Performance of Stochastic Inventory System with a Fresh Item, Returned Item, Refurbished Item, and Multi-Class Customers
Abstract
:1. Introduction
1.1. Motivation
1.2. Purchasing Strategy
1.3. Return Strategy
1.4. Refurbishment Strategy
1.5. Repair Strategy
1.6. Contribution of the Model
- 1.
- This paper concentrates on multi-type service facilities provided by dedicated servers.
- 2.
- It analyses the sales of a new product or fresh product, purchases the old or used product from the customer, conducts refurbishing work on the returned product, sells the refurbished product, and repairs the defective product.
- 3.
- There are four classes of customers that arrive at the system and they are classified according to their needs. To receive those customers, the system allocates three finite queues and one infinite queue.
- 4.
- As in the normal lifestyle, this paper assumes that a customer will purchase the product (fresh or refurbished) if they are satisfied with the service with respect to the Bernoulli schedule.
- 5.
- It assumes the instantaneous ordering principle for the replenishment process. The Neuts [3] matrix geometric approach and the logarithmic reduction algorithm are used to derive the stationary probability vector.
- 6.
- The numerical illustrations investigate the impact of each queue, server busy, or idle period, and the cost analysis according to the parameter variation.
1.7. Novelty of the Model
Design of the Paper
1.8. Review of the Related Work
1.9. Research Gap
1.10. Model Proposal
2. The Mathematical Formulation of the Model
- 1.
- Sales for both FP and RFP.
- 2.
- Purchase of OP from the customer.
- 3.
- Refurbishes the purchased OP to resell.
- 4.
- Provision of re-service to those who just require repair work on the defective product.
3. Main Results
3.1. Process of the States of the Stochastic Model
3.2. Construction of Transition Matrices of the System
3.3. Explanation of the Transition Rates of the System
- •
- •
- •
- •
- •
- •
- •
- •
- •
- •
- •
- •
- •
- •
3.4. Stability Analysis of the Model
Calculation of Stability Condition
3.5. Calculation of R-Matrix
Limiting Probability Criterion
3.6. Calculation of Stationary Probability Vector
4. Expected Performance Measures of the System (EPMS)
4.1. Computation of Expected Current Number of Products in the System
- •
- The expected current number of fresh items in the system is defined as
- •
- The expected current number of returned items in the system is defined as
- •
- The expected current number of refurbished items in the system is defined as
4.2. Computation of Expected Reorder Rate of Fresh Product
4.3. Computation of Expected Number of Customers in the Queues
- •
- Expected number of customers in Queue-1 is defined as
- •
- Expected number of customers in Queue-2 is defined as
- •
- Expected number of customers in Queue-3 is defined as
- •
- Expected number of customers in Queue-4 is defined as
4.4. Computation of Expected Number of Lost Customers in the Queues
- •
- Expected number of lost customers in Queue-1 is defined as
- •
- Expected number of lost customers in Queue-2 is defined as
- •
- Expected number of lost customers in Queue-3 is defined as
- •
- Expected number of lost customers in Queue-4 is defined as
4.5. Computation of Probability That the Servers in the System Are Busy
- •
- Probability that Server-1 becomes busy is given by
- •
- Probability that Server-2 becomes busy is given by
- •
- Probability that Server-3 becomes busy is given by
- •
- Probability that Server-4 becomes busy is given by
- •
- Probability that Server-5 becomes busy is given by
4.6. Computation of Miscellaneous Expected Measures of the System
- •
- Expected rate at which the Class-1 customer who did not purchase an FP is defined as
- •
- Expected rate at which the Class-2 customer who only sold an OP and does not go to Queue-1 is defined as
- •
- Expected rate at which the Class-2 customer who did not return the OP is defined as
- •
- Expected rate at which the Class-3 customer who purchases an RFP is defined as
4.7. Computation of Expected Total Cost Value
5. Numerical Interpretation of Parameter Analysis of the System
5.1. Interpretation and Remarks on Queues
- 1.
- Figure 3 depicts the predicted number of customers lost in Queue-1 as a result of increasing both the service rate, , and the probability that customers will be satisfied at the end of service completion to purchase the FP, , with Server-1.
- 2.
- As the average service time of Server-1 decreases, the value of rises as well. In general, when the service completion time decreases, the number of lost customers or the total number of customers in the system decreases logically as well. According to the premise that an entering Class-1 customer is a member of the impulse customer category, the likelihood that they will acquire the product is dependent on their level of satisfaction with the service offered to them.
- 3.
- As a result, each service completion has the option of purchasing or not purchasing the FP. Because of the customer’s decision to oscillate, the value of increases when the value of increases. It is interesting to note that when the is increased, (i.e., when the is reduced), the situation is different. Indeed, the likelihood that a Class-1 consumer will be satisfied suggests that the supply of fresh products will increase.
- 4.
- As predicted, an increase in the arrival rate always resulted in Server-1 remaining busy when the rate was increased. In order for the server to be busy, there should be a large number of customers in front of the server at any given time. On the other hand, because Server-1 completes the operation as fast as possible, the likelihood of a server becoming available increases. This is shown in Figure 4.
- 5.
- As opposed to this, Figure 5 depicts an expected rate at which a customer who does not purchase an FP when the and the are put together. It has been shown that when and are elevated concurrently, they have a direct impact on .
- 1.
- If the arrival rate, increases (meaning that the number of Class-2 customers in Queue-2 has increased), the expected number of RP, average arrivals in Queue-1, and expected rate at which a customer who sells only the OP and leaves the system without returning are increased. The probability of Server-2 being free is decreased if is increased, because all the other components (, , , ) are increased when increases.
- 2.
- The assumption defined for purchasing the old products from the customer causes the stated changes. This is because when Server-2 is attending a customer in Queue-2, the TaC of the old product is first checked and clearly explained to the customer. Finally, all the checking formalities are over, the customer may agree to the TaC. If they agree to the sale of the old product, then the old product is immediately purchased by Server-2. In this situation, the Class-2 customer may decide whether to buy an FP or not. Suppose they want an FP, immediately they go to Queue-1 with probability or else leave the system with . If the Class-2 customer is not willing to sell their old product, they leave the system without returning the old product with probability . These are the reasons that the following changes happen:
- If the probability increases, then increases where as , are decreased.
- If the probability increases, then increases where as , are decreased.
- If the probability decreases, then , are decreased.
- 3.
- The service rate of Server-2, also causes the increase in the following measures , , , . As the service rate of Server-2 increases, the probability of Server-2 being free is increased. When varying the probabilities in Table 1 and , which is selected by the customers’ own choice will have a great impact on the , , , , and as we predicted.
- 4.
- Furthermore, Figure 6 depicts that Server-5’s is busy when vs. . The job of Server-5 is to recondition the returned OP into an RFP to sell it. To do so, Server-5 needs enough RPs in the storage place, or else Server-5 become free. When both parameters and are increased, the number of RP increases; as such, s length of the busy period will increase.
- 1.
- First, the arrival rate of Class-3 customers is always directly proportional to and where is the service rate, which is always inversely proportional to and . This is because the number of existing customers in Queue-3 is increased when increases. Since the size of Queue-3 is finite and current number of Class-3 customer increases, newly arrived Class-3 customers are considered lost—this is why the arrival rate, , causes the increase in the loss of Class-3 customers when it is increased.
- 2.
- Simultaneously, the service process of Server-3 will have a crucial role in controlling the loss of Class-3 customers. As the average service time of Server-3 reduces, the number of present and lost customers also reduced.
