Next Article in Journal
Efficient Streaming Algorithms for Maximizing Monotone DR-Submodular Function on the Integer Lattice
Next Article in Special Issue
Dbar-Dressing Method and N-Soliton Solutions of the Derivative NLS Equation with Non-Zero Boundary Conditions
Previous Article in Journal
Some New Existence Results for Positive Periodic Solutions to First-Order Neutral Differential Equations with Variable Coefficients
 
 
Font Type:
Arial Georgia Verdana
Font Size:
Aa Aa Aa
Line Spacing:
Column Width:
Background:
Article

Machine Learning-Based Estimation of the Compressive Strength of Self-Compacting Concrete: A Multi-Dataset Study

1
Institute of Research and Development, Duy Tan University, Da Nang 550000, Vietnam
2
Faculty of Civil Engineering, Duy Tan University, Da Nang 550000, Vietnam
Mathematics 2022, 10(20), 3771; https://doi.org/10.3390/math10203771
Submission received: 20 September 2022 / Revised: 8 October 2022 / Accepted: 11 October 2022 / Published: 13 October 2022
(This article belongs to the Special Issue Applied Mathematics and Machine Learning)

Abstract

This paper aims at performing a comparative study to investigate the predictive capability of machine learning (ML) models used for estimating the compressive strength of self-compacting concrete (SCC). Seven prominent ML models, including deep neural network regression (DNNR), extreme gradient boosting machine (XGBoost), gradient boosting machine (GBM), adaptive boosting machine (AdaBoost), support vector regression (SVR), Levenberg–Marquardt artificial neural network (LM-ANN), and genetic programming (GP), are employed. Four experimental datasets, compiled in previous studies, are used to construct the ML-based methods. The models’ generalization capabilities are reliably evaluated by 20 independent runs. Experimental results point out the superiority of the DNNR, which has excelled other models in three out of four datasets. The XGBoost is the second-best model, which has gained the first rank in one dataset. The outcomes point out the great potential of the utilized ML approaches in modeling the compressive strength of SCC. In more details, the coefficient of determination (R2) surpasses 0.8 and the mean absolute percentage error (MAPE) is always below 15% for all datasets. The best results of R2 and MAPE are 0.93 and 7.2%, respectively.

1. Introduction

SCC is typically characterized by its enhanced workability and good resistance to segregation. This type of concrete is able to settle by its own weight without the requirement of internal or external vibration during the placing phase [1,2,3]. Therefore, SCC is highly applicable in areas featuring congested reinforcements (e.g., high-rise shear walls) and at other narrow cross-sections [4]). Due to its excellent workability, SCC is often employed in elements that are unconventionally shaped or hardly reachable [5].
The compressive strength (CS) of SCC is a crucial mechanical parameter for both design and application purposes on construction sites as well as in ready-mixed concrete plants [6]. Other properties of SCC such as modulus of elasticity and tensile strength can be inferred from the CS [7]. The CS of a SCC mix is usually obtained via time-consuming and costly experiments [8]. Due to its importance, various research works have been conducted to measure the CS of SCC mixes corresponding to different proportions of their constituents. Therefore, it is highly beneficial to analyze the existing experimental records and construct intelligent models that can estimate the CS of SCC mixes. These data-driven models can be effective decision-support tools to assist in the design of SCC mixes. It is because designing a proper mixture of SCC is still a challenging task in civil engineering [9,10].
In recent years, the research community has observed a burgeoning trend of applying machine learning (ML) in modeling the CS of various types of concrete [11,12,13], including SCC. ML has demonstrated unquestionable advantages in terms of prediction accuracy and flexibility over conventional empirical models for concrete mechanical strength. Nevertheless, deriving accurate models for estimating the CS of SCC is by no means an easy task. The reason is that the mapping function between the CS and the concrete constituent is typically nonlinear and multivariate.
Moreover, various supplementary materials, cement replacement components, and environmentally friendly mineral additives (e.g., fly ash, silica fume, ground granulated blast furnace slag, rice husk ash, etc.) are often added to the mix [9,14,15]. This fact significantly complicates the function approximation process. For instance, Sukumar et al. [16] shows a significant effect of fly ash content to the development of strength at early ages of curing. Dinakar et al. [3] demonstrates that variations in cement, mineral additives, and aggregate type can bring about large changes in the properties of SCC.
Accordingly, various advanced ML methods have been proposed and applied to model the CS of SCC. Neural networks were used in [6] to predict the 28-day CS of normal and high-strength SCC mixes containing fly ash. Uysal and Tanyildizi [17] put forward an artificial neural network (ANN) model for estimating the CS of mixes that contain mineral additives and polypropylene (PP) fiber exposed to elevated temperature. In addition, Portland cement (PC) was substituted by mineral additives such as fly ash, granulated blast furnace slag, limestone powder, basalt powder, and marble powder in different proportions. The ANN model is then trained by a dataset consisting of 85 data samples.
Vakhshouri and Nejadi [18] relied on an adaptive neuro fuzzy inference model (ANFIS) to perform the task of interest. Although ANFIS is a capable tool for nonlinear regression analysis, its learning phase requires a significant effort in model configuration, which involves the setting of fuzzy membership functions. In addition, this study only employed a limited dataset, including only 55 data samples. To establish reliable and robust ML models, larger datasets should be used. Asteris and Kolovos [4] also employed ANN in estimating the 28-day CS of SCC; the authors relied on a fairly large dataset, consisting of 205 records and 11 predictor variables.
ML based on ANN and genetic programming (GP) was used in [19] to predict the strength properties of geopolymer blended SCC. The results show that both ANN and GP are capable of delivering good predictions with respect to the experimental data. Farooq et al. [20] investigated the performance of ANN, support vector regression (SVR), and gene expression programming (GEP) in modeling a dataset consisting of 300 samples. The cement, water–binder ratio, coarse aggregate, fine aggregate, fly ash, and superplasticizer are considered the influencing factors of the CS. The authors demonstrated that the GEP could obtain an accurate prediction outcome, but they also pointed out that this method might not deliver satisfactory results if it is trapped in a local optimal solution.
Levenberg-Marquardt ANN (LM-ANN) models were used in [8,21]. These models rely on the Levenberg-Marquardt (LM) algorithm, which is derived from Newton’s method and highly suitable for minimizing functions that are sums of squares of nonlinear functions. This study reported a good correlation between the observed and predicted CS of SCC. However, the LM algorithm requires the calculation and storage of the Jacobian matrix [22], which might be computationally expensive for large-scale datasets and deep ANN.
As can be seen from the literature, the existing works have extensively relied on conventional ANN, GP, and SVR for estimating the SC of SCC. Apparently, there is a lack of comprehensive comparative study that analyzes the capability of state-of-the-art ML models that are feasible for the task of interest. Notably, the gradient boosting machine (GBM) and the extreme gradient boosting machine (XGBoost) have shown remarkable prediction performances in predicting the SC of high-performance concrete [23]. Deep learning is also a burgeoning research direction with high potential in modeling complex engineering processes [24]. However, gradient boosting machines and deep learning have not yet been used for estimating the CS of SCC.
To fill this gap in the literature, this paper conducts a comparative study that considers prominent ML-based regression analysis methods, including the GBM, XGBoost, and deep neural network regression (DNNR). In addition, an adaptive boosting machine (AdaBoost), SVR, LM-ANN, and GP are also taken into account due to their good performances in previous studies [8,25,26]. The predictive capability of the employed ML models is evaluated reliably via four datasets and 20 independent runs.
Conceptually, the GBM, AdaBoost, and XGBoost rely on the idea of gradient boosting [27] which views a model’s training process as an optimization of a cost function. Gradient boosting machines sequentially select a weak learner (e.g., a regression tree) that helps to drive the optimization process to the negative gradient direction. The AdaBoost improves the data fitting process by assigning weights to data points adaptively during the training phase. By doing so, this ML method is able to focus on the training samples that are not well fitted. The XGBoost model further improves the conventional boosting machine with the concept of Similarity Score and Gain index; these two metrics are used to determine the best node splits during the training phase of regression trees [28].
In addition, the SVR employs the concept of the margin of tolerance and kernel mapping to construct a robust model. The margin of tolerance is used to alleviate the effect of noisy data points. The kernel mapping function helps the SVR effectively cope with nonlinear functions. The LM-ANN relies on the LM algorithm to train the regression model; the LM algorithm can be viewed as a variant of the Newton algorithm for optimizing a nonlinear function. The GP is a technique for evolving a set of mathematical equations used for modeling a response variable; this algorithm employs operations that are similar to natural genetic processes. Meanwhile, the DNNR relies on the hierarchical organization of various hidden layers to model complex patterns. Each layer in a DNNR model serves as a feature engineering operator that sequentially constructs high-level representations of the input dataset [29]. This characteristic helps this deep learning method effectively capture and simulate complex functional mappings.
The novelty of the current work can be summarized as follows:
(1) The performance of prominent ML methods in a comparative manner to predict the CS of SCC is investigated. It is apparent that existing works lack a comprehensive comparison of the prominent ML models’ performance applied to the problem of interest. Chou et al. [30] covered a wide range of ML approaches such as SVR and ANN; however, deep learning solutions and novel gradient boosting machines were unexplored. The ANN models have been utilized in [4]; however, this work did not take into account the potential of state-of-the-art gradient boosting machines. Nguyen et al. [23] has recently covered a wide variety of models and proven the superiority of the XGBoost; nevertheless, the performance of the DNNR were not included.
(2) The current work utilizes multiple datasets, instead of a single dataset, to train and test the ML models. Since each dataset has distinctive characteristics due to the materials used and the mixed design, employing multiple datasets provides a comprehensive view of the predictive capability of the ML approaches.
The rest of the paper is organized as follows: The next section reviews the employed ML models. Descriptions of the datasets are provided in the third section. Experimental results are reported in the next section, followed by the final section that summarizes the research findings.

