The Discrete Dipole Approximation: A Review
Abstract
1. Introduction
2. The Discrete Dipole Approximation
2.1. Principle of the Discrete Dipole Approximation
2.2. Solve the Lippmann–Schwinger Equation and Computation of the Far-Field
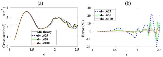
2.3. Examples of Calculation with the DDA
3. DDA for an Object in Presence of Multilayer
4. Computation of Optical Force
5. DDA for Periodic Object
6. DDA for Magneto-Dielectric Object
- represents the electric field at the position due to an electric dipole located at .
- represents the magnetic field at the position due to an electric dipole located at .
- represents the electric field at the position due to a magnetic dipole located at .
- represents the magnetic field at the position due to a magnetic dipole located at .
7. Fluorescence Lifetime Calculations
8. DDA in Time Domain
9. Conclusions
Funding
Institutional Review Board Statement
Informed Consent Statement
Data Availability Statement
Acknowledgments
Conflicts of Interest
Appendix A. Integration of the Singularity of the Green’s Function
Appendix B. Open-Source DDA Codes
| Code | DDscat | ADDA | IF-DDA(M) | openDDA | MPDDA | DDA-SI |
|---|---|---|---|---|---|---|
| Periodic target | × | |||||
| Optical force | × | × | × | × | ||
| Cross section | × | × | × | × | × | × |
| Substrate | × | × | × | |||
| Multilayer | × | |||||
| Microscopy | × | |||||
| LDOS | × | |||||
| Muller matrix | × | × | ||||
| Anisotropy | × | × | × | × | ||
| Parallel | openMP MPI | MPI | OpenMP | openMP MPI | Matlab | Matlab |
- DDscat: Draine and Flatau [17]. DDscat is the best known and oldest code. The current version is DDSCAT 7.3.3 and the code is written in FORTRAN 90. You can download the code on the following page: http://ddscat.wikidot.com/, accessed on 12 July 2022.
- ADDA: Yurkin et al. [101]. ADDA is a a C software package and can also employ GPUs to accelerate computations. You can download the code on the following page: https://github.com/adda-team/adda, accessed on 12 July 2022.
- IF-DDA(M): Chaumet, Sentenac and Sentenac [10]. The code actually consists of two. One where the object is in a homogeneous space (IF-DDA) and another one that allows to put the objects in a multilayer (IF-DDAM). The codes are in FORTRAN and the interface with drop-down menus that makes it suitable for non-physicists is coded in C++. You can download the code on the following page: https://www.fresnel.fr/perso/chaumet/ifdda.html or https://gitlab.com/ifdda, accessed on 12 July 2022.
- openDDA: Mc Donald, Golden, and Jennings [102]. This code is highly optimized in terms of celerity and memory. You can download the code on the following page: https://github.com/drjmcdonald/OpenDDA, accessed on 12 July 2022.
- MPDDA: Shabaninezhada, Awan and Ramakrishnac [103]. This package developed in MATLAB has been conducted to reduce the computational cost and can use the parallel computing toolbox in MATLAB by running the codes in GPU. You can download the code on the following page: https://github.com/MasoudShabani/MPDDA-1.0, accessed on 12 July 2022.
- DDA-SI: Loke, Mengüç and Nieminen [104]. DDA with surface interaction for MATLAB. You can download the code on the following page: https://github.com/dalerxli/dda-si, accessed on 12 July 2022.