- 3.
- The contribution of Server-5 is a remarkable one to determine the and because Server-5 continuously performs the refurbished work on the RP if it is available. Suppose the refurbished products are not available, the Class-3 customer has to wait in Queue-3 and at one stage they will be lost. So, the mean service time of Server-3 causes the decrease in and when it is decreased—this means that the sales of RFP is increased.
- 4.
- Finally, the probability of a Class-3 customer buying the RFP or not also determines the and . This reflects the exact real-life application of a customer’s mindset. Generally, not all customers want to purchase the RFP. So many customers will have an oscillation mindset when they buy an RFP; therefore, when a Class-3 customer purchasing probability increases, the loss of them is to be reduced.
- 5.
- Figure 7 explores the probability of Server-3 becoming busy when and are incorporated. As the average service time reduces, also reduces because of the quick service completion, whereas the increase in the number of customers in Queue-3 raises, and the server being busy time is increased.
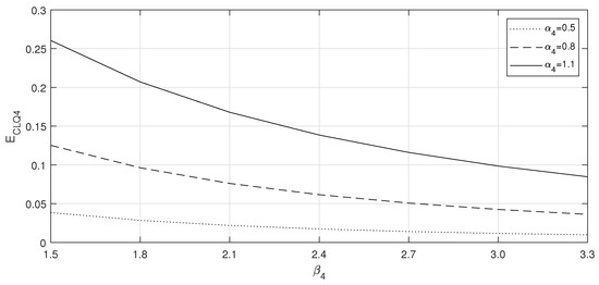
- 1.
- Figure 8 shows the expected loss of Class-4 customers in Queue-4 when both and varied together. As the results show, the reader can understand that both parameters influence opposite to each other as predicted. In Figure 9, the size of Queue-4, is incorporated with to obtain , whereas in Figure 10, is connected to .
- 2.
- Since causes the increase in customer arrivals in Queue-4, the overflow of Queue-4 leads to the loss of them. On the other side, as reduces the wait time of Class-4 customers in Queue-4, the loss will be controlled and as expands the size of Queue-4, a greater number of Class-4 customers can be allowed in Queue-4; thus, the loss of Class-4 customers can be reduced.
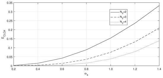
- 3.
- Figure 11 depicts the number of customers, in Queue-4 when and act together. The measure is increased if is raised and is decreased if is decreased due to the influence of corresponding parameters.
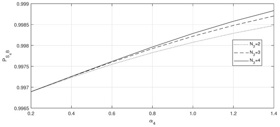
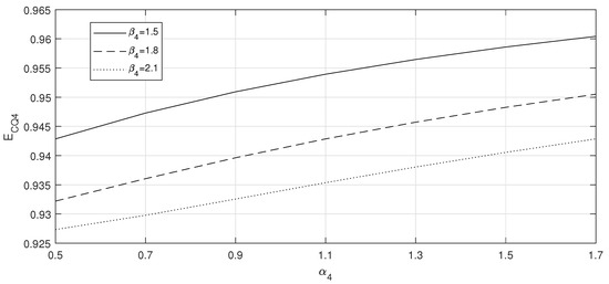
- 4.
- The parameters , , and are involved to discuss the probability of Server-4 becoming busy, . In this analysis, and always keeps Server-4 busy when it is increased; however, always reduces the busy period of Server-4 when it is to be increased. This is graphically shown in Figure 12, Figure 13 and Figure 14.
- 5.
- Suppose there are a greater number of Class-4 customers waiting for repair service of their product, Server-4 cannot take a rest because if Server-4 wants to take a rest, the Class-4 customers in Queue-4 will increase. This will also cause an overload of work for Server-4; this is why Server-4 is always busy when both and are increased. On the contrary, as we reduce the mean service time of Server-4, the number of Class-4 customers in Queue-4 also decreased; thus, the probability of Server-4 being busy is low when is high.
5.2. Interpretation of Expected Total Cost Value of the System
- 1.
- Of course, when dealing with this type of business in the real world, we all experience some degree of ambiguity regarding the typical total cost.
- 2.
- This example will be extremely beneficial to all businesses in order to eliminate such ambiguity; however, despite the fact that the system consists of five heterogeneous servers, the average service time of each server is inversely related to predicted total cost (i.e., for each service rate of and , where grows, the expected total cost reduces) but for it increases because Server-2 performs a purchasing job—this will cause an increase in total cost.
- 3.
- As predicted, when we observe the mean arrival rate of all Class-i customers, where , the projected total cost is directly proportional to the number of customers, where .
- 4.
- Furthermore, the cost value analysis provides the predicted rise in the expected total cost value, which is presented in Table 4. Many readers will be inspired by this example to conduct further investigation into this type of topic in the future. Providing a satisfactory service to all types of consumers under one QIS with a variety of dedicated servers is a difficult undertaking. The total cost incurred by our study, on the other hand, will provide valuable information to many readers and business people.
- 5.
- This is the most significant and necessary conversation in this proposed paradigm, and it should not be skipped.
6. Conclusions
- 1.
- To purchase an FP.
- 2.
- To sell their OP and buy a new FP.
- 3.
- To buy used things (second-hand shops are commonplace in many countries).
- 4.
- Require a repair service of their defective product.
- •
- Assuming a customer-oriented service model, this system’s performance is in line with real-world inventory businesses.
- •
- The notion is theoretically described as a seven-dimensional stochastic process and its full analysis is carried out by the NMAM.
- •
- Using LRA, the minimal non-negative solution of the matrix quadratic equation is found for the proposed MQIS.
- •
- The system’s performance metrics can be calculated when the stationary probability vector has been computed.
- •
- The discussed model comes in under budget. From the detailed interpretation of the numerical discussion provided for each queue, one can observe that the overall expected inflow of a customer in the system (the sum of the expected number of customers in each queue) is raised.
6.1. Insights and Limitations
- 1.
- In this MQIS, the probability is expected to play an important role. In addition to increasing the number of customers in Queue-1 and Queue-3, it also raises the amount of RPs and RFPs.
- 2.
- The probability must be smaller than and because it represents the loss of customers in Queue-2.
- 3.
- Despite the fact that customers have been lost in all of Queue-i, where , the loss of customers in Queue-2 will have a significant impact on the system’s overall costs and profits.
- 4.
- Customer dissatisfaction cannot be prevented, but it can be managed through the use of real-world examples. This study shows that the probability , , and should always be kept at reduced values while also never going to zero. In the event that they are considered to be zero, it conflicts with reality.
- 5.
- According to the proposed model, these probabilities could be reduced by readers or business people. In the meantime, they will need a creative strategy or design to meet the needs of all kinds of customers. These days, just a handful of businesses, such as online retailers Amazon and Flipkart, make an attempt to appeal to customers of various socioeconomic backgrounds. So, if a customer can have all of their needs met in a single place, they are less likely to look elsewhere.
- 6.
- The purchase of a new product when returning the old is increasing because every month there is new software and upgrades are introduced in many mobile phones, laptops, fridges, air-conditioning companies, etc. These upgrades stimulate the customer to buy a new product. Even though their previously purchased product will not expire soon, they are interested in buying the new one if a company will give such an opportunity (the sale of a new product when buying the customer’s old product).
- 7.
- This model explores a circular economy that will bring business opportunities to the business people.
