SEIARN: Intelligent Early Warning Model of Epidemic Spread Based on LSTM Trajectory Prediction
Abstract
:1. Introduction
2. Related Works
2.1. Epidemic Model
2.1.1. Classical SEIR Model
- Susceptible compartment: a healthy person who is not infected but may contract the virus through contact with infected or latent persons.
- Exposed compartment: a person who is infected with the virus before the onset of symptoms and who is active in a healthy population.
- Infectious compartment: a group of virus carriers who show clinically recognized symptoms and characteristics during the 14-day incubation period. These people have a strong ability to transmit the virus to susceptible persons in contact with them.
- Recovered compartment: includes infected, cured, and dead.
- The total number of people in the four compartments remained unchanged, that is .
- An infected person becomes infected with the virus and then becomes a latent person. At this stage, the latent person can also transmit the virus.
- Contact between an infected person and a susceptible person is contagious.
- Once cured, the infected person becomes permanently immunized and becomes the remover.
2.1.2. Prediction Model of COVID-19
2.2. Classical LSTM Model
- Forget gate:
- Input gate:
- Output gate:
3. Intelligent Early Warning Model of Epidemic Spreading Based on SEIARN
3.1. Model Principle Based on Compartment Optimization
- Susceptible compartment S: healthy people who are not infected with the virus but have been exposed to the asymptomatic or symptomatic infected people will move to the exposed compartment at different rates.
- Exposed compartment E: a person who is infected with the virus before the onset of symptoms, including people in contact with the asymptomatic infected people and people in contact with the symptomatic infected people.
- Infectious compartment I: a person who is a carrier of the virus and has clinically recognized symptoms and characteristics during the 14-day incubation period can transmit the virus to susceptible persons in contact with them. The symptomatic infections have a weak transmission ability due to easy isolation and short contact time with susceptible persons.
- Asymptomatic compartment A: a carrier who has no clinically recognized symptoms or characteristics during the 14-day incubation period can transmit the virus to susceptible persons who come into contact with it. The asymptomatic infections have a strong transmission ability due to not easy to be isolated and long contact time with susceptible persons.
- Recovered compartment R: including infected people, cured, and dead. The cured people have a certain probability of becoming susceptible and at risk of being secondary infections.
3.2. Dynamic Equation of Propagation Based on Contact Rate Optimization
3.2.1. Equation of Propagation Dynamics
3.2.2. Parameter Optimization Method Based on Improved LSTM
- Improved LSTM model
- Calculation of contact rate
4. Experiments and Analysis
4.1. Data Sources
4.1.1. Trace Data Sources
4.1.2. Sources of Pandemic Data
4.2. Experimental Results
4.2.1. Predict Trajectory and Contact Rate
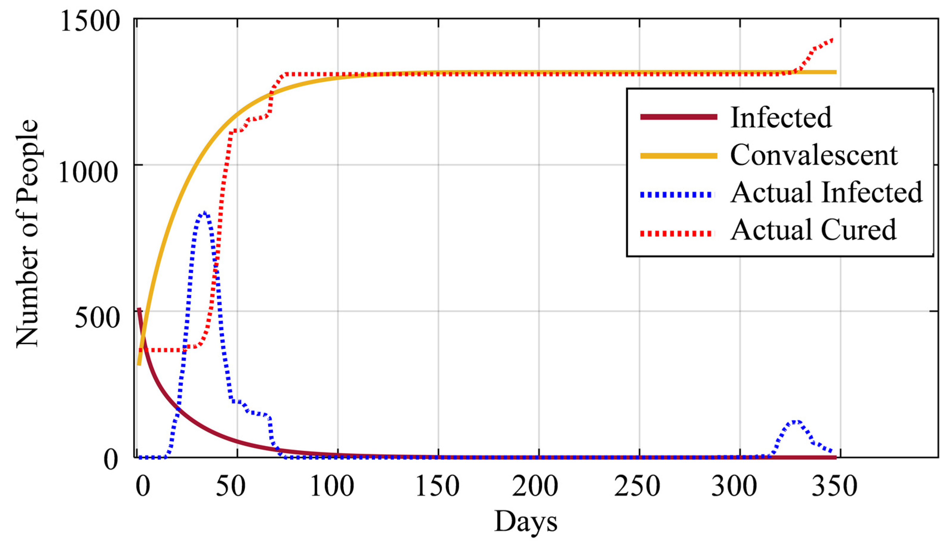
4.2.2. Epidemic Trend Prediction Based on SEIARN Model
4.3. SEIARN Model Parameter Value Analysis
4.4. Model Suitability Analysis
4.5. Comparative Analysis of Models
4.6. Model Prediction Comparison
5. Conclusions
5.1. Numerical Results
5.2. Limitations of the Proposed Model
Author Contributions
Funding
Institutional Review Board Statement
Informed Consent Statement
Data Availability Statement
Conflicts of Interest
References