References
- Stratton, J.A. Electromagnetic Theory; McGraw-Hill: New York, NY, USA, 1941. [Google Scholar]
- Jackson, J.D. Classical Electrodynamics, 2nd ed.; Wiley: New York, NY, USA, 1975. [Google Scholar]
- Kahnert, F.M. Numerical methods in electromagnetic scattering theory. J. Quant. Spect. Rad. Transf. 2003, 79–80, 775–824. [Google Scholar] [CrossRef]
- Gallinet, B.; Butet, J.; Martin, O.J.F. Numerical methods for nanophotonics: Standard problems and future challenges. Laser Photonics Rev. 2015, 9, 577–603. [Google Scholar] [CrossRef]
- Purcell, E.M.; Pennypacker, C.R. Scattering and absorption of light by nonspherical dielectric grains. Astrophys. J. 1973, 186, 705–714. [Google Scholar] [CrossRef]
- Draine, B.T. The discrete-dipole approximation and its application to interstellar graphite grains. Astrophys. J. 1988, 333, 848–872. [Google Scholar] [CrossRef]
- Gay-Balmaz, P.; Martin, O.J.F. Electromagnetic scattering of high-permittivity particles on a substrate. Appl. Opt. 2001, 40, 4562–4569. [Google Scholar] [CrossRef]
- Orlova, D.Y.; Yurkin, M.A.; Hoekstra, A.G.; Maltsev, V.P. Light scattering by neutrophils: Model, simulation, and experiment. J. Biomed. Opt. 2008, 13, 054057. [Google Scholar] [CrossRef]
- Gilev, K.V.; Eremina, E.; Yurkin, M.A.; Maltsev, V.P. Comparison of the discrete dipole approximation and the discrete source method for simulation of light scattering by red blood cells. Opt. Express 2010, 18, 5681–5690. [Google Scholar] [CrossRef]
- Chaumet, P.C.; Sentenac, D.; Maire, G.; Rasedujjaman, M.; Zhang, T.; Sentenac, A. IFDDA, an easy-to-use code for simulating the field scattered by 3D inhomogeneous objects in a stratified medium: Tutorial. J. Opt. Soc. Am. A 2021, 38, 1841–1852. [Google Scholar] [CrossRef]
- Zhang, T.; Ruan, Y.; Maire, G.; Sentenac, D.; Talneau, A.; Belkebir, K.; Chaumet, P.C.; Sentenac, A. Full-polarized Tomographic Diffraction Microscopy Achieves a Resoluti on about One-Fourth of the Wavelength. Phys. Rev. Lett. 2013, 111, 243904. [Google Scholar] [CrossRef]
- Chaumet, P.C.; Belkebir, K.; Sentenac, A. Superresolution of three-dimensional optical imaging by use of evanescent waves. Opt. Lett. 2004, 29, 2740–2742. [Google Scholar] [CrossRef]
- Wang, A.; Dimiduk, T.G.; Fung, J.; Razavi, S.; Kretzschmar, I.; Chaudhary, K.; Manoharan, V.N. Using the discrete dipole approximation and holographic microscopy to measure rotational dynamics of non-spherical colloidal particles. J. Quant. Spect. Rad. Transf. 2014, 146, 499–509. [Google Scholar] [CrossRef]
- Draine, B.T.; Weingartner, J.C. Radiative Torques on Interstellar Grains: I. Superthermal Spinup. Astrophys. J. 1996, 470, 551–565. [Google Scholar] [CrossRef]
- Hoekstra, A.G.; Frijlink, M.; Waters, L.B.F.M.; Sloot, P.M.A. Radiation forces in the discrete-dipole approximation. J. Opt. Soc. Am. A 2001, 18, 1944–1953. [Google Scholar] [CrossRef]
- Chaumet, P.C.; Rahmani, A.; Nieto-Vesperinas, M. Optical Trapping and Manipulation of Nano-objects with an Apertureless Probe. Phys. Rev. Lett. 2002, 88, 123601. [Google Scholar] [CrossRef]
- Draine, B.T.; Flatau, P.J. Discrete-dipole approximation for scattering calculations. J. Opt. Soc. Am. A 1994, 11, 1491–1499. [Google Scholar] [CrossRef]
- Yurkin, M.A.; Min, M.; Hoekstra, A.G. Application of the discrete dipole approximation to very large refractive indices: Filtered coupled dipoles revived. Phys. Rev. E 2010, 82, 036703. [Google Scholar] [CrossRef]
