Solving Inverse Problem of Distributed-Order Time-Fractional Diffusion Equations Using Boundary Observations and L2 Regularization
Abstract
1. Introduction
2. The Forward Problem
3. The Inverse Problem
3.1. The Identification Problem
3.2. Existence, Stability, and Convergence of the Regularized Solutions
- (i)
- The existence: There exists a minimizer for any data .
- (ii)
- The stability: For a given regularization parameter , the minimizers of (7) depend continuously on .
- (iii)
- The convergence: As the noise level and the regularization parameter (chosen by a priori rule) both tend to zero, the regularized solutions converge to the exact parameter .
3.3. Convergence Rates
- 1.
- the solution of (14) with exists for any ,
- 2.
- there exists such thatin a sufficiently large ball around ,
- 3.
- the function ξ, which is found in Theorem 1, satisfies .
4. Numerical Computation
4.1. Computation of the Gradient for the Regularization Functional
4.2. Transformation of the Adjoint Problem
4.3. Solving the Minimization Problem via the CG Algorithm
| Algorithm 1 The CG method for the minimization problem (6) |
|
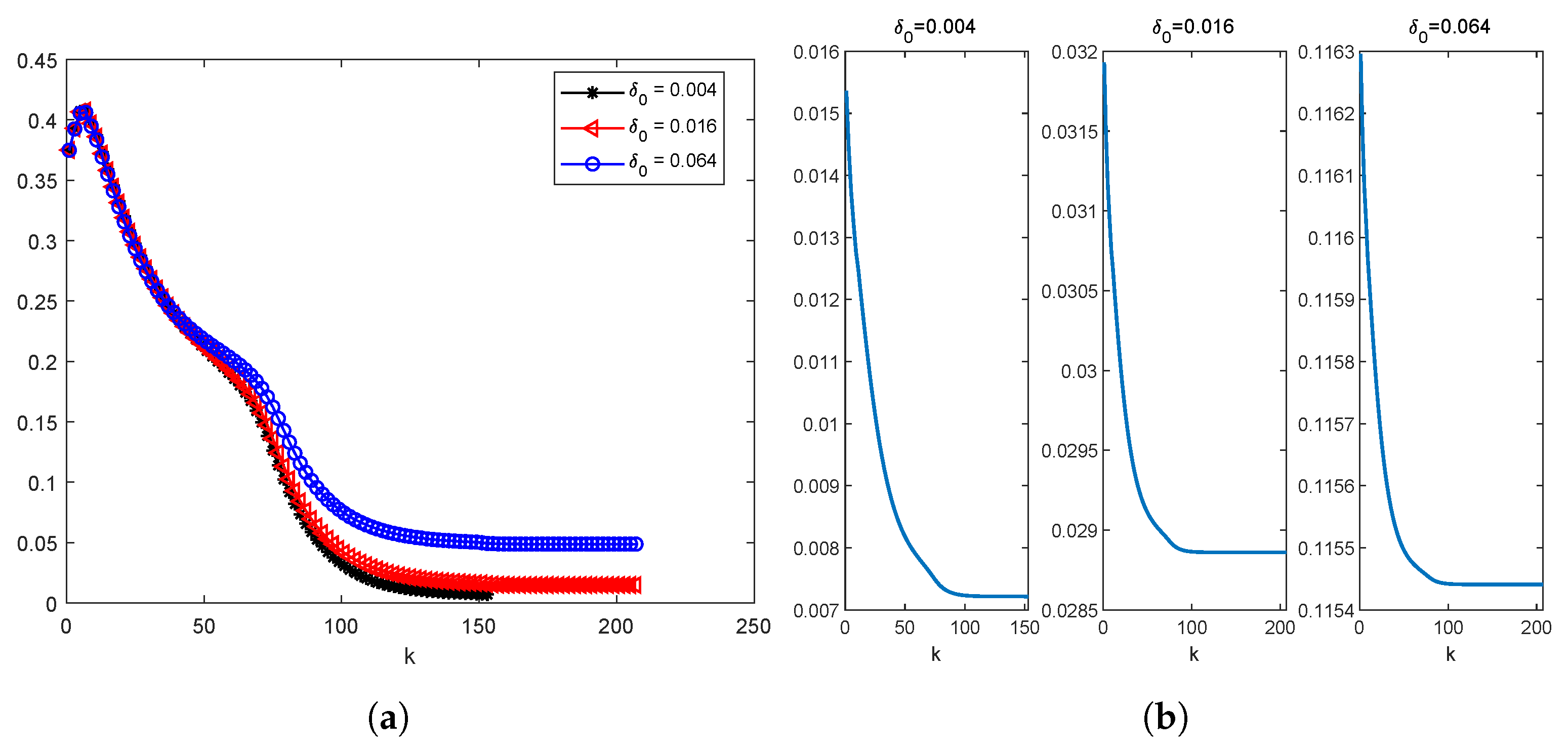
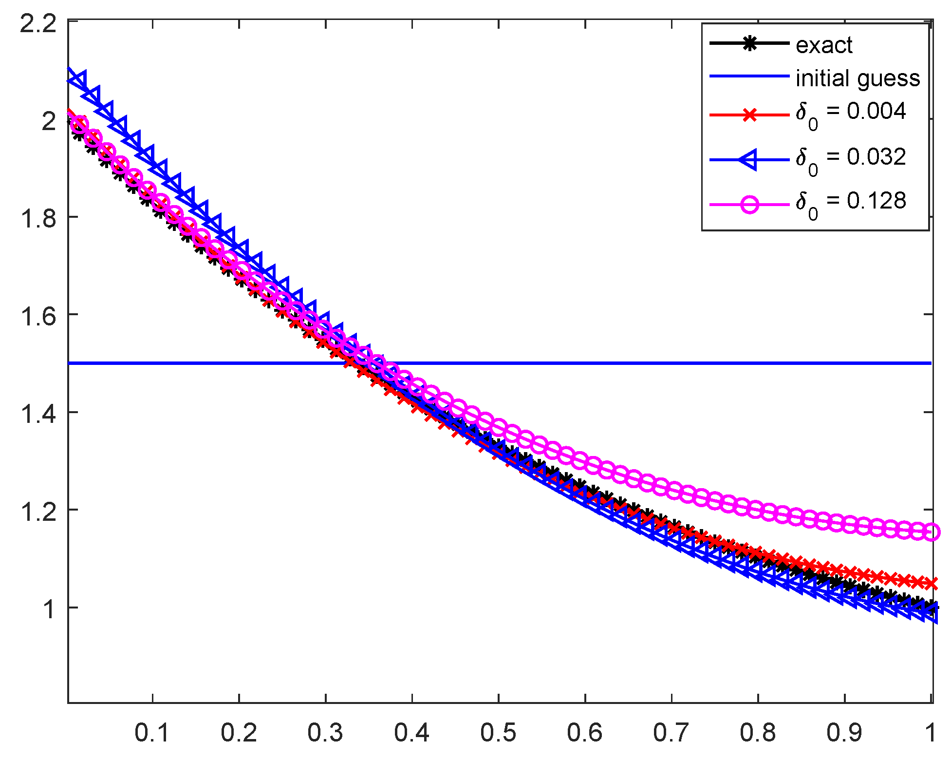
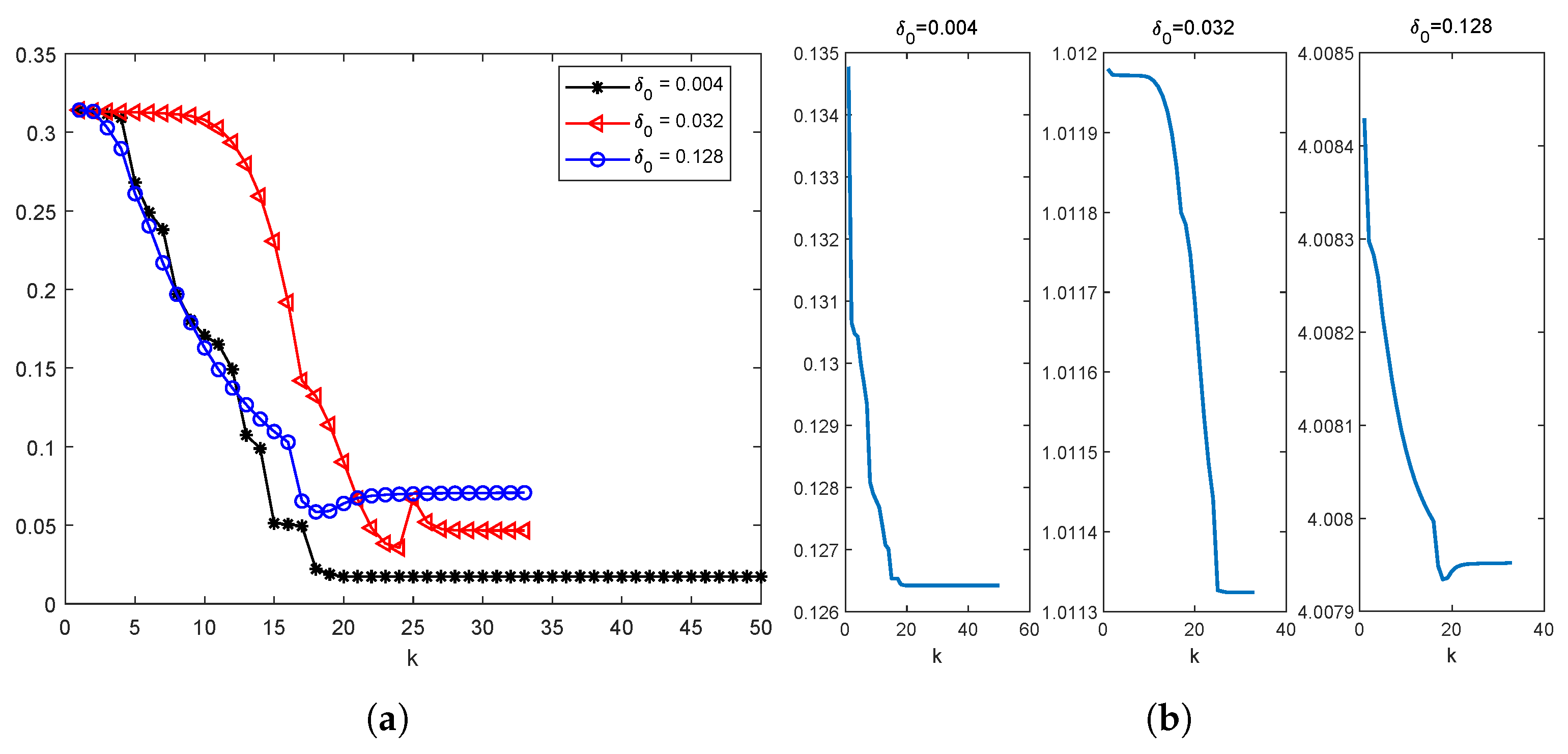
4.4. Numerical Results
5. Conclusions
Author Contributions
Funding
Data Availability Statement
Conflicts of Interest
References
- Li, M.; Pu, H.; Cao, L.; Sha, Z.; Yu, H.; Zhang, J.; Zhang, L. Damage Creep Model of Viscoelastic Rock Based on the Distributed Order Calculus. Appl. Sci. 2023, 13, 4404. [Google Scholar] [CrossRef]
- Mainardi, F.; Mura, A.; Pagnini, G.; Gorenflo, R. Time-fractional diffusion of distributed order. J. Vib. Control 2008, 14, 1267–1290. [Google Scholar] [CrossRef]
- Meerschaert, M.M.; Scheffler, H.P. Stochastic model for ultraslow diffusion. Stoch. Process. Their Appl. 2006, 116, 1215–1235. [Google Scholar] [CrossRef]
- Sokolov, I.; Chechkin, A.; Klafter, J. Distributed-order fractional kinetics. arXiv 2004, arXiv:cond-mat/0401146. [Google Scholar]
- Chechkin, A.V.; Gorenflo, R.; Sokolov, I.M.; Gonchar, V.Y. Distributed order time fractional diffusion equation. Fract. Calc. Appl. Anal. 2003, 6, 259–280. [Google Scholar]
