The Impact of Carbon Allowance Allocation Rules on Remanufacturing Decisions in a Closed-Loop Supply Chain
Abstract
1. Introduction
2. Literature Review
2.1. Remanufacturing in CLSCs
2.2. Operations Management under the Carbon Cap-and-Trade Regulations
3. Problem Description and Assumptions
3.1. Model Assumptions and Notations
3.2. Consumer Behavior
4. Model Analysis
4.1. Grandfathering Rule
4.2. Benchmarking Rule
4.3. Model Solving and Analysis
5. Numerical Study
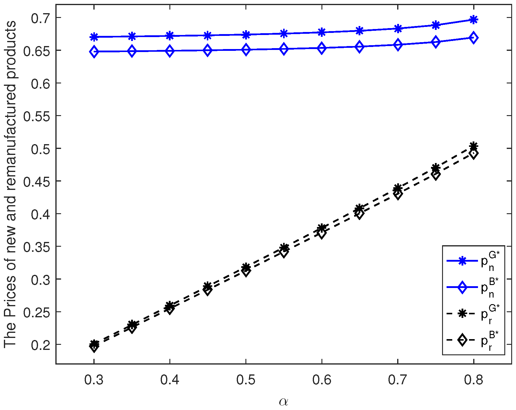
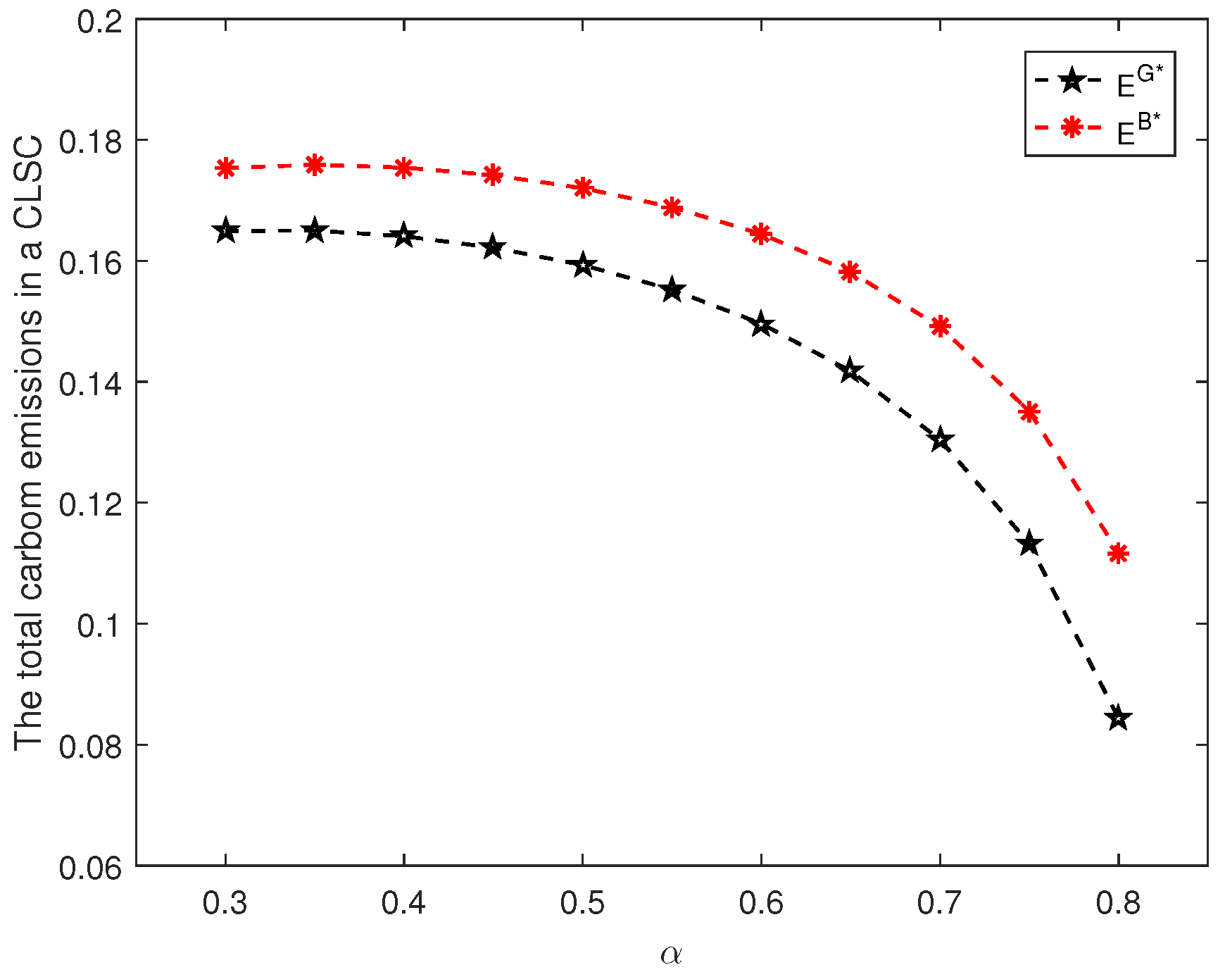
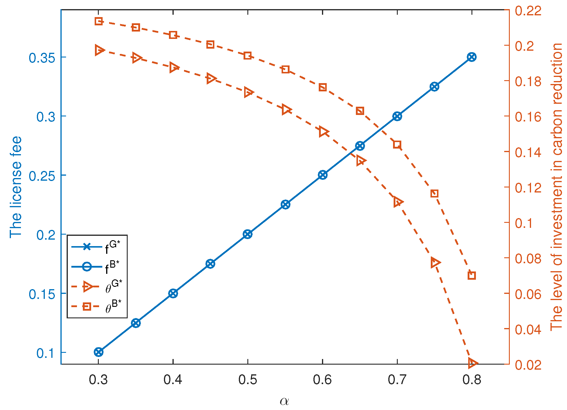
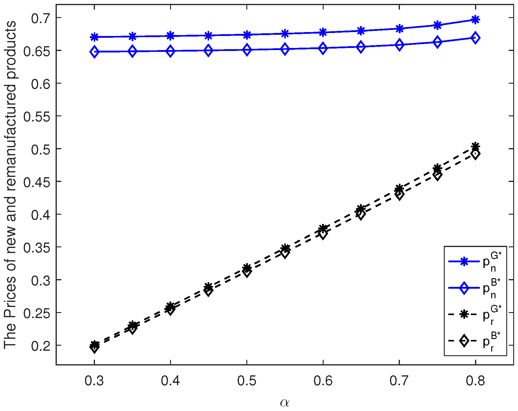
5.1. The Impact of Consumer Preference for the Remanufactured Product on Production Decisions
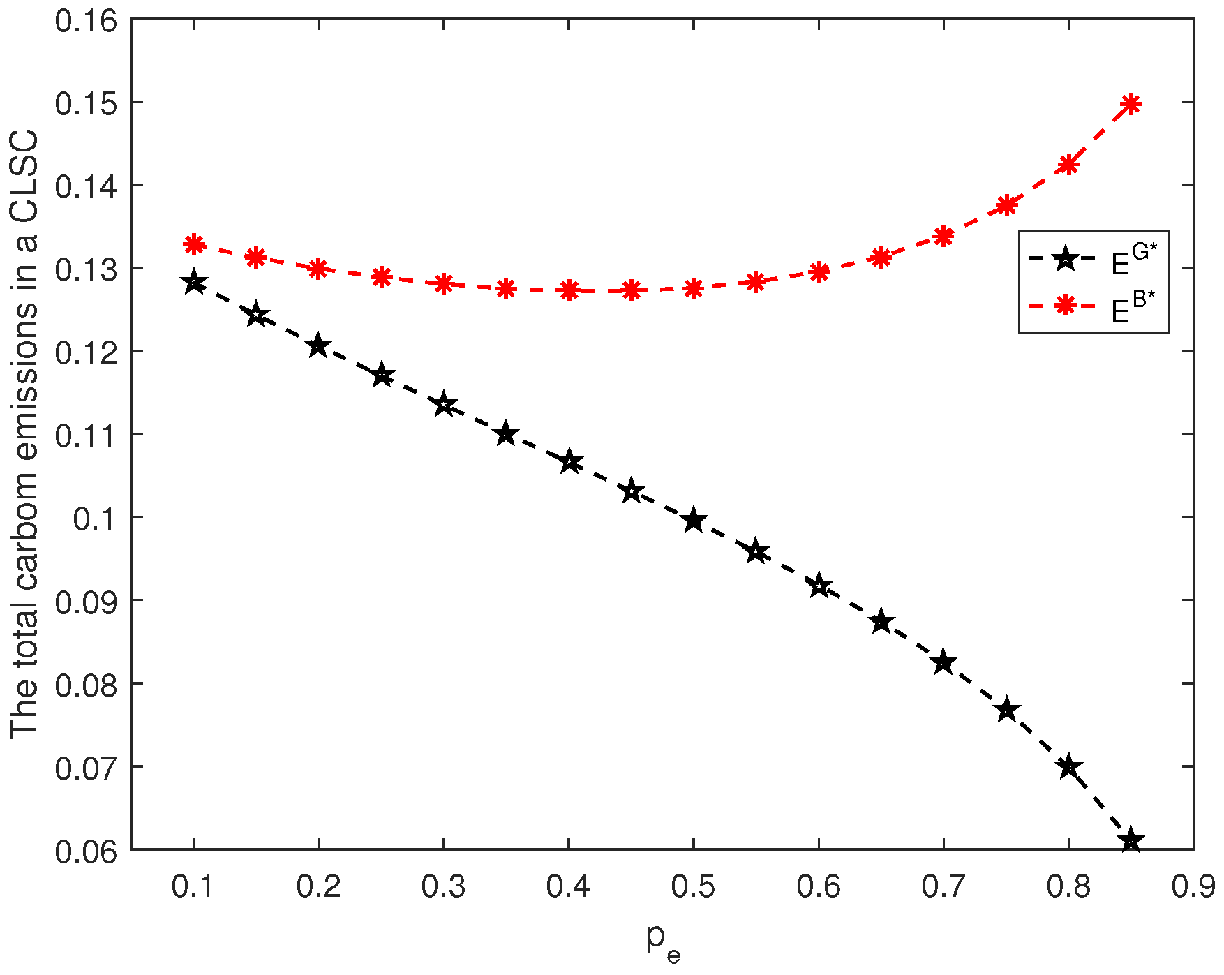
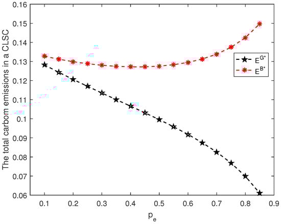
5.2. The Impact of the Carbon Price on Production Decisions
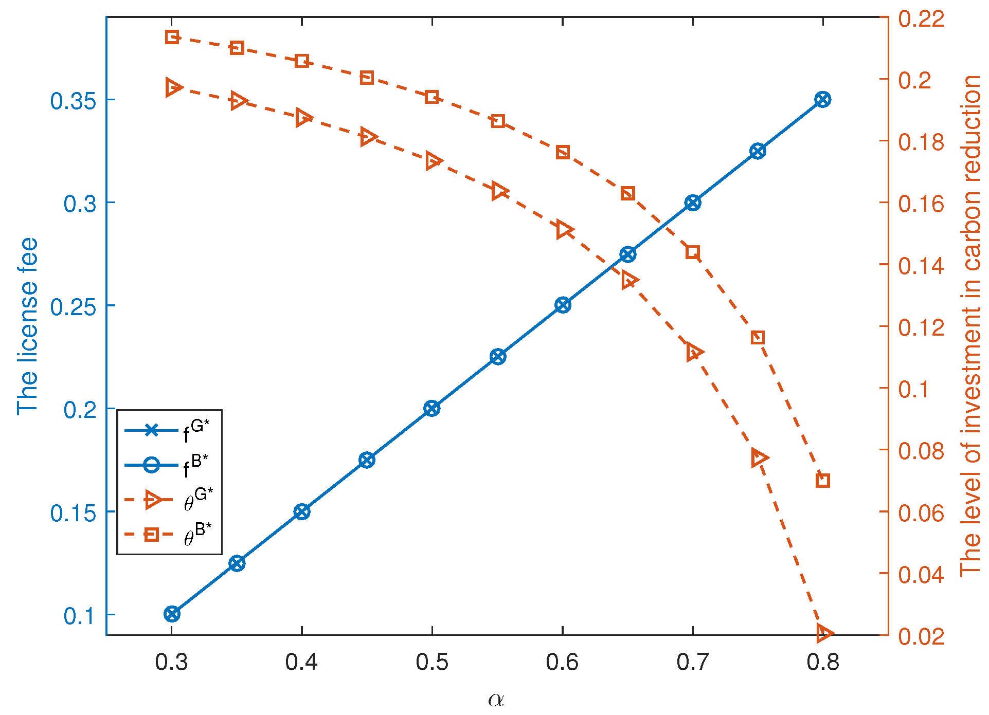
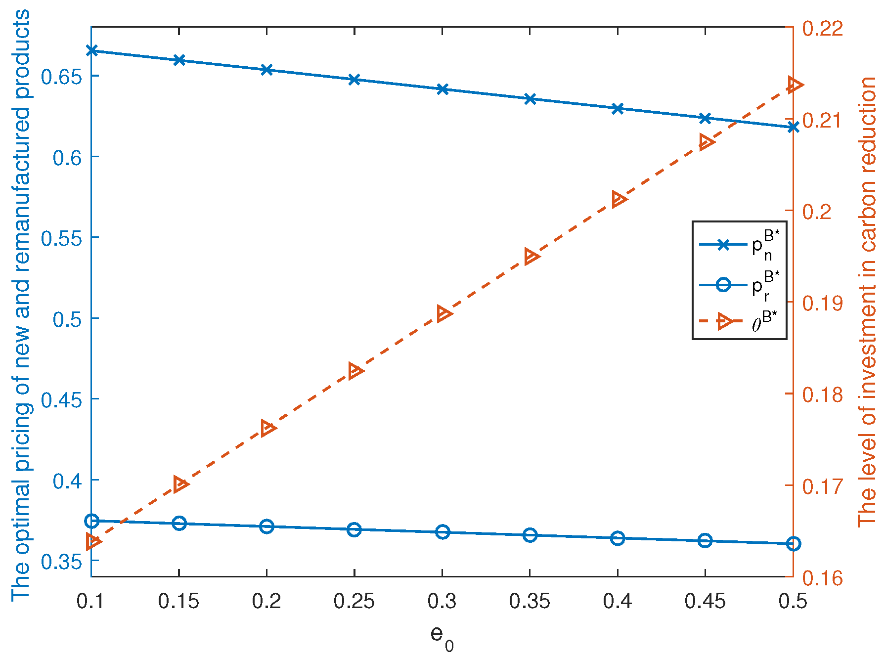
5.3. The Impact of Carbon Emission Quotas on Optimal Decisions
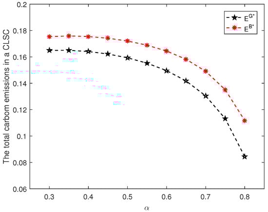
5.4. Discussion of Findings
6. Conclusions and Future Research
Author Contributions
Funding
Data Availability Statement
Acknowledgments
Conflicts of Interest
Abbreviations
| CLSC | Closed-loop Supply Chain |
| OEM | Original Equipment Manufacturer |
| AR | Authorized Remanufacturer |
Appendix A
References
- Tong, W.; Mu, D.; Zhao, F.; Mendis, G.P.; Sutherland, J.W. The impact of cap-and-trade mechanism and consumers’ environmental preferences on a retailer-led supply Chain. Resour. Conserv. Recycl. 2019, 142, 88–100. [Google Scholar] [CrossRef]
- Yang, W.; Pan, Y.; Ma, J.; Yang, T.; Ke, X. Effects of allowance allocation rules on green technology investment and product pricing under the cap-and-trade mechanism. Energy Policy 2020, 139, 111333. [Google Scholar] [CrossRef]
