Next Article in Journal
Stability Analysis of Recurrent-Neural-Based Controllers Using Dissipativity Domain
Next Article in Special Issue
How Does Green Store Brand Introduction Influence the Effects of Government Subsidy on Supply Chain Performance?
Previous Article in Journal
Parameter-Efficient Fine-Tuning Method for Task-Oriented Dialogue Systems
Previous Article in Special Issue
The Impact of Carbon Allowance Allocation Rules on Remanufacturing Decisions in a Closed-Loop Supply Chain
 
 
Font Type:
Arial Georgia Verdana
Font Size:
Aa Aa Aa
Line Spacing:
Column Width:
Background:
Article

Modeling Government Subsidy Strategies for Railway Carriers: Environmental Impacts and Industry Competition

1
School of Foreign Studies, Yiwu Industrial & Commercial College, Yiwu 322000, China
2
Department of Decision Sciences, Macau University of Science and Technology, Macau 999078, China
*
Author to whom correspondence should be addressed.
Mathematics 2023, 11(14), 3049; https://doi.org/10.3390/math11143049
Submission received: 5 June 2023 / Revised: 1 July 2023 / Accepted: 8 July 2023 / Published: 10 July 2023
(This article belongs to the Special Issue Modeling, Simulation and Optimization of Supply Chains)

Abstract

In this paper, we investigate the government’s optimal subsidy strategy for the China–Europe Railway Express (CERE) considering environmental impacts and industry competition. Specifically, we consider three subsidy options: no subsidies, subsidies to CERE carriers, and subsidies to shippers. A game theory framework is developed to analyze the problem of developing a sustainable supply chain consisting of the government, competitive carriers, and shippers. First of all, we find that for the government, indirect subsidies to CERE carriers and direct subsidies to shippers lead to the same total social welfare. We then examine the conditions for phasing out government subsidies. Our results indicate that the government’s optimal subsidy strategy switches at a threshold level of CERE’s environmental advantage. In particular, when the environmental advantage of CERE is high, the government should subsidize CERE by subsidizing either the carrier or shipper. In contrast, when the environmental advantage of CERE is low, the government should opt out of subsidies. At last, we find that this threshold of CERE’s environmental advantage is further impacted by CERE’s capacity and marginal operating costs. This study differs from prior research by investigating various subsidy strategies while taking into account CERE’s emission advantage and the timing of subsidy withdrawal.

1. Introduction

The Belt and Road Initiative (B&R) is proposed as a critical strategy to improve connectivity in regional economic cooperation and growth. This initiative comprises two major platforms: the land-based Silk Road Economic Belt (SREB), and the sea-based 21st-Century Maritime Silk Road (MSR). These two platforms facilitate the flow of infrastructure and promote deeper market integration among the countries spanning from China to Europe [1,2]. To further advance this initiative, the China–Europe Railway Express (CERE) has been launched to offer cross-border joint railway freight transport services to countries situated along the Silk Road Economic Belt (SREB) and the 21st-Century Maritime Silk Road (MSR). Since the first CERE train started operating in Chongqing in 2011, CERE has played a vital role in promoting regional economic development along SREB. Currently, there are more than 40,000 CERE freight trains operating between China and Europe. Over 160 cities in 22 European countries have been served by these trains along 73 routes so far [3]. In the future, with further expansion of the CERE network, more and more trade routes will be connected to SREB and MSR. For example, there are two popular trade routes between Yiwu, China and Madrid, Spain: the CERE route and the liner shipping route. The CERE route linking Yiwu and Madrid (i.e., the Yiwu–Xinjiang–Europe cargo train) is the longest train line in the SREB (13,502 km), which carries container freights passing through China, Kazakhstan, Russia, Belarus, Poland, Germany, France, and Spain. There are currently more than 5000 cargo trains operating on the Yiwu–Xinjiang–Europe line, and 19 additional lines have been added, while the liner shipping route consists of Yiwu to Ningbo Port, followed by Ningbo Port to Madrid Port via MSR.
Both CERE and liner shipping emit emissions during transportation, resulting in environmental pollution [4]. Compared with liner shipping, CERE is more environmentally friendly. For instance, the total emissions of CERE passing through Russia, Belarus, and Kazakhstan are only 27.7% of those of liner shipping [5]. However, CERE incurs higher transportation costs than liner shipping. CERE has a monetary transportation cost of around 8000 USD/FEU, whereas liner shipping has a monetary transportation cost of 3000 USD/FEU [6]. This places CERE at a competitive disadvantage against liner shipping. To achieve balanced economic and environmental development, the government has always been interested in promoting and supporting CERE. For example, in 2017, the government of Zhengzhou adopted an operational subsidy policy for CERE carriers to offset their transportation costs [7,8]. Subsidies provided by the government are beneficial to the CERE’s development and environmental protection. However, they may not always benefit society as a whole. For example, as competitors in the same industry, liner shipping’s profit may get harmed as a result of the government’s subsidization of CERE.
As discussed above, it is critical to examine the government’s subsidy strategy for CERE in light of environmental protection as well as competition in the transportation industry. Establishing such a subsidy mechanism contributes not only to the sustainability of the environment, but also to the sustainability of the transportation sector. Motivated by this practical need, this study aims to investigate the government’s optimal subsidy strategy for CERE considering its emission advantage and industry competition. This presents us with three interesting and important questions:
(1)
What is the government’s optimal subsidy strategy considering environmental impact and industry competition?
(2)
How do environmental protection-oriented government subsidies affect CERE and liner shipping carriers’ optimal decisions?
(3)
Under what conditions can the government phase out subsidy policies?
To answer the questions above, we establish a two-stage game model to investigate the government’s optimal subsidy strategy for CERE. Specifically, we consider three subsidy options: (1) no subsidy schemes at all; (2) providing subsidies to CERE carriers; (3) providing subsidies to shippers. The equilibrium outcomes under three different government subsidies are derived and compared. Moreover, we examine how government subsidies that take into account environmental emissions affect the optimal decisions made by supply chain members.
The main contributions of this study to the literature are three-fold. Firstly, it investigates the optimal pricing decision of the CERE carrier and liner shipping carrier under three different subsidy strategies, thus filling a research gap in the CERE literature. Secondly, differing from previous literature, this study investigates optimal subsidy strategies for the government by simultaneously considering environmental impacts and industry competition. Lastly, we discuss the timing for the government to opt out of CERE subsidies. This research result enriches the literature on the government’s CERE subsidy strategy.
Following is the structure of the remainder of this paper. In Section 2, we review related studies in the literature and highlight what we have contributed to the field. In Section 3, the problem is described in detail and basic assumptions are presented. Section 4 develops three different game models and derives corresponding equilibrium results. A numerical analysis is performed in Section 5. Section 6 gives the findings and some managerial implications. This paper concludes with managerial insights and future research directions in Section 7. We provide all proofs in Appendix A for clarity.

2. Literature Review

This study is closely related to three streams of literature: (1) the development of CERE; (2) government subsidies for CERE; and (3) CERE’s impacts on the environment.

2.1. The Development of CERE

As the major passage of China–Europe trade, the development of the China–Europe Railway Express (CERE) has attracted widespread attention [9,10]. Some researchers have conducted relevant studies on market demand, government subsidies, investment, and sustainable development in CERE [11,12,13]. Men [14] summarized the opportunities and challenges in China–Europe railway connectivity. She systematically expounded the great significance of the international railway layout of the BRI in improving the overall competitiveness of CERE, and gave some countermeasures. Wei and Lee [15] developed a two-level alliance cooperation mechanism for CERE to match the logistics capabilities and demands between CERE platforms. Their analysis indicated that alliance members could improve operational efficiency by setting joint routes planning and scheduling. Zhou et al. [16] addressed a multimethodological approach to examine the possibility of integration problems of the air transportation networks (ANT) of Belt and Road Initiative (BRI) countries. They found that the increase in multimodal transportation hubs could efficiently improve both connectivity and the international trade outreach of the BRI. Yang et al. [17] adopted a discrete choice model to determine the impact of transportation accessibility (transportation time and freight cost) on the establishment of international logistics centers. They indicated that the authorities could achieve a sustainability process of CERE by developing high-valued manufacturing industries. Besharati et al. [18] investigated the feasibility of using empty wagons and containers returned from Europe to maintain the sustainable development of trade basing on the current situation of CERE. Liu et al. [19] indicated that in the logistics service supply chain, a cost-sharing contract may result in increased profit for suppliers.
As a logistics service provider, CERE is a direct participant in the supply chain. It has been demonstrated that game theory can be used to design supply chains that involve logistics service providers [20,21,22,23]. Ma et al. [20] established a noncooperative game model in the duopoly market to investigate pricing accounting, local road infrastructure investment, given frequency, and operational costs. They further extended their study to explore the problem of simultaneous decision making on pricing and frequency. Their research showed that social welfare would be higher when the government becomes less regulated. Zhang et al. [21] constructed a two-stage game model to investigate the impact of railways on port transportation. They concluded that the railway damages both the freight prices and profits of the port. Chen et al. [22] developed a game-theoretic model to identify the effect of a competitive game strategic method (deterrence) on shipping and CERE. Feng et al. [23] established an evolutionary game model to study the optimal competition strategy of CERE considering differential freight categories. Their mathematical model showed that the service-optimizing strategy raises the market share of CERE.

2.2. Government Subsidies for CERE

It is widely believed that government subsidies play an indispensable role in the development of transportation, especially in cases where the operational costs are high [24,25]. Jiang et al. [26] compared the fee structures of five CER routes and related seaborne container shipping routes under government subsidies. It was found that government subsidies can efficiently reduce freight costs up to 60%, and thus improve the willingness of operators in transportation. Wang et al. [27] developed a “hub-and-spoke” model to examine the link between border port hinterland selection and cost control. It is seen that the market share of the CERE is negatively affected by government subsidies. Gong and Li [6] investigated the government’s optimal subsidy and emission control coverage and further considered the competition and cooperation of operators in the CERE. Their results showed that the regulator should achieve economic and environmental goals by adjusting subsidies. Feng et al. [28] considered the case of the CERE line “Wuhan–Hamburg” and indicated the optimal government subsidy as an efficient method to promote sustainable development. Kundu and Sheu [7], on the other hand, focused on the competition freight transportation issue from China to Germany and considered the effect of the government subsidy on shippers’ mode switching. Afterward, they identified that a minimum 30% shipper fee subsidy can attract low-value shippers for the rail mode. Du and Shi [29] indicated that the high shipping fee and disorderly competition are the two problems that restrain the CERE. Thus, they developed a dynamic game model with incomplete information to study the effectiveness of the government subsidy in enhancing the ties between local government and relevant enterprises. They found that a reasonable government subsidy raises the local enterprise’s operational willingness and social benefit. Lian et al. [30] compared the competitiveness of CERE and liner shipping considering the enforced sulfur emission convention of the IMO and government subsidies. They indicated that the subsidies can efficiently support CERE to survive in the market economy. Yin et al. [31] suggested that the government adopt the differentiated subsidy strategy, which is to promote high-value-to-weight product exports.

2.3. CERE’s Impacts on the Environment

Previous studies have shown that the construction and development of modern railway express lines have both been caused and affected by the environment [32,33,34]. Li et al. [35] analyzed the sustainable transport competitiveness of the CERE aspect to reliability, convenience, safety, and environmental protection. Their results showed that the decrease in carbon emissions could raise social benefits. Cheng et al. [36] developed a biobjective mixed-integer programming model and investigated how to mitigate greenhouse gas emissions and operating costs of CERE. Their sensitivity analysis indicated that the cargo amount affects the trade-off between greenhouse gas emissions and operating costs. Hu et al. [37] believed that technological innovation and foreign investment are two important channels that improve the environmental efficiency of CERE. Mao et al. [38] investigated the effect of CERE on regional green economic efficiency (GEE). They showed that the environmental impact mechanism of CERE relies on the original attributes of the region. Gong and Li [6] established a multistage sequential decision game model to solve optimal subsidy and emission control coverage of CERE. Their results indicated that moderate competition between different modes of transportation can benefit social welfare.

2.4. Research Gaps and Contributions

This research contributes to the literature on CERE. A growing body of research on CERE focuses on the site location, route planning, and the comparison of different modes of transportation [15,16,17,37,38]. However, there are few previous studies that addressed the issue of CERE carrier’s optimal pricing decision under the government’s subsidy [7,20]. Differing from previous studies, we consider both government subsidies and industry competition. On this basis, we further analyze the optimal pricing decision of the CERE carrier and liner shipping carrier under three different subsidy situations.
This research also contributes to the government’s subsidy strategy literature in the field of CERE. Previous studies emphasize the effect of the government’s subsidy on various types of operational strategies made by CERE carriers [29,30]. But they ignore the fact that the government will consider the environmental impact of CERE to choose the subsidy strategic accordingly. Note that the environmental impact plays an important role in the sustainable development of CERE. Our study contributes to the literature by considering both the environmental impact and political subsidies of CERE. The established link between environmental impact and the government’s subsidy to CERE may provide future research avenues.
In addition, it also enriches the literature gap in the field of CERE on the withdrawal of government subsidies. The previous literature largely focused on the optimal subsidy strategic choice of the government [6,28,29,30,31]. However, discussion of the condition of the government’s withdrawal from subsidies is limited. Differing from previous studies, our research discusses the condition for the government to opt out of subsidies to CERE.