- Dräger, J.; Klafter, J. Strong anomaly in diffusion generated by iterated maps. Phys. Rev. Lett. 2000, 84, 5998. [Google Scholar] [CrossRef]
- Zhou, F.; Zhao, Y.; Li, Y.; Chen, Y. Design, implementation and application of distributed order PI control. ISA Trans. 2013, 52, 429–437. [Google Scholar] [CrossRef]
- Mahmoud, G.M.; Farghaly, A.A.; Abed-Elhameed, T.M.; Aly, S.A.; Arafa, A.A. Dynamics of distributed-order hyperchaotic complex van der Pol oscillators and their synchronization and control. Eur. Phys. J. Plus 2020, 135, 32. [Google Scholar] [CrossRef]
- Ding, W.; Patnaik, S.; Sidhardh, S.; Semperlotti, F. Applications of distributed-order fractional operators: A review. Entropy 2021, 23, 110. [Google Scholar] [CrossRef]
- Debnath, P.; Srivastava, H.; Kumam, P.; Hazarika, B. Fixed Point Theory and Fractional Calculus: Recent Advances and Applications; Forum for Interdisciplinary Mathematics; Springer Nature: Singapore, 2022. [Google Scholar]
- Benson, D.A.; Wheatcraft, S.W.; Meerschaert, M.M. Application of a fractional advection-dispersion equation. Water Resour. Res. 2000, 36, 1403–1412. [Google Scholar] [CrossRef]
- Li, Z.; Liu, Y.; Yamamoto, M. Initial-boundary value problems for multi-term time-fractional diffusion equations with positive constant coefficients. Appl. Math. Comput. 2015, 257, 381–397. [Google Scholar] [CrossRef]
- Sinai, Y.G. The limiting behavior of a one-dimensional random walk in a random medium. Theory Probab. Appl. 1983, 27, 256–268. [Google Scholar] [CrossRef]
- Schiessel, H.; Sokolov, I.; Blumen, A. Dynamics of a polyampholyte hooked around an obstacle. Phys. Rev. E 1997, 56, R2390. [Google Scholar] [CrossRef]
- Iglói, F.; Turban, L.; Rieger, H. Anomalous diffusion in aperiodic environments. Phys. Rev. E 1999, 59, 1465. [Google Scholar] [CrossRef]
- Kochubei, A.N. Distributed order calculus and equations of ultraslow diffusion. J. Math. Anal. Appl. 2008, 340, 252–281. [Google Scholar] [CrossRef]
- Li, Z.; Luchko, Y.; Yamamoto, M. Asymptotic estimates of solutions to initial-boundary-value problems for distributed order time-fractional diffusion equations. Fract. Calc. Appl. Anal. 2014, 17, 1114–1136. [Google Scholar] [CrossRef]