- Wei, C.; Li-Feng, Z.; Hong-Yan, D. Impact of cap-and-trade mechanisms on investments in renewable energy and marketing effort. Sustain. Prod. Consum. 2021, 28, 1333–1342. [Google Scholar] [CrossRef]
- Alegoz, M.; Kaya, O.; Bayindir, Z.P. A comparison of pure manufacturing and hybrid manufacturing–remanufacturing systems under carbon tax policy. Eur. J. Oper. Res. 2021, 294, 161–173. [Google Scholar] [CrossRef]
- Zhang, F.; Zhang, R. Trade-in Remanufacturing, Customer Purchasing Behavior, and Government Policy. Manuf. Serv. Oper. Manag. 2018, 20, 601–616. [Google Scholar] [CrossRef]
- Liu, L.; Pang, C.; Hong, X. Patented product remanufacturing and technology licensing in a closed-loop supply chain. Comput. Ind. Eng. 2022, 172, 108634. [Google Scholar] [CrossRef]
- Yang, W.; Pan, Y.; Ma, J.; Zhou, M.; Chen, Z.; Zhu, W. Optimization on emission permit trading and green technology implementation under cap-and-trade scheme. J. Clean. Prod. 2018, 194, 288–299. [Google Scholar] [CrossRef]
- Chen, Y.; Chen, F. On the Competition between Two Modes of Product Recovery: Remanufacturing and Refurbishing. Prod. Oper. Manag. 2019, 28, 2983–3001. [Google Scholar] [CrossRef]
- Shekarian, E. A review of factors affecting closed-loop supply chain models. J. Clean. Prod. 2020, 253, 119823. [Google Scholar] [CrossRef]
- Shekarian, E.; Flapper, S. Analyzing the Structure of Closed-Loop Supply Chains: A Game Theory Perspective. Sustainability 2021, 13, 1397. [Google Scholar] [CrossRef]
- Zhou, Y.; Xiong, Y.; Jin, M. The entry of third-party remanufacturers and its impact on original equipment manufacturers in a two-period game-theoretic model. J. Clean. Prod. 2021, 279, 123635. [Google Scholar] [CrossRef]
