Effect of Variable Thermal Conductivity and Magnetic Field for the Generated Photo-Thermal Waves on Microelongated Semiconductor
Abstract
1. Introduction
2. The Main Equations and Mathematical Model
- (I)
- (II)
- The equations for thermal waves and plasma waves are [28]:
- (III)
- (IV)
- According to the interplay of optical, thermal, elastic, and microelongation waves, the general version of the heat Equation is [23]:where denotes the coupling thermal activation parameter in the case of temperature change, and is the coefficient of the microelongational linear thermal expansions, is the microelongational thermal expansion, and and are two chosen constants. In Equation (7), the third component quantifies the heat produced by stress waves, whereas the second term on the right side characterizes the effect of heat generation by the sample’s carrier volume and surface de-excitations. The third and fourth terms in the elastic Equation (5), respectively, describe the source term and the effect of the thermal wave and plasma wave on the elastic wave. Equations (4) through (7) in the 2D deformations can be generally recast as [46]:
3. Analyze Harmonic Waves
4. Boundary Conditions
5. Validation
5.1. Generalized Microelongation Thermoelasticity Theory
5.2. The Generalized Theory of Photothermoelasticity
5.3. Different Magneto-Photo-Thermoelasticity Models for Microelongation
5.4. The Variable Thermal Conductivity
5.5. Influence of Electromagnetic Field
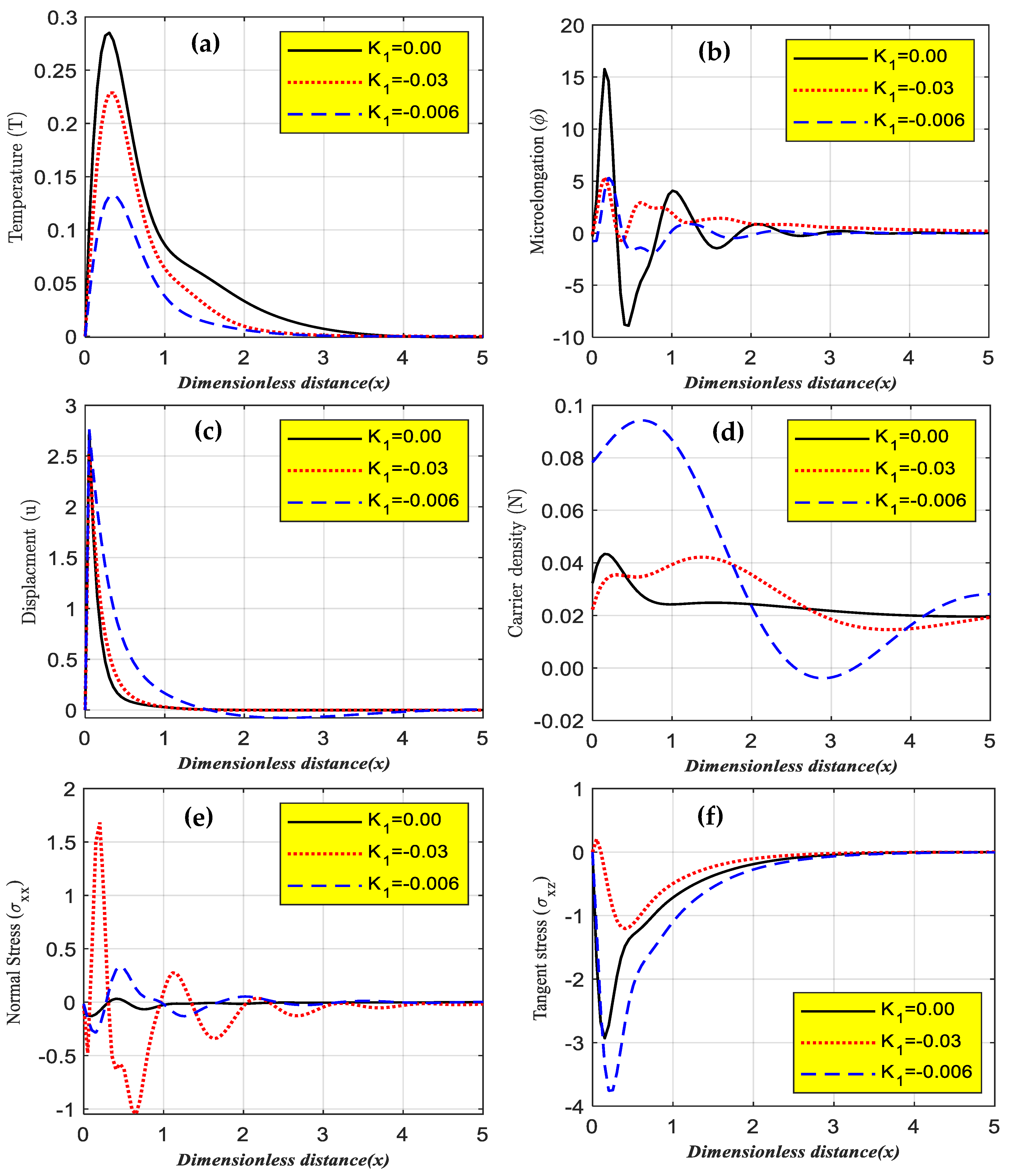
6. Discussion and Numerical Outcomes
7. Conclusions
Author Contributions
Funding
Institutional Review Board Statement
Informed Consent Statement
Data Availability Statement
Acknowledgments
Conflicts of Interest
Nomenclature
| Lame’s parameters (). | |
| Deformation potential difference (). | |
| Coefficient of ED () | |
| Reference temperature in its natural state () | |
| Volume thermal expansion (). | |
| Microelongational elastic stress () | |
| The density of the microelongated sample () | |
| Linear thermal expansion () | |
| Equilibrium carrier concentration | |
| Specific heat at constant strain () | |
| Thermal conductivity () | |
| Carrier diffusion coefficient () | |
| The lifetime of photogenerated carriers () | |
| Energy gap () | |
| Components of the strain tensor | |
| Microinertia of microelement () | |
| Microelongational material parameters (,, ,) | |
| Thermal relaxation times () | |
| Scalar microelongational function | |
| Components of the microstretch vector | |
| Stress tensor component () | |
| Kronecker delta | |
| Recombination velocities () |
References
- Ghini, M.; Curreli, N.; Camellini, A.; Wang, M.; Asaithambi, A.; Kriegel, I. Photodoping of metal oxide nanocrystals for multi-charge accumulation and light-driven energy storage. Nanoscale 2021, 13, 8773. [Google Scholar] [CrossRef] [PubMed]