- Luchko, Y. Boundary value problems for the generalized time-fractional diffusion equation of distributed order. Fract. Calc. Appl. Anal. 2009, 12, 409–422. [Google Scholar]
- Meerschaert, M.M.; Nane, E.; Vellaisamy, P. Distributed-order fractional diffusions on bounded domains. J. Math. Anal. Appl. 2011, 379, 216–228. [Google Scholar] [CrossRef]
- Kubica, A.; Ryszewska, K. Fractional diffusion equation with distributed-order Caputo derivative. J. Integral Equ. Appl. 2019, 31, 195–243. [Google Scholar] [CrossRef]
- Li, Z.; Kian, Y.; Soccorsi, E. Initial-boundary value problem for distributed order time-fractional diffusion equations. Asymptot. Anal. 2019, 115, 95–126. [Google Scholar] [CrossRef]
- Li, Z.; Luchko, Y.; Yamamoto, M. Analyticity of solutions to a distributed order time-fractional diffusion equation and its application to an inverse problem. Comput. Math. Appl. 2017, 73, 1041–1052. [Google Scholar] [CrossRef]
- Gao, G.; Sun, Z. Two alternating direction implicit difference schemes with the extrapolation method for the two-dimensional distributed-order differential equations. Comput. Math. Appl. 2015, 69, 926–948. [Google Scholar] [CrossRef]
- Gao, G.; Sun, H.; Sun, Z. Some high-order difference schemes for the distributed-order differential equations. J. Comput. Phys. 2015, 298, 337–359. [Google Scholar] [CrossRef]
- Gao, G.; Sun, Z. Two alternating direction implicit difference schemes for two-dimensional distributed-order fractional diffusion equations. J. Sci. Comput. 2016, 66, 1281–1312. [Google Scholar] [CrossRef]
- Ford, N.J.; Morgado, M.L.; Rebelo, M. An implicit finite difference approximation for the solution of the diffusion equation with distributed order in time. Electron. Trans. Numer. Anal. 2015, 44, 289–305. [Google Scholar]
- Gao, G.; Alikhanov, A.A.; Sun, Z. The temporal second order difference schemes based on the interpolation approximation for solving the time multi-term and distributed-order fractional sub-diffusion equations. J. Sci. Comput. 2017, 73, 93–121. [Google Scholar] [CrossRef]
- Gao, G.; Sun, Z. Two unconditionally stable and convergent difference schemes with the extrapolation method for the one-dimensional distributed-order differential equations. Numer. Methods Partial Differ. Equ. 2016, 32, 591–615. [Google Scholar] [CrossRef]
