Load-Carrying Capacity of Ultra-Thin Shells with and without CNTs Reinforcement
Abstract
:1. Introduction
2. Postbuckling Analysis of Functionally Graded Carbon-Nanotube-Reinforced Composite Ultra-Thin Shells or Membranes
2.1. Functionally Graded Carbon-Nanotube-Reinforced Composite Membranes
2.2. Postbuckling Analysis of FG-CNTRC Membrane Structures Using FSDT
3. Form Finding and Postbuckling Analysis of FG-CNTRC Membrane Structures Using a Unified Adaptive Approach
3.1. A Brief Introduction to the Unified Adaptive Approach (UAA) for Form Finding and Analysis of Membrane Structures
3.2. A Brief Introduction to Non-Uniform Rational B-Splines Basis Functions
3.3. Form Finding and Postbuckling Analysis of FG-CNTRC Membrane Structures Using UAA and NURBS
4. Results and Discussion
4.1. Verification Study
- The CNTs reinforcement materialTPa, TPa, TPa, , ;
- The PMMA matrix materialGPa, , .
- : and ;
- : and ;
- : and .
- Normalized central deflection: ;
- Curvature: .
4.2. Parametric Study
4.2.1. FG-CNTRC Cylindrical Membranes
4.2.2. FG-CNTRC Circular Cylinder Membranes
5. Conclusions
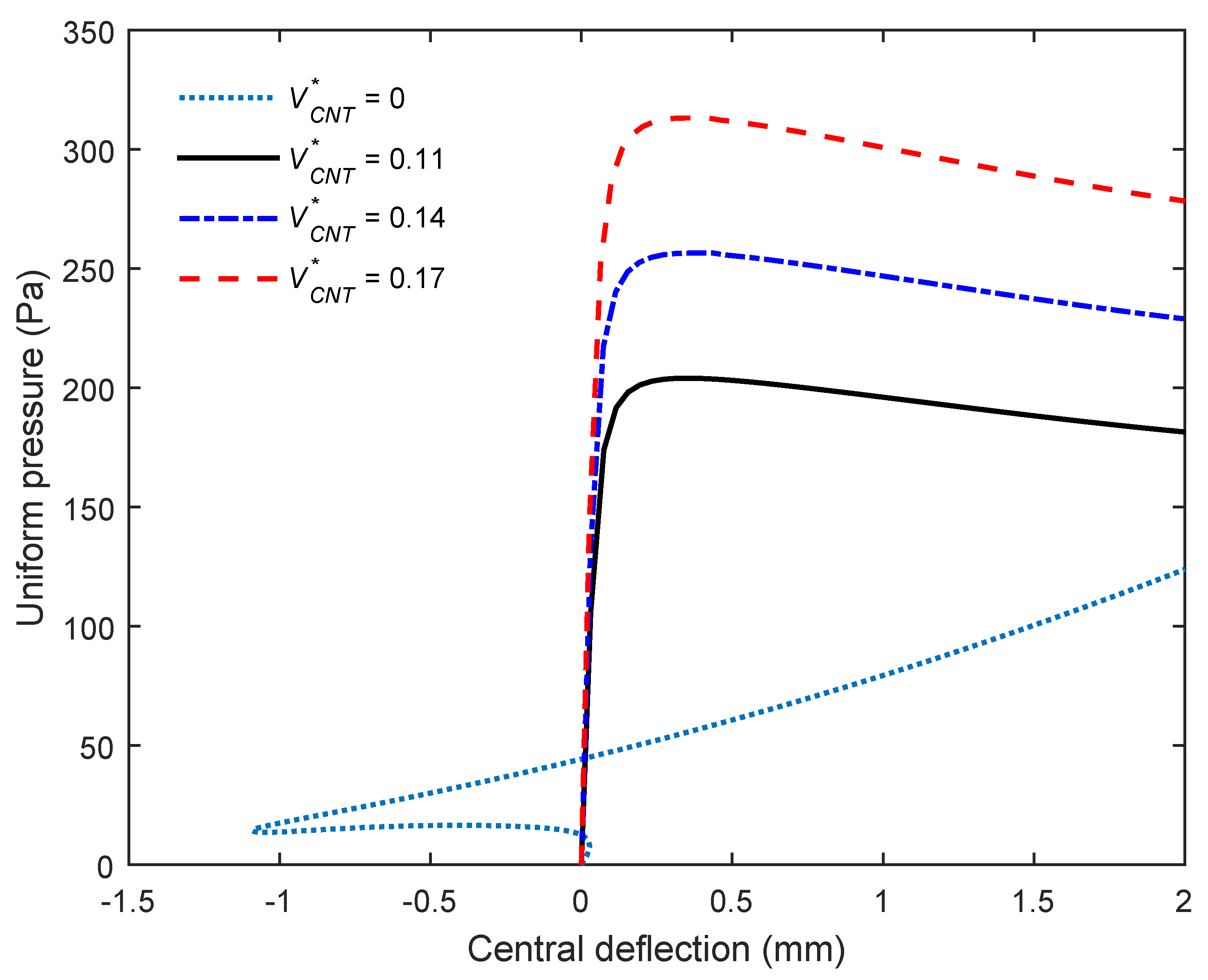
- Isotropic membrane structures always require a form-finding process to reach the steady state and then work in a pure membrane state under the load. However, FG-CNTRC cylindrical membrane structures work as bending structures and can resist loading at the beginning without needing the form-finding process. Accordingly, using the FG-CNTRC material can create a load-carrying capacity for cylindrical membrane structures, even at the initial state.
- For a FG-CNTRC cylindrical membrane structure, an ultra-small change in thickness can lead to a significant change in its nonlinear response and strength.
- Using the FG-CNTRC material for cylindrical membrane structures is very effective and recommended, whereas, for flat membrane structures, it is not recommended.
- A FG-CNTRC cylindrical membrane works as a bending structure, even when the curvature of the membrane is very small but not equal to zero. However, when the curvature , the square membrane suddenly works as a pure tensile structure.
- Under external pressure, for FG-CNTRC circular cylinder shells, types of instabilities with various critical buckling loads can occur, whereas FG-CNTRC circular cylinder membranes are stable and quickly experience large deflection behavior, even with a very small amplitude of pressure.
- Radius-to-thickness and length-to-radius ratios significantly affect the instability and nonlinear response of FG-CNTRC circular cylinder shells, but almost do not affect those of FG-CNTRC circular cylinder membranes. Meanwhile, the CNTs distribution and volume fraction significantly affect nonlinear responses of both FG-CNTRC circular cylinder shells/membranes.