3. Problem Description

This study aims to determine the government’s optimal subsidy strategy for CERE when considering carbon neutrality. Following the literature [6,20,21,22,23], we use the two-stage game theory model to investigate this problem. Specifically, we propose a vertical structure of the China–Europe cargo transportation system, consisting of the government, two competing carriers (i.e., CERE carrier and liner shipping carrier), and shippers, as shown in Figure 1. We then examine and compare three different subsidy strategies for the proposed system: (1) no subsidy schemes at all; (2) providing subsidies to the CERE carrier; and (3) providing subsidies to the shippers. In this system, two competing carriers, CERE (by rail) and liner shipping (by water), transport freight from China to Europe. The notations used in this paper are described in Table 1.
The freight per container charged by CERE and liner shipping are p r and p s , respectively. Following the literature [39], we assume that the market demand for either transport mode is deterministic and linearly related to freight charges, as follows:
D r = θ a b 1 p r + b 2 p s ,
D s = ( 1 θ ) a b 1 p s + b 2 p r ,
where D r is the demand of the CERE and D s is the demand of the liner shipping. In addition, a is the total market size, θ ( 0 θ 1 ) is the market preference for CERE, and 1 θ is the market preference for liner shipping. Parameters b 1 and b 2 address self-price and cross-price elasticity, respectively. We further assume b 1 > b 2 .
The marginal operating costs of CERE and liner shipping are denoted by c r and c s , respectively. Moreover, the fuel costs for transporting via CERE and liner shipping depend on journey length, fuel consumption per kilometer, and oil price per unit. The journey lengths of the CERE route and liner shipping route are denoted by d r and d s , respectively. Let β r and β s represent the marginal fuel consumption of the CERE and liner shipping. Parameters f r and f s indicate the fuel price of CERE and liner shipping. The capacity of CERE and liner shipping is measured in containers per train and vessel, denoted by k r and k s . In practice, trains have less capacity than vessels, namely k r < k s . Given the above, the fuel cost per container for CERE ( F r ) and liner shipping ( F S ) are calculated as follows:
F r = d r β r f r k r ,
F s = d s β s f s k s .
During the transportation process, liner shipping’s unit emission per kilometer is given by e s . Due to its environmental advantage, CERE cuts unit emissions by 1 ϕ %, in which 0 < ϕ < 1 . In other words, e r = ϕ e s , where the value of ϕ reflects the environmental advantage of CERE. Following the literature [6,40], a polynomial function is adopted to model the impact of emissions on the ecological environment resulting from different transportation modes, as follows:
E r = τ 0 + τ 1 d r ϕ e s k r + τ 2 d r ϕ e s k r 2 ,
E s = τ 0 + τ 1 d s e s k s + τ 2 d s e s k s 2 .
where τ 0 , τ 1 , and τ 2 are positive scale parameters. Here, E r and E s can be regarded as the marginal pollutant damage costs from CERE and liner shipping.
Within this context, the government aims to maximize the social welfare by providing a subsidy s to CERE. The social welfare consists of shippers’ surplus and carriers’ profits. In accordance with previous studies [6,41], we define shippers’ surplus as follows:
C S = p r m i n p r m a x D r d p r + p s m i n p s m a x D s d p s = D r 2 2 b 1 + D s 2 2 b 1 ,
where p r m i n = θ a + b 2 p s D r b 1 and p s m i n = ( 1 θ ) a + b 2 p r D s b 1 indicate the freight charge of CERE and liner shipping, respectively, while p r m a x = θ a + b 2 p s b 1 and p s m a x = ( 1 θ ) a + b 2 p r b 1 denote the maximum freight charge that shippers are willing to pay, respectively.
Social welfare equals the carriers’ profits plus the shippers’ surplus, minus the air pollution cost and the subsidy for the CERE. Thus, the total social welfare can be formulated as
S W = C S + Π r + Π s D r s ( E r D r + E s D s )
where Π r is the profit of the CERE carrier, Π s is the profit of the liner shipping carrier, and D r s is the total subsidy to the CERE.

4. Equilibrium Analysis

In this section, we first consider the benchmarking scenario in Section 4.1, where the government does not subsidize at all. After that, in Section 4.2, we consider the scenario where the government provides subsidies to the CERE. Then, in Section 4.3, we consider the scenario where the government provides subsidies to the shipper. Finally, a comparison of these three scenarios is conducted in Section 4.4 to reveal the government’s optimal subsidy scheme.

4.1. Benchmark: No Subsidy Schemes (Model B)

In the benchmarking scenario, government subsidies are not provided. Therefore, the government does not make any decisions; rather, the CERE carrier and liner shipping carrier determine p n and p r simultaneously in order to maximize their profits. Formally, the CERE carrier solves the optimization problem
max p r Π r B = ( p r c r F r ) D r ,
and the liner shipping carrier simultaneously solves
max p s Π s B = ( p s c s F s ) D s ,
where D r and D s are given by Equations (1) and (2), respectively.
It is easy to prove that Π r B ( Π s B ) is a concave function of p r ( p s ). Thus, the equilibrium solution can be obtained by solving the first-order conditions simultaneously, and is presented in Proposition 1.
Proposition 1. 
The CERE carrier’s and the liner shipping carrier’s pricing decisions in equilibria are described as follows:
p r B * = 2 b 1 a θ + b 1 c r + F r + b 2 a ( θ ) + a + b 1 c s + F s b 2 2 4 b 1 2 ,
p s B * = b 1 k s k r 2 a θ + 2 a + b 2 c r + b 2 d r f r β r + a b 2 θ k r k s + 2 b 1 2 k r c s k s + d s f s β s 4 b 1 2 b 2 2 k r k s ,
where F r = d r f r β r k r and F s = d s f s β s k s .
Correspondingly, the CERE carrier’s and the liner shipping carrier’s optimal freight volume, optimal profits, and total social welfare are:
D r B * = b 1 k s k r b 2 a ( 1 θ ) + b 2 c r + b 1 2 a θ + b 2 c s 2 b 1 2 c r + b 2 2 2 b 1 2 d r f r β r + b 1 b 2 d s f s k r β s 4 b 1 2 b 2 2 k r k s ,
D s B * = b 1 k s k r b 1 b 2 c r 2 a ( θ 1 ) + b 2 a θ + b 2 c s 2 b 1 2 c s + b 1 b 2 d r f r β r + b 2 2 2 b 1 2 d s f s k r β s 4 b 1 2 b 2 2 k r k s ,
Π r B * = b 1 k s k r b 2 a ( 1 θ ) + b 2 c r + b 1 2 a θ + b 2 c s 2 b 1 2 c r + b 2 2 2 b 1 2 d r f r β r + b 1 b 2 d s f s k r β s 2 4 b 1 2 b 2 2 2 k r 2 k s 2 ,
Π s B * = b 1 k s k r b 1 b 2 c r 2 a ( θ 1 ) + b 2 a θ + b 2 c s 2 b 1 2 c s + b 1 b 2 d r f r β r + b 2 2 2 b 1 2 d s f s k r β s 2 4 b 1 2 b 2 2 2 k r 2 k s 2 ,
S W B * = D r B * 2 2 b 1 + D s B * 2 2 b 1 + Π r B * + Π s B * ( E r D r B * + E s D s B * ) .