- Yurkin, M. Handbook of Molecular Plasmonics, Chapter Computational Approaches for Plasmonics; Taylor & Francis Group: Boca Raton, FL, USA, 2013. [Google Scholar]
- Morse, P.; Feshbach, H. Methods of Theoretical Physics; McGraw-Hill: Boston, MA, USA, 1953. [Google Scholar]
- Chaumet, P.C.; Sentenac, A.; Rahmani, A. Coupled dipole method for scatterers with large permittivity. Phys. Rev. E 2004, 70, 036606. [Google Scholar] [CrossRef] [PubMed]
- Yaghjian, A.D. Electric dyadic Green’s functions in the source region. Proc. IEEE 1980, 68, 248–263. [Google Scholar] [CrossRef]
- Smunev, D.A.; Chaumet, P.C.; Yurkin, M.A. Rectangular dipoles in the discrete dipole approximation. J. Quant. Spect. Rad. Transf. 2015, 156, 67–79. [Google Scholar] [CrossRef]
- Lakhtakia, A. Strong and weak forms of the method of moments and the coupled dipole method for scattering of time-harmonic electromagnetics fields. Int. J. Mod. Phys. C 1992, 3, 583–603. [Google Scholar] [CrossRef]
- Dungey, C.E.; Bohren, C.F. Light scattering by nonspherical particles: A refinement to the coupled-dipole method. J. Opt. Soc. Am. A 1991, 8, 81–87. [Google Scholar] [CrossRef]
- Draine, B.T.; Goodman, J. Beyond Clausius–Mossotti: Wave Propagation on a Polarizable Point Lattice and the Discrete Dipole Approximation. Astrophys. J. 1993, 405, 685–697. [Google Scholar] [CrossRef]
- Lakhtakia, A. General theory of the Purcell-Pennypacker scattering approach and its extension to bianisotropic scatterers. Astrophys. J. 1992, 394, 494–499. [Google Scholar] [CrossRef]
- Rahmani, A.; Chaumet, P.C.; Bryant, G.W. Local-field correction for an interstitial impurity in a crystal. Opt. Lett. 2002, 27, 430–432. [Google Scholar] [CrossRef] [PubMed]
- Collinge, M.J.; Draine, B.T. Discrete-dipole approximation with polarizabilities that account for both finite wavelength and target geometry. J. Opt. Soc. Am. A 2004, 21, 2023–2028. [Google Scholar] [CrossRef]
- Rahmani, A.; Chaumet, P.C.; Bryant, G.W. On the Importance of Local-Field Corrections for Polarizable Particles on a Finite Lattice: Application to the Discrete Dipole Approximation. Astrophys. J. 2004, 607, 873–878. [Google Scholar] [CrossRef]
- Yurkin, M.A.; Maltsev, V.P.; Hoekstra, A.G. Convergence of the discrete dipole approximation. I. Theoretical analys is. J. Opt. Soc. Am. A 2006, 23, 2578–2591. [Google Scholar] [CrossRef]
- Yurkin, M.A.; Maltsev, V.P.; Hoekstra, A.G. Convergence of the discrete dipole approximation. II. An extrapolation technique to increase the accuracy. J. Opt. Soc. Am. A 2006, 23, 2592–2601. [Google Scholar] [CrossRef]
- Yurkin, M.A.; Hoekstra, A.G.; Brock, R.S.; Lu, J.Q. Systematic comparison of the discrete dipole approximation and the finite difference time domain method for large dielectric scatterers. Opt. Express 2007, 15, 17902–17911. [Google Scholar] [CrossRef]
- Podowitz, D.I.; Liu, C.; Yang, P.; Yurkin, M.A. Comparison of the pseudo-spectral time domain method and the discrete d ipole approximation for light scattering by ice spheres. J. Quant. Spectrosc. Radiat. Transf. 2014, 146, 402–409. [Google Scholar] [CrossRef]
- Chaumet, P.C.; Demésy, G.; Gauthier-Lafaye, O.; Sentenac, A.; Popov, E.; Fehrembach, A.L. Electromagnetic modeling of large subwavelength-patterned highly resona nt structures. Opt. Lett. 2016, 41, 2358–2361. [Google Scholar] [CrossRef] [PubMed]
