Finite-Time Synchronization of Quantized Markovian-Jump Time-Varying Delayed Neural Networks via an Event-Triggered Control Scheme under Actuator Saturation
Abstract
1. Introduction
- (i)
- The proposed approach integrates the ET scheme that can achieve synchronization in finite time despite the presence of quantization and actuator saturation in the proposed neural networks.
- (ii)
- Compared to the sampled-data control scheme in [39], the paper develops an ET scheme under the actuator saturation scheme, which can save communication resources efficiently. The problems of FTS and MJTDNNs are discussed in this article, whose settling times do not depend on any initial values of the corresponding systems. The derived results can further complement previous work and they are more generalized.
- (iii)
- By employing advanced integral inequalities to construct a suitable Lyapunov–Krasovskii functional (LKF), sufficient conditions are acquired. According to the analytical framework in this paper, we investigate the synchronization of MJTDNNs by using an LMI approach. Moreover, the obtained results are studied via the quantization with actuator saturation. That is, the proposed method is applicable to various different situations.
- (iv)
- Additionally, we investigate the ET scheme, saturation, and quantization. ET scheme can reduce network burden. The effectiveness of the ET scheme in achieving for FTS in QMJTDNNs. The ET scheme with quantization and actuator saturation is demonstrated through numerical simulations. Additionally, the potential impact of the intended MJTDNNs is demonstrated via numerical examples.
2. Preliminaries and Problem Formulation
The Design of Error System and Quantized ET Scheme
3. Main Results
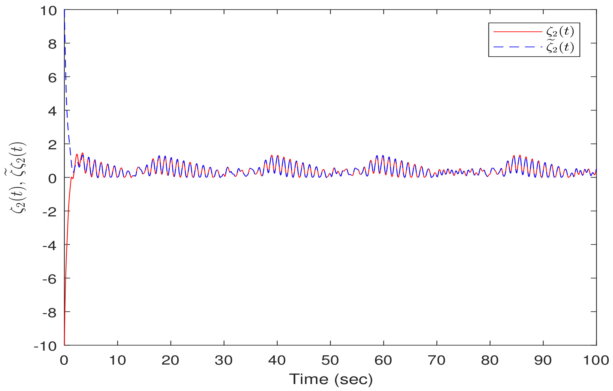
4. Numerical Examples
5. Conclusions
Author Contributions
Funding
Data Availability Statement
Acknowledgments
Conflicts of Interest
References
- Yu, Y.; Zhang, Z.; Zhong, M.; Wang, Z. Pinning synchronization and adaptive synchronization of complex-valued inertial neural networks with time-varying delays in fixed-time interval. J. Frankl. Inst. 2022, 359, 1434–1456. [Google Scholar] [CrossRef]
- Lin, Y.; Zhuang, G.; Xia, J.; Sun, W.; Zhao, J. Asynchronous H∞ dynamic output feedback control for Markovian jump neural networks with time-varying delays. Int. J. Control. Autom. Syst. 2022, 20, 909–923. [Google Scholar] [CrossRef]
- Wu, T.; Cao, J.; Xiong, L.; Zhang, H.; Shu, J. Sampled-data synchronization criteria for Markovian jumping neural networks with additive time-varying delays using new techniques. Appl. Math. Comput. 2022, 413, 126604. [Google Scholar] [CrossRef]
- Zou, C.; Li, B.; Liu, F.; Xu, B. Event-Triggered μ-state estimation for Markovian jumping neural networks with mixed time-delays. Appl. Math. Comput. 2022, 425, 127056. [Google Scholar] [CrossRef]
- Song, X.; Lu, H.; Xu, Y.; Zhou, W. H∞ synchronization of semi-Markovian jump neural networks with random sensor nonlinearities via adaptive event-triggered output feedback control. Math. Comput. Simul. 2022, 198, 1–19. [Google Scholar] [CrossRef]
- Aslam, M.S.; Li, Q.; Hou, J.; Qiulong, H. Mode-dependent delays for dissipative filtering of stochastic semi-Markovian jump for neural networks. Adv. Contin. Discret. Model. 2022, 2022, 21. [Google Scholar] [CrossRef]
- Li, Z.; Zhang, Z.; Liao, Q.; Rong, M. Asymptotic and robust stabilization control for the whole class of fractional-order gene regulation networks with time delays. Fractal Fract. 2022, 6, 406. [Google Scholar] [CrossRef]
- Zhang, S.; Liu, X.; Li, X. Finite-time synchronisation of delayed fractional-order coupled neural networks. Int. J. Syst. Sci. 2022, 53, 2597–2611. [Google Scholar] [CrossRef]