4.2. Subsidies to CERE Scenario (Model R)

In this section, we consider the scenario in which the government provides subsidies to the CERE carrier. With the subsidy provided, the CERE carrier’s profit is derived from the freight charge, operating cost, fuel cost, and subsidy as follows:
Π r R = ( p r + s c r F r ) D r ,
where s is the government subsidy per container for the CERE.
The profit of the liner shipping carrier, represented as Π s R , is the freight charge minus the operating and fuel costs, and is formulated as:
Π s R = ( p s c s F s ) D s .
In this scenario, the government aims to maximize the total social welfare, and both carriers aim to maximize their profits. We formulate this decision framework using a two-stage model. At stage 1, the government determines the subsidy for the CERE carrier, while at stage 2, the CERE carrier and the liner shipping carrier set the freight charge simultaneously.
The government first decides the subsidy s for each unit container transported by the CERE carrier to maximizes the total social welfare. This decision making can be formulated as an optimization problem as follows.
max s S W R = D r 2 2 b 1 + D s 2 2 b 1 + ( p r + s c r F r ) D r + ( p s c s F s ) D s s D r ( E r D r + E s D s )
After that, the CERE carrier and the liner shipping carrier competitively determine the freight charge p r and p s to maximize their own profits. Their optimization problems can be formulated as (14) and (15).
max p r Π r R = ( p r + s c r F r ) D r
max p s Π s R = ( p s c s F s ) D s
To examine the impact of the government subsidy s on carriers’ pricing, we first solve the best response functions p r R * ( s ) and p s R * ( s ) , which are summarized in Lemma 1.
Lemma 1. 
For given s, the best response functions p r R * ( s ) and p s R * ( s ) are given by
p r R * ( s ) = 2 b 1 a θ + b 1 c r + F r s + b 2 a ( 1 θ ) + b 1 c s + F s 4 b 1 2 b 2 2 ;
p s R * ( s ) = b 1 k s k r b 2 c r s 2 a ( θ 1 ) + b 2 d r f r β r + a b 2 θ k r k s + 2 b 1 2 k r c s k s + d s f s β s 4 b 1 2 b 2 2 k r k s .
The impacts of subsidy s on the optimal freight charges of the CERE carrier and the liner shipping carrier are further presented in Corollary 1.
Corollary 1. 
The impacts of subsidy s on the optimal freight charges of the CERE carrier and the liner shipping carrier are described as follows:
p r R * ( s ) s < 0 , p s R * ( s ) s < 0 .
Corollary 1 shows that with the increase in the government’s subsidy, both the CERE carrier’s and the liner shipping carrier’s freight charge decreases. The reason for this is that as government subsidies for each unit container transported by the CERE carrier increase, the CERE carrier will lower freight prices in order to gain more market share. The CERE carrier’s reduced freight charges further result in price competition, which leads to corresponding price reductions by the liner shipping carrier.
We then solve the equilibrium outcomes of this game, which are summarized in Proposition 2.
Proposition 2. 
The optimal subsidy s R * , the optimal freight charge p r R * of the CERE carrier, and the optimal freight charge p s R * of the liner shipping carrier are given by
(1) when ϕ < ϕ t , then
s R * = 4 b 1 4 k r k r k s 3 c r k r + d r β r f r + 2 e s ϕ τ 1 b 2 d s 2 e s 2 k r 2 β s 2 c s k s + d s f s β s + d r 2 ( e s ϕ ) 2 k s 2 β r 2 2 a θ + b 2 c s k s + b 2 d s f s β s τ 2 4 b 1 4 3 b 1 2 b 2 2 b 2 4 k r 3 k s 3 + 2 b 1 k r k s b 2 2 2 b 1 2 2 d r 2 ( e s ϕ ) 2 k s 2 β r 2 + b 1 2 b 2 2 d s 2 e s 2 k r 2 β s 2 τ 2 + 2 b 1 3 k s b 2 2 d r 2 ( e s ϕ ) 2 k s 2 β r 2 a a θ + 2 b 2 c r k r + 2 b 2 d r f r β r + d s 2 e s 2 k r 2 2 a 2 a θ + b 2 c r k r + b 2 d r f r β r β s 2 ) τ 2 4 b 1 4 3 b 1 2 b 2 2 b 2 4 k r 3 k s 3 + 2 b 1 k r k s b 2 2 2 b 1 2 2 d r 2 ( e s ϕ ) 2 k s 2 β r 2 + b 1 2 b 2 2 d s 2 e s 2 k r 2 β s 2 τ 2 + b 1 b 2 2 k s 2 k r 3 7 a θ + 5 b 2 c s k s + b 2 d s β s 5 f s + e s τ 1 + 2 b 2 d r 2 ( e s ϕ ) 2 k s β r 2 a a θ + b 2 c r k r + b 2 d r f r β r τ 2 4 b 1 4 3 b 1 2 b 2 2 b 2 4 k r 3 k s 3 + 2 b 1 k r k s b 2 2 2 b 1 2 2 d r 2 ( e s ϕ ) 2 k s 2 β r 2 + b 1 2 b 2 2 d s 2 e s 2 k r 2 β s 2 τ 2 + 8 b 1 5 d r 2 ( e s ϕ ) 2 k s 3 β r 2 c r k r + d r f r β r τ 2 b 2 3 k r 2 k s 3 2 a a θ + b 2 c r k r + b 2 d r β r 2 f r + ( e s ϕ ) τ 1 4 b 1 4 3 b 1 2 b 2 2 b 2 4 k r 3 k s 3 + 2 b 1 k r k s b 2 2 2 b 1 2 2 d r 2 ( e s ϕ ) 2 k s 2 β r 2 + b 1 2 b 2 2 d s 2 e s 2 k r 2 β s 2 τ 2 + 2 b 1 2 b 2 2 k r d s 2 e s 2 k r 2 β s 2 a θ + b 2 c s k s + b 2 d s f s β s + d r 2 ( e s ϕ ) 2 k s 2 β r 2 2 a θ + b 2 c s k s + b 2 d s f s β s τ 2 4 b 1 4 3 b 1 2 b 2 2 b 2 4 k r 3 k s 3 + 2 b 1 k r k s b 2 2 2 b 1 2 2 d r 2 ( e s ϕ ) 2 k s 2 β r 2 + b 1 2 b 2 2 d s 2 e s 2 k r 2 β s 2 τ 2 + 4 b 1 3 k s 4 k r 3 a θ + 2 b 2 c s k s + b 2 d s β s 2 f s + e s τ 1 4 b 1 4 3 b 1 2 b 2 2 b 2 4 k r 3 k s 3 + 2 b 1 k r k s b 2 2 2 b 1 2 2 d r 2 ( e s ϕ ) 2 k s 2 β r 2 + b 1 2 b 2 2 d s 2 e s 2 k r 2 β s 2 τ 2 + b 1 2 b 2 k r 2 k s 3 4 a 1 + θ + 3 b r c r k r + 3 b 2 d r β r f r + ( e s ϕ ) τ 1 4 b 1 4 3 b 1 2 b 2 2 b 2 4 k r 3 k s 3 + 2 b 1 k r k s b 2 2 2 b 1 2 2 d r 2 ( e s ϕ ) 2 k s 2 β r 2 + b 1 2 b 2 2 d s 2 e s 2 k r 2 β s 2 τ 2 ;
p r R * = b 1 2 b 2 k s 2 k r k s 3 a 1 + θ + 2 b 2 c r k r + 2 b 2 d r β r f r + ( e s ϕ ) τ 1 2 b 2 d r 2 ( e s ϕ ) 2 β r 2 2 a θ + b 2 c s k s + b 2 d s f s β s τ 2 4 b 1 4 3 b 2 2 b 1 2 b 2 4 k r 2 k s 3 + 2 b 1 k s 2 b 1 2 + b 2 2 2 d r 2 ( e s ϕ ) 2 k s 2 β r 2 + b 1 2 b 2 2 d s 2 e s 2 k r 2 β s 2 τ 2 + 2 b 1 4 b 2 d s 2 e s 2 k r 2 β s 2 c s k s + d s f s β s + 2 d r 2 ( e s ϕ ) 2 k s 2 β r 2 2 a θ + b 2 c s k s + b 2 d s f s β s τ 2 4 b 1 4 3 b 2 2 b 1 2 b 2 4 k r 2 k s 3 + 2 b 1 k s 2 b 1 2 + b 2 2 2 d r 2 ( e s ϕ ) 2 k s 2 β r 2 + b 1 2 b 2 2 d s 2 e s 2 k r 2 β s 2 τ 2 + a 1 θ b 2 3 k r 2 k s 2 + b 1 b 2 2 k s 2 k r 2 2 a θ + b 2 c s k s + b 2 d s f s β s + 2 a 1 + θ b 2 d r 2 ( e s ϕ ) 2 k s β r 2 τ 2 4 b 1 4 3 b 2 2 b 1 2 b 2 4 k r 2 k s 3 + 2 b 1 k s 2 b 1 2 + b 2 2 2 d r 2 ( e s ϕ ) 2 k s 2 β r 2 + b 1 2 b 2 2 d s 2 e s 2 k r 2 β s 2 τ 2 + b 1 3 b 2 k s k r 2 k s 3 c s k s + 3 d s β s 3 f s + 2 e s τ 1 + 2 a 1 + θ 2 d r 2 ( e s ϕ ) 2 k s 2 β r 2 + d s 2 e s 2 k r 2 β s 2 τ 2 4 b 1 4 3 b 2 2 b 1 2 b 2 4 k r 2 k s 3 + 2 b 1 k s 2 b 1 2 + b 2 2 2 d r 2 ( e s ϕ ) 2 k s 2 β r 2 + b 1 2 b 2 2 d s 2 e s 2 k r 2 β s 2 τ 2 + 2 b 1 4 2 k r k s 3 c r k r + d r β r f r + ( e s ϕ ) τ 1 4 b 1 4 3 b 2 2 b 1 2 b 2 4 k r 2 k s 3 + 2 b 1 k s 2 b 1 2 + b 2 2 2 d r 2 ( e s ϕ ) 2 k s 2 β r 2 + b 1 2 b 2 2 d s 2 e s 2 k r 2 β s 2 τ 2 ;
p s R * = a θ b 2 3 k r 2 k s 3 + 4 b 1 5 d r 2 ( e s ϕ ) 2 k s 2 β r 2 c s k s + d s f s β s τ 2 + 2 b 1 4 k s 2 k r 2 c s k s + d s f s β s + 2 a 1 θ d r 2 ( e s ϕ ) 2 k s β r 2 τ 2 4 b 1 4 3 b 2 2 b 1 2 b 2 4 k r 2 k s 3 + 2 b 1 k s b 2 2 2 b 1 2 2 d r 2 ( e s ϕ ) 2 k s 2 β r 2 + b 1 2 b 2 2 d s 2 e s 2 k r 2 β s 2 τ 2 + b 1 2 b 2 2 k s 2 k r 2 3 c s k s + d s β s 3 f s + e s τ 1 2 a 1 θ d r 2 ( e s ϕ ) 2 k s β r 2 τ 2 4 b 1 4 3 b 2 2 b 1 2 b 2 4 k r 2 k s 3 + 2 b 1 k s b 2 2 2 b 1 2 2 d r 2 ( e s ϕ ) 2 k s 2 β r 2 + b 1 2 b 2 2 d s 2 e s 2 k r 2 β s 2 τ 2 + 2 b 1 3 k r k s 3 a a θ + b 2 c r k r + b 2 d r β r f r + ( e s ϕ ) τ 1 4 b 1 4 3 b 2 2 b 1 2 b 2 4 k r 2 k s 3 + 2 b 1 k s b 2 2 2 b 1 2 2 d r 2 ( e s ϕ ) 2 k s 2 β r 2 + b 1 2 b 2 2 d s 2 e s 2 k r 2 β s 2 τ 2 + 2 b 1 3 b 2 b 2 d s 2 e s 2 k r 2 β s 2 c s k s + d s f s β s + d r 2 ( e s ϕ ) 2 k s 2 β r 2 2 a θ b 2 c s k s b 2 d s f s β s τ 2 4 b 1 4 3 b 2 2 b 1 2 b 2 4 k r 2 k s 3 + 2 b 1 k s b 2 2 2 b 1 2 2 d r 2 ( e s ϕ ) 2 k s 2 β r 2 + b 1 2 b 2 2 d s 2 e s 2 k r 2 β s 2 τ 2 b 1 b 2 3 k s 3 c r k r 2 + d r β r k r f r + ( e s ϕ ) τ 1 + 2 a θ d r ( e s ϕ ) 2 β r τ 2 4 b 1 4 3 b 2 2 b 1 2 b 2 4 k r 2 k s 3 + 2 b 1 k s b 2 2 2 b 1 2 2 d r 2 ( e s ϕ ) 2 k s 2 β r 2 + b 1 2 b 2 2 d s 2 e s 2 k r 2 β s 2 τ 2 ;
(2) when ϕ ϕ t , then
s R * = 0 ;
p r R * = 2 b 1 a θ + b 1 c r + F r + b 2 a ( θ ) + a + b 1 c s + F s b 2 2 4 b 1 2 ;
p s R * = b 1 k s k r b 2 c r s 2 a ( θ 1 ) + b 2 d r f r β r + a b 2 θ k r k s + 2 b 1 2 k r c s k s + d s f s β s 4 b 1 2 b 2 2 k r k s ;
where
ϕ t = 8 b 1 4 6 b 2 2 b 1 2 + b 2 4 d r e s k r 2 k s 3 β r τ 1 λ 4 b 1 2 b 1 2 b 2 2 d r 2 e s 2 k s 2 β r 2 k s 2 c r b 1 2 2 a θ + b 2 c s b 1 + b 2 θ a a b 2 c r k r b 2 2 2 b 1 2 d r f r β r b 1 b 2 d s f s k r β s τ 2 ;
λ = d r 2 e s 2 k r 2 k s 2 β r 2 8 b 1 4 6 b 2 2 b 1 2 + b 2 4 2 k r 2 τ 1 2 k s 4 + 8 b 1 2 b 1 2 b 2 2 λ 1 τ 2 λ 2 ;
λ 1 = k r 2 a θ + b 2 c s k s + b 2 d s f s β s b 1 2 k s c r k r + d r f r β r b 1 2 + b 2 k s θ a + a + b 2 c r k r + b 2 d r f r β r ;
λ 2 = 2 k s b 2 d s 2 e s 2 b 2 c r 2 a ( θ 1 ) k r + b 2 d r f r β r τ 2 β s 2 + 2 k r k s a θ + 2 b 2 c s k s + b 2 d s β s 2 f s + e s τ 1 b 1 3 b 2 4 a ( θ 1 ) + 3 b 2 c r k r + 3 b 2 d r f r β r k s 3 + 2 b 2 d s 2 e s 2 k r β s 2 a θ + b 2 c s k s + b 2 d s f s β s τ 2 b 1 2 b 2 2 k r k s 2 7 a θ + 5 b 2 c s k s + b 2 d s β s 5 f s + e s τ 1 b 1 + 2 b 2 3 k s 3 θ a + a + b 2 c r k r + b 2 d r f r β r + 4 c r k r + d r f r β r k s 3 + b 2 d s 2 e s 2 k r β s 2 c s k s + d s f s β s τ 2 b 1 4 .
Correspondingly, the CERE carrier’s and the liner shipping carrier’s optimal freight volume, optimal profits, and total social welfare are:
D r R * = θ a b 1 p r R * + b 2 p s R * ;
D s R * = ( 1 θ ) a b 1 p s R * + b 2 p r R * ;
Π r R * = ( p r R * + s R * c r F r ) D r R * ;
Π s R * = ( p s R * c s F s ) D s R * ;
S W R * = ( D r R * ) 2 2 b 1 + ( D s R * ) 2 2 b 1 + ( p r R * + s R * c r F r ) D r R * + ( p s R * c s F s ) D s R * s R * D r R * ( E r D r R * + E s D s R * ) .