- FG-X is the best distribution and the one that gives the greatest nonlinear strength of a FG-CNTRC membrane structure. The greater the amount of CNTs in the membrane, the greater the nonlinear strength.
Author Contributions
Funding
Institutional Review Board Statement
Informed Consent Statement
Data Availability Statement
Acknowledgments
Conflicts of Interest
References
- Jenkins, C.H. Nonlinear Dynamic Response of Membranes: State of the Art—Update. Appl. Mech. Rev. 1996, 49, S41–S48. [Google Scholar] [CrossRef]
- Alic, V.; Persson, K. Form finding with dynamic relaxation and isogeometric membrane elements. Comput. Methods Appl. Mech. Eng. 2016, 300, 734–747. [Google Scholar] [CrossRef]
- Veenendaal, D.; Block, P. An overview and comparison of structural form finding methods for general networks. Int. J. Solids Struct. 2012, 49, 3741–3753. [Google Scholar] [CrossRef] [Green Version]
- Bletzinger, K.U.; Wüchner, R.; Daoud, F.; Camprubí, N. Computational methods for form finding and optimization of shells and membranes. Comput. Methods Appl. Mech. Eng. 2005, 194, 3438–3452. [Google Scholar] [CrossRef]
- Argyris, J.H.; Angelopoulos, T.; Bichat, B. A general method for the shape finding of lightweight tension structures. Comput. Methods Appl. Mech. Eng. 1974, 3, 135–149. [Google Scholar] [CrossRef]
- Linkwitz, K. About form finding of double-curved structures. Eng. Struct. 1999, 21, 709–718. [Google Scholar] [CrossRef]
- Linkwitz, K. Form finding by the “direct approach” and pertinent strategies for the conceptual design of prestressed and hanging structures. Int. J. Space Struct. 1999, 14, 73–87. [Google Scholar] [CrossRef]
- Brew, J.S.; Lewis, W.J. Computational form-finding of tension membrane structures-non-finite element approaches: Part 1. use of cubic splines in finding minimal surface membranes. Int. J. Numer. Methods Eng. 2003, 56, 651–668. [Google Scholar] [CrossRef]
- Bletzinger, K.U.; Linhard, J.; Wuchner, R. Extended and integrated numerical form finding and patterning of membrane structures. J. Int. Assoc. Shell Spat. Struct. 2009, 50, 35–49. [Google Scholar]
- Noguchi, H.; Kawashima, T. Meshfree analyses of cable-reinforced membrane structures by ALE–EFG method. Eng. Anal. Bound. Elem. 2004, 28, 443–451. [Google Scholar] [CrossRef]
- Shi, J.X.; Wu, Z.; Tsukimoto, S.; Shimoda, M. Design optimization of cable–membrane structures for form-finding and stiffness maximization. Compos. Struct. 2018, 192, 528–536. [Google Scholar] [CrossRef]
- Lau, A.K.T.; Hui, D. The revolutionary creation of new advanced materials-carbon nanotube composites. Compos. Part B Eng. 2002, 33, 263–277. [Google Scholar] [CrossRef]
- Thostenson, E.T.; Li, C.; Chou, T.W. Nanocomposites in context. Compos. Sci. Technol. 2005, 65, 491–516. [Google Scholar] [CrossRef]
- Iijima, S. Helical microtubules of graphitic carbon. Nature 1991, 354, 56–58. [Google Scholar] [CrossRef]