2. The Machine Learning Methods for Estimating the CS of SCC

2.1. Deep Neural Network Regression (DNNR)

Deep learning (DL) is a powerful approach for pattern recognition and modeling complex mapping functions [29]. The advantage of DL stems from its hierarchical organization of hidden layers of individual processing units, called neurons. These stacked layers of neurons allow a DL-based model to capture, simulate, and represent complex patterns hidden in the data. A typical structure of a DNNR model, employed for estimating the CS of SCC, includes an input layer, a set of hidden layers, and an output layer. The first layer receives input signals in the form of the SCC constituent and curing age. The hidden layers contain individual information processing units organized into different layers.
Each hidden layer serves as a feature engineering operator that gradually distills increasingly high-level representations of the original dataset [29]. The stacked hidden layers equip a DNNR with the capability of learning multivariate and complex functional mapping between the CS and its influencing factors [31]. Notably, to cope with complex mapping relationships, nonlinear activation functions (fA) are often employed in the neurons of the hidden layers. The commonly utilized fA includes logistic sigmoid (Sigmoid), hyperbolic tangent sigmoid (Tanh), and rectified linear unit activation (ReLU). In addition, the output layer uses the linear function to derive the estimated value of the CS. The training phase of a DNNR involves the adaptation of the weight matrices, which represent the entire model structure [32]. This study employs the state-of-the-art adaptive moment estimation (Adam) to train the DNNR.

2.2. Extreme Gradient Boosting Machine (XGBoost)

The XGBoost, proposed in [28], is enhanced according to the original gradient boosting algorithm [33]. This ML approach can also be viewed as an ensemble of boosting decision trees. Notably, the model construction phase of the XGBoost can be executed very fast because it can be performed in parallel [34]. Similar to the GBM, the XGBoost for regression analysis also utilizes the mean squared error loss function. During the training phase, individual regression trees are fitted using the residuals of their predecessors.
To construct regression trees, an XGBoost model relies on the Similarity Score and Gain index to determine the best node splits [28]. The Similarity Score is a function of the model residuals. The Gain of a node is computed from the Similarity Score of the right leaf, left leaf, and root. Accordingly, the note split having the highest Gain index is selected to build the regression tree [35]. The progress of the construction phase is governed by the learning rate parameter. The complexity of each regression tree can be controlled by the tree depth parameter. In addition, a regularization parameter (λ), which is included in the calculation of the Similarity Score, can be used to alleviate the over-fitting issue during the model training phase.

2.3. Gradient Boosting Machine (GBM)

The GBM is a ML that sequentially combines a set of weak learners (e.g., regression trees) to establish a robust model [27]. The GBM can be considered as a numerical optimization method, used to formulate an additive model that minimizes a loss function. For the task of nonlinear function approximation, the mean squared error is commonly used as the loss function. During the training phase, the GBM sequentially adds a new decision tree to the current ensemble to minimize the mean squared error loss. By fitting decision trees to the residuals, the overall model is able to focus on the samples of the dataset which have not been well fitted.

2.4. Adaptive Gradient Boosting Machine (AdaBoost)

The AdaBoost [36] also relies on the principle of boosting algorithms to rectify the residual committed by a ML model, e.g., a decision tree. This method first builds a model on the training dataset. Initially, AdaBoost assigns equal weights to all of the data instances. Subsequent models are then built to rectify the existing error committed by their predecessors. This process is repeated until the error is lower than a specified threshold. It is noted that during the model fitting process, the AdaBoost gradually adjusts the weights of data points. In more detail, it increases the weights assigned to data points associated with high residuals. This ML method is adaptive in the sense that subsequent weak learners (e.g., regression trees) are trained with the inclination of fitting the data samples associated with high residuals. Hence, although an individual regression tree may not fit the entire dataset well, the aggregated model can converge to an accurate predictor [37].

2.5. Support Vector Regression (SVR)

The SVR [38,39] relies on a margin of tolerance (ε) and the concept of kernel functions for constructing a nonlinear and multivariate mapping relation. The goal of the SVR is to construct f(x) that has at most ε deviation from the desired variable. To deal with nonlinear mapping functions, the SVR utilizes kernel functions that map the input data from the original space to a high-dimensional space where a linear hyper-plane can be used to fit the collected data. For nonlinear regression problems, the radial basis function (RBF) is often employed as the kernel function [23]. The training phase of a SVR model is formulated as a quadratic programming problem. Therefore, the SVR is suitable for modeling small- and medium-sized datasets because it demands substantial computational cost for dealing with large-scale datasets. In addition, the implementation of the SVR requires a proper setting of the RBF and the regularization parameters. These parameters can be determined via a grid search [40].

2.6. Levenberg–Marquardt Artificial Neural Network (LM-ANN)

An ANN model typically consists of an input layer, a hidden layer, and an output layer. This ML is designed as an attempt to mimic the information processing and knowledge generalization in the human brain [41]. Each neuron employs a nonlinear activation function (e.g., Sigmoid) to process the signals received from the input layer. An ANN model can be completely characterized by the weight matrix of the hidden layer (W1), the weight matrix of the output layer (W2), the bias vector of the hidden layer (b1), and the bias vector of the output layer (b2). The number of the neurons in the hidden layer strongly influences the learning capability of the LM-ANN and this parameter should be tuned to attain a robust prediction model [42].
Accordingly, an ANN model used for nonlinear function estimation can be generally stated as:
f ( x ) = b 2 + W 2 × σ ( b 1 + W 1 × x )
where x denotes the matrix of input variables; σ represents the activation function.
The weight matrices and the biases of an ANN model can be adapted by the Levenberg–Marquardt (LM) algorithm [43]. Thus, the ANN model trained by the LM algorithm can be denoted as the LM-ANN. The LM algorithm can be viewed as a modification of the Newton algorithm for optimizing a nonlinear function, e.g., the Mean Square Error function. The LM–ANN is an effective method for modeling moderate-sized datasets as demonstrated in [4].