4.3. Subsidies to Shipper (Model S)

In this section, we consider the scenario in which the government provides subsidies to the shipper. Specifically, when a shipper chooses the CERE carrier, the government provides the shipper with a subsidy of s per container. For the shipper, this means that the actual cost of a CERE container is p r s . Given the above, demand for CERE is derived as
D r S = θ a b 1 ( p r s ) + b 2 p s .
The demand for liner shipping is derived as
D s S = ( 1 θ ) a b 1 p s + b 2 ( p r s ) .
In this scenario, the CERE carrier’s profit function can be represented by
Π r S = ( p r c r F r ) D r S .
The profit function of the liner shipping carrier can be written as
Π s S = ( p s c s F s ) D s S .
Similar to Model R, the government aims to maximize the total social welfare, and both carriers aim to maximize their profits. Specifically, the government first determines the subsidy for the shipper. Then, the CERE carrier and the liner shipping carrier set the freight charge simultaneously.
The government’s decision making can be formulated as an optimization problem as follows.
max s S W S = D r S 2 2 b 1 + D s S 2 2 b 1 + ( p r c r F r ) D r S + ( p s c s F s ) D s S s D r S ( E r D r S + E s D s S )
And the CERE carrier’s and the liner shipping carrier’s decision making can be formulated as (21) and (22).
max p r Π r S = ( p r c r F r ) D r S
max p s Π s S = ( p s c s F s ) D s S
We first solve the best response functions p r S * ( s ) and p s S * ( s ) to examine the impact of the subsidy s on carriers’ pricing.
Lemma 2. 
For given s, the best response functions p r S * ( s ) and p s S * ( s ) are given by
p r S * ( s ) = 2 b 1 a θ + b 1 c r + F r + s + b 2 a ( 1 θ ) + b 1 c s + F s b 2 s 4 b 1 2 b 2 2 ;
p s S * ( s ) = b 1 k s k r b 2 c r s 2 a ( θ 1 ) + b 2 d r f r β r + a b 2 θ k r k s + 2 b 1 2 k r c s k s + d s f s β s 4 b 1 2 b 2 2 k r k s .
Then, we demonstrate the impacts of subsidy s on the CERE carrier’s and the liner shipping carrier’s optimal freight charge.
Corollary 2. 
The impacts of subsidy s on the CERE carrier’s and the liner shipping carrier’s optimal freight charge are described as follows:
p r S * ( s ) s > 0 , p s S * ( s ) s < 0 .
Corollary 2 shows that as government subsidies increase, the CERE carrier’s freight charge increases, while the liner shipping carrier’s freight charge decreases. This is because direct government subsidies to shippers can be considered a government-borne freight. Thus, an increase in subsidies could prompt the CERE carriers to appropriately raise freight rates without losing market share and thus gain more revenue. On the contrary, the liner shipping carrier will cut freight charges to earn a comparative advantage in the market.
The equilibrium outcomes in this scenario are further summarized in Proposition 3.
Proposition 3. 
The optimal subsidy s S * , the optimal freight charge p r S * of the CERE carrier, and the optimal freight charge p s S * of the liner shipping carrier are given by
(1) when ϕ < ϕ t , then
s S * = 4 b 1 4 k r k r k s 3 c r k r + d r β r f r + 2 e s ϕ τ 1 b 2 d s 2 e s 2 k r 2 β s 2 c s k s + d s f s β s + d r 2 ( e s ϕ ) 2 k s 2 β r 2 2 a θ + b 2 c s k s + b 2 d s f s β s τ 2 4 b 1 4 3 b 1 2 b 2 2 b 2 4 k r 3 k s 3 + 2 b 1 k r k s b 2 2 2 b 1 2 2 d r 2 ( e s ϕ ) 2 k s 2 β r 2 + b 1 2 b 2 2 d s 2 e s 2 k r 2 β s 2 τ 2 + 2 b 1 3 k s b 2 2 d r 2 ( e s ϕ ) 2 k s 2 β r 2 a a θ + 2 b 2 c r k r + 2 b 2 d r f r β r + d s 2 e s 2 k r 2 2 a 2 a θ + b 2 c r k r + b 2 d r f r β r β s 2 ) τ 2 4 b 1 4 3 b 1 2 b 2 2 b 2 4 k r 3 k s 3 + 2 b 1 k r k s b 2 2 2 b 1 2 2 d r 2 ( e s ϕ ) 2 k s 2 β r 2 + b 1 2 b 2 2 d s 2 e s 2 k r 2 β s 2 τ 2 + b 1 b 2 2 k s 2 k r 3 7 a θ + 5 b 2 c s k s + b 2 d s β s 5 f s + e s τ 1 + 2 b 2 d r 2 ( e s ϕ ) 2 k s β r 2 a a θ + b 2 c r k r + b 2 d r f r β r τ 2 4 b 1 4 3 b 1 2 b 2 2 b 2 4 k r 3 k s 3 + 2 b 1 k r k s b 2 2 2 b 1 2 2 d r 2 ( e s ϕ ) 2 k s 2 β r 2 + b 1 2 b 2 2 d s 2 e s 2 k r 2 β s 2 τ 2 + 8 b 1 5 d r 2 ( e s ϕ ) 2 k s 3 β r 2 c r k r + d r f r β r τ 2 b 2 3 k r 2 k s 3 2 a a θ + b 2 c r k r + b 2 d r β r 2 f r + ( e s ϕ ) τ 1 4 b 1 4 3 b 1 2 b 2 2 b 2 4 k r 3 k s 3 + 2 b 1 k r k s b 2 2 2 b 1 2 2 d r 2 ( e s ϕ ) 2 k s 2 β r 2 + b 1 2 b 2 2 d s 2 e s 2 k r 2 β s 2 τ 2 + 2 b 1 2 b 2 2 k r d s 2 e s 2 k r 2 β s 2 a θ + b 2 c s k s + b 2 d s f s β s + d r 2 ( e s ϕ ) 2 k s 2 β r 2 2 a θ + b 2 c s k s + b 2 d s f s β s τ 2 4 b 1 4 3 b 1 2 b 2 2 b 2 4 k r 3 k s 3 + 2 b 1 k r k s b 2 2 2 b 1 2 2 d r 2 ( e s ϕ ) 2 k s 2 β r 2 + b 1 2 b 2 2 d s 2 e s 2 k r 2 β s 2 τ 2 + 4 b 1 3 k s 4 k r 3 a θ + 2 b 2 c s k s + b 2 d s β s 2 f s + e s τ 1 4 b 1 4 3 b 1 2 b 2 2 b 2 4 k r 3 k s 3 + 2 b 1 k r k s b 2 2 2 b 1 2 2 d r 2 ( e s ϕ ) 2 k s 2 β r 2 + b 1 2 b 2 2 d s 2 e s 2 k r 2 β s 2 τ 2 + b 1 2 b 2 k r 2 k s 3 4 a 1 + θ + 3 b r c r k r + 3 b 2 d r β r f r + ( e s ϕ ) τ 1 4 b 1 4 3 b 1 2 b 2 2 b 2 4 k r 3 k s 3 + 2 b 1 k r k s b 2 2 2 b 1 2 2 d r 2 ( e s ϕ ) 2 k s 2 β r 2 + b 1 2 b 2 2 d s 2 e s 2 k r 2 β s 2 τ 2 ;
p r S * = b 1 b 2 2 k s 2 2 b 2 2 d r 2 ( e s ϕ ) 2 k s β r 2 c r k r + d r f r β r τ 2 k r 3 5 a θ + 4 b 2 c s k s + b 2 d s β s 4 f s + e s τ 1 4 b 1 4 3 b 2 2 b 1 2 b 2 4 k r 3 k s 3 + 2 b 1 k r k s b 2 2 2 b 1 2 2 d r 2 ( e s ϕ ) 2 k s 2 β r 2 + b 1 2 b 2 2 d s 2 e s 2 k r 2 β s 2 τ 2 + b 2 3 k r 2 k s 3 a a θ + 2 b 2 c r k r + b 2 d r β r 2 f r + e s ϕ τ 1 + 2 b 1 4 k r 2 2 d r e s ϕ k s 3 β r τ 1 b 2 d s 2 e s 2 k r β s 2 c s k s + d s f s β s τ 2 4 b 1 4 3 b 2 2 b 1 2 b 2 4 k r 3 k s 3 + 2 b 1 k r k s b 2 2 2 b 1 2 2 d r 2 ( e s ϕ ) 2 k s 2 β r 2 + b 1 2 b 2 2 d s 2 e s 2 k r 2 β s 2 τ 2 + b 1 2 b 2 k r 2 k s 3 a 1 + θ + b 2 c r k r + b 2 d r β r f r + 4 ( e s ϕ ) τ 1 + 2 b 2 d s 2 e s 2 k r β s 2 a θ + b 2 c s k s + b 2 d s f s β s τ 2 4 b 1 4 3 b 2 2 b 1 2 b 2 4 k r 3 k s 3 + 2 b 1 k r k s b 2 2 2 b 1 2 2 d r 2 ( e s ϕ ) 2 k s 2 β r 2 + b 1 2 b 2 2 d s 2 e s 2 k r 2 β s 2 τ 2 + b 1 3 k s 2 k r 3 4 a θ + 5 b 2 c s k s + b 2 d s β s 5 f s + 2 e s τ 1 + 8 b 1 5 d r 2 ( e s ϕ ) 2 k s 3 β r 2 c r k r + d r f r β r τ 2 4 b 1 4 3 b 2 2 b 1 2 b 2 4 k r 3 k s 3 + 2 b 1 k r k s b 2 2 2 b 1 2 2 d r 2 ( e s ϕ ) 2 k s 2 β r 2 + b 1 2 b 2 2 d s 2 e s 2 k r 2 β s 2 τ 2 + 2 b 1 3 k s b 2 a 1 θ d s 2 e s 2 k r 3 β s 2 + b 2 c r k r + d r f r β r 4 d r 2 ( e s ϕ ) 2 k s 2 β r 2 + d s 2 e s 2 k r 2 β s 2 τ 2 4 b 1 4 3 b 2 2 b 1 2 b 2 4 k r 3 k s 3 + 2 b 1 k r k s b 2 2 2 b 1 2 2 d r 2 ( e s ϕ ) 2 k s 2 β r 2 + b 1 2 b 2 2 d s 2 e s 2 k r 2 β s 2 τ 2 ;
p s S * = a θ b 2 3 k r 2 k s 3 + 4 b 1 5 d r 2 ( e s ϕ ) 2 k s 2 β r 2 c s k s + d s f s β s τ 2 + 2 b 1 4 k s 2 k r 2 c s k s + d s f s β s + 2 a 1 θ d r 2 ( e s ϕ ) 2 k s β r 2 τ 2 4 b 1 4 3 b 2 2 b 1 2 b 2 4 k r 2 k s 3 + 2 b 1 k s b 2 2 2 b 1 2 2 d r 2 ( e s ϕ ) 2 k s 2 β r 2 + b 1 2 b 2 2 d s 2 e s 2 k r 2 β s 2 τ 2 + b 1 2 b 2 2 k s 2 k r 2 3 c s k s + d s β s 3 f s + e s τ 1 2 a 1 θ d r 2 ( e s ϕ ) 2 k s β r 2 τ 2 4 b 1 4 3 b 2 2 b 1 2 b 2 4 k r 2 k s 3 + 2 b 1 k s b 2 2 2 b 1 2 2 d r 2 ( e s ϕ ) 2 k s 2 β r 2 + b 1 2 b 2 2 d s 2 e s 2 k r 2 β s 2 τ 2 + 2 b 1 3 k r k s 3 a a θ + b 2 c r k r + b 2 d r β r f r + ( e s ϕ ) τ 1 4 b 1 4 3 b 2 2 b 1 2 b 2 4 k r 2 k s 3 + 2 b 1 k s b 2 2 2 b 1 2 2 d r 2 ( e s ϕ ) 2 k s 2 β r 2 + b 1 2 b 2 2 d s 2 e s 2 k r 2 β s 2 τ 2 + 2 b 1 3 b 2 b 2 d s 2 e s 2 k r 2 β s 2 c s k s + d s f s β s + d r 2 ( e s ϕ ) 2 k s 2 β r 2 2 a θ b 2 c s k s b 2 d s f s β s τ 2 4 b 1 4 3 b 2 2 b 1 2 b 2 4 k r 2 k s 3 + 2 b 1 k s b 2 2 2 b 1 2 2 d r 2 ( e s ϕ ) 2 k s 2 β r 2 + b 1 2 b 2 2 d s 2 e s 2 k r 2 β s 2 τ 2 b 1 b 2 3 k s 3 c r k r 2 + d r β r k r f r + ( e s ϕ ) τ 1 + 2 a θ d r ( e s ϕ ) 2 β r τ 2 4 b 1 4 3 b 2 2 b 1 2 b 2 4 k r 2 k s 3 + 2 b 1 k s b 2 2 2 b 1 2 2 d r 2 ( e s ϕ ) 2 k s 2 β r 2 + b 1 2 b 2 2 d s 2 e s 2 k r 2 β s 2 τ 2 ;
(2) when ϕ ϕ t , then
s R * = 0 ;
p r R * = 2 b 1 a θ + b 1 c r + F r + b 2 a ( θ ) + a + b 1 c s + F s b 2 2 4 b 1 2 ;
p s R * = b 1 k s k r b 2 c r s 2 a ( θ 1 ) + b 2 d r f r β r + a b 2 θ k r k s + 2 b 1 2 k r c s k s + d s f s β s 4 b 1 2 b 2 2 k r k s ;
where the value of threshold ϕ t is the same as in Proposition 2.
Correspondingly, the CERE carrier’s and the liner shipping carrier’s optimal freight volume, optimal profits, and total social welfare are:
D r S * = θ a b 1 ( p r S * s S * + b 2 p s S * ;
D s S * = ( 1 θ ) a b 1 p s S * + b 2 ( p r S * s S * ) ;
Π r S * = ( p r S * c r F r ) D r S * ;
Π s S * = ( p s S * c s F s ) D s S * ;
S W S * = ( D r S * ) 2 2 b 1 + ( D s S * ) 2 2 b 1 + ( p r S * c r F r ) D r S * + ( p s S * c s F s ) D s S * s S * D r S * ( E r D r S * + E s D s S * ) .

4.4. Comparative Analysis

In this section, we compare the equilibrium outcomes derived in three different scenarios to reveal the subsidy back-slope strategy in detail.
Proposition 4. 
The equilibrium outcomes (i.e., s * , p r * , and p s * ) in Model B, Model R, and Model S are related as follows:
(1) 
when ϕ < ϕ t , then s R * = s S * > 0 ; otherwise, s R * = s S * = 0
(2) 
when ϕ < ϕ t , then p r S * > p r B * > p r R * , and p r S * p r R * = s R * ; otherwise, p r S * = p r R * = p r B * ;
(3) 
when ϕ < ϕ t , then p s B * > p s R * = p s S * ; otherwise, p s B * = p s R * = p s S *
Proposition 4 (1) compares the equilibrium subsidy in Model R and Model S. It demonstrates that the optimal subsidy amount remains the same, regardless of the government’s subsidy strategy. Proposition 4 (2) shows that among three different subsidy strategies, when the environmental advantage of CERE is low (i.e., ϕ < ϕ t ), the CERE carrier’s freight charge is the highest in Model S and the lowest in Model R. At this point, the discrepancy between the CERE’s optimal freight in Model S and Model R is exactly s R * . It indicates that the actual freight prices of CERE paid by the shipper in Model R and Model S are consistent. A possible explanation for the phenomenon above is the payment transfer effect of subsidies. To elaborate, when the government subsidizes a CERE carrier, the carrier passes the full subsidy on to the shipper in the form of price reductions in an effort to gain additional market share. This has the same effect as subsidizing the shipper. Therefore, for the government, the optimal subsidy will be the same for both subsidy strategies (i.e., Model R and Model S). Moreover, Proposition 4 (3) shows that when the environmental advantage of CERE is low (i.e., ϕ < ϕ t ), the liner shipping’s freight charge is the highest in Model B among three scenarios. And the liner shipping’s freight charges are the same in Model R and Model S. This is due to the fact that in the absence of subsidies, the liner shipping carrier faces the least competition from the CERE carrier. At last, when the environmental advantage of CERE is low (i.e., ϕ ϕ t ), the subsidy amount in model R and model S is the same, and the value is equal to 0. Thus, the CERE carrier’s and the liner shipping’s optimal freight charge in Models B, R, and S is the same, respectively.
Proposition 5. 
The total social welfare in equilibrium of Model B, Model R, and Model S is related as follows:
(1) 
S W R * = S W S * ;
(2) 
if ϕ > ϕ t , S W R * = S W S * = S W B * ; otherwise, S W R * = S W S * > S W B * , where ϕ t are given by Proposition 2.
According to Proposition 5 (1), regardless of whether the government subsidizes the CERE carrier or the shipper, the optimal total social welfare remains the same. It implicates that the government can be flexible in choosing subsidy policies based on the type of subsidy object, the purpose of subsidies, as well as other factors in combination with the actual situation. Proposition 5 (2) demonstrates that the relationship between S W R * and S W B * is contingent on the value of ϕ , which can be interpreted as the CERE’s environmental advantage. Specifically, there exists a threshold of ϕ denoted as ϕ t . When ϕ > ϕ t , Model R always leads to a higher total social welfare than Model B. Moreover, it should be noted that when total social welfare becomes undifferentiated under government subsidies, the government should discontinue to provide subsidies. Specifically, government subsidies will be discontinued only when the total social welfare after discontinuation will not be less than it was before. It is equivalent to saying that the government should cease subsidies when the environmental advantage is low, which is demonstrated by Proposition 5 (2).

5. Numerical Analysis

In this section, to visualize the analytical results above, and to further identify the condition for the government to opt out of subsidies to CERE, we conduct numerical analysis. Specifically, we examine the effects of varying problem parameters on the equilibrium outcomes with numerical examples. We set parameter values according to the actual data of the Yiwu–Xinjiang–Europe line (i.e., d r , d s , f s , f r ), and other parameters by referring to the relevant literature [6,26]. In addition, many combinations of parameter assignments were carried out, and our qualitative results remain consistent. In light of the discussion above, we selected the following parameter values in Table 2 for numerical analysis.