- Hughes, T.J.R.; Cottrell, J.A.; Bazilevs, Y. Isogeometric analysis: CAD, finite elements, NURBS, exact geometry and mesh refinement. Comput. Methods Appl. Mech. Eng. 2005, 194, 4135–4195. [Google Scholar] [CrossRef] [Green Version]
- Nguyen-Quang, K.; Vo-Duy, T.; Dang-Trung, H.; Nguyen-Thoi, T. An isogeometric approach for dynamic response of laminated FG-CNT reinforced composite plates integrated with piezoelectric layers. Comput. Methods Appl. Mech. Eng. 2018, 332, 25–46. [Google Scholar] [CrossRef]
- Zhang, L.W.; MemarArdestani, M.; Liew, K.M. Isogeometric approach for buckling analysis of CNT-reinforced composite skew plates under optimal CNT-orientation. Compos. Struct. 2017, 163, 365–384. [Google Scholar] [CrossRef]
- Nguyen, N.V.; Nguyen-Xuan, H.; Nguyen, T.N.; Kang, J.; Lee, J. A comprehensive analysis of auxetic honeycomb sandwich plates with graphene nanoplatelets reinforcement. Compos. Struct. 2021, 259, 113213. [Google Scholar] [CrossRef]
- Nguyen, N.V.; Lee, J. On the static and dynamic responses of smart piezoelectric functionally graded graphene platelet-reinforced microplates. Int. J. Mech. Sci. 2021, 197, 106310. [Google Scholar] [CrossRef]
- Nguyen, N.V.; Nguyen, L.B.; Nguyen-Xuan, H.; Lee, J. Analysis and active control of geometrically nonlinear responses of smart FG porous plates with graphene nanoplatelets reinforcement based on Bézier extraction of NURBS. Int. J. Mech. Sci. 2020, 180, 105692. [Google Scholar] [CrossRef]
- Nguyen, T.N.; Thai, C.H.; Nguyen-Xuan, H.; Lee, J. Geometrically nonlinear analysis of functionally graded material plates using an improved moving Kriging meshfree method based on a refined plate theory. Compos. Struct. 2018, 193, 268–280. [Google Scholar] [CrossRef]
- Nguyen, T.N.; Thai, C.H.; Nguyen-Xuan, H. A novel computational approach for functionally graded isotropic and sandwich plate structures based on a rotation-free meshfree method. Thin-Walled Struct. 2016, 107, 473–488. [Google Scholar] [CrossRef]
- Zhang, L.W.; Song, Z.G.; Liew, K.M. Modeling aerothermoelastic properties and active flutter control of nanocomposite cylindrical shells in supersonic airflow under thermal environments. Comput. Methods Appl. Mech. Eng. 2017, 325, 416–433. [Google Scholar] [CrossRef]
- Ding, C.; Tamma, K.K.; Cui, X.; Ding, Y.; Li, G.; Bordas, S.P.A. An nth high order perturbation-based stochastic isogeometric method and implementation for quantifying geometric uncertainty in shell structures. Adv. Eng. Softw. 2020, 148, 102866. [Google Scholar] [CrossRef]
- Nguyen, T.N.; Lee, S.; Nguyen, P.C.; Nguyen-Xuan, H.; Lee, J. Geometrically nonlinear postbuckling behavior of imperfect FG-CNTRC shells under axial compression using isogeometric analysis. Eur. J. Mech.-A/Solids 2020, 84, 104066. [Google Scholar] [CrossRef]
- Nguyen, T.N.; Lee, S.; Nguyen-Xuan, H.; Lee, J. A novel analysis-prediction approach for geometrically nonlinear problems using group method of data handling. Comput. Methods Appl. Mech. Eng. 2019, 354, 506–526. [Google Scholar] [CrossRef]