- Baker, M.; Liu, W.; McLeod, E. Accurate and fast modeling of scattering from random arrays of nanoparticles using the discrete dipole approximation and angular spectrum method. Opt. Express 2021, 29, 22761–22777. [Google Scholar] [CrossRef] [PubMed]
- Flatau, P.J.; Draine, B.T. Fast near field calculations in the discrete dipole approximation for regular rectilinear grids. Opt. Express 2012, 20, 1247–1252. [Google Scholar] [CrossRef]
- Yurkin, M.A.; Hoekstra, A.G. The discrete dipole approximation: An overview and recent developments. J. Quant. Spect. Rad. Transf. 2007, 106, 558–589. [Google Scholar] [CrossRef]
- Chaumet, P.C.; Rahmani, A. Efficient iterative solution of the discrete dipole approximation for magneto-dielectric scatterers. Opt. Lett. 2009, 34, 917–919. [Google Scholar] [CrossRef] [PubMed]
- Flatau, P.J. Improvements in the discrete-dipole approximation method of computing scattering and absorption. Opt. Lett. 1997, 22, 1205–1207. [Google Scholar] [CrossRef] [PubMed]
- Fan, Z.H.; Wang, D.X.; Chan, R.S.; Yung, E.K.N. The application of iterative solvers in discrete dipole approximation method for computing electromagnetic scattering. Microwave Opt. Technol. Lett. 2006, 48, 1741–1746. [Google Scholar] [CrossRef]
- Flatau, P.J.; Stephens, G.L.; Draine, B.T. Light scattering by rectangular solids in the discrete-dipole approximation: A new algorithm exploiting the Block-Toeplitz structure. J. Opt. Soc. Am. A 1990, 7, 593–600. [Google Scholar] [CrossRef]
- Goodman, J.J.; Flatau, P.J. Application of fast-Fourier-transform techniques to the discrete-dipole approximation. Opt. Lett. 2002, 16, 1198–1200. [Google Scholar] [CrossRef]
- Chaumet, P.C.; Zhang, T.; Sentenac, A. Fast far-field calculation in the discrete dipole approximation. J. Quant. Spectrosc. Radiat. Transf. 2015, 165, 88–92. [Google Scholar] [CrossRef]
- Frigo, M.; Johnson, S.G. The Design and Implementation of FFTW3. Proc. IEEE 2005, 93, 216–231. [Google Scholar] [CrossRef]
- Markel, V.A. Extinction, scattering and absorption of electromagnetic waves in the coupled-dipole approximation. J. Quant. Spectrosc. Radiat. Transf. 2019, 236, 106611. [Google Scholar] [CrossRef]
- Yurkin, M.A.; de Kanter, D.; Hoekstra, A.G. Accuracy of the discrete dipole approximation for simulation of optical properties of gold nanoparticles. J. Nanophotonics 2010, 4, 041585. [Google Scholar] [CrossRef]
- Zubko, E.; Petrov, D.; Grynko, Y.; Shkuratov, Y.; Okamoto, H.; Muinonen, K.; Nousiainen, T.; Kimura, H.; Yamamoto, T.; Videen, G. Validity criteria of the discrete dipole approximation. Appl. Opt. 2010, 49, 1267–1279. [Google Scholar] [CrossRef]
- Piller, N.; Martin, O. Increasing the performance of the coupled-dipole approximation: A spectral approach. IEEE Trans. Antennas Propag. 1998, 46, 1126–1137. [Google Scholar] [CrossRef][Green Version]
- Yurkin, M.A.; Maltsev, V.P.; Hoekstra, A.G. The discrete dipole approximation for simulation of light scattering by particles much larger than the wavelength. J. Quant. Spect. Rad. Transf. 2007, 106, 546–557. [Google Scholar] [CrossRef]
- Thuthu, M.; Fujino, S.; Onoue, Y. An Advanced Iterative Method Based on Intelligent Determination of Recurrences. In Proceedings of the International MultiConference of Engineers and Computer Scientists 2009 Vol I, IMECS 2009, Hong Kong, China, 18–20 March 2009. [Google Scholar]