5.1. Comparison of Model B, Model R, and Model S

We first compare the total social welfare of Models B, R, and S under the parameter setting above. Then, we vary the value of ϕ in the grid of [ 0 , 0.1 , 0.2 , 0.3 , 0.4 , 0.5 ] to examine its effects on the total social welfare and equilibrium profits. Note that an increase in ϕ implies a decrease in CERE’s environmental advantage.
First of all, Table 3 shows that as the CERE’s environmental advantage declines, the total social welfare under three different scenarios decreases as well. In addition, both the CERE carrier’s and the liner shipping carrier’s profits in Model B are unaffected by ϕ . Moreover, as the CERE’s environmental advantage declines, its profits in Models R and S decrease, while the liner shipping’s profit increases in both Models R and S.
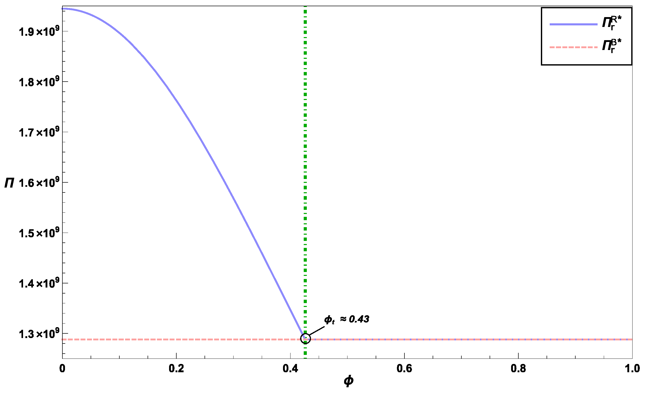
Second, Table 3 shows that the total social welfare in Model R is always the same as that in Model S. This means that for the government, there is no difference between the two subsidy strategies. For clarity, we use S W R * only for the rest of the analysis in this subsection. In addition, Table 3 indicates that the government’s choice of whether to withdraw subsidies is contingent on the value of ϕ . Figure 2 further illustrates such impacts of ϕ on the relative magnitude of S W R * and S W B * . Specifically, there exists a threshold of relative emissions between CERE and liner shipping ( ϕ t ). When the environmental advantage of CERE is significant enough (i.e., ϕ < ϕ t ), the government should provide subsidies for CERE. Otherwise, the government should cease subsidizing CERE. For example, as shown in Figure 2, ϕ t = 0.43 in the problem setting above, which indicates that the government should choose to subsidize CERE (Model R); and when ϕ = 0.5 > 0.43 , the government should stop subsidizing CERE (Model B).
Finally, Table 3 shows that CERE’s profit in Model R is always the same as that in Model S, which is always higher than or equal to that in Model B. From Figure 3, we can tell that when the value of ϕ is less than the threshold ϕ t ; the CERE’s profit in Model R is always higher than that in Model B. Otherwise, the CERE’s profit in Model R is the same as that in Model B. In other words, the CERE carrier is able to make more profit with subsidies than without them. As a result, the CERE carrier is incentivized to enhance its environmental advantage to obtain government subsidies and increase its revenue.
Up to this point, the above discussion has answered two important research questions raised in this paper: (1) What is the government’s optimal subsidy strategy considering environmental impact and industry competition? (2) Under what conditions can the government phase out subsidy policies?
Note that the threshold value ϕ t will be affected by other problem characteristics. Figure 4 shows the impact of k r on the value of the threshold ϕ t . As the capacity of CERE trains ( k r ) increases, the value of ϕ t increases. In addition, when the capacity of CERE trains is significantly high, it is unlikely that the government will discontinue subsidizing CERE unless the emissions of CERE substantially exceed those of liner shipping. This observation implies that in addition to reducing emissions, the CERE carrier can also choose to encourage the government to maintain subsidies by increasing load capacity, thus achieving higher profits.
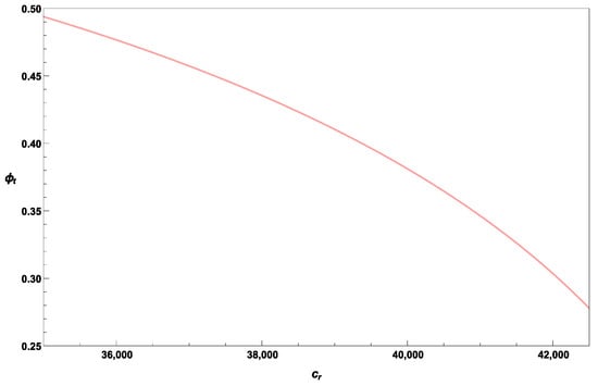
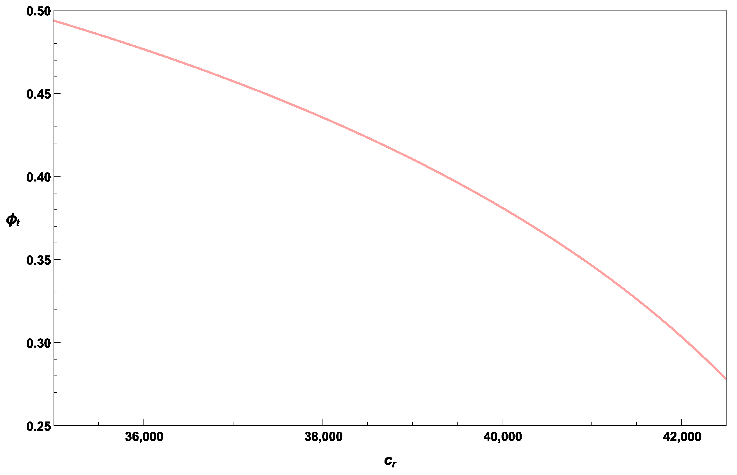
Figure 5 shows the impacts of c r on the value of the threshold ϕ t . As the marginal operating cost for CERE increases, the value of the threshold ϕ t decreases. The government’s motivation for subsidizing CERE is its ability to generate both economic and environmental benefits. However, as the operating costs of CERE increase, their economic benefits decrease. As a result, the government will place greater emphasis on the environmental benefits of CERE, and will only offer subsidies if CERE’s environmental advantages are particularly significant.
The discussion of Figure 4 and Figure 5 further answers the important research question: Under what conditions can the government phase out subsidy policies?

5.2. Impact of CERE’S Environmental Advantage

In this subsection, we illustrate the impact of CERE’s environmental advantage on the equilibrium outcomes of scenarios B, R, and S.
First, as shown in Table 4, when the government does not subsidize, both CERE’s and liner shipping’s freight charges are unaffected by ϕ . It is intuitive that when both carriers are profit-seeking and there are no extrinsic subsidies, they will only seek to maximize their own profits, without considering environmental concerns.
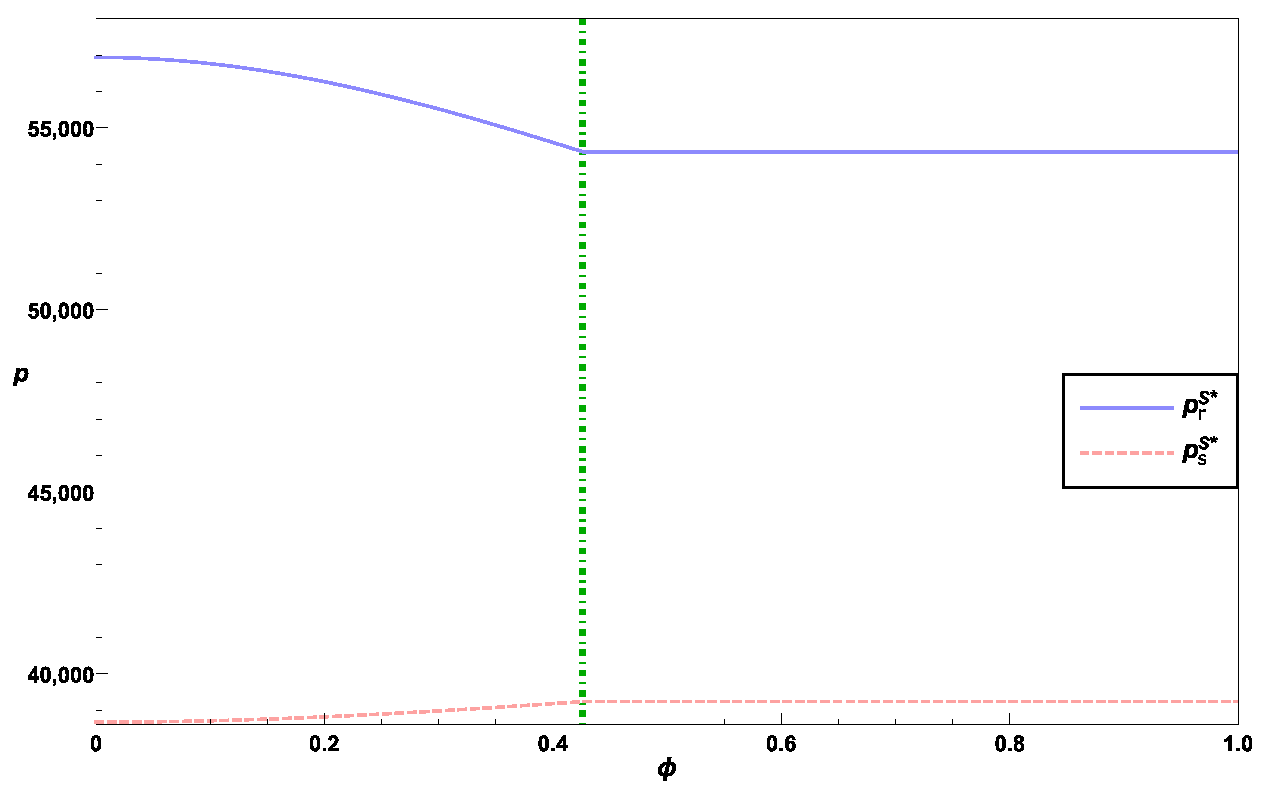
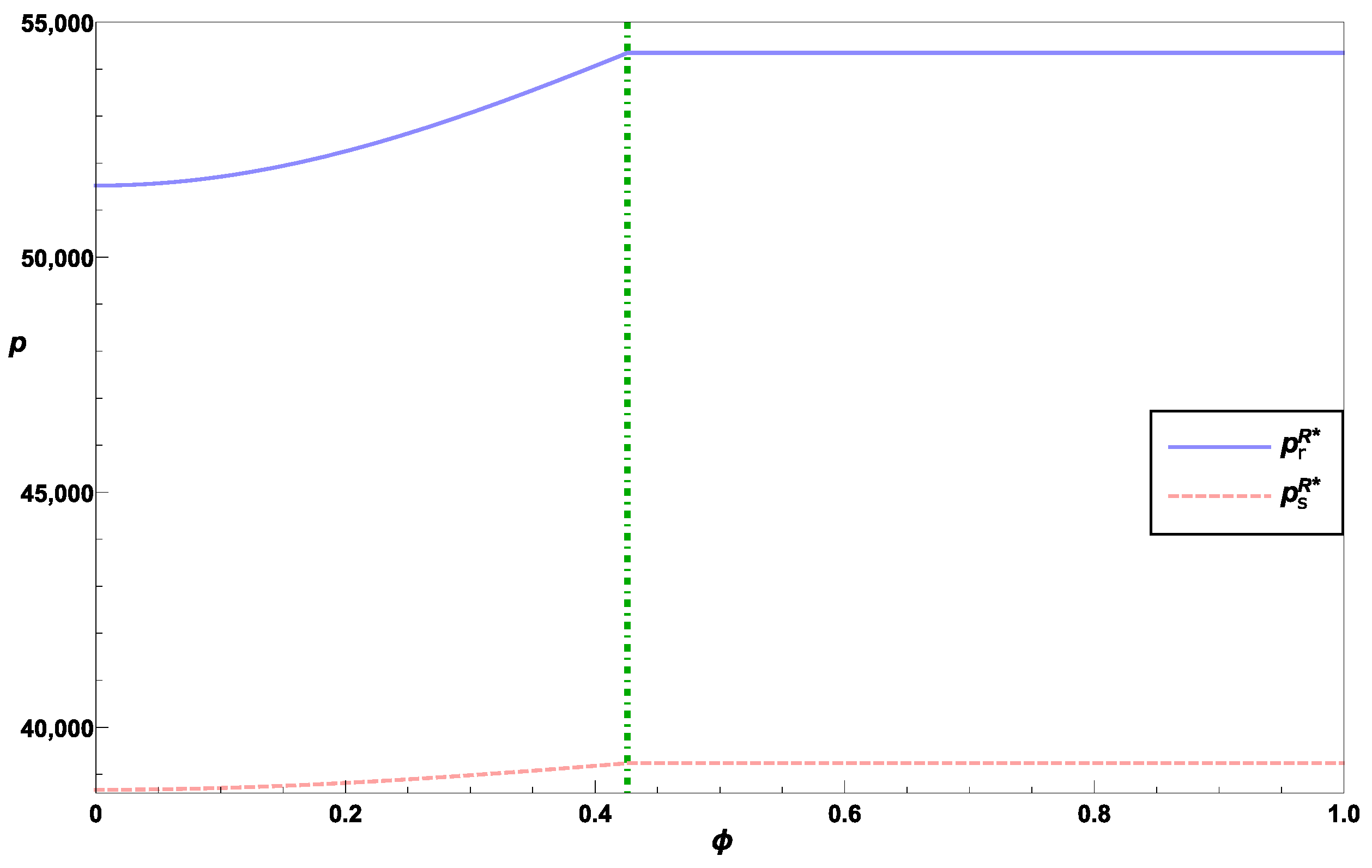
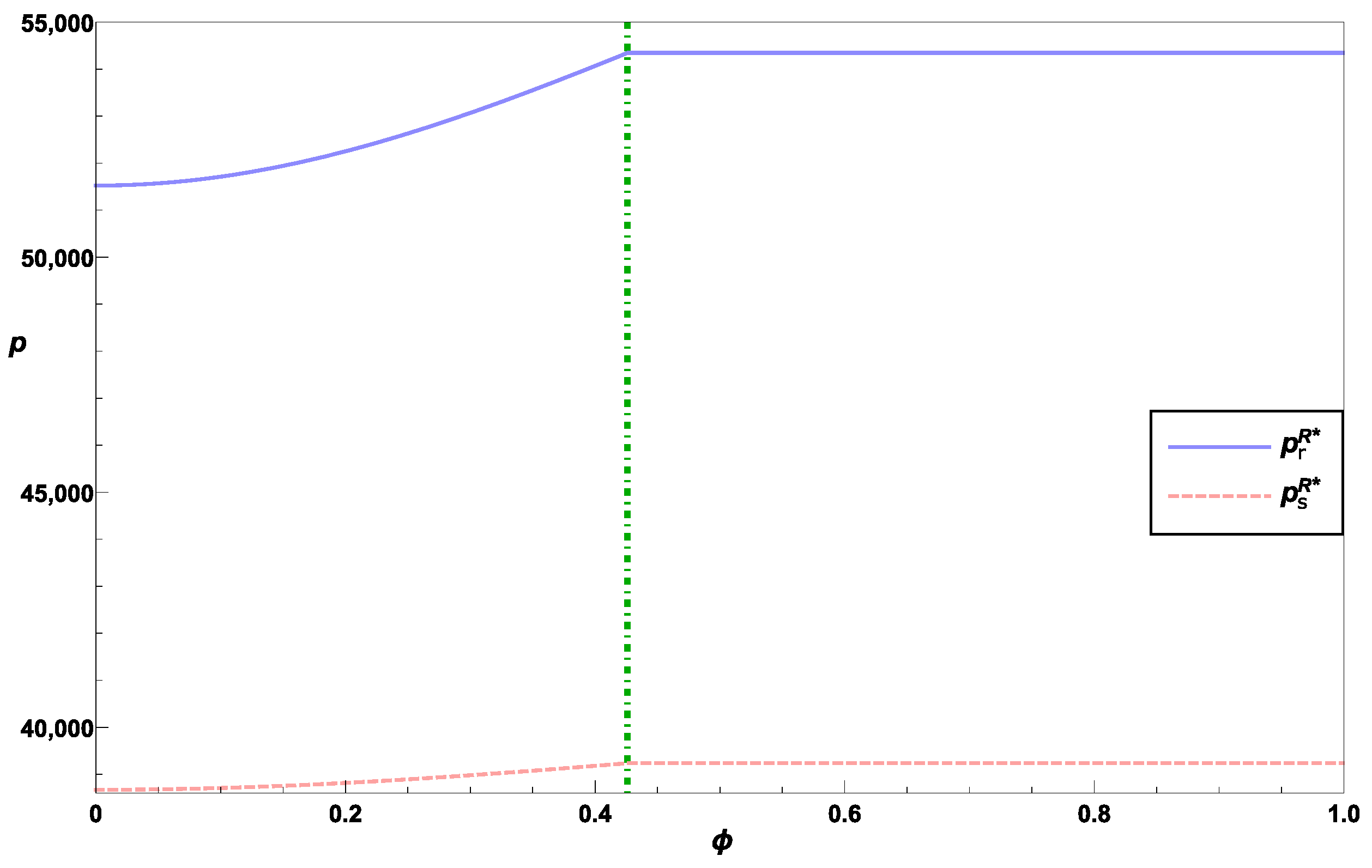
Second, we illustrate the impact of CERE’s environmental advantage on the equilibrium outcomes of scenario R. Table 4 shows that when CERE’s environmental advantage is high (i.e., below the threshold), as CERE’s environmental advantage decreases, the government’s subsidy decreases as well. Meanwhile, both the CERE carrier’s and the liner shipping carrier’s freight charges increase as CERE’s environmental advantage decreases. In addition, Figure 6 shows that when CERE’s environmental advantage is high, with the decrease in ϕ , the increase rate of the CERE carrier’s freight is greater than that of the liner shipping carrier. And when CERE’s environmental advantage is low, both CERE’s and liner shipping’s freight charges are unaffected by ϕ . The intuition is that decreased environmental advantage from CERE leads to more negative impact on the environment, thereby resulting in a reduction in government subsidies for CERE. As a result of reduced government subsidies, the CERE carrier chooses to raise its freight charge to maintain its own profitability. In response to the increase in CERE’s freight charge, the liner shipping carrier increases its freight charge as well. When the CERE’s environmental advantage is low, the government will stop subsidizing CERE. In this case, both carriers are profit-seeking and do not consider environmental concerns.
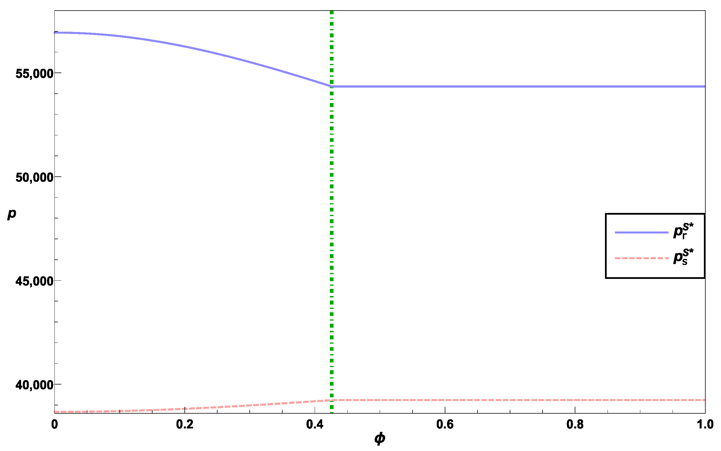
Next, we illustrate the impact of CERE’s environmental advantage on the equilibrium outcomes of scenario S. Table 4 shows that when the CERE’s environmental advantage is high (i.e., below the threshold), as CERE’s environmental advantage decreases, both the government’s subsidy and the CERE carrier’s freight charge decrease. Meanwhile, the liner shipping carrier’s freight charge increases. In addition, Figure 7 shows that when the CERE’s environmental advantage is high, the change in ϕ has a greater impact on the freight charge of CERE than on the freight charge of liner shipping. And when CERE’s environmental advantage is low, both CERE’s and liner shipping’s freight charges are unaffected by ϕ . Intuitively, a decrease in environmental benefit from CERE would lead to a decrease in government subsidies. As a result, liner shipping gains a competitive advantage. Therefore, the liner shipping carrier increases its freight charge while the CERE carrier reduces its freight charge.
At last, Table 4 shows that both CERE’s and liner shipping’s freight charges in Model B are the lowest among the three scenarios. That is to say that Model B results in the highest surplus for shippers. In other words, shippers gain more surplus when the government provides subsidies.
Up to this point, the discussion of Table 4 has answered the important research questions raised in this paper: How do environmental-protection-oriented government subsidies affect CERE and liner shipping carriers’ optimal decisions?