6.2. Future Directions
Author Contributions
Funding
Institutional Review Board Statement
Informed Consent Statement
Data Availability Statement
Acknowledgments
Conflicts of Interest
Abbreviations
| Queuing-Inventory System | |
| Fresh Product | |
| Old Product | |
| New Product | |
| Refurbished Product | |
| Returned Product | |
| Markovian Queuing-Inventory System | |
| Terms and Conditions | |
| Technical Operation Manual | |
| Continuous Time Markov Chain | |
| Logarithmic Reduction Algorithm | |
| Total Cost Value | |
| Neuts Matrix Analytic Method | |
| Notations | |
| The set of all non-negative integers | |
| 0 | Zero matrix of an appropriate order |
| I | Identity matrix of an appropriate order |
| Identity matrix of order r | |
| e | Column matrix containing all ones of an appropriate order |
| Number of customer in Queue-1 at any time | |
| Number of available FP at any time | |
| Number of customer in Queue-2 at any time | |
| Number of RP exists at any time | |
| Number of customer in Queue-3 at any time | |
| Number of available RFP at any time | |
| Number of customer in Queue-4 at any time | |
| K | |
| Holding cost of per FP per unit time | |
| Holding cost of per RP per unit time | |
| Holding cost of per RFP per unit time | |
| Set up cost of per order of FP per unit time | |
| Waiting cost of per customer in Queue-1 per unit time | |
| Waiting cost of per customer in Queue-2 per unit time | |
| Waiting cost of per customer in Queue-3 per unit time | |
| Waiting cost of per customer in Queue-4 per unit time | |
| Lost cost of per customer in Queue-1 per unit time | |
| Lost cost of per customer in Queue-2 per unit time | |
| Lost cost of per customer in Queue-3 per unit time | |
| Lost cost of per customer in Queue-4 per unit time |
References
- Saranya, N.; Shophia Lawrence, A.; Sivakumar, B. An inventory system with replacement and refurbishment of failed items. Commun. Stat.—Theory Methods 2022, 1–23. [Google Scholar] [CrossRef]
- Juneja, P. Management Study Guide. Available online: https://www.managementstudyguide.com/inventory-management.htm (accessed on 24 February 2022).
- Neuts, M.F. Matrix-Geometric Solutions in Stochastic Models: An Algorithmic Approach; Dover Publication Inc.: New York, NY, USA, 1994. [Google Scholar]
- Paul, M.; Sivakumar, B.; Arivarignan, G. A Multi-Server Perishable Inventory System with Service Facility. Pac. J. Appl. Math. 2009, 2, 69–82. [Google Scholar]
- Sivakumar, B. Two-commodity inventory system with retrial demand. Eur. J. Oper. Res. 2008, 187, 70–83. [Google Scholar] [CrossRef]
- Sivakumar, B. A perishable inventory system with retrial demands and a finite population. J. Comput. Appl. Math. 2008, 224, 29–38. [Google Scholar] [CrossRef] [Green Version]
- Jeganathan, K.; Reiyas, M.A.; Selvakumar, S.; Anbazhagan, N. Analysis of Retrial Queueing-Inventory System with Stock Dependent Demand Rate:(s,S) Versus (s,Q) Ordering Policies. Int. J. Appl. Comput. Math. 2020, 6, 1–29. [Google Scholar] [CrossRef]
- Abdul Reiyas, M.; Jeganathan, K. Modeling of Stochastic Arrivals Depending on Base Stock Inventory System with a Retrial Queue. Int. J. Appl. Comput. Math. 2021, 7, 1–22. [Google Scholar]
- Melikov, A.Z.; Molchanov, A.A. Stock optimization in transport/storage. Cybern. Syst. Anal. 1992, 28, 484–487. [Google Scholar] [CrossRef]
- Sigman, K.; Simchi-Levi, D. Light traffic heuristic for an M/G/1 queue with limited inventory. Ann. Oper. Res. 1992, 40, 371–380. [Google Scholar] [CrossRef]
- Amirthakodi, M.; Sivakumar, B. An inventory system with service facility and feedback customers. Int. J. Ind. Syst. Eng. 2019, 33, 374–411. [Google Scholar]
- Jeganathan, K.; Selvakumar, S.; Anbazhagan, N.; Amutha, S.; Hammachukiattikul, P. Stochastic Modeling on M/M/1/N Inventory System with Queue Dependent Service Rate and Retrial Facility. AIMS Math. 2021, 6, 7386–7420. [Google Scholar] [CrossRef]
- Jeenanunta, C.; Kongtarat, V.; Buddhakulsomsiri, J. A simulation-optimisation approach to determine optimal order-up-to level for inventory system with long lead time. Int. J. Logist. Syst. Manag. 2021, 38, 253–276. [Google Scholar] [CrossRef]
- Taia, P.D.; Huyenb, P.P.N.; Buddhakulsomsirib, J. A novel modeling approach for a capacitated (S,T) inventory system with backlog under stochastic discrete demand and lead time. Int. J. Ind. Eng. Comput. 2021, 12, 1–14. [Google Scholar] [CrossRef]
- Krishnamoorthy, A.; Manikandan, R.; Lakshmy, B. A revisit to queueing-inventory system with positive service time. Ann. Oper. Res. 2015, 233, 221–236. [Google Scholar] [CrossRef]
- Krishnamoorthy, A.; Joshua, A.N.; Kozyrev, D. Analysis of a Batch Arrival, Batch Service Queuing-Inventory System with Processing of Inventory While on Vacation. Mathematics 2021, 9, 419. [Google Scholar] [CrossRef]
