Fractional Diffusion with Geometric Constraints: Application to Signal Decay in Magnetic Resonance Imaging (MRI)
Abstract
:1. Introduction
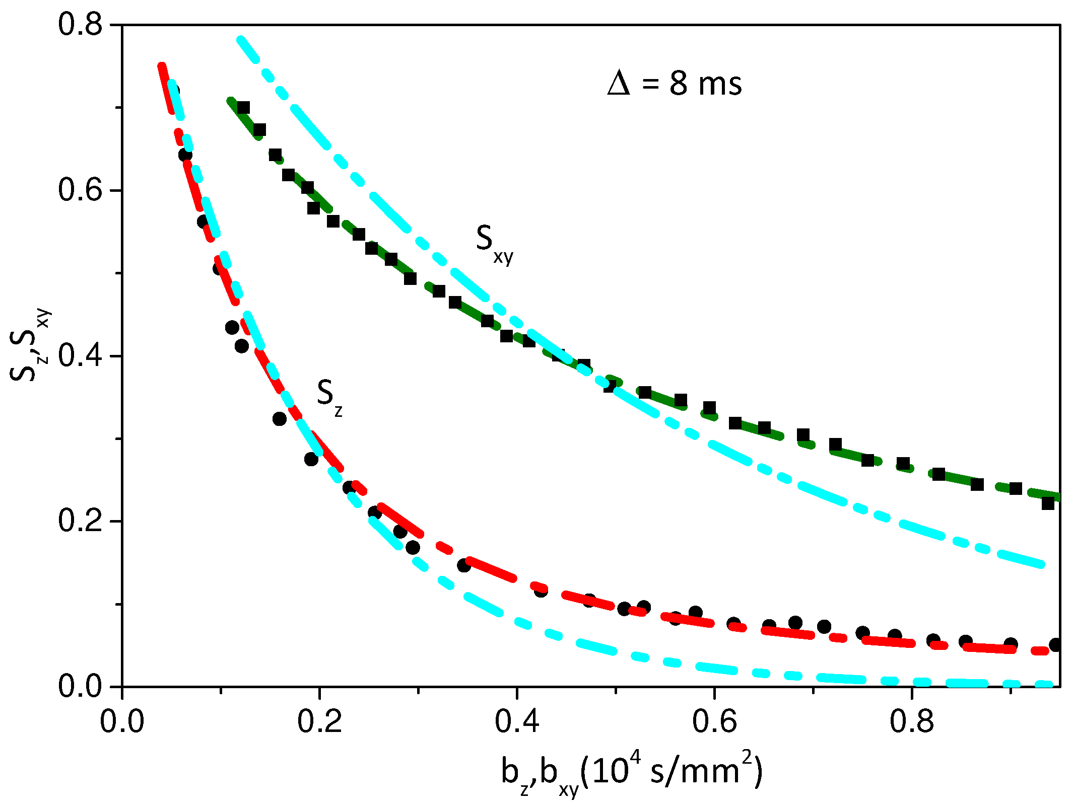
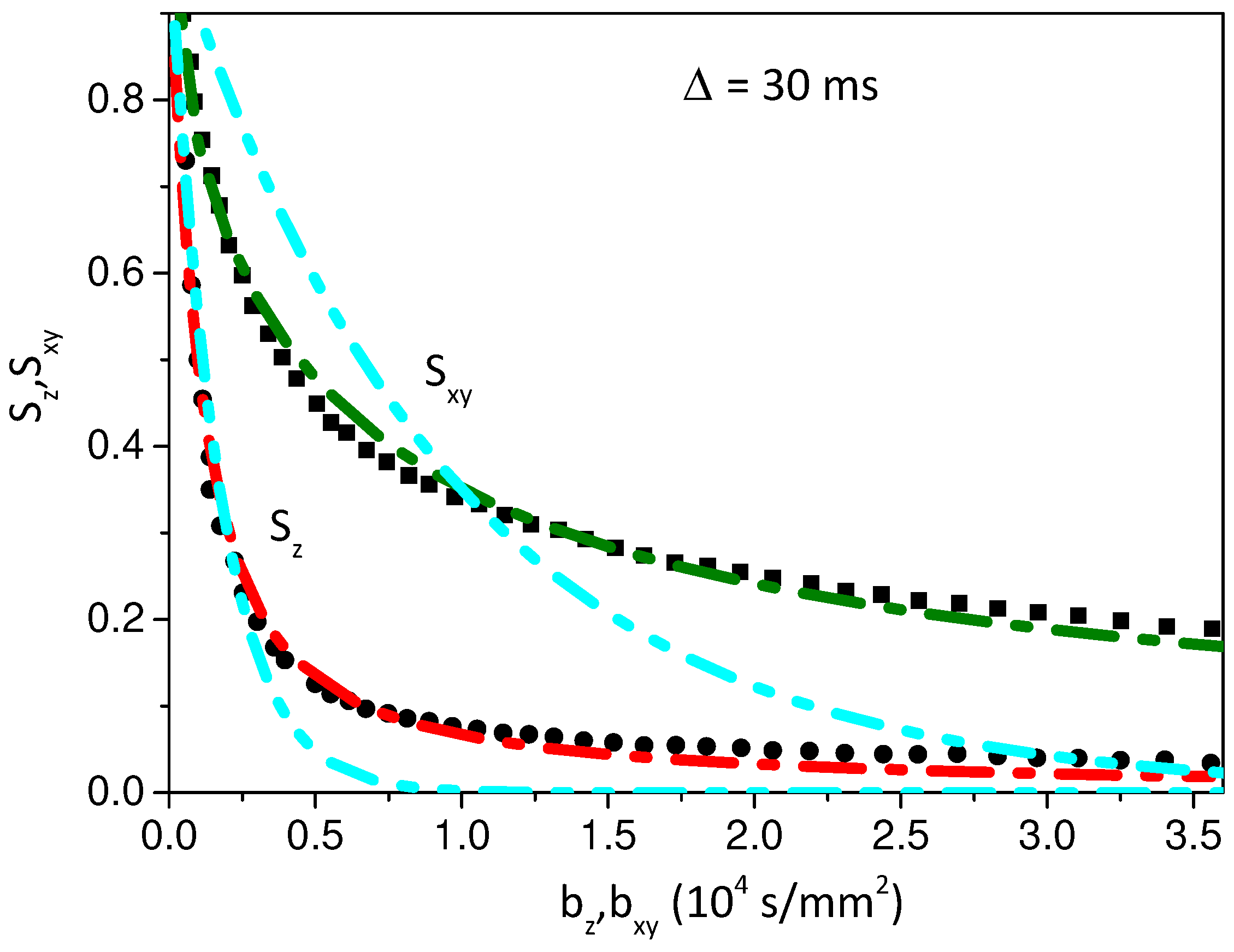
2. The Mathematical Problem and Experimental Data
3. Discussion and Conclusions
Supplementary Materials
Author Contributions
Funding
Institutional Review Board Statement
Informed Consent Statement
Acknowledgments
Conflicts of Interest
References
- Crank, J. The Mathematics of Diffusion; Oxford Science Publications, Clarendon Press: Oxford, UK, 1979. [Google Scholar]
- Pekalski, A. Diffusion Processes: Experiment, Theory, Simulations; Springer: Berlin/Heidelberg, Germany, 1994. [Google Scholar]
- Dattagupta, S. Diffusion: Formalism and Applications; CRC Press: Boca Raton, FL, USA, 2013. [Google Scholar]
- Malmgren, S.; Green, S.V.; Niklasson, G.A. Anomalous diffusion of ions in electrochromic tungsten oxide films. Electrochim. Acta 2017, 247, 252–257. [Google Scholar] [CrossRef] [Green Version]
- Song, J.-J.; Bhattacharya, R.; Kim, H.; Chang, J.; Tang, T.-Y.; Guo, H.; Ghosh, S.K.; Yang, Y.; Jiang, Z.; Kim, H.; et al. One-dimensional anomalous diffusion of gold nanoparticles in a polymer melt. Phys. Rev. Lett. 2019, 122, 107802. [Google Scholar] [CrossRef] [Green Version]
- Yurchenko, I.; Basso, J.M.V.; Syrotenko, V.S.; Staii, C. Anomalous diffusion for neuronal growth on surfaces with controlled geometries. PLoS ONE 2019, 14, e0216181. [Google Scholar]
- Weiss, M.; Hashimoto, H.; Nilsson, T. Anomalous protein diffusion in living cells as seen by fluorescence correlation spectroscopy. Biophys. J. 2003, 84, P4043–P4052. [Google Scholar] [CrossRef] [Green Version]
- Gal, N.; Weihs, D. Experimental evidence of strong anomalous diffusion in living cells. Phys. Rev. E 2010, 81, 020903. [Google Scholar] [CrossRef]
- Magin, R.L.; Lenzi, E.K. Slices of the Anomalous Phase Cube Depict Regions of Sub- and Super-Diffusion in the Fractional Diffusion Equation. Mathematics 2021, 9, 1481. [Google Scholar] [CrossRef]