- Li, D.; Cao, J. Finite-time synchronization of coupled networks with one single time-varying delay coupling. Neurocomputing 2015, 166, 265–270. [Google Scholar] [CrossRef]
- Dai, A.; Zhou, W.; Xu, Y.; Xiao, C. Adaptive exponential synchronization in mean square for Markovian jumping neutral-type coupled neural networks with time-varying delays by pinning control. Neurocomputing 2016, 173, 809–818. [Google Scholar] [CrossRef]
- Dorato, P. Short-Time Stability in Linear Time-Varying Systems; Polytechnic Institute of Brooklyn: Brooklyn, NY, USA, 1961. [Google Scholar]
- Weiss, L.; Infante, E. Finite time stability under perturbing forces and on product spaces. IEEE Trans. Autom. Control 1967, 12, 54–59. [Google Scholar] [CrossRef]
- Wang, L.; Shen, Y.; Ding, Z. Finite time stabilization of delayed neural networks. Neural Netw. 2015, 70, 74–80. [Google Scholar] [CrossRef]
- Tang, R.; Su, H.; Zou, Y.; Yang, X. Finite-time synchronization of Markovian coupled neural networks with delays via intermittent quantized control: Linear programming approach. IEEE Trans. Neural Netw. Learn. Syst. 2021, 33, 5268–5278. [Google Scholar] [CrossRef] [PubMed]
- Guan, C.; Fei, Z.; Karimi, H.R.; Shi, P. Finite-time synchronization for switched neural networks via quantized feedback control. IEEE Trans. Syst. Man Cybern. Syst. 2019, 51, 2873–2884. [Google Scholar] [CrossRef]
- Xu, C.; Yang, X.; Lu, J.; Feng, J.; Alsaadi, F.E.; Hayat, T. Finite-time synchronization of networks via quantized intermittent pinning control. IEEE Trans. Cybern. 2017, 48, 3021–3027. [Google Scholar] [CrossRef]
- Zhang, D.; Cheng, J.; Cao, J.; Zhang, D. Finite-time synchronization control for semi-Markov jump neural networks with mode-dependent stochastic parametric uncertainties. Appl. Math. Comput. 2019, 344, 230–242. [Google Scholar] [CrossRef]
- He, W.; Luo, T.; Tang, Y.; Du, W.; Tian, Y.C.; Qian, F. Secure communication based on quantized synchronization of chaotic neural networks under an event-triggered strategy. IEEE Trans. Neural Netw. Learn. Syst. 2019, 31, 3334–3345. [Google Scholar] [CrossRef]
- Sheng, S.; Zhang, X.; Lu, G. Finite-time outer-synchronization for complex networks with Markov jump topology via hybrid control and its application to image encryption. J. Frankl. Inst. 2018, 355, 6493–6519. [Google Scholar] [CrossRef]
- He, X.; Zhang, H. Exponential synchronization of complex networks via feedback control and periodically intermittent noise. J. Frankl. Inst. 2022, 359, 3614–3630. [Google Scholar] [CrossRef]
- Peng, D.; Li, X. Leader-following synchronization of complex dynamic networks via event-triggered impulsive control. Neurocomputing 2020, 412, 1–10. [Google Scholar] [CrossRef]
- Zhang, M.; Zang, H.; Bai, L. A new predefined-time sliding mode control scheme for synchronizing chaotic systems. Chaos Solitons Fractals 2022, 164, 112745. [Google Scholar] [CrossRef]
- Zhao, Y.; Ren, S.; Kurths, J. Synchronization of coupled memristive competitive BAM neural networks with different time scales. Neurocomputing 2021, 427, 110–117. [Google Scholar] [CrossRef]
- Lu, B.; Jiang, H.; Hu, C.; Abdurahman, A.; Liu, M. H∞ output synchronization of directed coupled reaction-diffusion neural networks via event-triggered quantized control. J. Frankl. Inst. 2021, 358, 4458–4482. [Google Scholar] [CrossRef]
- Zhang, Y.; Li, X.; Liu, C. Event-triggered finite-time quantized synchronization of uncertain delayed neural networks. Optim. Control Appl. Methods 2022, 43, 1584–1603. [Google Scholar] [CrossRef]
- Cuomo, K.M.; Oppenheim, A.V.; Strogatz, S.H. Synchronization of Lorenz-based chaotic circuits with applications to communications. IEEE Trans. Circuits Syst. II Analog Digit. Signal Process. 1993, 40, 626–633. [Google Scholar] [CrossRef]
- Zheng, Q.; Xu, S.; Du, B. Quantized guaranteed cost output feedback control for nonlinear networked control systems and its applications. IEEE Trans. Fuzzy Syst. 2021, 30, 2402–2411. [Google Scholar] [CrossRef]