- Nguyen, T.N.; Nguyen-Xuan, H.; Lee, J. A novel data-driven nonlinear solver for solid mechanics using time series forecasting. Finite Elem. Anal. Des. 2020, 171, 103377. [Google Scholar] [CrossRef]
- Tornabene, F. Free vibration analysis of functionally graded conical, cylindrical shell and annular plate structures with a four-parameter power-law distribution. Comput. Methods Appl. Mech. Eng. 2009, 198, 2911–2935. [Google Scholar] [CrossRef]
- Kamarian, S.; Salim, M.; Dimitri, R.; Tornabene, F. Free vibration analysis of conical shells reinforced with agglomerated Carbon Nanotubes. Int. J. Mech. Sci. 2016, 108–109, 157–165. [Google Scholar] [CrossRef]
- Vu-Bac, N.; Duong, T.X.; Lahmer, T.; Zhuang, X.; Sauer, R.A.; Park, H.S.; Rabczuk, T. A NURBS-based inverse analysis for reconstruction of nonlinear deformations of thin shell structures. Comput. Methods Appl. Mech. Eng. 2018, 331, 427–455. [Google Scholar] [CrossRef] [Green Version]
- Vu-Bac, N.; Duong, T.X.; Lahmer, T.; Areias, P.; Sauer, R.A.; Park, H.S.; Rabczuk, T. A NURBS-based inverse analysis of thermal expansion induced morphing of thin shells. Comput. Methods Appl. Mech. Eng. 2019, 350, 480–510. [Google Scholar] [CrossRef]
- Chen, L.; Nguyen-Thanh, N.; Nguyen-Xuan, H.; Rabczuk, T.; Bordas, S.P.A.; Limbert, G. Explicit finite deformation analysis of isogeometric membranes. Comput. Methods Appl. Mech. Eng. 2014, 277, 104–130. [Google Scholar] [CrossRef] [Green Version]
- Philipp, B.; Breitenberger, M.; D’Auria, I.; Wüchner, R.; Bletzinger, K.U. Integrated design and analysis of structural membranes using the Isogeometric B-Rep Analysis. Comput. Methods Appl. Mech. Eng. 2016, 303, 312–340. [Google Scholar] [CrossRef]
- Fantuzzi, N.; DellaPuppa, G.; Tornabene, F.; Trautz, M. Strong Formulation IsoGeometric Analysis for the vibration of thin membranes of general shape. Int. J. Mech. Sci. 2017, 120, 322–340. [Google Scholar] [CrossRef]
- Manh, N.D.; Evgrafov, A.; Gersborg, A.R.; Gravesen, J. Isogeometric shape optimization of vibrating membranes. Comput. Methods Appl. Mech. Eng. 2011, 200, 1343–1353. [Google Scholar] [CrossRef] [Green Version]
- Apostolatos, A.; Bletzinger, K.U.; Wüchner, R. Weak imposition of constraints for structural membranes in transient geometrically nonlinear isogeometric analysis on multipatch surfaces. Comput. Methods Appl. Mech. Eng. 2019, 350, 938–994. [Google Scholar] [CrossRef]
- Nguyen, T.N.; Hien, T.D.; Nguyen-Thoi, T.; Lee, J. A unified adaptive approach for membrane structures: Form finding and large deflection isogeometric analysis. Comput. Methods Appl. Mech. Eng. 2020, 369, 113239. [Google Scholar] [CrossRef]
- Nguyen-Thanh, N.; Kiendl, J.; Nguyen-Xuan, H.; Wüchner, R.; Bletzinger, K.; Bazilevs, Y.; Rabczuk, T. Rotation free isogeometric thin shell analysis using PHT-splines. Comput. Methods Appl. Mech. Eng. 2011, 200, 3410–3424. [Google Scholar] [CrossRef]
