Attitude Control of a Flexible Spacecraft via Fuzzy Optimal Variance Technique †
Abstract
:1. Introduction
2. Materials and Methods
2.1. Flexible Spacecraft Model
2.2. Takagi-Sugeno Fuzzy Model
2.3. Fuzzy Augmented Model
2.4. Parallel Distributed Compensation Control
2.5. Fuzzy Optimal Variance Controller
3. Results
3.1. Fuzzy Model Validation
3.2. Numerical Results
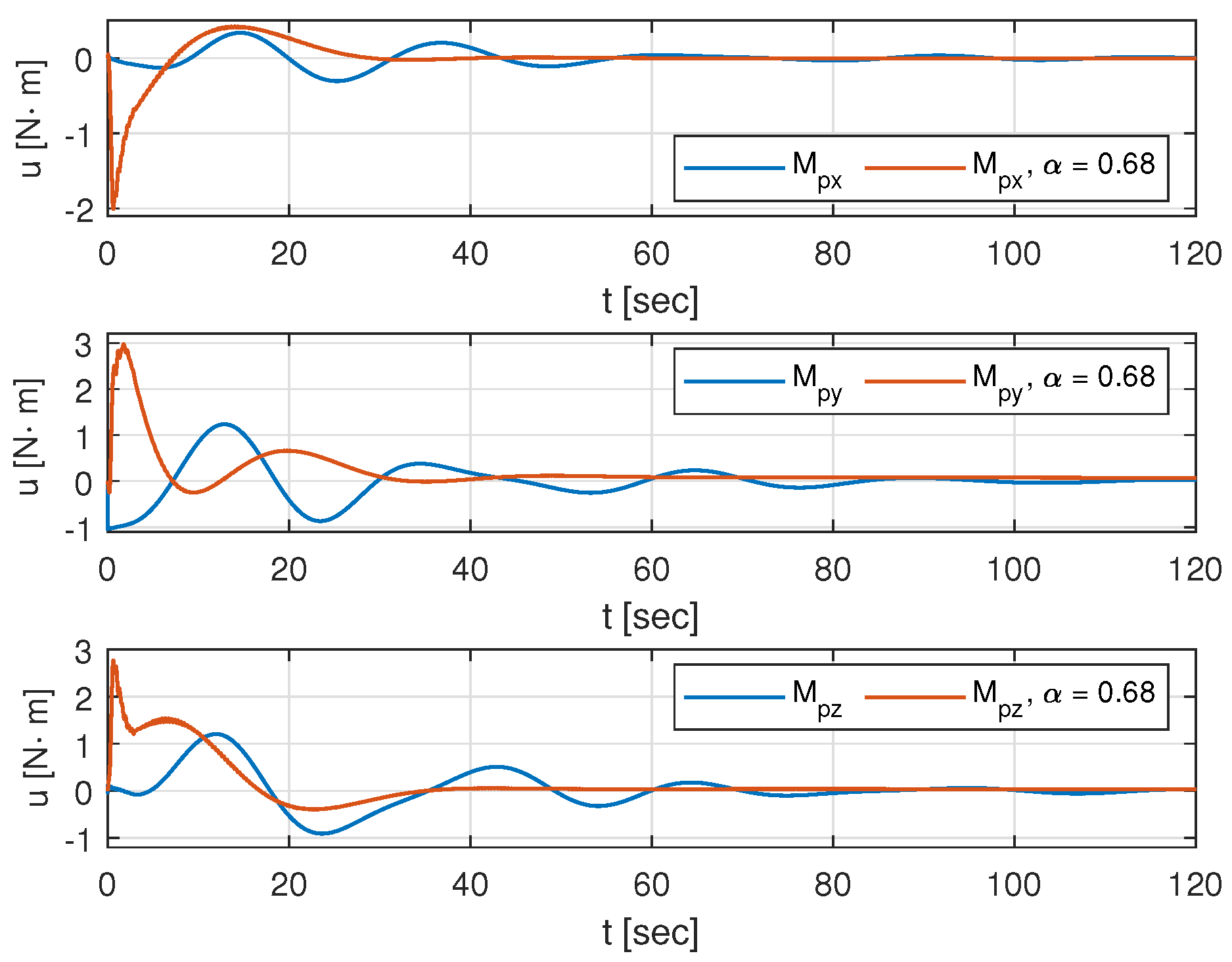
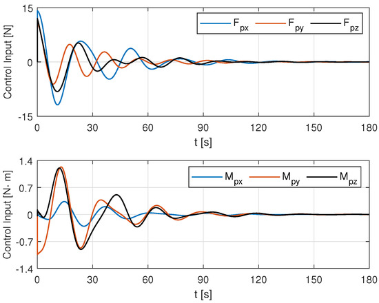
3.3. Controller Performance
4. Conclusions
Funding
Institutional Review Board Statement
Informed Consent Statement
Data Availability Statement
Conflicts of Interest
References
- Debelle, J. A Control Structure Based upon Process Models. J. A 1979, 20, 71–81. [Google Scholar]
- Fertik, H.A.; Ross, C.W. Direct Digital Control Algorithm with Anti-windup Feature. ISA Trans. 1967, 6, 317–328. [Google Scholar]
- Hanus, R. A New Technique for Preventing Control Windup. J. A 1980, 21, 15–20. [Google Scholar]
- Astrom, K.J.; Rundqwist, L. Integrator Windup and How to Avoid It. In Proceedings of the American Control Conference, Pittsburgh, PA, USA, 21–23 June 1989; Volume 2, pp. 1693–1698. [Google Scholar]
- Hanus, R. Antiwindup and Bumpless Transfer: A Survey. In Proceedings of the 12th IMACS World Congress, Paris, France, 18–22 July 1988; Volume 2, pp. 59–65. [Google Scholar]
- Morari, M. Some Control Problems in the Process Industries. In Essays on Control: Perspectives in the Theory and Its Applications; Birkhauser: Boston, MA, USA, 1993; pp. 55–77. [Google Scholar]
- Gilbert, E.G.; Kolmanovsky, I.; Tan, K.T. Discrete-time Reference Governors and the Nonlinear Control of Systems with State and Control Constraints. Int. J. Robust Nonlinear Control 1995, 5, 487–504. [Google Scholar] [CrossRef]
- Grimm, G.; Postlethwaite, I.; Teel, A.R.; Turner, M.C.; Zaccarian, L. Linear matrix inequalities for full and reduced order antiwindup synthesis. In Proceedings of the American Control Conference (Cat. No.01CH37148), Arlington, VA, USA, 25–27 June 2001; pp. 4134–4139. [Google Scholar] [CrossRef]
- Miyamoto, S.; Vinnicombe, G. Robust control of plants with saturation nonlinearity based on coprime factor representations. In Proceedings of the 35th IEEE Conference on Decision and Control, Kobe, Japan, 13 December 1996; Volume 3, pp. 2838–2840. [Google Scholar] [CrossRef]