- Morgado, M.L.; Rebelo, M. Numerical approximation of distributed order reaction–diffusion equations. J. Comput. Appl. Math. 2015, 275, 216–227. [Google Scholar] [CrossRef]
- Bu, W.; Xiao, A.; Zeng, W. Finite difference/finite element methods for distributed-order time fractional diffusion equations. J. Sci. Comput. 2017, 72, 422–441. [Google Scholar] [CrossRef]
- Rundell, W.; Zhang, Z. Fractional diffusion: Recovering the distributed fractional derivative from overposed data. Inverse Probl. 2017, 33, 035008. [Google Scholar] [CrossRef]
- Li, Z.; Fujishiro, K.; Li, G. Uniqueness in the inversion of distributed orders in ultraslow diffusion equations. J. Comput. Appl. Math. 2020, 369, 112564. [Google Scholar] [CrossRef]
- Liu, J.; Sun, C.; Yamamoto, M. Recovering the weight function in distributed order fractional equation from interior measurement. Appl. Numer. Math. 2021, 168, 84–103. [Google Scholar] [CrossRef]
- Jin, B.; Kian, Y. Recovery of a Distributed Order Fractional Derivative in an Unknown Medium. arXiv 2022, arXiv:2207.12929. [Google Scholar]
- Bazhlekova, E. Estimates for a general fractional relaxation equation and application to an inverse source problem. Math. Methods Appl. Sci. 2018, 41, 9018–9026. [Google Scholar] [CrossRef]
- Cheng, X.; Yuan, L.; Liang, K. Inverse source problem for a distributed-order time fractional diffusion equation. J. Inverse Ill-Posed Probl. 2020, 28, 17–32. [Google Scholar] [CrossRef]
- Yuan, L.; Cheng, X.; Liang, K. Solving a backward problem for a distributed-order time fractional diffusion equation by a new adjoint technique. J. Inverse Ill-Posed Probl. 2020, 28, 471–488. [Google Scholar] [CrossRef]
- Hai, D.N.D. Identifying a space-dependent source term in distributed order time-fractional diffusion equations. Math. Control Relat. Fields 2023, 13, 1008–1022. [Google Scholar] [CrossRef]
- Engl, H.W.; Hanke, M.; Neubauer, A. Regularization of Inverse Problems; Springer Science & Business Media: Berlin/Heidelberg, Germany, 1996; Volume 375. [Google Scholar]
- Isakov, V. Preface–Inverse Problems for Partial Differential Equations Third Edition Preface; Springer: Berlin/Heidelberg, Germany, 2017. [Google Scholar]