2.7. Genetic Programming (GP)

The GP [44] is a ML technique used for evolving programs. These programs can be used as functions to model complex and multivariate processes, such as the CS of SCC. The GP commences with a population of random programs consisting of a predefined set of mathematical operations (e.g., addition, subtraction, multiplication, etc.). The algorithm then evolves this population with operations that are analogous to the natural genetic processes. The employed operations are selection, crossover, and mutation, which imitate the concepts in the Genetic Algorithm [45]. The first operator aims at preserving the most desired programs and casting out inferior ones. The second operation involves swapping random genes of the selected parents to generate a new offspring that possesses the advantageous features of the parents. The third operation introduces some random changes in a program so that an offspring can have features that don’t exist in the parents.
The GP can be used to construct mathematical equations automatically from the data (Searson 2015). However, since this ML method involves a stochastic search for the best program, it generally demands a considerable computational cost for evaluating the fitness of the programs and performing genetic operations (e.g., selection, crossover, and mutation). One significant advantage of the GP is that the constructed model can be explicitly presented as a mathematical equation used for predicting the CS from the mix’s constituents. However, for decently describing complex mapping relationships, the resulting mathematical equations can be quite complicated [46]. This fact hinders the process of interpreting these GP-based mathematical equations by civil engineers. Moreover, the quality of a GP-based model in terms of prediction accuracy does not always outperform that of the prominent nonlinear regression methods such as the ANN [47].

3. The Collected Datasets

In this study, four datasets, compiled by the previous studies, are used to evaluate the employed ML approaches. It is noted that the dataset investigates different sets of predictor variables that influence the CS of SCC. Therefore, each dataset has distinctive features because of the materials employed and mix design. This paper relies on the four datasets to provide a comprehensive assessment of the modeling capabilities of the prominent ML approaches. General information about the collected datasets is provided in Table 1. The statistical descriptions of the variables in the datasets are reported in Table 2, Table 3, Table 4 and Table 5. The minimum number of testing records in the datasets is 205. The number of predictor variables used as the CS’s influencing factors ranges from 6 to 11. The 28-day CS of SCC specimens is used as a modeled variable in the first two datasets. Meanwhile, the concrete age, measured in days, is used as an influencing factor in Dataset 3 and 4. The desired characteristics of SCC are obtained via the use of supplementary cementitious materials such as fly ash, silica fume, and chemical additives (e.g., superplasticizers) [48].
Dataset 1 [4] contains 205 mixes of SCC. The predictor variables in this dataset are the cement, the coarse aggregate, the fine aggregate, the water, the limestone powder, the fly ash, the ground granulated blast furnace slag, the silica fume, the rice husk ash, superplasticizers, and the viscosity modifying admixtures. The mixes include the use of limestone powder and rice husk ash as supplementary cementing materials (SCMs). Blending SCMs with Portland cement has been shown to bring about significant environmental benefits (e.g., reducing CO2 emission) and enhancement of the physical properties of the concrete mixes [49].
Dataset 2 [20] consists of 300 samples and 6 influencing factors: cement, water–binder ratio, coarse aggregate, fine aggregate, fly ash, and superplasticizer. Dataset 3 [8] focuses on the inclusion of class F fly ash as a partial cement replacement in concrete mixes. The use of class F fly ash is able to provide various desired features, including enhancements of the mechanical properties [50,51] and reductions in the construction costs [8]. This dataset contains 327 samples and 7 predictor variables (the cement, water, class F fly ash, coarse aggregate, fine aggregate, superplasticizer, and concrete age). Dataset 4 [21] aims at investigating the CS of SCC containing silica fume at different curing ages. It considers 366 samples and 7 predictor variables: the water to binder ratio, the binder, the silica fume, the fine aggregate, the coarse aggregate, the superplasticizer, and the age of concrete specimen. It is noted that fly ash is used in the first three datasets. Meanwhile, the silica fume is only used as a predictor variable in the Dataset 1 and Dataset 4.
The first dataset has the highest number of predictor variables, but it contains the smallest number of data points. The scatter plots showing the correlation between the predictor variable and the CS as the modeled variable of the 4 datasets are demonstrated in Figure 1, Figure 2, Figure 3 and Figure 4. Generally, these figures show weak linear correlations between the predictor variables and the CS of CSS and point out the need for advanced nonlinear analysis methods to predict the CS effectively.