6. Discussion and Managerial Insights

In this section, we summarize our main analysis results and gain some management insights.
For the government, indirect subsidies to CERE carriers and direct subsidies to shippers lead to the same total social welfare. Therefore, the regulator may choose either of the two subsidy policies based on the type of subsidy object, the purpose of the subsidy, and other factors.
In addition, when the environmental advantage of CERE is low, the regulator should opt out of subsidies. It is worth noting that for CERE, profits were consistently higher with subsidies than without them. This result can provide a management insight for CERE carriers, that is, CERE carriers can properly invest in the green supply chain, such as improving the supply chain structure, investing in emission reduction projects, etc., to improve their own environmental advantages. For example, CEVA Logistics, a CERE carrier, is compensating for the carbon dioxide produced during train operation by investing in the Gold Standard certification program. For the government, this result brings a management implication to promote the green development of the supply chain. The government can provide differentiated subsidies. Specifically, the government sets different environmental standards and grants different subsidies to CERE that meet different standards.
Subsidy strategies for CERE also depend on the capacity of the CERE train, since the threshold for the environmental advantage of CERE is affected by the capacity of the CERE train. The threshold for CERE trains’ environmental advantages increases as their capacity increases. It indicates that when the CERE capacity is large enough, and the CERE has a relatively low environmental advantage, the government should not be out of subsidies. This discussion brings a management revelation to CERE carriers, that is, when it is difficult for CERE carriers to improve their emission advantages, CERE carriers can increase their own carrying capacity to promote the government to continue subsidies. For example, the carrying capacity of CERE trains has increased from 50 to 100 containers at full capacity.
CERE’s environmental advantage threshold is further determined by its marginal operating cost. As the marginal operating cost of CERE increases, the threshold value decreases. This means that if CERE does not meet both cost and environmental criteria, the government should cease subsidies. CERE carriers must have at least one of these environmental or cost advantages.

7. Conclusions

This study examines the issues related to the choice of subsidy strategies by regulators taking into account the competition among CERE carriers and liner shipping carriers and the protection of the environment. Particularly, we try to identify the regulator’s subsidy strategy, which maximizes the total social welfare under the competition of CERE and liner shipping. To delineate the regulator’s choice of subsidy strategy, we modeled and derived its optimal decision making and associated social welfare under three different subsidy strategies. Our findings showed that for the regulator, indirect subsidies to CERE carriers and direct subsidies to shippers lead to the same total social welfare. Therefore, the regulator may choose either of two subsidy policies based on the type of subsidy object, the purpose of the subsidy, and other factors.
We further investigate the conditions for terminating government subsidies. Specifically, there exists a threshold for the environmental advantage of the CERE. When the environmental advantage of CERE is high (i.e., below the threshold), the regulator should choose to subsidize CERE by subsidizing either carrier or shipper. Otherwise, the regulator should should opt out of subsidies. In addition, our analysis shows that the value of the threshold is further determined by the capacity of the CERE train. As CERE trains’ capacities increase, the threshold for their environmental advantages increases as well. This observation implies that, if the CERE capacity is large enough, and the CERE has an environmental advantage which is relatively low, the regulator should not be out of subsidies. Moreover, our analysis showed that the value of the threshold is impacted by the marginal operating cost for the CERE. As the marginal operating cost for CERE increases, the value of the threshold decreases. This means that if CERE does not meet both cost and environmental criteria, the government will cease to provide subsidies.
Gong and Li [6] discussed the optimal amount of government subsidy for CERE under the consideration of environmental impacts and industry competition. Only one subsidy strategy was considered in their study. Our study extends their work by considering three different government subsidy strategies and examining the conditions under which governments terminate subsidies. In the future, there are some interesting directions worth exploring. First of all, in this study, we did not take into account the different timeliness between CERE and liner shipping. However, in practice, the shipper’s choice of means of transport is closely related to timeliness. Thus, it is necessary to incorporate timeliness of transportation in a future study. Second, it was assumed in this paper that the cargoes are homogeneous. In reality, different types of cargo have different values of time. Shippers can decide which mode of transport to use according to the time of value of cargoes. For example, cargoes with a high time value may prefer to use CERE since it is a shorter journey. Hence, it is promising to extend the model described in this paper to include cargo heterogeneity in a future study. In addition, in this study, we did not consider the emission reduction strategies of CERE carriers. In future studies, we can incorporate the emission reduction strategies of CERE carriers into the model. Finally, this paper only considered the competition between CERE and liner shipping. It can also be extended to consider the cooperation between CERE carriers and liner shipping carriers.

Author Contributions

Conceptualization, J.C. and T.G.; methodology, J.C.; software, T.G.; validation, J.C., T.G. and Y.C.; formal analysis, T.G.; investigation, J.C.; resources, J.C.; data curation, J.C.; writing—original draft preparation, J.C.; writing—review and editing, T.G.; visualization, J.C. and T.G.; supervision, Y.C.; project administration, Y.C. All authors have read and agreed to the published version of the manuscript.

Funding

This research was funded by The Key Research Base Project of Philosophy and Social Sciences of Zhejiang Province (20JDZD029).

Data Availability Statement

Not applicable.

Conflicts of Interest

The authors declare no conflict of interest.

Appendix A. Proof

Appendix A.1. Proof of Proposition 1

By setting π r B p r = 0 and π s B p s = 0 and solving them simultaneously, we obtain the optimal value of p r B * and p s B * , which are given in Proposition 1.

Appendix A.2. Proof of Lemma 1

To examine the concavity of the problem, we further calculate the second derivative of Equations (14) and (15) with respect to p r R * ( s ) and p s R * ( s ) , respectively.
2 π r R p r R * ( s ) 2 = 2 b 1
2 π s R p s R * ( s ) 2 = 2 b 1
where 2 π r R p r R * ( s ) 2 and 2 π s R p s R * ( s ) 2 are all negative. Hence, π r R is strictly concave in p r R * ( s ) . And π s R is strictly concave in p s R * ( s ) . Next, we solve the first-order optimality condition.
The necessary condition of optimization of the manufacturer’s profit yields
π r R p r R * ( s ) = 2 b 1 a θ + b 1 c r + d r f r β r k r s + b 2 a ( θ ) + a + b 1 c s + d s f s β s k s b 2 2 4 b 1 2 ;
π s R p s R * ( s ) = b 1 k s k r b 2 c r S 2 a ( θ 1 ) + b 2 d r f r β r + a b 2 θ k r k s + 2 b 1 2 k r c s k s + d s f s β s 4 b 1 2 b 2 2 k r k s .
By setting π r R p r R * ( s ) = 0 and π s R p s R * ( s ) = 0 and solving them simultaneously, we obtain the optimal value of p r R * ( s ) and p s R * ( s ) , which are given in Lemma 1.

Appendix A.3. Proof of Proposition 2

After substituting p r R * ( s ) and p s R * ( s ) into Equation (13), the government’s optimization problem can be formulated as follows:
max s S W R = D r 2 2 b 1 + D s 2 2 b 1 + ( p r R * ( s ) + s c r F r ) D r + ( p s R * ( s ) c s F s ) D s s D r ( E r D r + E s D s )
s . t . s 0
where D r = θ a b 1 p r R * ( s ) + b 2 p s R * ( s ) and D s = ( 1 θ ) a b 1 p s R * ( s ) + b 2 p r R * ( s ) .
We now consider two cases, namely Case 1: s > 0 ; and Case 2: s = 0 .
For Case 1, setting S W R s = 0 and solving it, we can obtain the optimal subsidy amount s R * . Then, substituting s R * into p r R * ( s ) and p s R * ( s ) . Thus, we can obtain the optimal solutions, which are given in Proposition 2 (1).
Next, solving s R * > 0 , we can obtain the condition of ϕ as follows:
ϕ t = 8 b 1 4 6 b 2 2 b 1 2 + b 2 4 d r e s k r 2 k s 3 β r τ 1 λ 4 b 1 2 b 1 2 b 2 2 d r 2 e s 2 k s 2 β r 2 k s 2 c r b 1 2 2 a θ + b 2 c s b 1 + b 2 θ a a b 2 c r k r b 2 2 2 b 1 2 d r f r β r b 1 b 2 d s f s k r β s τ 2 ;
λ = d r 2 e s 2 k r 2 k s 2 β r 2 8 b 1 4 6 b 2 2 b 1 2 + b 2 4 2 k r 2 τ 1 2 k s 4 + 8 b 1 2 b 1 2 b 2 2 λ 1 τ 2 λ 2 ;
λ 1 = k r 2 a θ + b 2 c s k s + b 2 d s f s β s b 1 2 k s c r k r + d r f r β r b 1 2 + b 2 k s θ a + a + b 2 c r k r + b 2 d r f r β r ;
λ 2 = 2 k s b 2 d s 2 e s 2 b 2 c r 2 a ( θ 1 ) k r + b 2 d r f r β r τ 2 β s 2 + 2 k r k s a θ + 2 b 2 c s k s + b 2 d s β s 2 f s + e s τ 1 b 1 3 b 2 4 a ( θ 1 ) + 3 b 2 c r k r + 3 b 2 d r f r β r k s 3 + 2 b 2 d s 2 e s 2 k r β s 2 a θ + b 2 c s k s + b 2 d s f s β s τ 2 b 1 2 b 2 2 k r k s 2 7 a θ + 5 b 2 c s k s + b 2 d s β s 5 f s + e s τ 1 b 1 + 2 b 2 3 k s 3 θ a + a + b 2 c r k r + b 2 d r f r β r + 4 c r k r + d r f r β r k s 3 + b 2 d s 2 e s 2 k r β s 2 c s k s + d s f s β s τ 2 b 1 4 .
For case 2, substituting s R * = 0 into p r R * ( s ) and p s R * ( s ) . Thus, we can obtain the optimal solutions, which are given in Proposition 2 (2).