- Almoneef, A.; El-Sapa, S.; Lotfy, K.; El-Bary, A.; Saeed, A. Laser Short-Pulse Effect on Thermodiffusion Waves of Fractional Heat Order for Excited Nonlocal Semiconductor. Adv. Condens. Matter. Phys. 2022, 2022, 1523059. [Google Scholar] [CrossRef]
- Singh, R.; Singh, R.R. Optical properties of ZnS quantum dots: Applications in solar cells and biomedicine. Biointerface Res. Appl. Chem. 2022, 13, 158–167. [Google Scholar]
- Li, J.-H.; Wu, J.; Yu, Y.-X. DFT exploration of sensor performances of two-dimensional WO3 to ten small gases in terms of work function and band gap changes and I–V responses. Appl. Surf. Sci. 2021, 546, 149104. [Google Scholar] [CrossRef]
- Amouami, E.I.; Perez, L.M.; Feddi, K.; El-Yadri, M.; Dujardin, F.; Suazo, M.J.; Laroze, D.; Courel, M.; Feddi, E. Influence of geometrical shape on the characteristic of the multiple InN/LnxGa1-xN quantum dot solar cells. Nanomaterials 2021, 11, 1317. [Google Scholar] [CrossRef] [PubMed]
- Eringen, A.C. Microcontinuum Field Theories. In Foundations and Solids; Springer: New York, NY, USA, 1999; Volume 1. [Google Scholar]
- Eringen, A.C. Linear theory of micropolar elasticity. J. Math. Mech. 1966, 15, 909–923. [Google Scholar]
- Eringen, A.C. Theory of thermo-microstretch elastic solids. Int. J. Eng. Sci. 1990, 28, 1291–1301. [Google Scholar] [CrossRef]
- Singh, B. Reflection and refraction of plane waves at a liquid/thermo-microstretch elastic solid interface. Int. J. Eng. Sci. 2001, 39, 583–598. [Google Scholar] [CrossRef]
- Othman, M.; Lotfy, K. The influence of gravity on 2-D problem of two temperature generalized thermoelastic medium with thermal relaxation. J. Comp. Theor. Nanosci. 2015, 12, 2587–2600. [Google Scholar] [CrossRef]
- Cicco, D.; Nappa, L. On the theory of thermomicrostretch elastic solids. J. Therm. Stress. 1999, 22, 565–580. [Google Scholar]
- Othman, M.; Lotfy, K. On the plane waves of generalized thermo-microstretch elastic half-space under three theories. Int. Comm. Heat Mass Trans. 2010, 37, 192–200. [Google Scholar] [CrossRef]
- Abouelregal, A.; Marin, M. The Size-Dependent Thermoelastic Vibrations of Nanobeams Subjected to Harmonic Excitation and Rectified Sine Wave Heating. Mathematics 2020, 8, 1128. [Google Scholar] [CrossRef]
- Othman, M.; Lotfy, K. Effect of rotating on plane waves in generalized thermo-microstretch elastic solid with one relaxation time. Multidis. Model. Mat. Str. 2011, 7, 43–62. [Google Scholar] [CrossRef]
- Ramesh, G.; Prasannakumara, B.; Gireesha, B.; Rashidi, M. Casson fluid flow near the stagnation point over a stretching sheet with variable thickness and radiation. J. Appl. Fluid Mech. 2016, 9, 1115–1122. [Google Scholar] [CrossRef]