- Sugapriya, C.; Nithya, M.; Jeganathan, K.; Anbazhagan, N.; Joshi, G.P.; Yang, E.; Seo, S. Analysis of Stock-Dependent Arrival Process in a Retrial Stochastic Inventory System with Server Vacation. Processes 2022, 10, 176. [Google Scholar] [CrossRef]
- Veeramuthu, V.; Anbazhagan, N.; Amutha, S.; Jeganathan, K.; Joshi, G.P.; Cho, W.; Seo, S. Steady State Analysis of Impulse Customers and Cancellation Policy in Queueing-Inventory System. Processes 2021, 9, 2146. [Google Scholar]
- Wang, F.-F. Approximation and Optimization of a Multi-Server Impatient Retrial Inventory-Queueing System with Two Demand Classes. Qual. Technol. Quant. Manag. 2015, 12, 269–292. [Google Scholar] [CrossRef]
- Klimenok, V.; Dudin, A.; Dudina, O.; Kochetkova, I. Queuing System with Two Types of Customers and Dynamic Change of a Priority. Mathematics 2020, 8, 824. [Google Scholar] [CrossRef]
- Jeganathan, K.; Reiyas, M.A. Two parallel heterogeneous servers Markovian inventory system with modified and delayed working vacations. Math. Comput. Simul. 2020, 172, 273–304. [Google Scholar] [CrossRef]
- Jehoashan Kingsly, S.; Padmasekaran, S.; Jeganathan, K. Two Heterogeneous Servers Queueing-Inventory System with Sharing Finite Buffer and a Flexible Server. Int. J. Appl. Eng. Res. 2019, 14, 1212–1219. [Google Scholar]
- Jeganathan, K.; Abdul Reiyas, M.; Prasanna Lakshmi, K.; Saravanan, S. Two Server Markovian Inventory Systems with Server Interruptions: Heterogeneous Vs. Homogeneous Servers. Math. Comput. Simul. 2019, 155, 177–200. [Google Scholar] [CrossRef]
- Vishnevsky, V.; Klimenok, V.; Sokolov, A.; Larionov, A. Performance Evaluation of the Priority Multi-Server System MMAP/PH/M/N Using Machine Learning Methods. Mathematics 2021, 9, 3236. [Google Scholar] [CrossRef]
- Klimenok, V.I.; Dudin, A.N.; Vishnevsky, V.M.; Semenova, O.V. Retrial BMAP/PH/N Queueing System with a Threshold-Dependent Inter-Retrial Time Distribution. Mathematics 2022, 10, 269. [Google Scholar] [CrossRef]
- Jeganathan, K.; Harikrishnan, T.; Selvakumar, S.; Anbazhagan, N.; Amutha, S.; Acharya, S.; Dhakal, R.; Joshi, G.P. Analysis of Interconnected Arrivals on Queueing-Inventory System with Two Multi-Server Service Channels and One Retrial Facility. Electronics 2021, 10, 576. [Google Scholar] [CrossRef]
- Rajkumar, M.; Sivakumar, B.; Arivarignan, G. An infinite queue at a multi-server inventory system. Int. J. Inventory Res. 2014, 2, 189–221. [Google Scholar] [CrossRef]
- Chakravarthy, S.R.; Shajin, D.; Krishnamoorthy, A. Infinite Server Queueing-Inventory Models. J. Indian Soc. Probab. Stat. 2020, 21, 43–68. [Google Scholar] [CrossRef]
- Hanukov, G.; Avinadav, T.; Chernonog, T.; Yechiali, U. A multi-server queueing-inventory system with stock-dependent demand. IFAC-PapersOnLine 2019, 52, 671–676. [Google Scholar] [CrossRef]
- Ozkar, S.; Kocer, U.U. Two-commodity queueing-inventory system with two classes of customers. Opsearch 2021, 58, 234–256. [Google Scholar] [CrossRef]
- Benny, B.; Chakravarthy, S.R.; Krishnamoorthy, A. Queueing-Inventory System with Two Commodities. J. Indian Soc. Probab. Stat. 2018, 19, 437–454. [Google Scholar] [CrossRef]
- Zhang, Z.; Wu, J.; Wei, F. Refurbishment or quality recovery: Joint quality and pricing decisions for new product development. Int. J. Prod. Res. 2019, 57, 2327–2343. [Google Scholar] [CrossRef]
- Zhang, Y.; He, Y.; Yue, J.; Gou, Q. Pricing decisions for a supply chain with refurbished products. Int. J. Prod. Res. 2019, 57, 2867–2900. [Google Scholar] [CrossRef]
- He, Y.; Xu, Q.; Wu, P. Omnichannel retail operations with refurbished consumer returns. Int. J. Prod. Res. 2020, 58, 271–290. [Google Scholar] [CrossRef]
- Ho, T.-F.; Lin, C.-C.; Lin, C.-L. Determining the Optimal Inventory and Number of Shipments for a Two-Resource Supply Chain with Correlated Demands and Remanufacturing Products Allowing Backorder. Mathematics 2020, 8, 548. [Google Scholar] [CrossRef] [Green Version]
- Rani, S.; Ali, R.; Agarwal, A. Fuzzy inventory model for new and refurbished deteriorating items with cannibalisation in green supply chain. Int. J. Syst. Sci. Oper. Logist. 2020, 9, 22–38. [Google Scholar] [CrossRef]
- Cárdenas-Barrón, L.E.; Plaza-Makowsky, M.J.L.; Sevilla-Roca, M.A.; Núñez-Baumert, J.M.; Mandal, B. An Inventory Model for Imperfect Quality Products with Rework, Distinct Holding Costs, and Nonlinear Demand Dependent on Price. Mathematics 2021, 9, 1362. [Google Scholar] [CrossRef]
- Sinu Lal, T.S.; Joshua, V.C.; Vishnevsky, V.; Kozyrev, D.; Krishnamoorthy, A. A Multi-Type Queueing Inventory System—A Model for Selection and Allocation of Spectra. Mathematics 2022, 10, 714. [Google Scholar] [CrossRef]
- Jacob, J.; Shajin, D.; Krishnamoorthy, A.; Vishnevsky, V.; Kozyrev, D. Queueing-Inventory with One Essential and m Optional Items with Environment Change Process Forming Correlated Renewal Process (MEP). Mathematics 2022, 10, 104. [Google Scholar] [CrossRef]