- Mulder, E.F.; Kothare, M.V.; Morari, M. Multivariable anti-windup controller synthesis using iterative linear matrix inequalities. In Proceedings of the European Control Conference (ECC), Karlsruhe, Germany, 31 August–3 September 1999; pp. 3531–3536. [Google Scholar] [CrossRef]
- Shamma, J.S. Anti-windup via constrained regulation with observers. In Proceedings of the 1999 American Control Conference (Cat. No. 99CH36251), San Diego, CA, USA, 2–4 June 1999; Volume 4, pp. 2481–2485. [Google Scholar] [CrossRef]
- Teel, A.R. Anti-windup for exponentially unstable linear systems. Int. J. Robust Nonlinear Control 1999, 9, 701–716. [Google Scholar] [CrossRef]
- Teel, A.R.; Kapoor, N. The L2 anti-winup problem: Its definition and solution. In Proceedings of the European Control Conference (ECC), Brussels, Belgium, 1–7 July 1997; pp. 1897–1902. [Google Scholar]
- Zheng, A.; Kothare, M.V.; Morari, M. Anti-windup Design for Internal Model Control. Int. J. Control 1994, 60, 1015–1024. [Google Scholar] [CrossRef] [Green Version]
- Dornheim, M.A. Report Pinpoints Factors Leading to the YF-22 Crash. Aviat. Week Space Technol. 1992, 9, 53–54. [Google Scholar]
- Graettinger, T.J.; Krogh, B.H. Reference Signal Derivative Constraints for Guaranteed Tracking Performance. In Proceedings of the American Control Conference, Pittsburgh, PA, USA, 21–23 June 1989; pp. 2702–2707. [Google Scholar] [CrossRef]
- McNamee, J.; Pachter, M. The Construction of the Set of Stable States for Contrained Systems with Open-Loop Unstable Plants. In Proceedings of the 1998 American Control Conference ACC (IEEE Cat. No. 98CH36207), Philadelphia, PA, USA, 26 June 1998; pp. 3364–3368. [Google Scholar]
- Pachter, M.; Miller, R.B. Manual flight control with saturating actuators. IEEE Control Syst. Mag. 1998, 18, 10–20. [Google Scholar] [CrossRef]
- Goodwin, G.C.; Graebe, S.F.; Levin, W. Internal Model Control of Linear Systems with Saturating Actuators. In Proceedings of the European Control Conference, Groningen, The Netherlands, 28 June–1 July 1993; pp. 1072–1077. [Google Scholar]
- Seron, M.M.; Goodwin, G.C.; Graebe, S.F. Control system design issues for unstable linear systems with saturated inputs. In Proceedings of the IEE Proceedings-Control Theory and Applications; 1995; Volume 142, pp. 335–344. [Google Scholar] [CrossRef]
- Teel, A.R.; Kapoor, N. Uniting local and global controllers. In Proceedings of the European Control Conference (ECC), Brussels, Belgium, 1–7 July 1997; pp. 3868–3873. [Google Scholar] [CrossRef]