- Ke, C.; Yan, B. Trade-in value effects of used products in remanufacturing with considering consumer purchase behavior. J. Oper. Res. Soc. 2022, 73, 608–633. [Google Scholar] [CrossRef]
- Savaskan, R.C.; Bhattacharya, S.; Van Wassenhove, L.N. Closed-Loop Supply Chain Models with Product Remanufacturing. Manag. Sci. 2004, 50, 239–252. [Google Scholar] [CrossRef]
- Yi, P.; Huang, M.; Guo, L.; Shi, T. Dual recycling channel decision in retailer oriented closed-loop supply chain for construction machinery remanufacturing. J. Clean. Prod. 2016, 137, 1393–1405. [Google Scholar] [CrossRef]
- Kushwaha, S.; Ghosh, A.; Rao, A. Collection activity channels selection in a reverse supply chain under a carbon cap-and-trade regulation. J. Clean. Prod. 2020, 260, 121034. [Google Scholar] [CrossRef]
- Liu, Y.; Xiao, T. Pricing and Collection Rate Decisions and Reverse Channel Choice in a Socially Responsible Supply Chain With Green Consumers. IEEE Trans. Eng. Manag. 2020, 67, 483–495. [Google Scholar] [CrossRef]
- Huang, Y.; Wang, Z. Pricing and production decisions in a closed-loop supply chain considering strategic consumers and technology licensing. Int. J. Prod. Res. 2019, 57, 2847–2866. [Google Scholar] [CrossRef]
- Zou, Z.B.; Wang, J.J.; Deng, G.S.; Chen, H. Third-party remanufacturing mode selection: Outsourcing or authorization? Transp. Res. Part E Logist. Transp. Rev. 2016, 87, 1–19. [Google Scholar] [CrossRef]
- Wang, L.; Cai, G.G.; Tsay, A.A.; Vakharia, A.J. Design of the Reverse Channel for Remanufacturing: Must Profit-Maximization Harm the Environment? Prod. Oper. Manag. 2017, 26, 1585–1603. [Google Scholar] [CrossRef]
- Huang, Z.; Shao, W.; Meng, L.; Zhang, G.; (Patrick) Qiang, Q. Pricing Decision for a Closed-Loop Supply Chain with Technology Licensing under Collection and Remanufacturing Cost Disruptions. Sustainability 2022, 14, 3354. [Google Scholar] [CrossRef]