- Fujino, S.; Sekimoto, T. Performance Evaluation of GPBiCGSafe Method without Reverse-Ordered Recurrence for Realistic Problems. In Proceedings of the International MultiConference of Engineers and Computer Scientists 2012 Vol II, IMECS 2012, Hong Kong, China, 14–16 March 2012. [Google Scholar]
- Fujino, S. A proposal of GPBiCG-plus method. In Proceedings of the 15th MASCOT, 19th IMACS World Congress, Madrid, Spain, 15–19 July 2013. [Google Scholar]
- Fujino, S.; Iwasato, K. An Estimation of Single-Synchronized Krylov Subspace Methods with Hybrid Parallelization. In Proceedings of the World Congress on Engineering 2015 Vol I, WCE 2015, London, UK, 1–3 July 2015. [Google Scholar]
- Zhao, L.; Huang, T.Z.; Jing, Y.F.; Deng, L.J. A generalized product-type BiCOR method and its application in signal deconvolution. Comput. Math. Appl. 2013, 66, 1372–1388. [Google Scholar] [CrossRef]
- Carpentieri, B.; Jing, Y.F.; Huang, T.Z.; Pi, W.C.; Sheng, X.Q. A novel family of iterative solvers for method of moments discretizations of maxwell’s equations. In Proceedings of the Computational Electromagnetics International Workshop, Taipei, Taiwan, 8–10 August 2011; pp. 85–90. [Google Scholar]
- Freund, R.W.; Nachtigal, N.M. QMR—A quasi-minimal residual method for non-hermitian linear-systems. Numer. Math. 1991, 60, 315–339. [Google Scholar] [CrossRef]
- Da Cunha, R.D.; Hopkins, T. The Parallel Iterative Methods (PIM) package for the solution of systems of linear equations on parallel computers. Appl. Numer. Math. 1995, 19, 33–50. [Google Scholar] [CrossRef]
- Chan, T.F.; Gallopoulos, E.; Simoncini, V.; Szeto, T.; Tong, C.H. A Quasi-Minimal Residual Variant of the Bi-CGSTAB Algorithm for Nonsymmetric Systems. SIAM J. Sci. Comput. 1994, 15, 338–347. [Google Scholar] [CrossRef]
- Liu, C.; Bi, L.; Panetta, R.L.; Yang, P.; Yurkin, M.A. Comparison between the pseudo-spectral time domain method and the discrete dipole approximation for light scattering simulations. Opt. Express 2012, 20, 16763–16776. [Google Scholar] [CrossRef]
- Zhu, Y.; Liu, C.; Yurkin, M.A. Reproducing the morphology-dependent resonances of spheres with the discrete dipole approximation. Opt. Express 2019, 27, 22827–22845. [Google Scholar] [CrossRef] [PubMed]
- Paulus, M.; Gay-Balmaz, P.; Martin, O.J.F. Accurate and efficient computation of the Green’s tensor for stratified media. Phys. Rev. E 2000, 62, 5797–5807. [Google Scholar] [CrossRef] [PubMed]
- Chaumet, P.C.; Sentenac, A.; Fehrembach, A.L. Modelling of hundreds of wavelength long, highly resonant, 3D subwavelength patterned scattering structures. Opt. Quantum Electron. 2017, 49, 71. [Google Scholar] [CrossRef]
- Yurkin, M.A.; Huntemann, M. Rigorous and Fast Discrete Dipole Approximation for Particles near a Plane Interface. J. Phys. Chem. C 2015, 119, 29088–29094. [Google Scholar] [CrossRef]
- Ashkin, A. Acceleration and Trapping of Particles by Radiation Pressure. Phys. Rev. Lett. 1970, 24, 156–159. [Google Scholar] [CrossRef]
- Neuman, K.C.; Block, S.M. Optical trapping. Rev. Sci. Inst. 2004, 75, 2787–2809. [Google Scholar] [CrossRef]
- Dienerowitz, M.; Mazilu, M.; Dholakia, K. Optical manipulation of nanoparticles: A review. J. Nanophotonics 2008, 2, 021875. [Google Scholar] [CrossRef]
- Gao, D.; Ding, W.; Nieto-Vesperinas, M.; Ding, X.; Rahman, M.; Zhang, T.; Lim, C.; Qiu, C.W. Optical manipulation from the microscale to the nanoscale: Fundamentals, advances and prospects. Light Sci Appl. 2017, 6, e17039. [Google Scholar] [CrossRef]