- Li, J.; Niu, Y. Output-feedback-based sliding mode control for networked control systems subject to packet loss and quantization. Asian J. Control 2021, 23, 289–297. [Google Scholar] [CrossRef]
- Xue, B.; Yu, H.; Wang, M. Robust H∞ Output feedback control of networked control systems with discrete distributed delays subject to packet dropout and quantization. IEEE Access 2019, 7, 30313–30320. [Google Scholar] [CrossRef]
- Chang, X.H.; Jin, X. Observer-based Fuzzy feedback control for nonlinear systems subject to transmission signal quantization. Appl. Math. Comput. 2022, 414, 126657. [Google Scholar] [CrossRef]
- Zhao, R.; Zuo, Z.; Wang, Y. Event-triggered control for networked switched systems with quantization. IEEE Trans. Syst. Man Cybern. Syst. 2022, 52, 6120–6128. [Google Scholar] [CrossRef]
- Shanmugam, S.; Hong, K.S. An event-triggered extended dissipative control for Takagi-Sugeno Fuzzy systems with time-varying delay via free-matrix-based integral inequality. J. Frankl. Inst. 2020, 357, 7696–7717. [Google Scholar] [CrossRef]
- Zong, G.; Ren, H. Guaranteed cost finite-time control for semi-Markov jump systems with event-triggered scheme and quantization input. Int. J. Robust Nonlinear Control 2019, 29, 5251–5273. [Google Scholar] [CrossRef]
- Liu, D.; Yang, G.H. Dynamic event-triggered control for linear time-invariant systems with-gain performance. Int. J. Robust Nonlinear Control 2019, 29, 507–518. [Google Scholar] [CrossRef]
- Vadivel, R.; Hammachukiattikul, P.; Zhu, Q.; Gunasekaran, N. Event-triggered synchronization for stochastic delayed neural networks: Passivity and passification case. Asian J. Control 2022. [Google Scholar] [CrossRef]
- Fan, Y.; Huang, X.; Shen, H.; Cao, J. Switching event-triggered control for global stabilization of delayed memristive neural networks: An exponential attenuation scheme. Neural Netw. 2019, 117, 216–224. [Google Scholar] [CrossRef]
- Vadivel, R.; Hammachukiattikul, P.; Gunasekaran, N.; Saravanakumar, R.; Dutta, H. Strict dissipativity synchronization for delayed static neural networks: An event-triggered scheme. Chaos Solitons Fractals 2021, 150, 111212. [Google Scholar] [CrossRef]
- Vadivel, R.; Ali, M.S.; Joo, Y.H. Event-triggered H∞ synchronization for switched discrete time delayed recurrent neural networks with actuator constraints and nonlinear perturbations. J. Frankl. Inst. 2020, 357, 4079–4108. [Google Scholar] [CrossRef]
- Lin, J.; Shi, P.; Xiao, M. Event-triggered stabilisation of sampled-data singular systems: A hybrid control approach. Int. J. Control 2022. [Google Scholar] [CrossRef]
- Fragoso, M.D.; Costa, O.L. A unified approach for stochastic and mean square stability of continuous-time linear systems with Markovian jumping parameters and additive disturbances. SIAM J. Control Optim. 2005, 44, 1165–1191. [Google Scholar] [CrossRef]
- Xing, X.; Yao, D.; Lu, Q.; Li, X. Finite-time stability of Markovian jump neural networks with partly unknown transition probabilities. Neurocomputing 2015, 159, 282–287. [Google Scholar] [CrossRef]
- Lou, X.; Cui, B. Delay-dependent criteria for global robust periodicity of uncertain switched recurrent neural networks with time-varying delay. IEEE Trans. Neural Netw. 2008, 19, 549–557. [Google Scholar] [PubMed]
- Li, L.; Zou, W.; Fei, S. Event-triggered synchronization of delayed neural networks with actuator saturation using quantized measurements. J. Frankl. Inst. 2019, 356, 6433–6459. [Google Scholar] [CrossRef]
- Yue, D.; Tian, E.; Han, Q.L. A delay system method for designing event-triggered controllers of networked control systems. IEEE Trans. Autom. Control 2012, 58, 475–481. [Google Scholar] [CrossRef]