- Zheng, B.; Jin, L. Relicensing scheme selection in closed-loop supply chains with differentiated new and remanufactured products. Comput. Ind. Eng. 2022, 171, 108443. [Google Scholar] [CrossRef]
- Ma, Q.Z.; Song, H.Q.; Chen, G.Y. A Study on Low-carbon Product Pricing and Carbon Emission Problems under the Cap-and-Trade System. In Proceedings of the IEEE International Conference on Industrial Engineering and Engineering Management, Selangor Darul Ehsan, Malaysia, 9–12 December 2014. [Google Scholar]
- Yenipazarli, A. Managing new and remanufactured products to mitigate environmental damage under emissions regulation. Eur. J. Oper. Res. 2016, 249, 117–130. [Google Scholar] [CrossRef]
- Xu, X.; Zhang, W.; He, P.; Xu, X. Production and pricing problems in make-to-order supply chain with cap-and-trade regulation. Omega 2017, 66, 248–257. [Google Scholar] [CrossRef]
- Hussain, J.; Pan, Y.; Ali, G.; Xiaofang, Y. Pricing behavior of monopoly market with the implementation of green technology decision under emission reduction subsidy policy. Sci. Total Environ. 2020, 709, 136110. [Google Scholar] [CrossRef] [PubMed]
- Yang, L.; Hao, C.; Hu, Y. Outsourcing or not? The OEM’s better collecting mode under cap-and-trade regulation. J. Syst. Sci. Syst. Eng. 2021, 30, 151–177. [Google Scholar] [CrossRef]
- Mao, H.; Ran, R.; Liu, C.; Xu, Y.; Zhao, S. Effects of Carbon Emission Quota Policy on the Quality and Sales of Manufactured and Remanufactured Products. Working Paper. Available online: https://ssrn.com/abstract=4411813 (accessed on 23 March 2023). [CrossRef]