- Mamdani, E.H.; Assilian, S. An experiment in linguistic synthesis with a fuzzy logic controller. Int. J.-Man–Mach. Stud. 1975, 7, 1–13, ISSN 0020-7373. [Google Scholar] [CrossRef]
- Tanaka, K.; Sugeno, M. Stability analysis and design of fuzzy control systems. Fuzzy Sets Syst. 1992, 45, 135–156, ISSN 0165-0114. [Google Scholar] [CrossRef]
- Langari, G.; Tomizuka, M. Stability of fuzzy linguistic control systems. In Proceedings of the 29th IEEE Conference on Decision and Control, Honolulu, HI, USA, 5–7 December 1990; Volume 4, p. 2185. [Google Scholar] [CrossRef]
- Singh, S. Stability analysis of discrete fuzzy control systems. In Proceedings of the 1st IEEE International Conference Fuzzy Systems, San Diego, CA, USA, 8–12 March 1992; pp. 527–534. [Google Scholar]
- Feng, G. Controller synthesis of fuzzy dynamic systems based on piecewise lyapunov functions. IEEE Trans. Fuzzy Syst. 2003, 11, 605–612. [Google Scholar] [CrossRef]
- Tanaka, K.; Taniguchi, T.; Wang, H.O. Trajectory Control of an Articulated Vehicle with Triple Trailers. In Proceedings of the IEEE International Conference on Control Applications, Kohala Coast, HI, USA, 22–27 August 1999; Volume 2. [Google Scholar]
- Tanaka, K.; Ikeda, T.; Wang, H.O. Fuzzy regulators and fuzzy observers: Relaxed stability conditions and lmi-based designs. IEEE Trans. Fuzzy Syst. 1998, 6, 250–264. [Google Scholar] [CrossRef] [Green Version]
- Wang, H.O.; Tanaka, K.; Griffin, M. An approach to fuzzy control of nonlinear systems: Stability and design issues. IEEE Trans. Fuzzy Syst. 1996, 4, 14–23. [Google Scholar] [CrossRef]
- Sendi, C.; Ayoubi, M.A. Robust-Optimal Fuzzy Model-Based Control Of Flexible Spacecraft with Actuator Constraints. J. Dyn. Syst. Meas. Control 2015, 138, 091004. [Google Scholar] [CrossRef]
- Sendi, C.; Ayoubi, M.A. Robust Fuzzy Logic-Based Tracking Control of a Flexible Spacecraft with H∞ Performance Criteria. In Proceedings of the AIAA Space Conference and Exposition, San Diego, CA, USA, 10–12 September 2013. [Google Scholar] [CrossRef]
- Sendi, C. Attitude Stabilization during Retargeting Maneuver of Flexible Spacecraft Subject to Time Delay and Actuators Saturation. In Proceedings of the 2020 IEEE Aerospace Conference, Big Sky, MT, USA, 7–14 March 2020; pp. 1–10. [Google Scholar] [CrossRef]
- Meirovitch, L.; Kwak, K.M. Dynamics and control of spacecraft with retargeting flexible antennas. J. Guid. Control Dyn. 1990, 13, 241–248. [Google Scholar] [CrossRef]