- Van Harte, A.; Sleptchenko, A. On Markovian Multi-Class, Multi-Server Queueing. Queueing Syst. 2003, 43, 307–328. [Google Scholar] [CrossRef]
- Rasmi, K.; Jacob, M.J.; Rumyantsev, A.S.; Krishnamoorthy, A. A Multi-Server Heterogeneous Queuing-Inventory System with Class-Dependent Inventory Access. Mathematics 2021, 9, 1037. [Google Scholar] [CrossRef]
- Krishnamoorthy, A.; Manikandan, R.; Shaji, D. Analysis of a Multi-server Queueing-Inventory System. Adv. Oper. Res. 2015, 2015, 747328. [Google Scholar]
- Becerra, P.; Mula, J.; Sanchis, R. Sustainable Inventory Management in Supply Chains: Trends and Further Research. Sustainability 2022, 14, 2613. [Google Scholar] [CrossRef]
- Slama, I.; Ben-Ammar, O.; Thevenin, S.; Dolgui, A.; Masmoudi, F. Stochastic program for disassembly lot-sizing under uncertain component refurbishing lead times. Eur. J. Oper. Res. 2022, in press. [Google Scholar] [CrossRef]
- Jauhari, W.A.; Wangsa, I.D. A Manufacturer-Retailer Inventory Model with Remanufacturing, Stochastic Demand, and Green Investments. Process. Integr. Optim. Sustain. 2022, 1–21. [Google Scholar] [CrossRef]
- Latouche, G.; Ramaswami, V. Introduction to Matrix Analytic Methods in Stochastic Modeling; SIAM: Philadelphia, PA, USA, 1999. [Google Scholar]
- Latouche, G.; Ramaswami, V. A logarithmic reduction algorithm for quasi-birth-death processes. J. Appl. Probab. 1993, 30, 650–674. [Google Scholar] [CrossRef]














| 0.02 | 0.4 | 0.3 | 0.3 | 2.5 | 0.963864 | 0.611457 | 0.458592 | 0.458592 | 0.388543 |
| 2.8 | 0.963943 | 0.684484 | 0.513363 | 0.513363 | 0.388854 | ||||
| 3.1 | 0.964008 | 0.757510 | 0.568132 | 0.568132 | 0.389105 | ||||
| 0.4 | 0.2 | 2.5 | 0.963059 | 0.733650 | 0.733650 | 0.366825 | 0.26635 | ||
| 2.8 | 0.963156 | 0.821505 | 0.821505 | 0.410752 | 0.266514 | ||||
| 3.1 | 0.963234 | 0.909359 | 0.909359 | 0.454680 | 0.266646 | ||||
| 0.5 | 0.3 | 0.2 | 2.5 | 0.966208 | 0.865863 | 0.519518 | 0.346345 | 0.307309 | |
| 2.8 | 0.966324 | 0.969414 | 0.581649 | 0.387766 | 0.307561 | ||||
| 3.1 | 0.966418 | 1.072964 | 0.643779 | 0.429186 | 0.307765 | ||||
| 0.4 | 0.1 | 2.5 | 0.951715 | 0.995803 | 0.796642 | 0.199161 | 0.203358 | ||
| 2.8 | 0.951819 | 1.115138 | 0.892111 | 0.223028 | 0.203473 | ||||
| 3.1 | 0.951903 | 1.234473 | 0.987578 | 0.246895 | 0.203566 | ||||
| 0.05 | 0.4 | 0.3 | 0.3 | 2.5 | 0.982526 | 0.893242 | 0.669932 | 0.669932 | 0.106758 |
| 2.8 | 0.982736 | 1.000199 | 0.750149 | 0.750149 | 0.106965 | ||||
| 3.1 | 0.982906 | 1.107155 | 0.830366 | 0.830366 | 0.107133 | ||||
| 0.4 | 0.2 | 2.5 | 0.966112 | 0.935305 | 0.935305 | 0.467652 | 0.064695 | ||
| 2.8 | 0.966270 | 1.047433 | 1.047433 | 0.523716 | 0.064792 | ||||
| 3.1 | 0.966398 | 1.159560 | 1.159560 | 0.579780 | 0.064871 | ||||
| 0.5 | 0.3 | 0.2 | 2.5 | 0.971655 | 1.151891 | 0.691135 | 0.460756 | 0.078487 | |
| 2.8 | 0.971866 | 1.289898 | 0.773939 | 0.515959 | 0.078645 | ||||
| 3.1 | 0.972036 | 1.427903 | 0.856742 | 0.571161 | 0.078772 | ||||
| 0.4 | 0.1 | 2.5 | 0.956308 | 1.195612 | 0.956490 | 0.239122 | 0.04351 | ||
| 2.8 | 0.956462 | 1.339005 | 1.071204 | 0.267801 | 0.043568 | ||||
| 3.1 | 0.956587 | 1.482398 | 1.185918 | 0.296480 | 0.043614 | ||||
| 0.08 | 0.4 | 0.3 | 0.3 | 2.5 | 0.983992 | 0.941741 | 0.706306 | 0.706306 | 0.058259 |
| 2.8 | 0.984222 | 1.054541 | 0.790906 | 0.790906 | 0.058445 | ||||
| 3.1 | 0.984409 | 1.167340 | 0.875505 | 0.875505 | 0.058596 | ||||
| 0.4 | 0.2 | 2.5 | 0.973038 | 0.966402 | 0.966402 | 0.483201 | 0.033598 | ||
| 2.8 | 0.973210 | 1.082275 | 1.082275 | 0.541137 | 0.033683 | ||||
| 3.1 | 0.973349 | 1.198146 | 1.198146 | 0.599073 | 0.033753 | ||||
| 0.5 | 0.3 | 0.2 | 2.5 | 0.976472 | 1.197981 | 0.718789 | 0.479193 | 0.041615 | |
| 2.8 | 0.976702 | 1.341544 | 0.804926 | 0.536618 | 0.041754 | ||||
| 3.1 | 0.976888 | 1.485105 | 0.891063 | 0.594042 | 0.041868 | ||||
| 0.4 | 0.1 | 2.5 | 0.966819 | 1.223582 | 0.978865 | 0.244716 | 0.021135 | ||
| 2.8 | 0.966989 | 1.370343 | 1.096275 | 0.274069 | 0.021183 | ||||
| 3.1 | 0.967125 | 1.517105 | 1.213684 | 0.303421 | 0.021223 |
| 1 | 2.5 | 0.2 | 1.069820 | 1.245375 | 1.329015 | 1.572298 | 1.812185 | 1.944769 |
| 0.4 | 1.270535 | 1.389019 | 1.427365 | 1.360707 | 1.498965 | 1.577249 | ||
| 0.6 | 1.377906 | 1.443120 | 1.462050 | 0.977132 | 1.059310 | 1.118390 | ||
| 2.8 | 0.2 | 1.068205 | 1.243361 | 1.327096 | 1.756267 | 2.019233 | 2.162050 | |
| 0.4 | 1.269631 | 1.388214 | 1.426629 | 1.519199 | 1.668268 | 1.750071 | ||
| 0.6 | 1.377481 | 1.442759 | 1.461722 | 1.089535 | 1.175675 | 1.235914 | ||
| 3.1 | 0.2 | 1.066895 | 1.241715 | 1.325517 | 1.940227 | 2.226255 | 2.379294 | |
| 0.4 | 1.268897 | 1.387555 | 1.426024 | 1.677687 | 1.837563 | 1.922880 | ||
| 0.6 | 1.377135 | 1.442463 | 1.461452 | 1.201936 | 1.292037 | 1.353434 | ||
| 1.2 | 2.5 | 0.2 | 1.068865 | 1.244698 | 1.328570 | 1.571344 | 1.811443 | 1.944249 |
| 0.4 | 1.269938 | 1.388746 | 1.427194 | 1.360228 | 1.498724 | 1.577086 | ||