- Toptal, A.; Özlü, H.; Konur, D. Joint decisions on inventory replenishment and emission reduction investment under different emission regulations. Int. J. Prod. Res. 2014, 52, 243–269. [Google Scholar] [CrossRef]
- Li, T.; Zhang, R.; Zhao, S.; Liu, B. Low carbon strategy analysis under revenue-sharing and cost-sharing contracts. J. Clean. Prod. 2019, 212, 1462–1477. [Google Scholar] [CrossRef]
- Yang, L.; Ji, J.; Wang, M.; Wang, Z. The manufacturer’s joint decisions of channel selections and carbon emission reductions under the cap-and-trade regulation. J. Clean. Prod. 2018, 193, 506–523. [Google Scholar] [CrossRef]
- Ji, T.; Xu, X.; Yan, X.; Yu, Y. The production decisions and cap setting with wholesale price and revenue sharing contracts under cap-and-trade regulation. Int. J. Prod. Res. 2020, 58, 128–147. [Google Scholar] [CrossRef]
- Xia, X.; Li, C.; Zhu, Q. Game analysis for the impact of carbon trading on low-carbon supply chain. J. Clean. Prod. 2020, 276, 123220. [Google Scholar] [CrossRef]
- Xia, X.; Li, M.; Wang, W. Impact of three emission reduction decisions on authorized remanufacturing under carbon trading. Expert Syst. Appl. 2023, 216, 119476. [Google Scholar] [CrossRef]
- Zhang, M.; Wang, N.; Liu, H.; Zhang, Z. Cap allocation rules for an online platform supply chain under cap-and-trade regulation. Int. Trans. Oper. Res. 2023, 16, 13268. [Google Scholar] [CrossRef]
- Shen, C.; Xiong, Z.; Meng, W. Remanufacturing modes of the closed-loop supply chain under patent protection. J. Syst. Manag. 2015, 24, 118–125. [Google Scholar]
- Menanteau, P.; Finon, D.; Lamy, M.L. Prices versus quantities: Choosing policies for promoting the development of renewable energy. Energy Policy 2003, 31, 799–812. [Google Scholar] [CrossRef]
- Xu, L.; Wang, C. Sustainable manufacturing in a closed-loop supply chain considering emission reduction and remanufacturing. Resour. Conserv. Recycl. 2018, 131, 297–304. [Google Scholar] [CrossRef]