- Meirovitch, L. Dynamics and Control of Structures; John Wiley & Sons, Inc.: Hoboken, NJ, USA, 1991; ISBN 978-0-471-62858-3. [Google Scholar]
- Meirovitch, L. Methods of Analytical Dynamics; Dover Publications, Inc.: Mineola, NY, USA, 2003. [Google Scholar]
- Swei, S.S.M.; Ayoubi, M.A. LMI-based fuzzy optimal variance control of airfoil model subject to input constraints. In Proceedings of the IEEE International Conference on Fuzzy Systems (FUZZ-IEEE), Naples, Italy, 9–12 July 2017; pp. 1–6. [Google Scholar] [CrossRef] [Green Version]
- Wang, H.O.; Tanaka, K. Parallel Distributed Compensation of Nonlinear Systems by Takagi-Sugeno Fuzzy Model. In Proceedings of the 1995 IEEE International Conference on Fuzzy Systems, Yokohama, Japan, 20–24 March 1995; Volume 2, pp. 531–538. [Google Scholar] [CrossRef]
- Lofberg, J. YALMIP: A toolbox for modeling and optimization in MATLAB. In Proceedings of the IEEE International Conference on Robotics and Automation (IEEE Cat. No.04CH37508), Taipei, Taiwan, 2–4 September 2004; pp. 284–289. [Google Scholar] [CrossRef]
- Ayoubi, M.A.; Sendi, C. Takagi-Sugeno Fuzzy Model-Based Control of Spacecraft with Flexible Appendage. J. Astronaut. Sci. 2014, 61, 40–59. [Google Scholar] [CrossRef]
























| Parameters | Values |
|---|---|
| [0.7341, 1.0185, 0.9992, 1, 1] | |
| [0.3750, 0.9388, 1.5800, 2.1990, 2.8274] | |
| m | |
| m | |
| kg | |
| kg | |
| kg·m2 | |
| kg·m2 | |
Publisher’s Note: MDPI stays neutral with regard to jurisdictional claims in published maps and institutional affiliations. |
© 2022 by the author. Licensee MDPI, Basel, Switzerland. This article is an open access article distributed under the terms and conditions of the Creative Commons Attribution (CC BY) license (https://creativecommons.org/licenses/by/4.0/).
Share and Cite
Sendi, C. Attitude Control of a Flexible Spacecraft via Fuzzy Optimal Variance Technique. Mathematics 2022, 10, 179. https://doi.org/10.3390/math10020179
Sendi C. Attitude Control of a Flexible Spacecraft via Fuzzy Optimal Variance Technique. Mathematics. 2022; 10(2):179. https://doi.org/10.3390/math10020179
Chicago/Turabian StyleSendi, Chokri. 2022. "Attitude Control of a Flexible Spacecraft via Fuzzy Optimal Variance Technique" Mathematics 10, no. 2: 179. https://doi.org/10.3390/math10020179
APA StyleSendi, C. (2022). Attitude Control of a Flexible Spacecraft via Fuzzy Optimal Variance Technique. Mathematics, 10(2), 179. https://doi.org/10.3390/math10020179