Appendix A.4. Proof of Lemma 2

To examine the concavity of the problem, we further calculate the second derivative of Equations (21) and (22) with respect to p r S * ( s ) and p s S * ( s ) , respectively.
2 π r S p r S * ( s ) 2 = 2 b 1
2 π s S p s S * ( s ) 2 = 2 b 1
where 2 π r S p r S * ( s ) 2 and 2 π s S p s S * ( s ) 2 are all negative. Hence, π r S is strictly concave in p r S * ( s ) . And π s S is strictly concave in p s S * ( s ) . Next, we solve the first-order optimality condition.
The necessary condition of optimization of the manufacturer’s profit yields
π r S p r S * ( s ) = 2 b 1 a θ + b 1 c r + d r f r β r k r + s + b 2 a ( θ ) + a + b 1 c s + d s f s β s k s b 2 S b 2 2 4 b 1 2 ;
π s S p s S * ( s ) = b 1 k s k r b 2 c r s 2 a ( θ 1 ) + b 2 d r f r β r + a b 2 θ k r k s + 2 b 1 2 k r c s k s + d s f s β s 4 b 1 2 b 2 2 k r k s .
By setting π r S p r S * ( s ) = 0 and π s S p s S * ( s ) = 0 and solving them simultaneously, we obtain the optimal value of p r S * ( s ) and p s S * ( s ) , which are given in Lemma 2.

Appendix A.5. Proof of Proposition 3

After substituting p r S * ( s ) and p s S * ( s ) into Equation (20), the government’s optimization problem can be formulated as follows:
max s S W S = D r 2 2 b 1 + D s 2 2 b 1 + ( p r S * ( s ) + s c r F r ) D r + ( p s S * ( s ) c s F s ) D s s D r ( E r D r + E s D s )
s . t . s 0
where D r = θ a b 1 ( p r S * ( s ) s ) + b 2 p s S * ( s ) and D s = ( 1 θ ) a b 1 p s S * ( s ) + b 2 ( p r S * ( s ) s ) .
We now consider two cases, namely Case 1: s > 0 ; and Case 2: s = 0 .
For Case 1, setting S W S s = 0 and solving it, we can obtain the optimal subsidy amount s S * . Then, substituting s S * into p r S * ( s ) and p s S * ( s ) . Thus, we can obtain the optimal solutions, which are given in Proposition 3 (1).
Next, solving s S * > 0 , we can obtain the condition of ϕ as follows:
ϕ t = 8 b 1 4 6 b 2 2 b 1 2 + b 2 4 d r e s k r 2 k s 3 β r τ 1 λ 4 b 1 2 b 1 2 b 2 2 d r 2 e s 2 k s 2 β r 2 k s 2 c r b 1 2 2 a θ + b 2 c s b 1 + b 2 θ a a b 2 c r k r b 2 2 2 b 1 2 d r f r β r b 1 b 2 d s f s k r β s τ 2 ;
λ = d r 2 e s 2 k r 2 k s 2 β r 2 8 b 1 4 6 b 2 2 b 1 2 + b 2 4 2 k r 2 τ 1 2 k s 4 + 8 b 1 2 b 1 2 b 2 2 λ 1 τ 2 λ 2 ;
λ 1 = k r 2 a θ + b 2 c s k s + b 2 d s f s β s b 1 2 k s c r k r + d r f r β r b 1 2 + b 2 k s θ a + a + b 2 c r k r + b 2 d r f r β r ;
λ 2 = 2 k s b 2 d s 2 e s 2 b 2 c r 2 a ( θ 1 ) k r + b 2 d r f r β r τ 2 β s 2 + 2 k r k s a θ + 2 b 2 c s k s + b 2 d s β s 2 f s + e s τ 1 b 1 3 b 2 4 a ( θ 1 ) + 3 b 2 c r k r + 3 b 2 d r f r β r k s 3 + 2 b 2 d s 2 e s 2 k r β s 2 a θ + b 2 c s k s + b 2 d s f s β s τ 2 b 1 2 b 2 2 k r k s 2 7 a θ + 5 b 2 c s k s + b 2 d s β s 5 f s + e s τ 1 b 1 + 2 b 2 3 k s 3 θ a + a + b 2 c r k r + b 2 d r f r β r + 4 c r k r + d r f r β r k s 3 + b 2 d s 2 e s 2 k r β s 2 c s k s + d s f s β s τ 2 b 1 4 .
For Case 2, substituting s S * = 0 into p r S * ( s ) and p s S * ( s ) . Thus, we can obtain the optimal solutions, which is given in Proposition 3 (2).
Furthermore, we compare the value of threshold ϕ t in Propositions 2 and 3. By comparison, we find that the value of threshold ϕ t is the same as in Proposition 2.

Appendix A.6. Proof of Proposition 4 (1)

We compare s R * with s S * . Let us subtract s S * from s R * .
s R * s S * = 0 ;
According to the previous proof of Propositions 2 and 3, it can be found that when ϕ < ϕ t , both s R * and s S * are greater than 0. On the contrary, both s R * and s S * are equal to 0. So far, we have proved Proposition 4 (1).

Appendix A.7. Proof of Proposition 4 (2)

We compare p r S * , p r R * , and p r B * .
p r S * p r R * = λ 3 4 b 1 4 3 b 1 2 b 2 2 b 2 4 k r 3 k s 3 + 2 b 1 k r k s b 2 2 2 b 1 2 2 d r 2 ( e s ϕ ) 2 k s 2 β r 2 + b 1 2 b 2 2 d s 2 e s 2 k r 2 β s 2 τ 2 ;
λ 3 = 4 b 1 4 k r k r k s 3 c r k r + d r β r f r + 2 e s ϕ τ 1 b 2 d s 2 e s 2 k r 2 β s 2 c s k s + d s f s β s + d r 2 ( e s ϕ ) 2 k s 2 β r 2 2 a θ + b 2 c s k s + b 2 d s f s β s τ 2 + 2 b 1 3 k s b 2 2 d r 2 ( e s ϕ ) 2 k s 2 β r 2 a a θ + 2 b 2 c r k r + 2 b 2 d r f r β r + d s 2 e s 2 k r 2 2 a 2 a θ + b 2 c r k r + b 2 d r f r β r β s 2 ) τ 2 + b 1 b 2 2 k s 2 k r 3 7 a θ + 5 b 2 c s k s + b 2 d s β s 5 f s + e s τ 1 + 2 b 2 d r 2 ( e s ϕ ) 2 k s β r 2 a a θ + b 2 c r k r + b 2 d r f r β r τ 2 + 8 b 1 5 d r 2 ( e s ϕ ) 2 k s 3 β r 2 c r k r + d r f r β r τ 2 b 2 3 k r 2 k s 3 2 a a θ + b 2 c r k r + b 2 d r β r 2 f r + ( e s ϕ ) τ 1 + 2 b 1 2 b 2 2 k r d s 2 e s 2 k r 2 β s 2 a θ + b 2 c s k s + b 2 d s f s β s + d r 2 ( e s ϕ ) 2 k s 2 β r 2 2 a θ + b 2 c s k s + b 2 d s f s β s τ 2 + 4 b 1 3 k s 4 k r 3 a θ + 2 b 2 c s k s + b 2 d s β s 2 f s + e s τ 1 + b 1 2 b 2 k r 2 k s 3 4 a 1 + θ + 3 b r c r k r + 3 b 2 d r β r f r + ( e s ϕ ) τ 1 ;
We can see that p r S * minus p r R * is exactly equal to s R * , since ϕ < ϕ t , s R * > 0 . Thus, p r S * > p r R * , and p r S * p r R * = s R * .
p r S * p r B * = ( 2 b 1 2 b 2 2 ) λ 3 λ 4 ;
p r B * p r R * = 2 b 1 2 λ 3 λ 4 ;
λ 4 = 2 b 1 4 b 1 2 b 2 2 τ 2 k r k s b 2 2 2 b 1 2 2 d r 2 e r 2 k s 2 β r 2 + b 1 2 b 2 2 d s 2 e s 2 k r 2 β s 2 + 16 b 1 6 16 b 2 2 b 1 4 b 2 4 b 1 2 + b 2 6 k r 3 k s 3
because s R * > 0 and b 1 > b 2 , λ 3 > 0 . Since b 1 > b 2 , we can tell that λ 4 > 0 . Given the above discussion, we can derive that p r S * > p r B * and p r B * > p r R * .
When ϕ ϕ t , p r B * p r R * = 0 and p r S * p r B * = 0 . Thus, p r B * = p r R * = p r S * . So far, we have proved Proposition 4 (2).

Appendix A.8. Proof of Proposition 4 (3)

We compare p s S * , p s R * , and p s B * . When ϕ < ϕ t , then
p s B * p s R * = b 1 b 2 λ 3 λ 4 > 0 ;
p s R * p s S * = 0 .
We can see that if ϕ < ϕ t , then p s B * > p s R * = p s S * .
When ϕ ϕ t , p s B * p s R * = 0 and p s S * p s B * = 0 . Thus, if ϕ ϕ t , then p s B * = p s R * = p s S * . So far, we have proved Proposition 4 (3).

Appendix A.9. Proof of Proposition 5 (1)

S W R * S W S * = 0 .
Thus, S W R * = S W S * .

Appendix A.10. Proof of Proposition 5 (2)

When ϕ ϕ t , S W R * S W B * = 0 . Thus, S W R * = S W B * . Based on Proposition 5 (1), we have S W R * = S W S * . Given the above discussion, we can derive that S W R * = S W S * = S W B * .
If ϕ < ϕ t , then
S W S * S W B * = b 1 λ 3 2 2 b 2 2 4 b 1 2 2 k r 4 k s 4 2 b 1 τ 2 b 2 2 2 b 1 2 2 d r 2 e r 2 k s 2 β r 2 + b 1 2 b 2 2 d s 2 e s 2 k r 2 β s 2 + 4 b 1 4 3 b 2 2 b 1 2 b 2 4 k r 2 k s 2
Since ϕ < ϕ t , then λ 3 > 0 . It is not difficult to find that the numerator and denominator are both positive numbers. Thus, if ϕ < ϕ t , then S W S * > S W B * . Based on Proposition 5 (1), we have S W R * = S W S * . Given the above discussion, we can derive that S W R * = S W S * > S W B * . So far, we have proved Proposition 5 (2).