- Chaumet, P.C.; Nieto-Vesperinas, M. Time-averaged total force on a dipolar sphere in an electromagnetic field. Opt. Lett. 2000, 25, 1065–1067. [Google Scholar] [CrossRef]
- Chaumet, P.C.; Rahmani, A.; Sentenac, A.; Bryant, G.W. Efficient computation of optical forces with the coupled dipole method. Phys. Rev. E 2005, 72, 046708. [Google Scholar] [CrossRef] [PubMed]
- Chaumet, P.C.; Billaudeau, C. Coupled dipole method to compute optical torque: Application to a micropropeller. J. Appl. Phys. 2007, 101, 023106. [Google Scholar] [CrossRef]
- Chaumet, P.C.; Nieto-Vesperinas, M. Coupled dipole method determination of the electromagnetic force on a particle over a flat dielectric substrate. Phys. Rev. B 2000, 61, 14119–14127. [Google Scholar] [CrossRef]
- Poppe, G.P.M.; Wijers, C.M.J.; van Silfhout, A. ir spectroscopy of CO physisorbed on NaCl(100): Microscopic treatment. Phys. Rev. B 1991, 44, 7917–7929. [Google Scholar] [CrossRef] [PubMed]
- Shanks, D. Non-linear Transformations of Divergent and Slowly Convergent Sequences. J. Math. Phys. 1955, 34, 1–42. [Google Scholar] [CrossRef]
- Draine, B.T.; Flatau, P.J. Discrete-dipole approximation for periodic targets: Theory and tests. J. Opt. Soc. Am. A 2008, 25, 2693–2703. [Google Scholar] [CrossRef]
- Chaumet, P.C.; Sentenac, A. Numerical simulations of the electromagnetic field scattered by defects in a double-periodic structure. Phys. Rev. B 2005, 72, 205437. [Google Scholar] [CrossRef]
- Chaumet, P.C.; Rahmani, A. Coupled-dipole method for magnetic and negative refraction materials. J. Quant. Spect. Rad. Transf. 2009, 110, 22–29. [Google Scholar] [CrossRef]
- Chaumet, P.C.; Rahmani, A.; Zolla, F.; Nicolet, A. Electromagnetic forces on a discrete spherical invisibility cloak under time-harmonic illumination. Phys. Rev. E 2012, 85, 143101. [Google Scholar] [CrossRef]
- Agarwal, G.S. Quantum electrodynamics in the presence of dielectrics and conductors. I Electromagnetic-field response functions and black-body fluctuations in finite geometry. Phys. Rev. A 1975, 11, 230–242. [Google Scholar] [CrossRef]
- Rahmani, A.; Chaumet, P.C.; de Fornel, F.; Girard, C. Field propagator of a dressed junction: Fluorescence lifetime calculations in a confined geometry. Phys. Rev. A 1997, 56, 3245–3254. [Google Scholar] [CrossRef]
- Carminati, R.; Cazé, A.; Cao, D.; Peragut, F.; Krachmalnicoff, V.; Pierrat, R.; De Wilde, Y. Electromagnetic density of states in complex plasmonic systems. Surf. Sci. Rep. 2015, 70, 1–41. [Google Scholar] [CrossRef]
- Rahmani, A.; Chaumet, P.C.; de Fornel, F. Enrironment-induced modification of spontaneous emission: Single-molecule near-field probe. Phys. Rev. A 2001, 63, 023819. [Google Scholar] [CrossRef]
- Moskalensky, A.E.; Yurkin, M.A. Energy budget and optical theorem for scattering of source-induced fields. Phys. Rev. A 2019, 99, 053824. [Google Scholar] [CrossRef]
- Taflove, A.; Brodwin, M.E. Numerical solution of steady-state electromagnetic scattering problems using the time-dependent Maxwell’s equations. IEEE Trans. Microw. Theory Tech. 1975, 23, 623–630. [Google Scholar] [CrossRef]
- Cheng, Y.; Chen, G.; Wang, X.H.; Yang, S. Investigation of numerical dispersion with time step of the FDTD methods: Avoiding erroneous conclusions. IET Microwaves Antennas Propag. 2021, 15, 691–703. [Google Scholar] [CrossRef]