| 0.6 | 1.377606 | 1.442992 | 1.461969 | 0.976958 | 1.059223 | 1.118327 | ||
| 2.8 | 0.2 | 1.067245 | 1.242680 | 1.326647 | 1.755200 | 2.018405 | 2.161472 | |
| 0.4 | 1.269033 | 1.387939 | 1.426457 | 1.518666 | 1.668002 | 1.749892 | ||
| 0.6 | 1.377180 | 1.442629 | 1.461641 | 1.089343 | 1.175580 | 1.235846 | ||
| 3.1 | 0.2 | 1.065931 | 1.241029 | 1.325063 | 1.939046 | 2.225342 | 2.378659 | |
| 0.4 | 1.268296 | 1.387278 | 1.425850 | 1.677099 | 1.837272 | 1.922685 | ||
| 0.6 | 1.376834 | 1.442333 | 1.461370 | 1.201726 | 1.291935 | 1.353362 | ||
| 1.4 | 2.5 | 0.2 | 1.068181 | 1.244214 | 1.328252 | 1.570661 | 1.810911 | 1.943876 |
| 0.4 | 1.269512 | 1.388550 | 1.427072 | 1.359886 | 1.498552 | 1.576970 | ||
| 0.6 | 1.377392 | 1.442900 | 1.461912 | 0.976834 | 1.059161 | 1.118282 | ||
| 2.8 | 0.2 | 1.066558 | 1.242191 | 1.326324 | 1.754435 | 2.017812 | 2.161058 | |
| 0.4 | 1.268604 | 1.387741 | 1.426334 | 1.518285 | 1.667812 | 1.749763 | ||
| 0.6 | 1.376965 | 1.442537 | 1.461582 | 1.089206 | 1.175512 | 1.235798 | ||
| 3.1 | 0.2 | 1.065241 | 1.240538 | 1.324738 | 1.938199 | 2.224687 | 2.378203 | |
| 0.4 | 1.267867 | 1.387079 | 1.425725 | 1.676679 | 1.837063 | 1.922545 | ||
| 0.6 | 1.376618 | 1.442240 | 1.461311 | 1.201576 | 1.291861 | 1.353310 | ||
| 3.5 | 2.3 | 2.4 | 1.5 | 1.8 | 14.3814 | 14.4014 | 14.6691 | 14.7118 | 13.7803 | 13.7960 | 14.7620 | 14.7867 |
| 2 | 14.3742 | 14.3939 | 14.6546 | 14.6938 | 13.7749 | 13.7903 | 14.7531 | 14.7771 | ||||
| 1.8 | 1.8 | 14.3813 | 14.4013 | 14.6673 | 14.7099 | 13.7803 | 13.7960 | 14.7611 | 14.7859 | |||
| 2 | 14.3741 | 14.3938 | 14.6527 | 14.6920 | 13.7749 | 13.7902 | 14.7522 | 14.7762 | ||||
| 2.7 | 1.5 | 1.8 | 14.3724 | 14.3924 | 14.6621 | 14.7047 | 13.7715 | 13.7872 | 14.7535 | 14.7782 | ||
| 2 | 14.3652 | 14.3849 | 14.6476 | 14.6867 | 13.7661 | 13.7815 | 14.7447 | 14.7686 | ||||
| 1.8 | 1.8 | 14.3723 | 14.3923 | 14.6602 | 14.7028 | 13.7715 | 13.7872 | 14.7527 | 14.7774 | |||
| 2 | 14.3651 | 14.3848 | 14.6457 | 14.6849 | 13.7661 | 13.7814 | 14.7438 | 14.7677 | ||||
| 2.5 | 2.4 | 1.5 | 1.8 | 14.3844 | 14.4044 | 14.6683 | 14.7110 | 13.7833 | 13.7990 | 14.7626 | 14.7873 | |
| 2 | 14.3772 | 14.3969 | 14.6538 | 14.6930 | 13.7779 | 13.7933 | 14.7537 | 14.7777 | ||||
| 1.8 | 1.8 | 14.3843 | 14.4043 | 14.6664 | 14.7091 | 13.7832 | 13.7990 | 14.7617 | 14.7865 | |||
| 2 | 14.3771 | 14.3968 | 14.6519 | 14.6911 | 13.7779 | 13.7932 | 14.7528 | 14.7768 | ||||
| 2.7 | 1.5 | 1.8 | 14.3754 | 14.3953 | 14.6613 | 14.7039 | 13.7745 | 13.7902 | 14.7541 | 14.7788 | ||
| 2 | 14.3682 | 14.3878 | 14.6468 | 14.6859 | 13.7691 | 13.7844 | 14.7453 | 14.7692 | ||||
| 1.8 | 1.8 | 14.3753 | 14.3952 | 14.6594 | 14.7020 | 13.7744 | 13.7902 | 14.7533 | 14.7780 | |||
| 2 | 14.3681 | 14.3877 | 14.6449 | 14.6840 | 13.7691 | 13.7844 | 14.7444 | 14.7683 | ||||
| 3.5 | 2.3 | 2.4 | 1.5 | 1.8 | 14.3650 | 14.3849 | 14.6503 | 14.6929 | 13.7638 | 13.7796 | 14.7419 | 14.7666 |
| 2 | 14.3578 | 14.3774 | 14.6358 | 14.6750 | 13.7584 | 13.7738 | 14.7330 | 14.7570 | ||||
| 1.8 | 1.8 | 14.3649 | 14.3848 | 14.6484 | 14.6911 | 13.7638 | 13.7795 | 14.7410 | 14.7657 | |||
| 2 | 14.3576 | 14.3773 | 14.6339 | 14.6731 | 13.7584 | 13.7738 | 14.7321 | 14.7561 | ||||
| 2.7 | 1.5 | 1.8 | 14.3560 | 14.3759 | 14.6432 | 14.6858 | 13.7550 | 13.7708 | 14.7334 | 14.7581 | ||
| 2 | 14.3488 | 14.3684 | 14.6287 | 14.6679 | 13.7496 | 13.7650 | 14.7245 | 14.7485 | ||||
| 1.8 | 1.8 | 14.3558 | 14.3758 | 14.6413 | 14.6839 | 13.7550 | 13.7707 | 14.7325 | 14.7572 | |||
| 2 | 14.3486 | 14.3683 | 14.6268 | 14.6660 | 13.7496 | 13.7650 | 14.7236 | 14.7476 | ||||
| 2.5 | 2.4 | 1.5 | 1.8 | 14.3679 | 14.3879 | 14.6494 | 14.6921 | 13.7668 | 13.7825 | 14.7425 | 14.7672 | |
| 2 | 14.3607 | 14.3804 | 14.6349 | 14.6741 | 13.7614 | 13.7768 | 14.7336 | 14.7576 | ||||
| 1.8 | 1.8 | 14.3678 | 14.3878 | 14.6475 | 14.6902 | 13.7668 | 13.7825 | 14.7416 | 14.7663 | |||
| 2 | 14.3606 | 14.3803 | 14.6330 | 14.6722 | 13.7614 | 13.7768 | 14.7327 | 14.7567 | ||||
| 2.7 | 1.5 | 1.8 | 14.3589 | 14.3789 | 14.6424 | 14.6850 | 13.7580 | 13.7737 | 14.7340 | 14.7587 | ||
| 2 | 14.3517 | 14.3714 | 14.6279 | 14.6670 | 13.7526 | 13.7680 | 14.7251 | 14.7491 | ||||
| 1.8 | 1.8 | 14.3588 | 14.3788 | 14.6405 | 14.6831 | 13.7580 | 13.7737 | 14.7331 | 14.7578 | |||
| 2 | 14.3516 | 14.3713 | 14.6260 | 14.6652 | 13.7526 | 13.7679 | 14.7242 | 14.7482 | ||||
| 3.5 | 2.3 | 2.4 | 1.5 | 1.8 | 15.4725 | 15.4925 | 15.7625 | 15.8051 | 14.8714 | 14.8871 | 15.8565 | 15.8812 |
| 2 | 15.4653 | 15.4850 | 15.7479 | 15.7871 | 14.8660 | 14.8813 | 15.8476 | 15.8716 | ||||
| 1.8 | 1.8 | 15.4724 | 15.4924 | 15.7606 | 15.8032 | 14.8713 | 14.8871 | 15.8556 | 15.8804 | |||
| 2 | 15.4652 | 15.4848 | 15.7460 | 15.7853 | 14.8659 | 14.8813 | 15.8467 | 15.8707 | ||||
| 2.7 | 1.5 | 1.8 | 15.4635 | 15.4834 | 15.7554 | 15.7980 | 14.8626 | 14.8783 | 15.8480 | 15.8727 | ||