- Xu, X.C.; Chang, Z.H.; Tang, Y. Novel coronavirus pneumonia’s impact on China’s economy from statistical data. Econ. Trends 2020, 5, 41–51. [Google Scholar]
- Wang, Q.; Chen, J.X.; Xiong, D.P.; He, X.F. New Coronavirus prediction and analysis based on Bayesian Optimization SEIR model. J. Anhui Univ. Eng. 2020, 35, 83–90. [Google Scholar]
- Yarsky, P. Using a genetic algorithm to fit parameters of a COVID-19 SEIR model for US states. Math. Comput. Simul. 2021, 185, 687–695. [Google Scholar] [CrossRef]
- Luo, D.T.; Qian, H.; Liu, C.; Huang, S.X. Effect evaluation of COVID-19 control strategy in different countries and periods: Based on adaptive pso-SEIR model. Sci. Bull. 2021, 66, 453–464. [Google Scholar]
- Jin, X.Y.; He, K.R. Evaluation and suggestion on effectiveness of New Coronavirus’s epidemic prevention policy based on improved SEIR model. Economist 2021, 2, 13–16. [Google Scholar]
- Zhang, Y.X.; Lin, J. Prediction and Analysis of Propagation of Novel Coronavirus Pneumonia Epidemic Based on SIR Model. J. Anhui Univ. Technol. (Nat. Sci.) 2020, 37, 94–101. [Google Scholar]
- Ding, M.L.; Peng, R.L.; Guo, R.W. Study on novel coronavirus pneumonia transmission problem based on infectious disease model. J. Qilu Univ. Technol. 2020, 34, 8–76. [Google Scholar]
- Rajesh, A.; Pai, H.; Roy, V.; Samanta, S.; Ghosh, S. COVID-19 prediction for India from the existing data and SIR (D) model study. medRxiv 2020, 1–14, preprint. [Google Scholar]
- Chen, Y.C.; Lu, P.E.; Chang, C.S.; Liu, T.H. A time-dependent SIR model for COVID-19 with undetectable infected persons. IEEE Trans. Netw. Sci. Eng. 2020, 7, 3279–3294. [Google Scholar] [CrossRef]
- Gu, B. Forecast and analysis of COVID-19 epidemic based on improved SEIR model. J. Phys. Conf. Ser. 2021, 1802, 042050. [Google Scholar] [CrossRef]
- Rǎdulescu, A.; Williams, C.; Cavanagh, K. Management strategies in a SEIR-type model of COVID 19 community spread. Sci. Rep. 2020, 10, 21256. [Google Scholar] [CrossRef] [PubMed]
- De la Sen, M.; Ibeas, A.; Nistal, R. About partial reachability issues in an SEIR epidemic model and related infectious disease tracking in finite time under vaccination and treatment controls. Discret. Dyn. Nat. Soc. 2021, 2021, 5556897. [Google Scholar] [CrossRef]
- Wang, G.Z.; Chi, X.H.; Zhou, Q. Epidemic prediction and analysis based on improved SEIR model. J. Henan Inst. Technol. 2020, 28, 29–33. [Google Scholar]
- Wang, Y.; Hu, J.C. Prediction and analysis of COVID-19 using PSO algorithm for estimating SEIRD model parameters. J. Chengdu Univ. Inf. Technol. 2021, 36, 368–373. [Google Scholar]
- Fan, Y.R.; Yang, T.; Kong, H.F. Assessment and prediction of COVID-19 based on staged SIR-f model. Comput. Appl. Softw. 2020, 37, 51–56+62. [Google Scholar]
- Mei, W.J.; Liu, Z.; Zhu, J.Y.; Du, L. Extreme IR Model for COVID -19 Real-Time Forecasting. J. Univ. Electron. Sci. Technol. China 2020, 49, 362–368. [Google Scholar]
- Yang, B.; Yu, Z.H.; Cai, Y.L. Study on mathematical modeling of New Coronavirus pneumonia transmission and control. J. Xi’an Jiaotong Univ. 2021, 55, 162–172. [Google Scholar]
- Ketu, S.; Mishra, P.K. India perspective: CNN-LSTM hybrid deep learning model-based COVID-19 prediction and current status of medical resource availability. Soft Comput. 2022, 26, 645–664. [Google Scholar] [CrossRef]
- Zhao, X.; Sun, G.X.; Zhao, Y. Prediction of COVID-19 outbreak and assessment of prevention and control measures based on improved SEIR model. J. Qingdao Univ. (Nat. Sci. Ed.) 2021, 34, 1–8. [Google Scholar]