- Chaumet, P.C.; Belkebir, K.; Rahmani, A. Coupled-dipole method in time domain. Opt. Express 2008, 16, 20157–20165. [Google Scholar] [CrossRef]
- Kim, K.H.; Yurkin, M.A. Time-domain discrete-dipole approximation for simulation of temporal response of plasmonic nanoparticles. Opt. Express 2015, 23, 15555–15564. [Google Scholar] [CrossRef]
- Kar, N.; Bagchi, A. Local-field effect near the surface of dipolar lattices. Solid State Commun. 1980, 33, 645–648. [Google Scholar] [CrossRef]
- Poppe, G.; Wijers, C. Exact solution of the optical response of thick slabs in the discrete dipole approach. Phys. B Condens. Matter 1990, 167, 221–237. [Google Scholar] [CrossRef]
- Mochán, W.L.; Barrera, R.G. Intrinsic Surface-Induced Optical Anisotropies of Cubic Crystals: Local-Field Effect. Phys. Rev. Lett. 1985, 55, 1192–1195. [Google Scholar] [CrossRef] [PubMed]
- Groth, S.P.; Polimeridis, A.G.; Tambova, A.; White, J.K. Circulant preconditioning in the volume integral equation method for silicon photonics. J. Opt. Soc. Am. A 2019, 36, 1079–1088. [Google Scholar] [CrossRef] [PubMed]
- Groth, S.P.; Polimeridis, A.G.; White, J.K. Accelerating the discrete dipole approximation via circulant preconditioning. J. Quant. Spectrosc. Radiat. Transf. 2020, 240, 106689. [Google Scholar] [CrossRef]
- Strakoš, Z.; Liesen, J. On numerical stability in large scale linear algebraic computations. Z. Angew. Math. Mech. 2005, 85, 307–325. [Google Scholar] [CrossRef]
- Inzhevatkin, K.G.; Yurkin, M.A. Uniform-over-size approximation of the internal fields for scatterers with low refractive-index contrast. J. Quant. Spectrosc. Radiat. Transf. 2022, 277, 107965. [Google Scholar] [CrossRef]
- Rahmani, A.; Chaumet, P.C.; Bryant, G.W. Coupled dipole method with an exact long-wavelength limit and improved accuracy at finite frequencies. Opt. Lett. 2002, 27, 2118–2120. [Google Scholar] [CrossRef]
- Carminati, R. Phase properties of the optical near field. Phys. Rev. E 1997, 55, R4901–R4904. [Google Scholar] [CrossRef]
- Kamilov, U.S.; Papadopoulos, I.N.; Shoreh, M.H.; Goy, A.; Vonesch, C.; Unser, M.; Psaltis, D. Learning approach to optical tomography. Optica 2015, 2, 517–522. [Google Scholar] [CrossRef]
- Kamilov, U.S.; Papadopoulos, I.N.; Shoreh, M.H.; Goy, A.; Vonesch, C.; Unser, M.; Psaltis, D. Optical Tomographic Image Reconstruction Based on Beam Propagation and Sparse Regularization. IEEE Trans. Comput. Imaging 2016, 2, 59–70. [Google Scholar] [CrossRef]
- Chaumet, P.C.; Sentenac, A.; Zhang, T. Reflection and transmission by large inhomogeneous media. Validity of b orn, rytov and beam propagation methods. J. Quant. Spectrosc. Radiat. Transf. 2020, 243, 106816. [Google Scholar] [CrossRef]
- Yurkin, M.A.; Mishchenko, M.I. Volume integral equation for electromagnetic scattering: Rigorous derivation and analysis for a set of multilayered particles with piecewise-smooth boundaries in a passive host medium. Phys. Rev. A 2018, 97, 043824. [Google Scholar] [CrossRef]
- Yurkin, M.A.; Hoekstra, A.G. The discrete-dipole-approximation code ADDA: Capabilities and known lim itations. J. Quant. Spect. Rad. Transf. 2011, 112, 2234–2247. [Google Scholar] [CrossRef]
- Donald, J.M.; Golden, A.; Jennings, S.G. Opendda: A Novel High-Performance Computational Framework for the Discrete Dipole Approximation. Int. J. High Perform. Comput. Appl. 2009, 23, 42–61. [Google Scholar] [CrossRef]