4. Experimental Results and Discussion

The aforementioned four datasets containing the CS of SCC specimens and their corresponding constituents are used to train and verify the ML approaches. Each dataset is randomly separated into two subsets: a training (85%) set and a testing (15%) set. The former is used for model construction. The latter is reserved for evaluating the generalization capability of the trained ML models. To mitigate the effect of randomness due to the data sampling process, in this study, we conducted 20 independent experiments. The model performance is evaluated via the statistical indices, i.e., the mean and the standard deviation (std.), obtained from these independent experiments. It is noted that the experiments were performed on the Dell G15 (Core i7-11800H and 16 GB Ram). In addition, to standardize the range of the predictor variables (e.g., the concrete constituents and curing age) and target variable (i.e., the CS of SCC), this study relies on the Z-score normalization. This method transforms the original range of a variable into a standardized variable with a mean of 0 and a standard deviation of 1. The equation of the Z-score normalization is given by:
X Z = X O μ X σ X
where X Z and X O are the standardized and the original variables, respectively. μ X and σ X denote the mean and standard deviation of the variable, respectively.
Furthermore, the root mean square error (RMSE), mean absolute percentage error (MAPE), and coefficient of determination (R2) are the commonly employed metrics for evaluating the performance of a ML model. These metrics are computed as follows:
R M S E = 1 N i = 1 N ( y i t i ) 2
M A P E = 100 N × i = 1 N | y i t i | y i
R 2 = 1 i = 1 N ( t i y i ) 2 i = 1 N ( t i t ¯ ) 2
where ti and yi denote the actual and predicted CS of the SCC, respectively. N is the number of specimens. t ¯ denotes the mean of the observed CS values.
Notably, the RMSE indicates the deviations between the actual and predicted CS of SCC. This index is computed as the square root of the second sample moment of the residuals (or deviations) between the observed and predicted CS values. The RMSE aggregates the magnitudes of the deviations in predictions for all of the specimens into a unified measurement that demonstrates the predictive power of a ML model. Basically, the smaller the RMSE is, the better the prediction outcome is. The MAPE demonstrates the relative error of the prediction and is often expressed in terms of a percentage. Meanwhile, the R2 denotes the proportion of the variation in target output that can be predicted by a model [52]. A perfect regression model is indicated by a R2 = 1. The higher the index is, the better the prediction result is. The RMSE is a scale-dependent index; it is only valid for comparing different models in modeling the same dataset. On the contrary, the MAPE and R2 are scale-independent; therefore, they can be used to assess the performance of a ML model in predicting the CS of different datasets.
This study employs 7 ML models: the DNNR, XGBoost, GBM, AdaBoost, SVR, LM-ANN, and GP. The DNNR model is coded in MATLAB by the author. The XGBoost is built with the assistance of the Python library provided in [53]. The GBM and SVR models are constructed with the help of built-in functions provided in the Scikit-Learn library [54]. The LM-ANN is implemented with the MATLAB’s Statistics and Machine Learning Toolbox [55]. The library developed by [56] is used to construct the GP model.
The DNNR requires a proper setting of the number of hidden layers, the number of neurons, the learning rate, the activation function type, and the regularization coefficient. The regularization coefficient is used to penalize large values of the network’s weight; therefore, the issue of over-fitting can be alleviated [32]. In this study, the number of hidden layers ranging from 2 to 5 is investigated. The number of neurons in each hidden layer varies in the range of [0.5D, 2D] where D is the number of the CS’s influencing factors. The Sigmoid, Tanh, and ReLU activation functions are used. Various learning rates ranging from 0.001 to 0.1 are employed. The regularization parameters are selected from a set of { 0.00001 , 0.0001 , 0.001 , 0.01 } .
The essential hyper-parameters of the XGBoost model are the learning rate, the maximum tree depth, and the regularization coefficient. The learning rate, the number of estimators, and the maximum tree depth are the hyper-parameters that govern the learning phase of a GBM model and an AdaBoost model. The SVR requires the specification of the penalty coefficient, the kernel function’s parameter, and the margin of tolerance (ε). In this study, the LM-ANN is adapted during 300 epochs; its hyper-parameters include the number of neurons and the learning rate. The GP has a population size of 100, a maximum number of genes of 8, and a maximum number of evolutionary generations of 3000. In this study, the hyper-parameters of the ML models for each dataset were properly set with the use of the five-fold cross validation processes [57]. For the ANN models, the number of neurons in the hidden layer is allowed to range from 0.5D to 3D, where D denotes the number of predictor variables.
The average performance of the ML models with respect to different datasets is reported in Table 6. It can be seen from the experimental results that the DNNR achieves outstanding results; it has outperformed other models in Dataset 1 (with RMSE = 7.73, MAPE = 11.21%, and R2 = 0.81), 2 (with RMSE = 4.68, MAPE = 10.29%, and R2 = 0.90), and 4 (with RMSE = 4.84, MAPE = 7.16%, and R2 = 0.93). Additionally, the XGBoost achieved the best outcome in Dataset 3 (with RMSE = 5.49, MAPE = 14.36%, and R2 = 0.91). The setting of the XGBoost model found by the cross-validation process is as follows: the learning rate = 0.5, the maximum tree depth = 3, and the regularization parameter = 1. The GBM is slightly inferior to the XGBoost with RMSE = 5.61, MAPE = 14.89%, and R2 = 0.91. The DNNR achieved the third rank with RMSE = 6.68, MAPE = 17.40%, and R2 = 0.87.
The values of R2 obtained from the ML are at least 0.81, which indicates a good degree of data fitting results. For Dataset 1, the DNNR is able to explain 81% of the variation in the CS of SCC. For other datasets, the R2 is always larger than 0.9; this outcome demonstrates that the fluctuations of the CS values are well captured and generalized by the ML models. In addition, the MAPE values within the range of 7% and 15% show an acceptable deviation between the predicted and observed variables [58]. More details of the prediction results obtained from the ML models are provided in Appendix A and Appendix B.
Based on the experimental results, it is found that those parameters of the DNNR are highly data dependent. The configurations of the DNNR models that help to achieve the most accurate predictions are reported in Table 7. It can be seen that the Tanh activation function is favored in Dataset 1, 2, and 4. Meanwhile, for Dataset 3, in which the DNNR is the second-best approach, the ReLU activation function is favored. The DNNR models in all datasets require two hidden layers. This means that a two-layer structure is considered to be deep enough for modeling the CS of SCC. However, the suitable number of neurons varies with respect to different datasets. The number of neurons can be as low as 6 in the case of Dataset 2 and as high as 16 in the case of Dataset 4. This can be explained by the fact that Dataset 4 includes a comparatively larger number of instances. Therefore, more neurons are required to model the mapping functions stored in those datasets.
In addition, the average computational time of each model is provided in Table 8. Generally, the training time of the ML models used for predicting the CS of SCC is minor. It is because the sizes of the currently collected datasets are moderate with the largest number of instances = 366. As shown in this table, the computational cost of the XGBoost is lower than that of the DNNR. It is because the training algorithm of the XGBoost can be executed in parallel. It is also observable that the GP consumes the largest amount of computational expense due to its genetic operators.
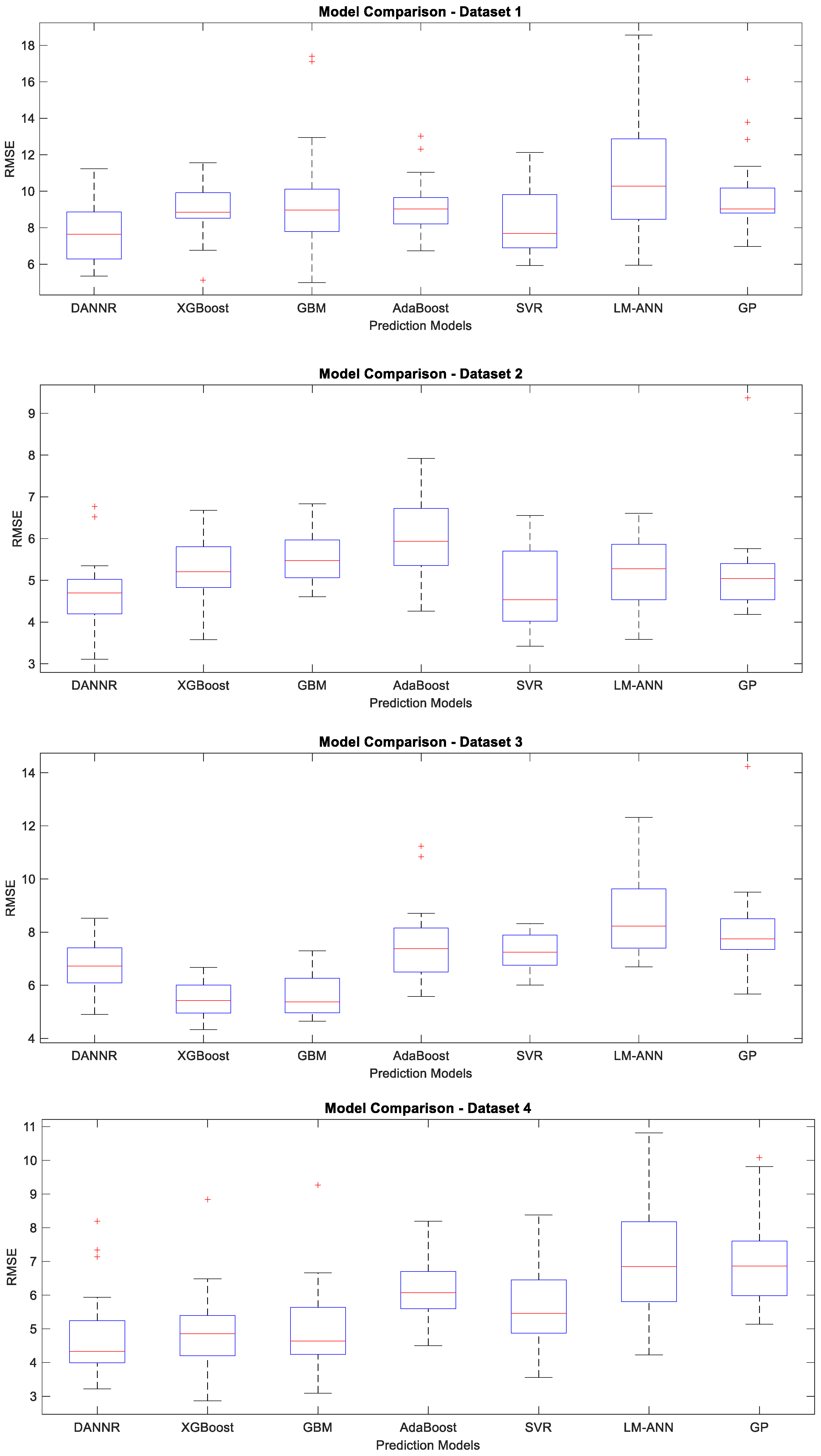
The detailed ranking of the ML models with respect to different datasets is reported in Table 9 and Figure 5. Herein, the model performance is ranked according to the average RMSE in the testing phase. As mentioned previously, the DNNR has gained the best outcomes in three out of four datasets. This model gains the third rank in Dataset 3. The XGBoost has gained the best performance once with dataset 3; it achieved the second, third, and fifth rank in Dataset 4, 1, and 2, respectively. The best outcomes of the GBM and the SVR are the second rank in Dataset 3 and 2, respectively. The LM-ANN achieved the third rank in Dataset 2 and obtained the worst performance in the other three datasets.
The GP only outperformed the LM-ANN in Dataset 2 and was worse than the ANN model in the other three datasets. Hence, the results of this paper are, to some degree, comply with that reported in the previous works of [23,59] which demonstrated the advantage of the XGBoost. In addition, the current paper also points out the great potential of the DNNR since it was able to outperform the XGBoost in three datasets. The GBM was able to excel the DNNR once (in Dataset 3) but it never outperformed the XGBoost. The deep neural network is always better than the shallow network of the LM-ANN. This fact clearly shows the superiority of deep learning over conventional ANN in the task of predicting the CS of SCC. The AdaBoost and GP generally show mediocre performances in comparison with the DNNR and the XGBoost.
Figure 6 illustrates the correlation between the actual and predicted CS with respect to different datasets. The line of best fit, ±10% bounds, and ±20% bounds are provided to assist the inspection of the prediction errors. The red straight line denotes a perfect fit where the CS of a specimen is correctly estimated. The nearer the data samples (shown as black circles) to the line of best fit, the better they are estimated by the ML approaches. In addition, the distribution of the residual (or error) committed by the ML models is presented by four histograms in Figure 7. Generally, the mean of the residuals is close to 0 and the values of the std. are less than 8 for all of the cases.
By inspecting the range of the residuals (refer to Figure 8), it can be seen that the data samples in all of the datasets lie within the ±20% bound. The best outcome in Dataset 3, predicted by the XGBoost, has 22% of the cases that stay beyond the ±20% bound. The results predicted by the DNNR has at most 14% of the samples that go beyond the ±20% bound. Particularly, prediction accuracy of the instances in Dataset 4 is remarkably high because only 6% of the samples have the residuals lying beyond the ±20% bound.
One possible explanation for this finding is that the number of data instances in Dataset 4 is decently high so that the DNNR can be effectively trained. Thus, this model can generalize the function that provides a mapping between the CS of SCC and its constituents. The proportion of the residual ≤ 5% for the case of interest is also notably high (52%). In the case of Dataset 3, the relatively high proportion of the residuals lying beyond the ±20% bound shows the high complexity of the functional mapping between the CS and the SCC mix containing class F fly ash. It is possible that the CS of SCC samples containing class F fly ash are governed by other explanatory variables that have not yet investigated.

