org/10.3390/math11143171
Zhu S, Deng X, Zhang W, Zhu C. Construction of a New 2D Hyperchaotic Map with Application in Efficient Pseudo-Random Number Generator Design and Color Image Encryption. Mathematics. 2023; 11(14):3171. https://doi.org/10.3390/math11143171
Chicago/Turabian StyleZhu, Shenli, Xiaoheng Deng, Wendong Zhang, and Congxu Zhu. 2023. "Construction of a New 2D Hyperchaotic Map with Application in Efficient Pseudo-Random Number Generator Design and Color Image Encryption" Mathematics 11, no. 14: 3171. https://doi.org/10.3390/math11143171
APA StyleZhu, S., Deng, X., Zhang, W., & Zhu, C. (2023). Construction of a New 2D Hyperchaotic Map with Application in Efficient Pseudo-Random Number Generator Design and Color Image Encryption. Mathematics, 11(14), 3171. https://doi.org/10.3390/math11143171