- Qian, X.; Chan, F.T.; Zhang, J.; Yin, M.; Zhang, Q. Channel coordination of a two-echelon sustainable supply chain with a fair-minded retailer under cap-and-trade regulation. J. Clean. Prod. 2020, 244, 118715. [Google Scholar] [CrossRef]
- Xia, X.; Cao, Y. Studying on the impact of government subsidies on manufacture/remanufacture based on outsourcing remanufacturing. Syst. Eng.-Theory Pract. 2020, 40, 1780–1791. [Google Scholar]
- Zhu, Q.; Xia, X.; Li, H. A game model between a manufacturer and a remanufacturer based on government subsidies and patent fees. J. Syst. Eng. 2017, 32, 8–18. [Google Scholar]
- Xia, X.; Zhu, Q.; Zhao, S. Competition mechanism of manufacture/remanufacture considering government subsidies. J. Manag. Sci. China 2017, 25, 5–17. [Google Scholar]

















| Symbol | Definition |
|---|---|
| Parameters | |
| V | Consumer valuation for a new product. |
| Consumer preference to remanufactured products compared to new ones. | |
| Unit cost of new products and remanufactured products, respectively. (i.e., ) | |
| Initial carbon emission produced per unit new product. | |
| E | Total Free carbon cap allocated to the manufacturer under the grandfathering rule. |
| The unit carbon emission allowance allocated to each new product under the benchmarking rule. | |
| The total carbon emissions from a CLSC. | |
| Carbon reduction cost coefficient | |
| The emission reduction coefficient per unit new product brought by carbon emission reduction investment. | |
| Carbon price. We suppose the carbon sale price is equal to the purchase price. | |
| Profits of the OEM and AR, respectively. | |
| Decision variables | |