5. Conclusions

The CS is a crucial mechanical property of SCC that must be considered during the phase of mix design and quality monitoring. An accurate and reliable estimation of the CS considerably facilitates the process of concrete mixture design. Data-driven models, which take into account past experimental tests of SCC, can effectively analyze the input information and quickly deliver estimations of the CS of SCC. These models are useful for reducing the cost and time required for performing laboratory tests. In addition, a good estimate of the CS with respect to different concrete ages is also desirable for scheduling the installation and removal of formwork or scaffolding on construction sites. It is because these activities highly depend on the development of the CS.
In this paper, we conduct a comparative work that takes into account the capability of prominent ML models used for predicting the CS of SCC. The employed models are DNNR, XGBoost, GBM, AdaBoost, SVR, LM-ANN, and GP. Four historical datasets are used to train and verify the predictive ability of these ML models. The RMSE, MAPE, and R2 are the metrics used for quantifying the modeling performance. This paper also performs a repetitive data sampling process, including 20 independent runs, to reliably evaluating the prediction results. Experimental results demonstrate the superiority of the DNNR which excels other models in three out of four datasets. The developed DNNR is about 7.0% and 2.5% better than the SVR for the cases of Dataset 1 and 2, respectively. In Dataset 4, the deep learning method outperformed the XGBoost by a minor margin of 1.3%. The XGBoost is the second-best method that achieves the first rank in one dataset. The R2 values in all cases are greater than 0.8. The R2 surpasses 0.9 in three datasets. These facts show a sufficient degree of variance explanation obtained by the selected ML models. The DNNR clearly outperformed the shallow ML approach of the LM-ANN. The improvement of the deep learning in comparison with the shallow neural network is at least 9.87% in Dataset 2 and can be as high as 36.6% in Dataset 3.
Future extensions of the current work may include the following directions: (1) the investigation of other advanced ML ensembles and boosting machines in the task of predicting the CS of SCC to reduce the prediction errors; (2) the use of sophisticated feature selection or transformation techniques for enhancing the model performance; and (3) the employment of metaheuristic approaches for tuning the hyper-parameters of the neural network models [60,61]; (4) investigation of other crucial mechanical properties of SCC [62,63] such as elastic modulus, peak strain, ultimate strain, and residual strain; and (5) analyzing the effect of the material properties on the CS of SCC [64,65].

Funding

This research received no external funding.

Data Availability Statement

The data presented in this study are openly available at in https://github.com/NHDDTUEDU/CS_SCC_ML.

Conflicts of Interest

The author of the paper confirms that there are no conflict of interest regarding the publication of the paper.

Appendix A

Table A1. Detailed statistical performance of the ML models.
Table A1. Detailed statistical performance of the ML models.
ML ModelsMetricsDataset 1Dataset 2Dataset 3Dataset 4
MeanStd.MeanStd.MeanStd.MeanStd.
DNNRRMSE7.731.694.680.906.680.974.841.34
MAPE (%)11.212.4910.291.9417.403.287.161.42
R20.810.100.900.050.870.040.930.05
XGBoostRMSE8.911.425.260.745.490.654.901.20
MAPE (%)14.153.0711.522.2514.361.986.690.93
R20.820.080.880.030.910.020.930.04
GBMRMSE9.593.035.570.625.610.784.981.35
MAPE (%)13.694.0411.391.7314.892.706.411.21
R20.770.180.870.040.910.030.920.07
AdaBoostRMSE9.141.586.041.067.601.456.240.96
MAPE (%)14.743.4913.262.3523.073.9010.501.36
R20.790.080.840.070.840.060.880.03
SVRRMSE8.321.744.800.967.280.665.651.21
MAPE (%)12.262.8511.362.0920.573.877.601.24
R20.800.110.900.050.840.030.910.04
LM-ANNRMSE10.963.425.190.788.671.537.161.82
MAPE (%)15.014.5312.332.2525.026.6410.612.51
R20.730.180.880.040.770.090.840.09
GPRMSE9.822.215.201.098.151.727.650.40
MAPE (%)15.273.5412.242.0024.023.5111.550.80
R20.730.190.880.070.790.100.850.01

Appendix B

Figure A1. Boxplots of the model performance (The blue box denotes the 25th and 75th percentiles of RMSE. The red line represents the median value. The symbol “+” denotes an outlier.)
Figure A1. Boxplots of the model performance (The blue box denotes the 25th and 75th percentiles of RMSE. The red line represents the median value. The symbol “+” denotes an outlier.)
Mathematics 10 03771 g0a1