- Havlin, S.; ben Avraham, D. Diffusion and Reactions in Fractals and Disordered Systems; CUP: Cambridge, UK, 2000. [Google Scholar]
- Mandelbrot, B.B. The Fractal Geometry of Nature; W. H. Freeman and Company: New York, NY, USA, 1982. [Google Scholar]
- Bunde, A.; Havlin, S.; Stanley, H.E.; Trus, B.; Weiss, G.H. Diffusion in random structures with a topological bias. Phys. Rev. B. 1986, 34, 8129–8132. [Google Scholar] [CrossRef]
- Liang, Y.; Wang, S.; Chen, W.; Zhou, Z.; Magin, R.L. A survey of models of ultraslow diffusion in heterogeneous materials. Appl. Mech. Rev. 2019, 71, 040802. [Google Scholar] [CrossRef]
- White, S.R.; Barma, M. Field-induced drift and trapping in percolation networks. J. Phys. A Math. Gen. 1984, 17, 2995–3008. [Google Scholar] [CrossRef]
- Stanley, H.E. Cluster shapes at the percolation threshold: And effective cluster dimensionality and its connection with critical-point exponents. J. Phys. A Math. Gen. 1977, 10, L211–L220. [Google Scholar] [CrossRef] [Green Version]
- Méndez, V.; Iomin, A. Comb-like models for transport along spiny dendrites. Chaos Solitons Fractals 2013, 53, 46–51. [Google Scholar] [CrossRef] [Green Version]
- Iomin, A.; Méndez, V. Reaction-subdiffusion front propagation in a comblike model of spiny dendrites. Phys. Rev. E 2013, 88, 012706. [Google Scholar] [CrossRef] [Green Version]
- Haacke, E.M.; Brown, R.W.; Thompson, M.R.; Venkatesan, R. Magnetic Resonance Imaging: Physical Principles and Sequence Design; John Wiley & Sons: New York, NY, USA, 1999. [Google Scholar]
- Callaghan, P.T. Translational Dynamics & Magnetic Resonance: Principles of Pulsed Gradient Spin Echo NMR; Oxford University Press: Oxford, UK, 2011. [Google Scholar]
- Kimmich, R. NMR: Tomography, Diffusion, Relaxometry; Springer: Berlin/Heidelberg, Germany, 1997. [Google Scholar]