| Sale price per unit new and remanufactured products, respectively. | |
| Quantity demanded of new products and remanufactured products, respectively. | |
| The level of carbon emission reduction technology investment determined by the manufacturer. | |
| f | Licensing fee per unit remanufactured product |
Disclaimer/Publisher’s Note: The statements, opinions and data contained in all publications are solely those of the individual author(s) and contributor(s) and not of MDPI and/or the editor(s). MDPI and/or the editor(s) disclaim responsibility for any injury to people or property resulting from any ideas, methods, instructions or products referred to in the content. |
© 2023 by the authors. Licensee MDPI, Basel, Switzerland. This article is an open access article distributed under the terms and conditions of the Creative Commons Attribution (CC BY) license (https://creativecommons.org/licenses/by/4.0/).
Share and Cite
Fang, Y.; Ren, Z.; Yang, F. The Impact of Carbon Allowance Allocation Rules on Remanufacturing Decisions in a Closed-Loop Supply Chain. Mathematics 2023, 11, 2817. https://doi.org/10.3390/math11132817
Fang Y, Ren Z, Yang F. The Impact of Carbon Allowance Allocation Rules on Remanufacturing Decisions in a Closed-Loop Supply Chain. Mathematics. 2023; 11(13):2817. https://doi.org/10.3390/math11132817
Chicago/Turabian StyleFang, Yanli, Zhuoyi Ren, and Fang Yang. 2023. "The Impact of Carbon Allowance Allocation Rules on Remanufacturing Decisions in a Closed-Loop Supply Chain" Mathematics 11, no. 13: 2817. https://doi.org/10.3390/math11132817
APA StyleFang, Y., Ren, Z., & Yang, F. (2023). The Impact of Carbon Allowance Allocation Rules on Remanufacturing Decisions in a Closed-Loop Supply Chain. Mathematics, 11(13), 2817. https://doi.org/10.3390/math11132817