- Nguyen-Thanh, N.; Zhou, K.; Zhuang, X.; Areias, P.; Nguyen-Xuan, H.; Bazilevs, Y.; Rabczuk, T. Isogeometric analysis of large-deformation thin shells using RHT-splines for multiple-patch coupling. Comput. Methods Appl. Mech. Eng. 2017, 316, 1157–1178. [Google Scholar] [CrossRef]
- Minh, D.; Wang, H.X.; Li, Y.F.; Nguyen, T.N. Explainable Artificial intelligence: A comprehensive review. Artif. Intell. Rev. 2022. [Google Scholar] [CrossRef]
- Dang, L.M.; Wang, H.; Li, Y.; Park, Y.; Oh, C.; Nguyen, T.N.; Moon, H. Automatic tunnel lining crack evaluation and measurement using deep learning. Tunn. Undergr. Space Technol. 2022, 124, 104472. [Google Scholar] [CrossRef]
- Guo, H.; Zhuang, X.; Rabczuk, T. A Deep Collocation Method for the Bending Analysis of Kirchhoff Plate. Comput. Mater. Contin. 2019, 59, 433–456. [Google Scholar] [CrossRef]
- Guo, H.; Zhuang, X.; Chen, P.; Alajlan, N.; Rabczuk, T. Stochastic deep collocation method based on neural architecture search and transfer learning for heterogeneous porous media. Eng. Comput. 2022. [Google Scholar] [CrossRef]
- Guo, H.; Zhuang, X.; Chen, P.; Alajlan, N.; Rabczuk, T. Analysis of three-dimensional potential problems in non-homogeneous media with physics-informed deep collocation method using material transfer learning and sensitivity analysis. Eng. Comput. 2022. [Google Scholar] [CrossRef]
- Zhuang, X.; Guo, H.; Alajlan, N.; Zhu, H.; Rabczuk, T. Deep autoencoder based energy method for the bending, vibration, and buckling analysis of Kirchhoff plates with transfer learning. Eur. J. Mech.-A/Solids 2021, 87, 104225. [Google Scholar] [CrossRef]
- Nguyen, T.N.; Lee, J.; Dinh-Tien, L.; MinhDang, L. Deep learned one-iteration nonlinear solver for solid mechanics. Int. J. Numer. Methods Eng. 2022, 123, 1841–1860. [Google Scholar] [CrossRef]
- Shen, H.S.; Zhang, C.L. Thermal buckling and postbuckling behavior of functionally graded carbon nanotube-reinforced composite plates. Mater. Des. 2010, 31, 3403–3411. [Google Scholar] [CrossRef]
- Nguyen, N.V.; Nguyen-Xuan, H.; Lee, D.; Lee, J. A novel computational approach to functionally graded porous plates with graphene platelets reinforcement. Thin-Walled Struct. 2020, 150, 106684. [Google Scholar] [CrossRef]
- Reddy, J.N. Mechanics of Laminated Composite Plates and Shells: Theory and Analysis; CRC Press: Boca Raton, FL, USA, 2003. [Google Scholar]
- Nguyen, T.N.; Thai, C.H.; Nguyen-Xuan, H.; Lee, J. NURBS-based analyses of functionally graded carbon nanotube-reinforced composite shells. Compos. Struct. 2018, 203, 349–360. [Google Scholar] [CrossRef]
- Nguyen, T.N.; Thai, C.H.; Luu, A.T.; Nguyen-Xuan, H.; Lee, J. NURBS-based postbuckling analysis of functionally graded carbon nanotube-reinforced composite shells. Comput. Methods Appl. Mech. Eng. 2019, 347, 983–1003. [Google Scholar] [CrossRef]