- Liang, J.Y. Establishment and Optimization of Prediction Model on COVID-19 Epidemic. Master’s Thesis, Guangzhou Medical University, Guangzhou, China, 2021. [Google Scholar]
- Tkachenko, R.; Izonin, I. Model and principles for the implementation of neural-like structures based on geometric data transformations. In Proceedings of the International Conference on Computer Science, Engineering and Education Applications, Kiev, Ukraine, 18–20 January 2018; Springer: Cham, Switzerland, 2018; pp. 578–587. [Google Scholar]
- Tkachenko, R. An Integral Software Solution of the SGTM Neural-like Structures Implementation for Solving Different Data Mining Tasks. In Proceedings of the International Scientific Conference “Intellectual Systems of Decision Making and Problem of Computational Intelligence”, Zalizniy Port, Ukraine, 24–28 May 2021; Springer: Cham, Switzerland, 2021; pp. 696–713. [Google Scholar]
- Zhang, L.Y.; Guo, J.F.; Wang, J.; Wang, J.Z.; Li, S.S.; Zhang, C.Y. Hypergraph and Uncertain Hypergraph Representation Learning Theory and Methods. Mathematics 2022, 10, 1921. [Google Scholar] [CrossRef]
- Li, A.L.; Zhang, F.L.; Gao, Q.; Wang, R.J. Trajectory next footprint prediction model based on adaptive timestamp and multi-scale feature extraction. Comput. Sci. 2021, 48, 191–197. [Google Scholar]
- Mikhailov, S.; Kashevnik, A. Car Tourist Trajectory Prediction Based on Bidirectional LSTM Neural Network. Electronics 2021, 10, 1390. [Google Scholar] [CrossRef]
- Bajiya, V.P.; Tripathi, J.P.; Kakkar, V.; Wang, J. Global Dynamics of a Multi-group SEIR Epidemic Model with Infection Age. Chin. Ann. Math. Ser. B 2021, 42, 833–860. [Google Scholar] [CrossRef]





















| Tianjin | Xi’an, Shaanxi | ||
|---|---|---|---|
| Location | Address | Location | Address |
| Garden Shade Community Station | 117.144565, 39.09177 | 345 Cuihua North Road | 108.956961, 34.225502 |
| Linyuan Beili Community | 117.140883, 39.089576 | 188 Cuihua Road | 108.956162, 34.217596 |
| Lin Yuen Road Bank of China | 117.143379, 39.087896 | Yujiazhuang Station | 108.869362, 34.198944 |
| Lin Yuan Wet Market | 117.141529, 39.087807 | Xin Suzaku Market | 108.917471, 34.195764 |
| Wang Dingdi supermarket | 117.150945, 39.095768 | Qujiang Exhibition Station | 108.950642, 34.195795 |
| Garden View Apartment | 117.15197, 39.084268 | KFC Suzaku shop | 108.940885, 34.223241 |
| Shijiazhuang, Hebei | |||
| location | address | location | address |
| Yuhua District | 114.531362, 38.006453 | Jiansheng Road | 114.500305, 38.019991 |
| Xinhua | 114.463347, 38.05106 | Xinle City | 114.684014, 38.343296 |
| Xinhua West Road | 114.424514, 38.051049 | Gaocheng District | 114.688951, 38.024039 |
| Variable | Meaning | Value | Source | Variable | Meaning | Value | Source |
|---|---|---|---|---|---|---|---|
| A rate of symptomatic | 5.2 × 10−7 | Reference [8] | asymptomatic contacts | 60 | Reference [6] | ||
| Asymptomatic infection rate | 4.3 × 10−9 | Reference [8] | Number of symptoms | 90 | S(0)∗ | ||
| Latent confirmatory rate | 0.084 | Reference [8] | S(0) | Initial susceptibility | 7.46 × 106 | data | |
| Asymptomatic recovery rate | 0.26 | estimate | E(0) | Initial latent population | 81 | data | |
| a recovery rate for symptoms | 8.7 × 10−2 | estimate | A(0) | Initial asymptomatic | 215 | data | |
| Proportion of symptoms | 0.8 | Reference [6] | I(0) | initial symptoms | 770 | data | |
| Disease recurrence rate | 7 × 10−9 | Reference [9] | R(0) | Initial recovery | 367 | data |
| Number of Infections | Number of Cured | Death Toll | |
|---|---|---|---|
| Average accuracy | 68.42% | 82.31% | 89.77% |
| Predict the mean data | 56 | 1250 | 8 |