| 2 | 15.4563 | 15.4759 | 15.7409 | 15.7800 | 14.8572 | 14.8725 | 15.8391 | 15.8631 | ||||
| 1.8 | 1.8 | 15.4634 | 15.4833 | 15.7535 | 15.7961 | 14.8625 | 14.8783 | 15.8471 | 15.8719 | |||
| 2 | 15.4562 | 15.4758 | 15.7390 | 15.7782 | 14.8571 | 14.8725 | 15.8382 | 15.8622 | ||||
| 2.5 | 2.4 | 1.5 | 1.8 | 15.4755 | 15.4954 | 15.7616 | 15.8043 | 14.8743 | 14.8901 | 15.8571 | 15.8818 | |
| 2 | 15.4683 | 15.4879 | 15.7471 | 15.7863 | 14.8690 | 14.8843 | 15.8482 | 15.8722 | ||||
| 1.8 | 1.8 | 15.4753 | 15.4953 | 15.7597 | 15.8024 | 14.8743 | 14.8900 | 15.8562 | 15.8810 | |||
| 2 | 15.4681 | 15.4878 | 15.7452 | 15.7844 | 14.8689 | 14.8843 | 15.8473 | 15.8713 | ||||
| 2.7 | 1.5 | 1.8 | 15.4664 | 15.4864 | 15.7546 | 15.7972 | 14.8655 | 14.8813 | 15.8486 | 15.8733 | ||
| 2 | 15.4592 | 15.4789 | 15.7401 | 15.7792 | 14.8602 | 14.8755 | 15.8397 | 15.8637 | ||||
| 1.8 | 1.8 | 15.4663 | 15.4863 | 15.7527 | 15.7953 | 14.8655 | 14.8812 | 15.8477 | 15.8725 | |||
| 2 | 15.4591 | 15.4788 | 15.7382 | 15.7773 | 14.8601 | 14.8755 | 15.8389 | 15.8628 | ||||
| 3.5 | 2.3 | 2.4 | 1.5 | 1.8 | 15.3930 | 15.4130 | 15.6799 | 15.7226 | 14.7919 | 14.8076 | 15.7724 | 15.7971 |
| 2 | 15.3858 | 15.4055 | 15.6654 | 15.7046 | 14.7865 | 14.8019 | 15.7635 | 15.7875 | ||||
| 1.8 | 1.8 | 15.3929 | 15.4129 | 15.6780 | 15.7207 | 14.7918 | 14.8076 | 15.7715 | 15.7963 | |||
| 2 | 15.3857 | 15.4054 | 15.6635 | 15.7027 | 14.7864 | 14.8018 | 15.7626 | 15.7866 | ||||
| 2.7 | 1.5 | 1.8 | 15.3840 | 15.4040 | 15.6729 | 15.7155 | 14.7831 | 14.7988 | 15.7639 | 15.7886 | ||
| 2 | 15.3768 | 15.3964 | 15.6584 | 15.6975 | 14.7777 | 14.7930 | 15.7550 | 15.7790 | ||||
| 1.8 | 1.8 | 15.3839 | 15.4038 | 15.6710 | 15.7136 | 14.7830 | 14.7988 | 15.7630 | 15.7877 | |||
| 2 | 15.3767 | 15.3963 | 15.6565 | 15.6956 | 14.7776 | 14.7930 | 15.7541 | 15.7781 | ||||
| 2.5 | 2.4 | 1.5 | 1.8 | 15.3960 | 15.4160 | 15.6791 | 15.7218 | 14.7949 | 14.8106 | 15.7730 | 15.7977 | |
| 2 | 15.3888 | 15.4085 | 15.6646 | 15.7038 | 14.7895 | 14.8048 | 15.7641 | 15.7881 | ||||
| 1.8 | 1.8 | 15.3959 | 15.4159 | 15.6772 | 15.7199 | 14.7948 | 14.8106 | 15.7721 | 15.7969 | |||
| 2 | 15.3887 | 15.4083 | 15.6627 | 15.7019 | 14.7894 | 14.8048 | 15.7632 | 15.7872 | ||||
| 2.7 | 1.5 | 1.8 | 15.3870 | 15.4069 | 15.6721 | 15.7146 | 14.7861 | 14.8018 | 15.7645 | 15.7892 | ||
| 2 | 15.3798 | 15.3994 | 15.6576 | 15.6967 | 14.7807 | 14.7960 | 15.7556 | 15.7796 | ||||
| 1.8 | 1.8 | 15.3869 | 15.4068 | 15.6702 | 15.7128 | 14.7860 | 14.8017 | 15.7636 | 15.7883 | |||
| 2 | 15.3797 | 15.3993 | 15.6557 | 15.6948 | 14.7806 | 14.7960 | 15.7547 | 15.7787 | ||||
| 5 | 4 | 5 | 5 | 5 | 12.942 | 13.138 | 13.037 | 13.233 | 12.942 | 13.138 | 13.037 | 13.233 |
| 10 | 13.828 | 14.025 | 13.923 | 14.120 | 13.828 | 14.025 | 13.923 | 14.120 | ||||
| 7 | 5 | 13.528 | 13.725 | 13.623 | 13.820 | 13.528 | 13.725 | 13.623 | 13.820 | |||
| 10 | 14.415 | 14.612 | 14.510 | 14.707 | 14.415 | 14.612 | 14.510 | 14.707 | ||||
| 6 | 5 | 5 | 13.894 | 14.090 | 13.989 | 14.185 | 13.894 | 14.090 | 13.989 | 14.185 | ||
| 10 | 14.780 | 14.977 | 14.875 | 15.072 | 14.780 | 14.977 | 14.875 | 15.072 | ||||
| 7 | 5 | 14.481 | 14.677 | 14.576 | 14.772 | 14.481 | 14.677 | 14.576 | 14.772 | |||
| 10 | 15.367 | 15.564 | 15.462 | 15.659 | 15.367 | 15.564 | 15.462 | 15.659 | ||||
| 6 | 5 | 5 | 5 | 14.965 | 15.161 | 15.060 | 15.256 | 14.965 | 15.161 | 15.060 | 15.256 | |
| 10 | 15.852 | 16.048 | 15.947 | 16.143 | 15.852 | 16.048 | 15.947 | 16.143 | ||||
| 7 | 5 | 15.552 | 15.748 | 15.647 | 15.843 | 15.552 | 15.748 | 15.647 | 15.843 | |||
| 10 | 16.438 | 16.635 | 16.533 | 16.730 | 16.438 | 16.635 | 16.533 | 16.730 | ||||
| 6 | 5 | 5 | 15.917 | 16.114 | 16.012 | 16.209 | 15.917 | 16.114 | 16.012 | 16.209 | ||
| 10 | 16.804 | 17.000 | 16.899 | 17.095 | 16.804 | 17.000 | 16.899 | 17.095 | ||||
| 7 | 5 | 16.504 | 16.701 | 16.599 | 16.796 | 16.504 | 16.701 | 16.599 | 16.796 | |||
| 10 | 17.391 | 17.587 | 17.486 | 17.682 | 17.391 | 17.587 | 17.486 | 17.682 | ||||
| 7 | 4 | 5 | 5 | 5 | 13.280 | 13.477 | 13.375 | 13.572 | 13.280 | 13.477 | 13.375 | 13.572 |
| 10 | 14.167 | 14.363 | 14.262 | 14.458 | 14.167 | 14.363 | 14.262 | 14.458 | ||||
| 7 | 5 | 13.867 | 14.063 | 13.962 | 14.159 | 13.867 | 14.063 | 13.962 | 14.159 | |||
| 10 | 14.754 | 14.950 | 14.849 | 15.045 | 14.754 | 14.950 | 14.849 | 15.045 | ||||
| 6 | 5 | 5 | 14.232 | 14.429 | 14.327 | 14.524 | 14.232 | 14.429 | 14.327 | 14.524 | ||
| 10 | 15.119 | 15.315 | 15.214 | 15.410 | 15.119 | 15.315 | 15.214 | 15.410 | ||||
| 7 | 5 | 14.819 | 15.016 | 14.914 | 15.111 | 14.819 | 15.016 | 14.914 | 15.111 | |||
| 10 | 15.706 | 15.902 | 15.801 | 15.997 | 15.706 | 15.902 | 15.801 | 15.997 | ||||
| 6 | 5 | 5 | 5 | 15.303 | 15.500 | 15.398 | 15.595 | 15.303 | 15.500 | 15.398 | 15.595 | |
| 10 | 16.190 | 16.387 | 16.285 | 16.482 | 16.190 | 16.387 | 16.285 | 16.482 | ||||
| 7 | 5 | 15.890 | 16.087 | 15.985 | 16.182 | 15.890 | 16.087 | 15.985 | 16.182 | |||