References

  1. Alyamaç, K.E.; Ince, R. A preliminary concrete mix design for SCC with marble powders. Constr. Build. Mater. 2009, 23, 1201–1210. [Google Scholar] [CrossRef]
  2. Chabane, A.; Belebchouche, C.; Bensebti, S.-E.; Czarnecki, S.; Amira, B. Comparison of the accuracy of regulation models for self-compacting concrete creep evaluation. J. Build. Eng. 2022, 59, 105069. [Google Scholar] [CrossRef]
  3. Dinakar, P.; Sethy, K.P.; Sahoo, U.C. Design of self-compacting concrete with ground granulated blast furnace slag. Mater. Des. 2013, 43, 161–169. [Google Scholar] [CrossRef]
  4. Asteris, P.G.; Kolovos, K. Self-compacting concrete strength prediction using surrogate models. Neural Comput. Appl. 2019, 31, 409–424. [Google Scholar] [CrossRef]
  5. Li, H.; Yin, J.; Yan, P.; Sun, H.; Wan, Q. Experimental Investigation on the Mechanical Properties of Self-Compacting Concrete under Uniaxial and Triaxial Stress. Materials 2020, 13, 1830. [Google Scholar] [CrossRef]
  6. Prasad, B.R.; Eskandari, H.; Reddy, B.V. Prediction of compressive strength of SCC and HPC with high volume fly ash using ANN. Constr. Build. Mater. 2009, 23, 117–128. [Google Scholar] [CrossRef]
  7. Filho, F.M.A.; Barragán, B.E.; Casas, J.R.; El Debs, A.L.H.C. Hardened properties of self-compacting concrete—A statistical approach. Constr. Build. Mater. 2010, 24, 1608–1615. [Google Scholar] [CrossRef]
  8. Pazouki, G.; Golafshani, E.M.; Behnood, A. Predicting the compressive strength of self-compacting concrete containing Class F fly ash using metaheuristic radial basis function neural network. Struct. Concr. 2021, 23, 1191–1213. [Google Scholar] [CrossRef]
  9. Esfandiari, J.; Loghmani, P. Effect of perlite powder and silica fume on the compressive strength and microstructural characterization of self-compacting concrete with lime-cement binder. Measurement 2019, 147, 106846. [Google Scholar] [CrossRef]
  10. Faraj, R.H.; Sherwani, A.F.H.; Daraei, A. Mechanical, fracture and durability properties of self-compacting high strength concrete containing recycled polypropylene plastic particles. Build. Eng. 2019, 25, 100808. [Google Scholar] [CrossRef]
  11. Alidoust, P.; Goodarzi, S.; Amlashi, A.T.; Sadowski, Ł. Comparative analysis of soft computing techniques in predicting the compressive and tensile strength of seashell containing concrete. Eur. J. Environ. Civ. Eng. 2022, 1–23. [Google Scholar] [CrossRef]
  12. Ben Chaabene, W.; Flah, M.; Nehdi, M.L. Machine learning prediction of mechanical properties of concrete: Critical review. Constr. Build. Mater. 2020, 260, 119889. [Google Scholar] [CrossRef]
  13. Golafshani, E.M.; Behnood, A.; Arashpour, M. Predicting the compressive strength of normal and High-Performance Concretes using ANN and ANFIS hybridized with Grey Wolf Optimizer. Constr. Build. Mater. 2020, 232, 117266. [Google Scholar] [CrossRef]
  14. Boukendakdji, O.; Kadri, E.-H.; Kenai, S. Effects of granulated blast furnace slag and superplasticizer type on the fresh properties and compressive strength of self-compacting concrete. Cem. Concr. Compos. 2012, 34, 583–590. [Google Scholar] [CrossRef]
  15. Güneyisi, E.; Gesoglu, M.; Azez, O.A.; Öz, H. Effect of nano silica on the workability of self-compacting concretes having untreated and surface treated lightweight aggregates. Constr. Build. Mater. 2016, 115, 371–380. [Google Scholar] [CrossRef]
  16. Sukumar, B.; Nagamani, K.; Raghavan, R.S. Evaluation of strength at early ages of self-compacting concrete with high volume fly ash. Constr. Build. Mater. 2008, 22, 1394–1401. [Google Scholar] [CrossRef]
  17. Uysal, M.; Tanyildizi, H. Estimation of compressive strength of self compacting concrete containing polypropylene fiber and mineral additives exposed to high temperature using artificial neural network. Constr. Build. Mater. 2012, 27, 404–414. [Google Scholar] [CrossRef]
  18. Vakhshouri, B.; Nejadi, S. Prediction of compressive strength of self-compacting concrete by ANFIS models. Neurocomputing 2018, 280, 13–22. [Google Scholar] [CrossRef]
  19. Awoyera, P.O.; Kirgiz, M.S.; Viloria, A.; Ovallos-Gazabon, D. Estimating strength properties of geopolymer self-compacting concrete using machine learning techniques. J. Mater. Res. Technol. 2020, 9, 9016–9028. [Google Scholar] [CrossRef]
  20. Farooq, F.; Czarnecki, S.; Niewiadomski, P.; Aslam, F.; Alabduljabbar, H.; Ostrowski, K.A.; Śliwa-Wieczorek, K.; Nowobilski, T.; Malazdrewicz, S. A Comparative Study for the Prediction of the Compressive Strength of Self-Compacting Concrete Modified with Fly Ash. Materials 2021, 14, 4934. [Google Scholar] [CrossRef]
  21. Serraye, M.; Kenai, S.; Boukhatem, B. Prediction of Compressive Strength of Self-Compacting Concrete (SCC) with Silica Fume Using Neural Networks Models. Civ. Eng. J. 2021, 7, 118–139. [Google Scholar] [CrossRef]
  22. Lv, C.; Xing, Y.; Zhang, J.; Na, X.; Li, Y.; Liu, T.; Cao, D.; Wang, F.-Y. Levenberg–Marquardt Backpropagation Training of Multilayer Neural Networks for State Estimation of a Safety-Critical Cyber-Physical System. IEEE Trans. Ind. Inform. 2018, 14, 3436–3446. [Google Scholar] [CrossRef]
  23. Nguyen, H.; Vu, T.; Vo, T.P.; Thai, H.-T. Efficient machine learning models for prediction of concrete strengths. Constr. Build. Mater. 2021, 266, 120950. [Google Scholar] [CrossRef]
  24. Asghari, V.; Leung, Y.F.; Hsu, S.-C. Deep neural network based framework for complex correlations in engineering metrics. Adv. Eng. Inform. 2020, 44, 101058. [Google Scholar] [CrossRef]
  25. Feng, D.-C.; Liu, Z.-T.; Wang, X.-D.; Chen, Y.; Chang, J.-Q.; Wei, D.-F.; Jiang, Z.-M. Machine learning-based compressive strength prediction for concrete: An adaptive boosting approach. Constr. Build. Mater. 2020, 230, 117000. [Google Scholar] [CrossRef]
  26. Ling, H.; Qian, C.X.; Kang, W.C.; Liang, C.Y.; Chen, H.C. Combination of Support Vector Machine and K-Fold cross validation to predict compressive strength of concrete in marine environment. Constr. Build. Mater. 2019, 206, 355–363. [Google Scholar] [CrossRef]
  27. Friedman, J.H. Greedy Function Approximation: A Gradient Boosting Machine. Ann. Stat. 2001, 29, 1189–1232. [Google Scholar] [CrossRef]
  28. Chen, T.; Guestrin, C. XGBoost: A Scalable Tree Boosting System. In Proceedings of the 22nd ACM SIGKDD International Conference on Knowledge Discovery and Data Mining, San Francisco, CA, USA, 13–17 August 2016; pp. 785–794. [Google Scholar] [CrossRef]
  29. Goodfellow, I.; Bengio, Y.; Courville, A. Deep Learning (Adaptive Computation and Machine Learning Series); The MIT Press: Cambridge, MA, USA, 2016; ISBN 10 0262035618. [Google Scholar]
  30. Chou, J.-S.; Tsai, C.-F.; Pham, A.-D.; Lu, Y.-H. Machine learning in concrete strength simulations: Multi-nation data analytics. CConstr. Build. Mater. 2014, 73, 771–780. [Google Scholar] [CrossRef]