- Shabaninezhad, M.; Awan, M.; Ramakrishna, G. MATLAB package for discrete dipole approximation by graphics processing unit: Fast Fourier Transform and Biconjugate Gradient. J. Quant. Spectrosc. Radiat. Transf. 2021, 262, 107501. [Google Scholar] [CrossRef]
- Loke, V.L.; Mengüç, M.P.; Nieminen, T.A. Discrete-dipole approximation with surface interaction: Computational toolbox for MATLAB. J. Quant. Spectrosc. Radiat. Transf. 2011, 112, 1711–1725. [Google Scholar] [CrossRef]





| Iterative | , | , | , | , |
|---|---|---|---|---|
| Method | ||||
| GPBICG1 [51] | 18 (34) | 230 (480) | 42 (74) | 4946 (8712) |
| GPBICG2 [51] | 18 (34) | 238 (474) | 42 (74) | 4676 (8912) |
| GPBICGplus [52] | 18 (34) | 240 (494) | 42 (78) | 4870 (8858) |
| GPBICGsafe [53] | 18 (34) | 240 (476) | 42 (78) | 4902 (8814) |
| GPBICGAR [51] | 18 (34) | 234 (496) | 42 (78) | 5070 (8638) |
| GPBICGAR2 [51] | 18 (34) | 218 (478) | 42 (78) | 5038 (8572) |
| BICGSTAR-plus [54] | 18 (34) | 240 (498) | 42 (78) | 4902 (8804) |
| GPBICOR [55] | 18 (34) | 242 (506) | 44 (74) | 5262 (9116) |
| CORS [56] | 22(38) | - (-) | 44 (82) | - (-) |
| QMR [57,58] | 35 (59) | 329 (519) | 85 (143) | 5313 (7607) |
| TFQMR [58] | 24 (40) | - (-) | 60 (87) | - (-) |
| BICGSTAB [58] | 18 (34) | 258 (538) | 42 (78) | 5316 (9620) |
| QMRBICGSTAB2 [59] | 20 (36) | 378 (-) | 52 (84) | - (-) |
| QMRBICGSTAB1 [59] | - (-) | 670 (696) | - (-) | - (-) |
| Iterative | DDA with Equations (4) and () | DDA with Equations (4) and (A5) | DDA with Filtered Green’s Tensor |
|---|---|---|---|
| Method | |||
| GPBICG1 [51] | 4946 (8712) | 3412 (9072) | 2284 (6676) |
| GPBICG2 [51] | 4676 (8912) | 3188 (8848) | 2212 (6754) |
| GPBICGplus [52] | 4870 (8858) | 3270 (9348) | 2280 (6560) |
| GPBICGsafe [53] | 4902 (8814) | 3340 (9092) | 2290 (6946) |
| GPBICGAR [51] | 5070 (8638) | 3294 (9154) | 2376 (6164) |
| GPBICGAR2 [51] | 5038 (8572) | 3310 (8774) | 2290 (6490) |
| BICGSTAR-plus [54] | 4902 (8804) | 3342 (9248) | 2324 (6608) |
| GPBICOR [55] | 5262 (9116) | 3550 (9696) | 2322 (6500) |
| CORS [56] | - (-) | - (-) | - (-) |
| QMR [57,58] | 5313 (7607) | 3993 (7521) | 2529 (5429) |
| TFQMR [58] | - (-) | - (-) | - (-) |
| BICGSTAB [58] | 5316 (9620) | 3902 (-) | 2422 (7396) |
| QMRBICGSTAB2 [59] | - (-) | - (-) | - (-) |
| QMRBICGSTAB1 [59] | - (-) | - (-) | - (-) |
| Relative error on | 17.3% | 2.7% | 0.8% |
Publisher’s Note: MDPI stays neutral with regard to jurisdictional claims in published maps and institutional affiliations. |
© 2022 by the author. Licensee MDPI, Basel, Switzerland. This article is an open access article distributed under the terms and conditions of the Creative Commons Attribution (CC BY) license (https://creativecommons.org/licenses/by/4.0/).
Share and Cite
Chaumet, P.C. The Discrete Dipole Approximation: A Review. Mathematics 2022, 10, 3049. https://doi.org/10.3390/math10173049
Chaumet PC. The Discrete Dipole Approximation: A Review. Mathematics. 2022; 10(17):3049. https://doi.org/10.3390/math10173049
Chicago/Turabian StyleChaumet, Patrick Christian. 2022. "The Discrete Dipole Approximation: A Review" Mathematics 10, no. 17: 3049. https://doi.org/10.3390/math10173049
APA StyleChaumet, P. C. (2022). The Discrete Dipole Approximation: A Review. Mathematics, 10(17), 3049. https://doi.org/10.3390/math10173049