| 10 | 16.777 | 16.974 | 16.872 | 17.069 | 16.777 | 16.974 | 16.872 | 17.069 | ||||
| 6 | 5 | 5 | 16.256 | 16.452 | 16.351 | 16.547 | 16.256 | 16.452 | 16.351 | 16.547 | ||
| 10 | 17.142 | 17.339 | 17.237 | 17.434 | 17.142 | 17.339 | 17.237 | 17.434 | ||||
| 7 | 5 | 16.842 | 17.039 | 16.938 | 17.134 | 16.843 | 17.039 | 16.938 | 17.134 | |||
| 10 | 17.729 | 17.926 | 17.824 | 18.021 | 17.729 | 17.926 | 17.824 | 18.021 | ||||
| 0.5 | 0.2 | 0.2 | 0.1 | 5 | 13.953 | 14.150 | 14.048 | 14.245 | 13.953 | 14.150 | 14.048 | 14.245 |
| 10 | 14.840 | 15.036 | 14.935 | 15.131 | 14.840 | 15.036 | 14.935 | 15.131 | ||||
| 0.3 | 5 | 13.971 | 14.167 | 14.066 | 14.262 | 13.971 | 14.167 | 14.066 | 14.262 | |||
| 10 | 14.858 | 15.054 | 14.953 | 15.149 | 14.858 | 15.054 | 14.953 | 15.149 | ||||
| 0.4 | 0.1 | 5 | 14.032 | 14.228 | 14.127 | 14.323 | 14.032 | 14.228 | 14.127 | 14.323 | ||
| 10 | 14.918 | 15.115 | 15.013 | 15.210 | 14.918 | 15.115 | 15.013 | 15.210 | ||||
| 0.3 | 5 | 14.049 | 14.246 | 14.144 | 14.341 | 14.049 | 14.246 | 14.144 | 14.341 | |||
| 10 | 14.936 | 15.133 | 15.031 | 15.228 | 14.936 | 15.133 | 15.031 | 15.228 | ||||
| 0.4 | 0.2 | 0.1 | 5 | 13.986 | 14.183 | 14.081 | 14.278 | 13.986 | 14.183 | 14.081 | 14.278 | |
| 10 | 14.873 | 15.069 | 14.968 | 15.164 | 14.873 | 15.069 | 14.968 | 15.164 | ||||
| 0.3 | 5 | 14.004 | 14.200 | 14.099 | 14.295 | 14.004 | 14.200 | 14.099 | 14.295 | |||
| 10 | 14.890 | 15.087 | 14.985 | 15.182 | 14.890 | 15.087 | 14.985 | 15.182 | ||||
| 0.4 | 0.1 | 5 | 14.065 | 14.261 | 14.160 | 14.356 | 14.065 | 14.261 | 14.160 | 14.356 | ||
| 10 | 14.951 | 15.148 | 15.046 | 15.243 | 14.951 | 15.148 | 15.046 | 15.243 | ||||
| 0.3 | 5 | 14.082 | 14.279 | 14.177 | 14.374 | 14.082 | 14.279 | 14.177 | 14.374 | |||
| 10 | 14.969 | 15.166 | 15.064 | 15.261 | 14.969 | 15.166 | 15.064 | 15.261 | ||||
| 0.4 | 0.2 | 0.2 | 0.1 | 5 | 14.163 | 14.360 | 14.258 | 14.455 | 14.163 | 14.360 | 14.258 | 14.455 |
| 10 | 15.050 | 15.246 | 15.145 | 15.341 | 15.050 | 15.246 | 15.145 | 15.341 | ||||
| 0.3 | 5 | 14.181 | 14.377 | 14.276 | 14.472 | 14.181 | 14.377 | 14.276 | 14.472 | |||
| 10 | 15.068 | 15.264 | 15.163 | 15.359 | 15.068 | 15.264 | 15.163 | 15.359 | ||||
| 0.4 | 0.1 | 5 | 14.242 | 14.438 | 14.337 | 14.533 | 14.242 | 14.438 | 14.337 | 14.533 | ||
| 10 | 15.128 | 15.325 | 15.223 | 15.420 | 15.128 | 15.325 | 15.223 | 15.420 | ||||
| 0.3 | 5 | 14.259 | 14.456 | 14.354 | 14.551 | 14.259 | 14.456 | 14.354 | 14.551 | |||
| 10 | 15.146 | 15.343 | 15.241 | 15.438 | 15.146 | 15.343 | 15.241 | 15.438 | ||||
| 0.7 | 0.2 | 0.1 | 5 | 14.196 | 14.393 | 14.291 | 14.488 | 14.196 | 14.393 | 14.291 | 14.488 | |
| 10 | 15.083 | 15.279 | 15.178 | 15.374 | 15.083 | 15.279 | 15.178 | 15.374 | ||||
| 0.3 | 5 | 14.214 | 14.410 | 14.309 | 14.505 | 14.214 | 14.410 | 14.309 | 14.505 | |||
| 10 | 15.100 | 15.297 | 15.195 | 15.392 | 15.100 | 15.297 | 15.195 | 15.392 | ||||
| 0.4 | 0.1 | 5 | 14.275 | 14.471 | 14.370 | 14.566 | 14.275 | 14.471 | 14.370 | 14.566 | ||
| 10 | 15.161 | 15.358 | 15.256 | 15.453 | 15.161 | 15.358 | 15.256 | 15.453 | ||||
| 0.3 | 5 | 14.292 | 14.489 | 14.387 | 14.584 | 14.292 | 14.489 | 14.387 | 14.584 | |||
| 10 | 15.179 | 15.376 | 15.274 | 15.471 | 15.179 | 15.376 | 15.274 | 15.471 | ||||
Publisher’s Note: MDPI stays neutral with regard to jurisdictional claims in published maps and institutional affiliations. |
© 2022 by the authors. Licensee MDPI, Basel, Switzerland. This article is an open access article distributed under the terms and conditions of the Creative Commons Attribution (CC BY) license (https://creativecommons.org/licenses/by/4.0/).
Share and Cite
Jeganathan, K.; Selvakumar, S.; Saravanan, S.; Anbazhagan, N.; Amutha, S.; Cho, W.; Joshi, G.P.; Ryoo, J. Performance of Stochastic Inventory System with a Fresh Item, Returned Item, Refurbished Item, and Multi-Class Customers. Mathematics 2022, 10, 1137. https://doi.org/10.3390/math10071137
Jeganathan K, Selvakumar S, Saravanan S, Anbazhagan N, Amutha S, Cho W, Joshi GP, Ryoo J. Performance of Stochastic Inventory System with a Fresh Item, Returned Item, Refurbished Item, and Multi-Class Customers. Mathematics. 2022; 10(7):1137. https://doi.org/10.3390/math10071137
Chicago/Turabian StyleJeganathan, K., S. Selvakumar, S. Saravanan, N. Anbazhagan, S. Amutha, Woong Cho, Gyanendra Prasad Joshi, and Joohan Ryoo. 2022. "Performance of Stochastic Inventory System with a Fresh Item, Returned Item, Refurbished Item, and Multi-Class Customers" Mathematics 10, no. 7: 1137. https://doi.org/10.3390/math10071137
APA StyleJeganathan, K., Selvakumar, S., Saravanan, S., Anbazhagan, N., Amutha, S., Cho, W., Joshi, G. P., & Ryoo, J. (2022). Performance of Stochastic Inventory System with a Fresh Item, Returned Item, Refurbished Item, and Multi-Class Customers. Mathematics, 10(7), 1137. https://doi.org/10.3390/math10071137