  31. Latif, S.D. Concrete compressive strength prediction modeling utilizing deep learning long short-term memory algorithm for a sustainable environment. Environ. Sci. Pollut. Res. 2021, 28, 30294–30302. [Google Scholar] [CrossRef]
  32. Kim, P. MatLab Deep Learning with Machine Learning, Neural Networks and Artificial Intelligence; Apress: New York, NY, USA, 2017; ISBN 1484228448. [Google Scholar]
  33. Friedman, J.H. Stochastic gradient boosting. Comput. Stat. Data Anal. 2002, 38, 367–378. [Google Scholar] [CrossRef]
  34. Zhang, X.; Nguyen, H.; Bui, X.N.; Tran, Q.H.; Nguyen, D.A.; Bui, D.T.; Moayedi, H. Novel Soft Computing Model for Predicting Blast-Induced Ground Vibration in Open-Pit Mines Based on Particle Swarm Optimization and XGBoost. Nat. Resour. Res. 2019, 29, 711–721. [Google Scholar] [CrossRef]
  35. Dobilas, S. XGBoost: Extreme Gradient Boosting—How to Improve on Regular Gradient Boosting? Towards Data Science. 2021. Available online: https://towardsdatascience.com/ (accessed on 17 September 2022).
  36. Freund, Y.; Schapire, R.E. A Decision-Theoretic Generalization of On-Line Learning and an Application to Boosting. J. Comput. Syst. Sci. 1997, 55, 119–139. [Google Scholar] [CrossRef]
  37. Wyner, A.J.; Olson, M.; Bleich, J.; Mease, D. Explaining the Success of AdaBoost and Random Forests as Interpolating Classifiers. J. Mach. Learn. Res. 2017, 18, 1–33. [Google Scholar]
  38. Drucker, H.; Burges, C.J.C.; Kaufman, L.; Smola, A.; Vapnik, V. Support vector regression machines. In Proceedings of the 9th International Conference on Neural Information Processing Systems, Denver, CO, USA, 3–5 December 1996. [Google Scholar]
  39. Vapnik, V.N. Statistical Learning Theory; John Wiley & Sons, Inc.: Hoboken, NJ, USA, 1998; ISBN 10 0471030031. [Google Scholar]
  40. Tang, F.; Wu, Y.; Zhou, Y. Hybridizing Grid Search and Support Vector Regression to Predict the Compressive Strength of Fly Ash Concrete. Adv. Civ. Eng. 2022, 2022, 3601914. [Google Scholar] [CrossRef]
  41. Haykin, S.O. Neural Networks and Learning Machines. Pearson: Hong Kong, China, 2008. [Google Scholar]
  42. Skare, E.L.; Sheiati, S.; Cepuritis, R.; Mørtsell, E.; Smeplass, S.; Spangenberg, J.; Jacobsen, S. Rheology modelling of cement paste with manufactured sand and silica fume: Comparing suspension models with artificial neural network predictions. Constr. Build. Mater. 2022, 317, 126114. [Google Scholar] [CrossRef]
  43. Hagan, M.T.; Menhaj, M.B. Training feedforward networks with the Marquardt algorithm. IEEE Trans. Neural Netw. 1994, 5, 989–993. [Google Scholar] [CrossRef]
  44. Koza, J.R. Genetic programming as a means for programming computers by natural selection. Stat. Comput. 1994, 4, 87–112. [Google Scholar] [CrossRef]
  45. Mitchell, M. An Introduction to Genetic Algorithms; MIT Press: Cambridge, MA, USA, 1996; ISBN 9780585030944. [Google Scholar]
  46. Cheng, M.-Y.; Firdausi, P.M.; Prayogo, D. High-performance concrete compressive strength prediction using Genetic Weighted Pyramid Operation Tree (GWPOT). Eng. Appl. Artif. Intell. 2014, 29, 104–113. [Google Scholar] [CrossRef]
  47. Tran, T.-H.; Hoang, N.-D. Predicting Colonization Growth of Algae on Mortar Surface with Artificial Neural Network. J. Comput. Civ. Eng. 2016, 30, 04016030. [Google Scholar] [CrossRef]
  48. Verian, K.P.; Behnood, A. Effects of deicers on the performance of concrete pavements containing air-cooled blast furnace slag and supplementary cementitious materials. Cem. Concr. Compos. 2018, 90, 27–41. [Google Scholar] [CrossRef]
  49. Amlashi, A.T.; Golafshani, E.M.; Ebrahimi, S.A.; Behnood, A. Estimation of the compressive strength of green concretes containing rice husk ash: A comparison of different machine learning approaches. Eur. J. Environ. Civ. Eng. 2022, 1–23. [Google Scholar] [CrossRef]
  50. Jalal, M.; Pouladkhan, A.; Harandi, O.F.; Jafari, D. RETRACTED: Comparative study on effects of Class F fly ash, nano silica and silica fume on properties of high performance self compacting concrete. Constr. Build. Mater. 2015, 94, 90–104. [Google Scholar] [CrossRef]
  51. de Matos, P.R.; Foiato, M.; Prudêncio, L.R., Jr. Ecological, fresh state and long-term mechanical properties of high-volume fly ash high-performance self-compacting concrete. Constr. Build. Mater. 2019, 203, 282–293. [Google Scholar] [CrossRef]
  52. Mendenhall, W.; Sincich, T.T. A Second Course in Statistics: Regression Analysis, 7th ed.; Pearson: London, UK, 2011; ISSN 978-0321691699. [Google Scholar]
  53. XGBoost. XGBoost Documentation. 2021. Available online: https://xgboostreadthedocsio/en/stable/indexhtml (accessed on 30 December 2021).
  54. Pedregosa, F.; Varoquaux, G.; Gramfort, A.; Michel, V.; Thirion, B.; Grisel, O.; Blondel, M.; Prettenhofer, P.; Weiss, R.; Dubourg, V.; et al. Scikit-learn: Machine Learning in Python. J. Mach. Learn. Res. 2011, 12, 2825–2830. [Google Scholar]
  55. MathWorks. Statistics and Machine Learning Toolbox User’s Guide. Matwork Inc. 2017. Available online: https://www.mathworks.com/help/pdf_doc/stats/stats.pdf (accessed on 28 April 2018).
  56. Searson, D.P. GPTIPS 2: An Open-Source Software Platform for Symbolic Data Mining. In Handbook of Genetic Programming Applications; Gandomi, A.H., Alavi, A.H., Ryan, C., Eds.; Springer International Publishing: Cham, Switzerland, 2015; pp. 551–573. [Google Scholar] [CrossRef]
  57. Wong, T.-T.; Yeh, P.-Y. Reliable Accuracy Estimates from k-Fold Cross Validation. IEEE Trans. Knowl. Data Eng. 2020, 32, 1586–1594. [Google Scholar] [CrossRef]
  58. Lewis, C.D. Industrial and Business Forecasting Methods: A Practical Guide to Exponential Smoothing and Curve Fitting; Butterworth-Heinemann: Oxford, UK, 1982; ISBN 0408005599. [Google Scholar]
  59. Kang, M.-C.; Yoo, D.-Y.; Gupta, R. Machine learning-based prediction for compressive and flexural strengths of steel fiber-reinforced concrete. Constr. Build. Mater. 2021, 266, 121117. [Google Scholar] [CrossRef]
  60. Pham, T.A.; Tran, V.Q.; Vu, H.-L.T.; Ly, H.-B. Design deep neural network architecture using a genetic algorithm for estimation of pile bearing capacity. PLoS ONE 2020, 15, e0243030. [Google Scholar] [CrossRef]
  61. Sheiati, S.; Ranjbar, N.; Frellsen, J.; Skare, E.L.; Cepuritis, R.; Jacobsen, S.; Spangenberg, J. Neural network predictions of the simulated rheological response of cement paste in the FlowCyl. Neural Comput. Appl. 2021, 33, 13027–13037. [Google Scholar] [CrossRef]
  62. Revilla-Cuesta, V.; Ortega-López, V.; Skaf, M.; Manso, J.M. Effect of fine recycled concrete aggregate on the mechanical behavior of self-compacting concrete. Constr. Build. Mater. 2020, 263, 120671. [Google Scholar] [CrossRef]
  63. Salari, Z.; Vakhshouri, B.; Nejadi, S. Analytical review of the mix design of fiber reinforced high strength self-compacting concrete. J. Build. Eng. 2018, 20, 264–276. [Google Scholar] [CrossRef]
  64. Akbari, M.; Khalilpour, S.; Dehestani, M. Analysis of material size and shape effects for steel fiber reinforcement self-consolidating concrete. Eng. Fract. Mech. 2019, 206, 46–63. [Google Scholar] [CrossRef]