- Ezzat, M.; Abd-Elaal, M. Free convection effects on a viscoelastic boundary layer flow with one relaxation time through a porous medium. J. Frankl. Inst. 1997, 334, 685–706. [Google Scholar] [CrossRef]
- Shaw, S.; Mukhopadhyay, B. Periodically varying heat source response in a functionally graded microelongated medium. Appl. Math. Comput. 2012, 218, 6304–6313. [Google Scholar] [CrossRef]
- Shaw, S.; Mukhopadhyay, B. Moving heat source response in a thermoelastic micro-elongated Solid. J. Eng. Phys. Thermophys. 2013, 86, 716–722. [Google Scholar] [CrossRef]
- Ailawalia, P.; Sachdeva, S.; Pathania, D. Plane strain deformation in a thermo-elastic microelongated solid with internal heat source. Int. J. Appl. Mech. Eng. 2015, 20, 717–731. [Google Scholar] [CrossRef]
- Sachdeva, S.; Ailawalia, P. Plane strain deformation in thermoelastic micro-elongated solid. Civ. Environ. Res. 2015, 7, 92–98. [Google Scholar]
- Ailawalia, P.; Kumar, S.; Pathania, D. Internal heat source in thermoelastic micro-elongated solid under Green Lindsay theory. J. Theor. Appl. Mech. 2016, 46, 65–82. [Google Scholar] [CrossRef]
- Marin, M.; Lupu, M. On harmonic vibrations in thermoelasticity of micropolar bodies. J. Vibrat. Control 1998, 4, 507–518. [Google Scholar] [CrossRef]
- Marin, M.; Stan, G. Weak solutions in Elasticity of dipolar bodies with stretch. Carpath. J. Math. 2013, 29, 33–40. [Google Scholar] [CrossRef]
- Marin, M. Harmonic Vibrations in Thermoelasticity of Microstretch Materials. J. Vib. Acoust. Trans. ASME 2010, 132, 044501. [Google Scholar] [CrossRef]
- Marin, M.; Othman, M.; Abbas, I. An extension of the domain of influence theorem for generalized thermoelasticity of anisotropic material with voids. J. Comp. Theor. Nanosci. 2015, 12, 1594–1598. [Google Scholar] [CrossRef]
- Othman, M.; Said, S.; Marin, M. A novel model of plane waves of two-temperature fiber-reinforced thermoelastic medium under the effect of gravity with three-phase-lag model. Int. J. Num. Meth. Heat Fluid Flow 2019, 29, 4788–4806. [Google Scholar] [CrossRef]
- Hobiny, A.; Alzahrani, F.; Abbas, I.; Marin, M. The effect of fractional time derivative of bioheat model in skin tissue induced to laser irradiation. Symmetry 2020, 12, 602. [Google Scholar] [CrossRef]
- Gordon, J.P.; Leite, R.C.C.; Moore, R.S.; Porto, S.P.S.; Whinnery, J.R. Long-transient effects in lasers with inserted liquid samples. Bull. Am. Phys. Soc. 1964, 119, 501–510. [Google Scholar] [CrossRef]
- Kreuzer, L.B. Ultralow gas concentration infrared absorption spectroscopy. J. Appl. Phys. 1971, 42, 2934. [Google Scholar] [CrossRef]
- Tam, A.C. Ultrasensitive Laser Spectroscopy; Academic Press: New York, NY, USA, 1983; 108p. [Google Scholar]
- Tam, A.C. Applications of photoacoustic sensing techniques. Rev. Mod. Phys. 1986, 58, 381. [Google Scholar] [CrossRef]