- Fu, M.; Xie, L. The sector bound approach to quantized feedback control. IEEE Trans. Autom. Control 2005, 50, 1698–1711. [Google Scholar]
- Sun, L.; Wang, Y.; Feng, G. Control design for a class of affine nonlinear descriptor systems with actuator saturation. IEEE Trans. Autom. Control 2014, 60, 2195–2200. [Google Scholar] [CrossRef]
- He, S.; Liu, F. Finite-time boundedness of uncertain time-delayed neural network with Markovian jumping parameters. Neurocomputing 2013, 103, 87–92. [Google Scholar] [CrossRef]
- Luan, X.; Liu, F.; Shi, P. Finite-time filtering for non-linear stochastic systems with partially known transition jump rates. IET Control Theory Appl. 2010, 4, 735–745. [Google Scholar] [CrossRef]
- Zeng, H.B.; He, Y.; Wu, M.; She, J. Free-matrix-based integral inequality for stability analysis of systems with time-varying delay. IEEE Trans. Autom. Control 2015, 60, 2768–2772. [Google Scholar] [CrossRef]
- Boyd, S.; El Ghaoui, L.; Feron, E.; Balakrishnan, V. Linear Matrix Inequalities in System and Control Theory; Society for Industrial and Applied Mathematics (SIAM): Philadelphia, PA, USA, 1994. [Google Scholar]
- Wang, Y.; Xie, L.; De Souza, C.E. Robust control of a class of uncertain nonlinear systems. Syst. Control Lett. 1992, 19, 139–149. [Google Scholar] [CrossRef]
- Cheng, J.; Zhu, H.; Ding, Y.; Zhong, S.; Zhong, Q. Stochastic finite-time boundedness for Markovian jumping neural networks with time-varying delays. Appl. Math. Comput. 2014, 242, 281–295. [Google Scholar] [CrossRef]
- Jiang, X.; Xia, G.; Feng, Z.; Jiang, Z.; Qiu, J. Reachable set estimation for Markovian jump neutral-type neural networks with time-varying delays. IEEE Trans. Cybern. 2020, 52, 1150–1163. [Google Scholar] [CrossRef] [PubMed]
- Wu, Z.G.; Shi, P.; Su, H.; Chu, J. Stochastic synchronization of Markovian jump neural networks with time-varying delay using sampled data. IEEE Trans. Cybern. 2013, 43, 1796–1806. [Google Scholar] [CrossRef] [PubMed]









| Method | 0.5 | 0.7 | 0.9 | Unknown |
|---|---|---|---|---|
| Theorem 2 | 1.0335 | 0.9002 | 0.8012 | 0.7521 |
Disclaimer/Publisher’s Note: The statements, opinions and data contained in all publications are solely those of the individual author(s) and contributor(s) and not of MDPI and/or the editor(s). MDPI and/or the editor(s) disclaim responsibility for any injury to people or property resulting from any ideas, methods, instructions or products referred to in the content. |
© 2023 by the authors. Licensee MDPI, Basel, Switzerland. This article is an open access article distributed under the terms and conditions of the Creative Commons Attribution (CC BY) license (https://creativecommons.org/licenses/by/4.0/).
Share and Cite
Shanmugam, S.; Vadivel, R.; Gunasekaran, N. Finite-Time Synchronization of Quantized Markovian-Jump Time-Varying Delayed Neural Networks via an Event-Triggered Control Scheme under Actuator Saturation. Mathematics 2023, 11, 2257. https://doi.org/10.3390/math11102257
Shanmugam S, Vadivel R, Gunasekaran N. Finite-Time Synchronization of Quantized Markovian-Jump Time-Varying Delayed Neural Networks via an Event-Triggered Control Scheme under Actuator Saturation. Mathematics. 2023; 11(10):2257. https://doi.org/10.3390/math11102257
Chicago/Turabian StyleShanmugam, Saravanan, Rajarathinam Vadivel, and Nallappan Gunasekaran. 2023. "Finite-Time Synchronization of Quantized Markovian-Jump Time-Varying Delayed Neural Networks via an Event-Triggered Control Scheme under Actuator Saturation" Mathematics 11, no. 10: 2257. https://doi.org/10.3390/math11102257
APA StyleShanmugam, S., Vadivel, R., & Gunasekaran, N. (2023). Finite-Time Synchronization of Quantized Markovian-Jump Time-Varying Delayed Neural Networks via an Event-Triggered Control Scheme under Actuator Saturation. Mathematics, 11(10), 2257. https://doi.org/10.3390/math11102257