- Wei, T.; Wang, J. Determination of Robin coefficient in a fractional diffusion problem. Appl. Math. Model. 2016, 40, 7948–7961. [Google Scholar] [CrossRef]






| 0.004 | 0.008 | 0.016 | 0.032 | 0.064 | |
| 0.0069 | 0.0087 | 0.0149 | 0.0266 | 0.0487 | |
| 0.0052 | 0.0065 | 0.0110 | 0.0197 | 0.0362 | |
| 0.3256 | 0.7712 | 0.8387 | 0.8756 |
| 0.004 | 0.008 | 0.016 | 0.032 | 0.064 | 0.128 | |
| 0.0173 | 0.0232 | 0.0320 | 0.0466 | 0.0571 | 0.0706 | |
| 0.0121 | 0.0163 | 0.0224 | 0.0326 | 0.0400 | 0.0495 | |
| 0.4226 | 0.4634 | 0.5416 | 0.2938 | 0.3059 |
Disclaimer/Publisher’s Note: The statements, opinions and data contained in all publications are solely those of the individual author(s) and contributor(s) and not of MDPI and/or the editor(s). MDPI and/or the editor(s) disclaim responsibility for any injury to people or property resulting from any ideas, methods, instructions or products referred to in the content. |
© 2023 by the authors. Licensee MDPI, Basel, Switzerland. This article is an open access article distributed under the terms and conditions of the Creative Commons Attribution (CC BY) license (https://creativecommons.org/licenses/by/4.0/).
Share and Cite
Yuan, L.; Liang, K.; Wang, H. Solving Inverse Problem of Distributed-Order Time-Fractional Diffusion Equations Using Boundary Observations and L2 Regularization. Mathematics 2023, 11, 3101. https://doi.org/10.3390/math11143101
Yuan L, Liang K, Wang H. Solving Inverse Problem of Distributed-Order Time-Fractional Diffusion Equations Using Boundary Observations and L2 Regularization. Mathematics. 2023; 11(14):3101. https://doi.org/10.3390/math11143101
Chicago/Turabian StyleYuan, Lele, Kewei Liang, and Huidi Wang. 2023. "Solving Inverse Problem of Distributed-Order Time-Fractional Diffusion Equations Using Boundary Observations and L2 Regularization" Mathematics 11, no. 14: 3101. https://doi.org/10.3390/math11143101
APA StyleYuan, L., Liang, K., & Wang, H. (2023). Solving Inverse Problem of Distributed-Order Time-Fractional Diffusion Equations Using Boundary Observations and L2 Regularization. Mathematics, 11(14), 3101. https://doi.org/10.3390/math11143101