- Caporale, A.; Palombo, M.; Macaluso, E.; Guerreri, M.; Bozzali, M.; Capuani, S. The γ-parameter of anomalous diffusion quantified in human brain by MRI depends on local magnetic susceptibility differences. Neuroimage 2017, 147, 619–631. [Google Scholar] [CrossRef]
- Sandev, T.; Iomin, A.; Kantz, H.; Metzler, R.; Chechkin, A. Comb Model with Slow and Ultraslow Diffusion. Math. Model. Nat. Phenom. 2016, 11, 18–33. [Google Scholar] [CrossRef]
- Sandev, T.; Iomin, A.; Méndez, V. Lévy processes on a generalized fractal comb. J. Phys. A Math. Theor. 2016, 49, 355001. [Google Scholar] [CrossRef] [Green Version]
- Wang, Z.; Lin, P.; Wang, E. Modeling multiple anomalous diffusion behaviors on comb-like structures. Chaos Solitons Fractals 2021, 148, 111009. [Google Scholar] [CrossRef]
- Iomin, A. Anomalous diffusion in umbrella comb. Chaos Solitons Fractals 2021, 142, 110488. [Google Scholar] [CrossRef]
- Cakir, R.; Krokhin, A.; Grigolini, P. From the trajectory to the density memory. Chaos Solitons Fractals 2007, 34, 19–32. [Google Scholar] [CrossRef]
- Wyld, H.W. Mathematical Methods for Physics; Advanced Book Program; Perseus Books: New York, NY, USA, 1999. [Google Scholar]
- West, B.; Bologna, M.; Grigolini, P. Physics of Fractal Operators; Springer: Berlin/Heidelberg, Germany, 2003. [Google Scholar]
- Stanisz, G.J.; Szafer, A.; Wright, G.A.; Henkelman, R.M. An analytical model of restricted diffusion in bovine optic nerve. Magn. Reson. Med. 1997, 37, 103–111. [Google Scholar] [CrossRef]
- Magin, R.L.; Karani, H.; Wang, S.; Liang, Y. Fractional Order Complexity Model of the Diffusion Signal Decay in MRI. Mathematics 2019, 7, 348. [Google Scholar] [CrossRef] [Green Version]
- Magin, R.; Hall, M.G.; Karaman, M.M.; Vegh, V. Fractional Calculus Models of Magnetic Resonance Phenomena: Relaxation and Diffusion. Crit. Rev. Biomed. Eng. 2020, 48, 285–326. [Google Scholar] [CrossRef]
- Wang, S.; Liang, Y.; Magin, R.L. Non-exponential relaxation models of signal decay in magnetic resonance imaging. Commun. Nonlinear Sci. 2021, 102, 105928. [Google Scholar] [CrossRef]