- Tam, A.C. Photothermal Investigations in Solids and Fluids; Academic Press: Boston, MA, USA, 1989; 33p. [Google Scholar]
- Hobinya, A.; Abbas, I. A GN model on photothermal interactions in a two-dimensions semiconductor half space. Results Phys. 2019, 15, 102588. [Google Scholar] [CrossRef]
- Todorovic, D.M.; Nikolic, P.M.; Bojicic, A.I. Photoacoustic frequency transmission technique: Electronic deformation mechanism in semiconductors. J. Appl. Phys. 1999, 85, 7716–7726. [Google Scholar] [CrossRef]
- Song, Y.Q.; Todorovic, D.M.; Cretin, B.; Vairac, P. Study on the generalized thermoelastic vibration of the optically excited semiconducting microcantilevers. Int. J. Solids Struct. 2010, 47, 1871. [Google Scholar] [CrossRef]
- Lotfy, K. A novel model for Photothermal excitation of variable thermal conductivity semiconductor elastic medium subjected to mechanical ramp type with two-temperature theory and magnetic field. Sci. Rep. 2019, 9, 3319. [Google Scholar] [CrossRef] [PubMed]
- Lotfy, K. Effect of Variable Thermal Conductivity during the Photothermal Diffusion Process of Semiconductor Medium. Silicon 2019, 11, 1863–1873. [Google Scholar] [CrossRef]
- Alharthi, H.A. Characterization of the Vibration and Strain Energy Density of a Nanobeam under Two-Temperature Generalized Thermoelasticity with Fractional-Order Strain Theory. Math. Comput. Appl. 2021, 26, 78. [Google Scholar] [CrossRef]
- Abbas, I.; Alzahrani, F.; Elaiw, A. A DPL model of photothermal interaction in a semiconductor material. Waves Rand. Comp. Media 2019, 29, 328–343. [Google Scholar] [CrossRef]
- Khamis, A.; El-Bary, A.; Lotfy, K.; Bakali, A. Photothermal excitation processes with refined multi dual phase-lags theory for semiconductor elastic medium. Alex. Eng. J. 2020, 59, 1–9. [Google Scholar] [CrossRef]
- Lotfy, K. A novel model of magneto photothermal diffusion (MPD) on polymer nano-composite semiconductor with initial stress. Waves Ran. Comp. Med. 2021, 31, 83–100. [Google Scholar] [CrossRef]
- Alzahrani, F.S.; Abbas, I. Photo-Thermal Interactions in a Semiconducting Media with a Spherical Cavity under Hyperbolic Two-Temperature Model. Mathematics 2020, 8, 585. [Google Scholar] [CrossRef]
- Lotfy, K.; Kumar, R.; Hassan, W.; Gabr, M. Thermomagnetic effect with microtemperature in a semiconducting Photothermal excitation medium. Appl. Math. Mech. Engl. Ed. 2018, 39, 783–796. [Google Scholar] [CrossRef]
- Yadav, A. Photothermal plasma wave in the theory of two-temperature with multi-phase-lag thermo-elasticity in the presence of magnetic field in a semiconductor with diffusion. Waves Random Complex Media 2022, 32, 2416–2444. [Google Scholar] [CrossRef]