| True data mean | 61 | 1261 | 7 |
| The average difference | 49.20 | 56.21 | 0.54 |
| Patient Trajectory Accuracy | Pedestrian Trajectory Accuracy | Exposure Rate | |
|---|---|---|---|
| Tianjin | 97.56% | 94.18% | 3.174% |
| Shaanxi | 98.73% | 96.44% | 2.253% |
| Tianjin | Shaanxi | ||||||
|---|---|---|---|---|---|---|---|
| Parameter | Reference | Parameter | Reference | Parameter | Reference | Parameter | Reference |
| 0.084 | A(0) | 51 | 0.084 | A(0) | 68 | ||
| I(0) | 1 | I(0) | 1 | ||||
| R(0) | 301 | R(0) | 499 | ||||
| S(0) | 1.29 × 106 | S(0) | 3.95 × 106 | ||||
| 0.16 | E(0) | 46 | 0.17 | E(0) | 73 | ||
| 0.084 | 60 | 0.074 | 60 | ||||
| 0.8 | 90 | 0.8 | 90 | ||||
| Acc of infected | 69.78% | Acc of infected | 65.44% | ||||
| Acc of cured | 78.25% | Acc of cured | 80.32% | ||||
| Acc of deaths | 95.70% | Acc of deaths | 95.70% | ||||
| RMSE of infected | 261.6728 | RMSE of infected | 183.363 | ||||
| RMSE of cured | 196.7453 | RMSE of cured | 93.2538 | ||||
| RMSE of deaths | 0.000097461 | RMSE of deaths | 0.00016682 | ||||
| Model | Accuracy Rate | MSE | RMSE | MAPE |
|---|---|---|---|---|
| SEIARN Based on LSTM Trajectory Prediction | 68.42% | 269 | 16.3930 | 0.1296 |
| SEIR Model | 43.12% | 23,269 | 152.5438 | 0.1272 |
| SEIAR Model | 55.95% | 29,038 | 170.4061 | 0.1326 |
| SEIAR model with relapse effect | 22.46% | 69,286 | 263.2231 | 0.1752 |
| A new nonlinear dynamics model | 67.54% | 347 | 18.6200 | 0.1212 |
| Model | Accuracy Rate | MSE | RMSE | MAPE |
|---|---|---|---|---|
| SEIARN Based on LSTM Trajectory Prediction | 82.31% | 26,137 | 161.6700 | 0.1372 |
| SEIR Model | 72.43% | 287,110 | 535.8270 | 0.4911 |
| SEIAR Model | 78.02% | 48,671 | 220.6156 | 0.2314 |
| SEIAR model with relapse effect | 59.86% | 93,161,511 | 9652.0211 | 0.9815 |
| A new nonlinear dynamics model | 79.32% | 32,084 | 179.1212 | 0.1455 |
| Model | Accuracy Rate | MSE | RMSE | MAPE |
|---|---|---|---|---|
| SEIARN Based on LSTM Trajectory Prediction | 89.77% | 0.9596 | 0.9796 | 0.0338 |
| SEIR Model | 84.61% | 11.8653 | 3.4446 | 0.464 |
| SEIAR Model | 88.66% | 0.1855 | 0.4307 | 0.0323 |
| SEIAR model with relapse effect | 75.22% | 133.8371 | 11.5688 | 0.6541 |
| A new nonlinear dynamics model | 85.12% | 1.0118 | 1.0059 | 0.0318 |
Publisher’s Note: MDPI stays neutral with regard to jurisdictional claims in published maps and institutional affiliations. |
© 2022 by the authors. Licensee MDPI, Basel, Switzerland. This article is an open access article distributed under the terms and conditions of the Creative Commons Attribution (CC BY) license (https://creativecommons.org/licenses/by/4.0/).
Share and Cite
Wang, L.; Dai, Y.; Wang, R.; Sun, Y.; Zhang, C.; Yang, Z.; Sun, Y. SEIARN: Intelligent Early Warning Model of Epidemic Spread Based on LSTM Trajectory Prediction. Mathematics 2022, 10, 3046. https://doi.org/10.3390/math10173046
Wang L, Dai Y, Wang R, Sun Y, Zhang C, Yang Z, Sun Y. SEIARN: Intelligent Early Warning Model of Epidemic Spread Based on LSTM Trajectory Prediction. Mathematics. 2022; 10(17):3046. https://doi.org/10.3390/math10173046
Chicago/Turabian StyleWang, Liya, Yaxun Dai, Renzhuo Wang, Yuwen Sun, Chunying Zhang, Zhiwei Yang, and Yuqing Sun. 2022. "SEIARN: Intelligent Early Warning Model of Epidemic Spread Based on LSTM Trajectory Prediction" Mathematics 10, no. 17: 3046. https://doi.org/10.3390/math10173046
APA StyleWang, L., Dai, Y., Wang, R., Sun, Y., Zhang, C., Yang, Z., & Sun, Y. (2022). SEIARN: Intelligent Early Warning Model of Epidemic Spread Based on LSTM Trajectory Prediction. Mathematics, 10(17), 3046. https://doi.org/10.3390/math10173046