- Magin, R.L. Models of diffusion signal decay in magnetic resonance imaging: Capturing complexity. Concepts Magn. Reson. Part A 2017, 45A, e21401. [Google Scholar] [CrossRef]
- Magin, R.L.; Karaman, M.M.; Hall, M.G.; Zhu, W.; Zhou, X.J. Capturing complexity of the diffusion-weighted MR signal decay. Magn. Reson. Imaging 2019, 56, 110–118. [Google Scholar] [CrossRef]





| Error | |||
|---|---|---|---|
| 30 | |||
| 20 | |||
| 10 | |||
| 8 |
Publisher’s Note: MDPI stays neutral with regard to jurisdictional claims in published maps and institutional affiliations. |
© 2022 by the authors. Licensee MDPI, Basel, Switzerland. This article is an open access article distributed under the terms and conditions of the Creative Commons Attribution (CC BY) license (https://creativecommons.org/licenses/by/4.0/).
Share and Cite
Lenzi, E.K.; Ribeiro, H.V.; Lenzi, M.K.; Evangelista, L.R.; Magin, R.L. Fractional Diffusion with Geometric Constraints: Application to Signal Decay in Magnetic Resonance Imaging (MRI). Mathematics 2022, 10, 389. https://doi.org/10.3390/math10030389
Lenzi EK, Ribeiro HV, Lenzi MK, Evangelista LR, Magin RL. Fractional Diffusion with Geometric Constraints: Application to Signal Decay in Magnetic Resonance Imaging (MRI). Mathematics. 2022; 10(3):389. https://doi.org/10.3390/math10030389
Chicago/Turabian StyleLenzi, Ervin K., Haroldo V. Ribeiro, Marcelo K. Lenzi, Luiz R. Evangelista, and Richard L. Magin. 2022. "Fractional Diffusion with Geometric Constraints: Application to Signal Decay in Magnetic Resonance Imaging (MRI)" Mathematics 10, no. 3: 389. https://doi.org/10.3390/math10030389
APA StyleLenzi, E. K., Ribeiro, H. V., Lenzi, M. K., Evangelista, L. R., & Magin, R. L. (2022). Fractional Diffusion with Geometric Constraints: Application to Signal Decay in Magnetic Resonance Imaging (MRI). Mathematics, 10(3), 389. https://doi.org/10.3390/math10030389