- Lotfy, K.; Hassan, W.; El-Bary, A.; Kadry, M. Response of electromagnetic and Thomson effect of semiconductor medium due to laser pulses and thermal memories during photothermal excitation. Results Phys. 2020, 16, 102877. [Google Scholar] [CrossRef]
- Mun, J.; Ochiai, Y.; Wang, W.; Zheng, Y.; Zheng, Y.Q.; Wu, H.C.; Matsuhisa, N.; Higashihara, T.; Tok, J.B.; Yun, Y.; et al. A design strategy for high mobility stretchable polymer semiconductors. Nat Commun. 2021, 12, 3572. [Google Scholar] [CrossRef] [PubMed]
- Lord, H.; Shulman, Y. A generalized dynamical theory of thermoelasticity. J. Mech. Phys. Solid. 1967, 15, 299–309. [Google Scholar] [CrossRef]
- Green, A.; Lindsay, K. Thermoelasticity. J. Elast. 1972, 2, 1–7. [Google Scholar] [CrossRef]
- Biot, M. Thermoelasticity and irreversible thermodynamics. J. Appl. Phys. 1956, 27, 240–253. [Google Scholar] [CrossRef]
- Mandelis, A.; Nestoros, M.; Christofides, C. Thermoelectronic-wave coupling in laser photothermal theory of semiconductors at elevated temperatures. Opt. Eng. 1997, 36, 459–468. [Google Scholar] [CrossRef]
- Liu, J.; Han, M.; Wang, R.; Xu, S.; Wang, X. Photothermal phenomenon: Extended ideas for thermophysical properties characterization. J. Appl. Phys. 2022, 131, 065107. [Google Scholar] [CrossRef]
- Han, H.S.; Choi, K.Y. Advances in Nanomaterial-Mediated Photothermal Cancer Therapies: Toward Clinical Applications. Biomedicines 2021, 9, 305. [Google Scholar] [CrossRef]





| Unit | Symbol | Value | Unit | Symbol | Value |
|---|---|---|---|---|---|
Publisher’s Note: MDPI stays neutral with regard to jurisdictional claims in published maps and institutional affiliations. |
© 2022 by the authors. Licensee MDPI, Basel, Switzerland. This article is an open access article distributed under the terms and conditions of the Creative Commons Attribution (CC BY) license (https://creativecommons.org/licenses/by/4.0/).
Share and Cite
Saeed, A.M.; Lotfy, K.; El-Bary, A.A. Effect of Variable Thermal Conductivity and Magnetic Field for the Generated Photo-Thermal Waves on Microelongated Semiconductor. Mathematics 2022, 10, 4270. https://doi.org/10.3390/math10224270
Saeed AM, Lotfy K, El-Bary AA. Effect of Variable Thermal Conductivity and Magnetic Field for the Generated Photo-Thermal Waves on Microelongated Semiconductor. Mathematics. 2022; 10(22):4270. https://doi.org/10.3390/math10224270
Chicago/Turabian StyleSaeed, Abdulkafi M., Kh. Lotfy, and Alaa A. El-Bary. 2022. "Effect of Variable Thermal Conductivity and Magnetic Field for the Generated Photo-Thermal Waves on Microelongated Semiconductor" Mathematics 10, no. 22: 4270. https://doi.org/10.3390/math10224270
APA StyleSaeed, A. M., Lotfy, K., & El-Bary, A. A. (2022). Effect of Variable Thermal Conductivity and Magnetic Field for the Generated Photo-Thermal Waves on Microelongated Semiconductor. Mathematics, 10(22), 4270. https://doi.org/10.3390/math10224270