  65. Wang, C.; Xiao, J.; Liu, W.; Ma, Z. Unloading and reloading stress-strain relationship of recycled aggregate concrete reinforced with steel/polypropylene fibers under uniaxial low-cycle loadings. Cem. Concr. Compos. 2022, 131, 104597. [Google Scholar] [CrossRef]
Figure 1. Scatter plots of variables in Dataset 1.
Figure 1. Scatter plots of variables in Dataset 1.
Mathematics 10 03771 g001
Figure 2. Scatter plots of variables in Dataset 2.
Figure 2. Scatter plots of variables in Dataset 2.
Mathematics 10 03771 g002
Figure 3. Scatter plots of variables in Dataset 3.
Figure 3. Scatter plots of variables in Dataset 3.
Mathematics 10 03771 g003
Figure 4. Scatter plots of variables in Dataset 4.
Figure 4. Scatter plots of variables in Dataset 4.
Mathematics 10 03771 g004
Figure 5. Summary of the models’ rankings.
Figure 5. Summary of the models’ rankings.
Mathematics 10 03771 g005
Figure 6. The correlation between the actual and predicted CS.
Figure 6. The correlation between the actual and predicted CS.
Mathematics 10 03771 g006
Figure 7. Histograms of residuals of the ML models used for predicting the CS: (a) Dataset 1, (b) Dataset 2, (c) Dataset 3, and (d) Dataset 4.
Figure 7. Histograms of residuals of the ML models used for predicting the CS: (a) Dataset 1, (b) Dataset 2, (c) Dataset 3, and (d) Dataset 4.
Mathematics 10 03771 g007
Figure 8. Distribution of the residual range: (a) the DNNR used for modeling Dataset 1, (b) the DNNR used for modeling Dataset 2, (c) the XGBoost used for modeling Dataset 3, and (d) the DNNR used for modeling Dataset 4.
Figure 8. Distribution of the residual range: (a) the DNNR used for modeling Dataset 1, (b) the DNNR used for modeling Dataset 2, (c) the XGBoost used for modeling Dataset 3, and (d) the DNNR used for modeling Dataset 4.
Mathematics 10 03771 g008
Table 1. The collected datasets of SCC.
Table 1. The collected datasets of SCC.
DatasetNumber of
Predictor Variables
Number
of Data Points
General DescriptionReference
11120528-days CS of SCC specimens [4]
2630028-days CS of SCC specimens containing fly ash [20]
37327Predicting the CS of SCC containing Class F fly ash at different curing ages [8]
47366Predicting the CS of SCC containing with silica fume at different curing ages [21]
Table 2. The variables used in the Dataset 1.
Table 2. The variables used in the Dataset 1.
VariablesNotationUnitMinMeanStd.Max
CementX1kg/m3110.00349.2293.43600.00
Limestone powderX2kg/m30.0025.6760.78272.00
Fly ashX3kg/m30.00106.3694.01440.00
Ground granulated blast furnace slagX4kg/m30.0017.3952.01330.00
Silica fumeX5kg/m30.0014.9133.45250.00
Rice husk ash X6kg/m30.006.5524.29200.00
Coarse aggregateX7kg/m3500.00772.35175.361600.00
Fine aggregateX8kg/m3336.00827.93144.331135.00
WaterX9kg/m394.50179.2727.65250.00
SuperplasticizerX10kg/m30.005.964.3522.50
Viscosity-modifying admixturesX11kg/m30.000.140.311.23
Compressive strengthYMPa10.2058.0821.61122.00
Table 3. The variables used in the Dataset 2.
Table 3. The variables used in the Dataset 2.
VariablesNotationsUnitMinMeanStd.Max
CementX1kg/m383.00292.7993.73540.00
Fly ashX2kg/m30.00115.3487.26525.00
Water-powder ratioX3-0.220.480.130.90
SandX4kg/m3478.00805.7498.471180.00
Coarse aggregateX5kg/m3578.00912.48119.431125.00
SuperplasticizerX6%0.000.170.261.36
Compressive strengthYMPa8.5436.6015.8079.19
Table 4. The variables used in the Dataset 3.
Table 4. The variables used in the Dataset 3.
VariablesNotationsUnitMinMeanStd.Max
CementX1kg/m361.00293.0889.78503.00
WaterX2kg/m3132.00197.0037.62390.39
Class F fly ashX3kg/m320.00170.2369.68373.00
Coarse aggregateX4kg/m3590.00828.34137.301190.00
Fine aggregateX5kg/m3434.00807.47135.801109.00
SuperplasticizerX6%0.000.981.114.60
Age of concreteX7Days1.0044.3163.76365.00
Compressive strengthYMPa4.4436.4519.0790.60
Table 5. The variables used in the Dataset 4.
Table 5. The variables used in the Dataset 4.
VariablesNotationsUnitMinMeanStd.Max
Water to binder ratioX1kg/m30.220.380.040.51
BinderX2kg/m3359.00493.0953.00600.00
Silica fumeX3kg/m30.0045.6836.84250.00
Fine aggregateX4kg/m3680.00902.90101.221166.00
Coarse aggregateX5kg/m3595.00817.03112.701000.00
SuperplasticizerX6kg/m31.307.212.5315.00
Age of specimenX7Days1.0032.3742.92270.00
Compressive strengthYMPa21.1054.0118.79106.60
Table 6. Average performance of the ML models.
Table 6. Average performance of the ML models.
DatasetMetricsThe ML Models
DNNRXGBoostGBMAdaBoostSVRLM-ANNGP
1RMSE7.738.919.599.148.3210.969.82
MAPE (%)11.2114.1513.6914.7412.2615.0115.27
R20.810.820.770.790.800.730.73
2RMSE4.685.265.576.044.805.195.20
MAPE (%)10.2911.5211.3913.2611.3612.3312.24
R20.900.880.870.840.900.880.88
3RMSE6.685.495.617.607.288.678.15
MAPE (%)17.4014.3614.8923.0720.5725.0224.02
R20.870.910.910.840.840.770.79
4RMSE4.844.904.986.245.657.167.03
MAPE (%)7.166.696.4110.507.6010.6110.15
R20.930.930.920.880.910.840.85
Note: Bold text indicate the best performance.
Table 7. Model configuration of the DNNR models that helps to attain the best performance.
Table 7. Model configuration of the DNNR models that helps to attain the best performance.
DatasetParameters
Number of Hidden LayersNumber of NeuronsLearning RateRegularization CoefficientActivation Function
12100.030.001Tanh
2260.030.001Tanh
42160.010.001Tanh
Table 8. Average computational time (s).
Table 8. Average computational time (s).
DatasetThe ML Models
DNNRXGBoostGBMAdaBoostSVRLM-ANNGP
13.820.110.050.170.060.62297.20
25.430.050.140.130.070.96289.25
36.440.080.140.380.040.55736.70
47.640.130.140.380.040.55795.50
Table 9. Detailed model ranking.
Table 9. Detailed model ranking.
DatasetThe Employed ML Models
DNNRXGBoostGBMAdaBoostSVRLM-ANNGP
11354276
21567234
33125476
41235476
Publisher’s Note: MDPI stays neutral with regard to jurisdictional claims in published maps and institutional affiliations.

Share and Cite

MDPI and ACS Style

Hoang, N.-D. Machine Learning-Based Estimation of the Compressive Strength of Self-Compacting Concrete: A Multi-Dataset Study. Mathematics 2022, 10, 3771. https://doi.org/10.3390/math10203771

AMA Style

Hoang N-D. Machine Learning-Based Estimation of the Compressive Strength of Self-Compacting Concrete: A Multi-Dataset Study. Mathematics. 2022; 10(20):3771. https://doi.org/10.3390/math10203771

Chicago/Turabian Style

Hoang, Nhat-Duc. 2022. "Machine Learning-Based Estimation of the Compressive Strength of Self-Compacting Concrete: A Multi-Dataset Study" Mathematics 10, no. 20: 3771. https://doi.org/10.3390/math10203771

APA Style

Hoang, N.-D. (2022). Machine Learning-Based Estimation of the Compressive Strength of Self-Compacting Concrete: A Multi-Dataset Study. Mathematics, 10(20), 3771. https://doi.org/10.3390/math10203771

Note that from the first issue of 2016, this journal uses article numbers instead of page numbers. See further details here.

Article Metrics

Back to TopTop