- Nguyen, V.P.; Anitescu, C.; Bordas, S.P.A.; Rabczuk, T. Isogeometric analysis: An overview and computer implementation aspects. Math. Comput. Simul. 2015, 117, 89–116. [Google Scholar] [CrossRef] [Green Version]
- Piegl, L.; Tiller, W. The NURBS Book; Springer: Berlin/Heidelberg, Germany, 1997. [Google Scholar]
- Crisfield, M.A. A fast incremental/iterative solution procedure that handles “snap-through”. Comput. Struct. 1981, 13, 55–62. [Google Scholar] [CrossRef]
- Zhu, P.; Lei, Z.X.; Liew, K.M. Static and free vibration analyses of carbon nanotube-reinforced composite plates using finite element method with first order shear deformation plate theory. Compos. Struct. 2012, 94, 1450–1460. [Google Scholar] [CrossRef]
- Zhang, L.W.; Lei, Z.X.; Liew, K.M.; Yu, J.L. Static and dynamic of carbon nanotube reinforced functionally graded cylindrical panels. Compos. Struct. 2014, 111, 205–212. [Google Scholar] [CrossRef]
- Crisfield, M.A. A faster modified Newton-Raphson iteration. Comput. Methods Appl. Mech. Eng. 1979, 20, 267–278. [Google Scholar] [CrossRef]
- Zhang, L.W.; Lei, Z.X.; Liew, K.M.; Yu, J.L. Large deflection geometrically nonlinear analysis of carbon nanotube-reinforced functionally graded cylindrical panels. Comput. Methods Appl. Mech. Eng. 2014, 273, 1–18. [Google Scholar] [CrossRef]
- Kreja, I.; Schmidt, R.; Reddy, J.N. Finite elements based on a first-order shear deformation moderate rotation shell theory with applications to the analysis of composite structures. Int. J. Non-Linear Mech. 1997, 32, 1123–1142. [Google Scholar] [CrossRef]



















Publisher’s Note: MDPI stays neutral with regard to jurisdictional claims in published maps and institutional affiliations. |
© 2022 by the authors. Licensee MDPI, Basel, Switzerland. This article is an open access article distributed under the terms and conditions of the Creative Commons Attribution (CC BY) license (https://creativecommons.org/licenses/by/4.0/).
Share and Cite
Nguyen, T.N.; Dang, L.M.; Lee, J.; Nguyen, P.V. Load-Carrying Capacity of Ultra-Thin Shells with and without CNTs Reinforcement. Mathematics 2022, 10, 1481. https://doi.org/10.3390/math10091481
Nguyen TN, Dang LM, Lee J, Nguyen PV. Load-Carrying Capacity of Ultra-Thin Shells with and without CNTs Reinforcement. Mathematics. 2022; 10(9):1481. https://doi.org/10.3390/math10091481
Chicago/Turabian StyleNguyen, Tan N., L. Minh Dang, Jaehong Lee, and Pho Van Nguyen. 2022. "Load-Carrying Capacity of Ultra-Thin Shells with and without CNTs Reinforcement" Mathematics 10, no. 9: 1481. https://doi.org/10.3390/math10091481
APA StyleNguyen, T. N., Dang, L. M., Lee, J., & Nguyen, P. V. (2022). Load-Carrying Capacity of Ultra-Thin Shells with and without CNTs Reinforcement. Mathematics, 10(9), 1481. https://doi.org/10.3390/math10091481