References

  1. Liu, W.; Dunford, M. Inclusive globalization: Unpacking China’s belt and road initiative. Area Dev. Policy 2016, 1, 323–340. [Google Scholar] [CrossRef]
  2. Cheng, L.K. Three questions on China’s “belt and road initiative”. China Econ. Rev. 2016, 40, 309–313. [Google Scholar] [CrossRef]
  3. First China-Europe Freight Train Carrying Complete Audi Imports Arrives in Chongqing. Available online: http://www.xinhuanet.com/english/2021-06/22/c_1310021409.htm (accessed on 25 June 2023).
  4. Chapman, L. Transport and climate change: A review. J. Transp. Geogr. 2007, 15, 354–367. [Google Scholar] [CrossRef]
  5. China-Europe Freight Trains Help Reduce Greenhouse Gas Emissions, Says Eurasian Rail Alliance CEO. Available online: https://en.imsilkroad.com/p/325622.html (accessed on 25 June 2023).
  6. Gong, X.; Li, Z.C. Determination of subsidy and emission control coverage under competition and cooperation of China-Europe Railway Express and liner shipping. Transp. Policy 2022, 125, 323–335. [Google Scholar] [CrossRef]
  7. Kundu, T.; Sheu, J.B. Analyzing the effect of government subsidy on shippers’ mode switching behavior in the Belt and Road strategic context. Transp. Res. Part E Logist. Transp. Rev. 2019, 129, 175–202. [Google Scholar] [CrossRef]
  8. China-Europe Rail Freight: In It for the Long-Haul. Available online: https://www.railjournal.com/in_depth/china-europe-rail-freight-in-it-for-the-long-haul/ (accessed on 9 July 2023).
  9. Zhao, L.; Zhao, Y.; Hu, Q.; Li, H.; Stoeter, J. Evaluation of consolidation center cargo capacity and loctions for China railway express. Transp. Res. Part E Logist. Transp. Rev. 2018, 117, 58–81. [Google Scholar] [CrossRef]
  10. Liu, W.; Zhu, X.; Wang, L. Distribution organization optimization for inbound China railway express at Alataw Pass railway station. Sustainability 2019, 11, 6914. [Google Scholar] [CrossRef]
  11. Zhang, X.; Zhang, W.; Lee, P.T.W. Importance rankings of nodes in the China Railway Express network under the Belt and Road Initiative. Transp. Res. Part A Policy Pract. 2020, 139, 134–147. [Google Scholar] [CrossRef]
  12. Liu, H.; Gu, W.; Liu, W.; Wang, J. The influence of China-Europe Railway Express on the production system of enterprises: A case study of TCL Poland Plant. J. Geogr. Sci. 2021, 31, 699–711. [Google Scholar] [CrossRef]
  13. Guan, X.; Qin, J.; Mao, C.; Zhou, W. A Literature Review of Railway Pricing Based on Revenue Management. Mathematics 2023, 11, 857. [Google Scholar] [CrossRef]
  14. Men, J. China-Europe railway connectivity: Opportunities and challenges. In The “Roads” and “Belts” of Eurasia; Springer: Berlin/Heidelberg, Germany, 2020; pp. 129–146. [Google Scholar]
  15. Wei, H.; Lee, P.T.W. Designing a coordinated horizontal alliance system for China’s inland ports with China railway express platforms along the Silk Road Economic Belt. Transp. Res. Part E Logist. Transp. Rev. 2021, 147, 102238. [Google Scholar] [CrossRef]
  16. Zhou, Y.; Kundu, T.; Goh, M.; Sheu, J.B. Multimodal transportation network centrality analysis for Belt and Road Initiative. Transp. Res. Part E Logist. Transp. Rev. 2021, 149, 102292. [Google Scholar] [CrossRef]
  17. Yang, Z.; Sun, Y.; Lee, P.T.W. Impact of the development of the China-Europe Railway Express–A case on the Chongqing international logistics center. Transp. Res. Part A Policy Pract. 2020, 136, 244–261. [Google Scholar] [CrossRef]
  18. Besharati, B.; Gansakh, G.; Liu, F.; Zhang, X.; Xu, M. The ways to maintain sustainable China-Europe block train operation. Bus. Manag. Stud. 2017, 3, 25–33. [Google Scholar] [CrossRef]
  19. Liu, X.; Zhang, K.; Chen, B.; Zhou, J.; Miao, L. Analysis of logistics service supply chain for the One Belt and One Road initiative of China. Transp. Res. Part E Logist. Transp. Rev. 2018, 117, 23–39. [Google Scholar] [CrossRef]
  20. Ma, Y.; Johnson, D.; Wang, J.Y.; Shi, X. Competition for rail transport services in duopoly market: Case study of China Railway (CR) Express in Chengdu and Chongqing. Res. Transp. Bus. Manag. 2021, 38, 100529. [Google Scholar] [CrossRef]
  21. Zhang, Q.; Wang, W.; Peng, Y.; Guo, Z. Impact of rail transport services on port competition based on a spatial duopoly model. Ocean Coast. Manag. 2017, 148, 113–130. [Google Scholar] [CrossRef]
  22. Chen, X.; Zhu, X.; Zhou, Q.; Wong, Y.D. Game-theoretic comparison approach for intercontinental container transportation: A case between China and Europe with the B&R initiative. J. Adv. Transp. 2017, 2017, 3128372. [Google Scholar]
  23. Feng, F.; Li, X.; Liang, J.; Liu, Y.; Liu, C. Optimal competition strategy analysis of China Railway Express based on evolutionary game theory. PLoS ONE 2022, 17, e0256326. [Google Scholar] [CrossRef]
  24. Zhang, L.; Long, R.; Huang, Z.; Li, W.; Wei, J. Evolutionary game analysis on the implementation of subsidy policy for sustainable transportation development. J. Clean. Prod. 2020, 267, 122159. [Google Scholar] [CrossRef]
  25. Qi, J.; Wang, S. LNG Bunkering Station Deployment Problem & mdash;A Case Study of a Chinese Container Shipping Network. Mathematics 2023, 11, 813. [Google Scholar] [CrossRef]
  26. Jiang, Y.; Sheu, J.B.; Peng, Z.; Yu, B. Hinterland patterns of China Railway (CR) express in China under the Belt and Road Initiative: A preliminary analysis. Transp. Res. Part E Logist. Transp. Rev. 2018, 119, 189–201. [Google Scholar] [CrossRef]
  27. Wang, J.; Jiao, J.; Ma, L. An organizational model and border port hinterlands for the China-Europe Railway Express. J. Geogr. Sci. 2018, 28, 1275–1287. [Google Scholar] [CrossRef]
  28. Feng, F.; Zhang, T.; Liu, C.; Fan, L. China railway express subsidy model based on game theory under “the belt and road” initiative. Sustainability 2020, 12, 2083. [Google Scholar] [CrossRef]
  29. Du, Q.; Shi, X. A study on the government subsidies for CR Express based on dynamic games of incomplete information. Period. Polytech. Transp. Eng. 2017, 45, 162–167. [Google Scholar] [CrossRef]
  30. Lian, F.; He, Y.; Yang, Z. Competitiveness of the China-Europe Railway Express and liner shipping under the enforced sulfur emission control convention. Transp. Res. Part E Logist. Transp. Rev. 2020, 135, 101861. [Google Scholar] [CrossRef]
  31. Yin, C.; Ke, Y.; Yan, Y.; Lu, Y.; Xu, X. Operation plan of China Railway Express at inland railway container center station. Int. J. Transp. Sci. Technol. 2020, 9, 249–262. [Google Scholar] [CrossRef]
  32. Zhou, X.; Zhang, Z. International transport corridor and China’s trade growth: Evidence from China-Europe freight train. J. Manag. World 2021, 37, 52–63. [Google Scholar]
  33. Butt, A.S.; Ali, I. Understanding the implications of Belt and Road Initiative for sustainable supply chains: An environmental perspective. Benchmarking Int. J. 2020, 27, 2631–2648. [Google Scholar] [CrossRef]
  34. Kreutzberger, E.; Macharis, C.; Vereecken, L.; Woxenius, J. Is intermodal freight transport more environmentally friendly than all-road freight transport? A review. In Proceedings of the Nectar Conference No 7, Umeå, Sweden, 13–15 June 2003; pp. 13–15. [Google Scholar]
  35. Li, S.; Lang, M.; Yu, X.; Zhang, M.; Jiang, M.; Tsai, S.; Wang, C.K.; Bian, F. A sustainable transport competitiveness analysis of the China railway express in the context of the Belt and Road Initiative. Sustainability 2019, 11, 2896. [Google Scholar] [CrossRef]
  36. Cheng, Z.; Zhao, L.; Wang, G.; Li, H.; Hu, Q. Selection of consolidation center locations for China railway express to reduce greenhouse gas emission. J. Clean. Prod. 2021, 305, 126872. [Google Scholar] [CrossRef]
  37. Hu, S.; Wang, A.; Du, K.; Si, L. Can China railway express improve environmental efficiency? Evidence from China’s cities. Environ. Impact Assess. Rev. 2023, 99, 107005. [Google Scholar] [CrossRef]
  38. Mao, Y.; Xie, Y.; Zhuo, C. How does International Transport Corridor affect regional green development: Evidence from the China-Europe Railway Express. J. Environ. Plan. Manag. 2023, 1–26. [Google Scholar] [CrossRef]
  39. Wang, H.; Pang, C.; Tang, H. Pricing and Carbon-Emission-Reduction Decisions under the BOPS Mode with Low-Carbon Preference from Customers. Mathematics 2023, 11, 2736. [Google Scholar] [CrossRef]
  40. Sun, Y.; Yang, L.; Zheng, J. Emission control areas: More or fewer? Transp. Res. Part D Transp. Environ. 2020, 84, 102349. [Google Scholar] [CrossRef]
  41. Johari, M.; Hosseini-Motlagh, S.M. Coordination of social welfare, collecting, recycling and pricing decisions in a competitive sustainable closed-loop supply chain: A case for lead-acid battery. Ann. Oper. Res. 2019, 1–36. [Google Scholar] [CrossRef]
Figure 1. Vertical structure of the China–Europe cargo transportation system.
Figure 1. Vertical structure of the China–Europe cargo transportation system.
Mathematics 11 03049 g001
Figure 2. The total social welfare under different environmental advantages of CERE ϕ .
Figure 2. The total social welfare under different environmental advantages of CERE ϕ .
Mathematics 11 03049 g002
Figure 3. CERE’s optimal profit under different environmental advantages of CERE ϕ .
Figure 3. CERE’s optimal profit under different environmental advantages of CERE ϕ .
Mathematics 11 03049 g003
Figure 4. Impact of parameter k r on the threshold value ϕ t .
Figure 4. Impact of parameter k r on the threshold value ϕ t .
Mathematics 11 03049 g004
Figure 5. Impact of parameter c r on the threshold value ϕ t .
Figure 5. Impact of parameter c r on the threshold value ϕ t .
Mathematics 11 03049 g005
Figure 6. Impact of parameter ϕ on CERE carrier’s and liner shipping carrier’s freight charges in Model R.
Figure 6. Impact of parameter ϕ on CERE carrier’s and liner shipping carrier’s freight charges in Model R.
Mathematics 11 03049 g006
Figure 7. Impact of parameter ϕ on CERE carrier’s and liner shipping carrier’s freight charges in Model S.
Figure 7. Impact of parameter ϕ on CERE carrier’s and liner shipping carrier’s freight charges in Model S.
Mathematics 11 03049 g007
Table 1. List of notations.
Table 1. List of notations.
NotationDescription
Acronyms
CEREChina–Europe Railway Express
FEUA forty-foot equivalent container
Decision Variables
p r / p s Freight charge of CERE and liner shipping (RMB/FEU)
sSubsidy to the CERE train (RMB/FEU)
Cost Factors
c r / c s Marginal operating cost for CERE and liner shipping (RMB/FEU)
F r / F s Fuel cost per unit of container for CERE and liner shipping (RMB/FEU)
E r / E s Marginal pollutant damage costs for CERE and liner shipping (RMB/FEU)
Other Parameters
β r / β s Fuel consumption per kilometer for CERE and liner ship (ton/km)
d r / d s Journey length for the CERE route and liner shipping route (km)
f r / f s Fuel price for the CERE train and liner ship (RMB/ton)
e s S O 2 emission per kilometer for the liner ship
ϕ Environmental advantage of CERE
τ 0 , τ 1 , τ 2 Scale parameters in air pollution cost function
D r / D s Demand for CERE and liner shipping (FEUs)
b 1 / b 2 Self-price and cross-price elasticity
aTotal market size (FEUs)
θ Market preference for CERE
k r Capacity of the CERE train (FEUs/train)
k s Vessel capacity of liner shipping (FEUs/ship)
Π r / Π s Profits of CERE and liner shipping (RMB)
C S Consumer surplus (RMB)
S W Social welfare (RMB)
( ) * Optimal results
Superscript
BRepresents the benchmark scenario (without subsidy schemes)
RRepresents the scenario of providing subsidies to the CERE
SRepresents the scenario of providing subsidies to the shipper
Table 2. Values of problem parameters.
Table 2. Values of problem parameters.
ParametersValuesParametersValuesParametersValuesParametersValues
a1,000,000 e s 0.2 β s 0.133 τ 0 0
b 1 10 ϕ 0.2 c s 3000 τ 1 2
b 2 4 f r 8800 c r 38,400 τ 2 6.5
d r 13,502 f s 6100 k r 50
d s 16,100 β r 0.002 k s 3500
Table 3. The total social welfare under different ϕ (i.e., relative magnitudes of e r and e s ).
Table 3. The total social welfare under different ϕ (i.e., relative magnitudes of e r and e s ).
Model B ( × 10 9 ) Model R ( × 10 9 ) Model S ( × 10 9 )
ϕ SW B * Π r B * Π s B * SW R * Π r R * Π s R * SW S * Π r S * Π s S *
07.497721.288181.056437.535591.944821.020077.535591.944821.02007
0.17.488591.288181.056437.521981.896681.022487.521981.896681.02248
0.27.461201.288181.056437.483111.762541.029397.483111.762541.02939
0.37.415551.288181.056437.424191.568601.039907.424191.568601.03990
0.47.351651.288181.056437.352081.346651.052847.352081.346651.05284
0.57.269481.288181.056437.269481.288181.056437.269481.288181.05643
Table 4. The total social welfare under different relative magnitudes of e r and e s .
Table 4. The total social welfare under different relative magnitudes of e r and e s .
Model BModel RModel S
ϕ p r B * p s B * s R * p r R * p s R * s S * p r S * p s S *
054,344.139,234.85417.4451,522.538,670.55417.4456,940.038,670.5
0.154,344.139,234.85055.0151,711.338,708.25055.0156,766.338,708.2
0.254,344.139,234.84020.0052,250.438,816.14020.0056,270.438,816.1
0.354,344.139,234.82451.2853,067.438,979.52451.2855,518.738,979.5
0.454,344.139,234.8531.5954,067.239,179.4531.5954,598.839,179.4
0.554,344.139,234.8054,344.139,234.8054,344.139,234.8
Disclaimer/Publisher’s Note: The statements, opinions and data contained in all publications are solely those of the individual author(s) and contributor(s) and not of MDPI and/or the editor(s). MDPI and/or the editor(s) disclaim responsibility for any injury to people or property resulting from any ideas, methods, instructions or products referred to in the content.

Share and Cite

MDPI and ACS Style

Cao, J.; Guo, T.; Chen, Y. Modeling Government Subsidy Strategies for Railway Carriers: Environmental Impacts and Industry Competition. Mathematics 2023, 11, 3049. https://doi.org/10.3390/math11143049

AMA Style

Cao J, Guo T, Chen Y. Modeling Government Subsidy Strategies for Railway Carriers: Environmental Impacts and Industry Competition. Mathematics. 2023; 11(14):3049. https://doi.org/10.3390/math11143049

Chicago/Turabian Style

Cao, Jingjing, Tianyi Guo, and Yan Chen. 2023. "Modeling Government Subsidy Strategies for Railway Carriers: Environmental Impacts and Industry Competition" Mathematics 11, no. 14: 3049. https://doi.org/10.3390/math11143049

APA Style

Cao, J., Guo, T., & Chen, Y. (2023). Modeling Government Subsidy Strategies for Railway Carriers: Environmental Impacts and Industry Competition. Mathematics, 11(14), 3049. https://doi.org/10.3390/math11143049

Note that from the first issue of 2016, this journal uses article numbers instead of page numbers. See further details here.

Article Metrics

Back to TopTop