A General Design Method of Cam Profile Based on Cubic Splines and Dynamic Model: Case Study of a Gravity-Driven Tricycle
Abstract
1. Introduction
2. Cam Guiding Principle
2.1. Device Construction
2.2. Steering System Model
2.3. Motion Trajectory Modelling
3. Calculation of Cam Profile Curves
4. Experimental Validation and the Fine-Tuning Mechanism Design
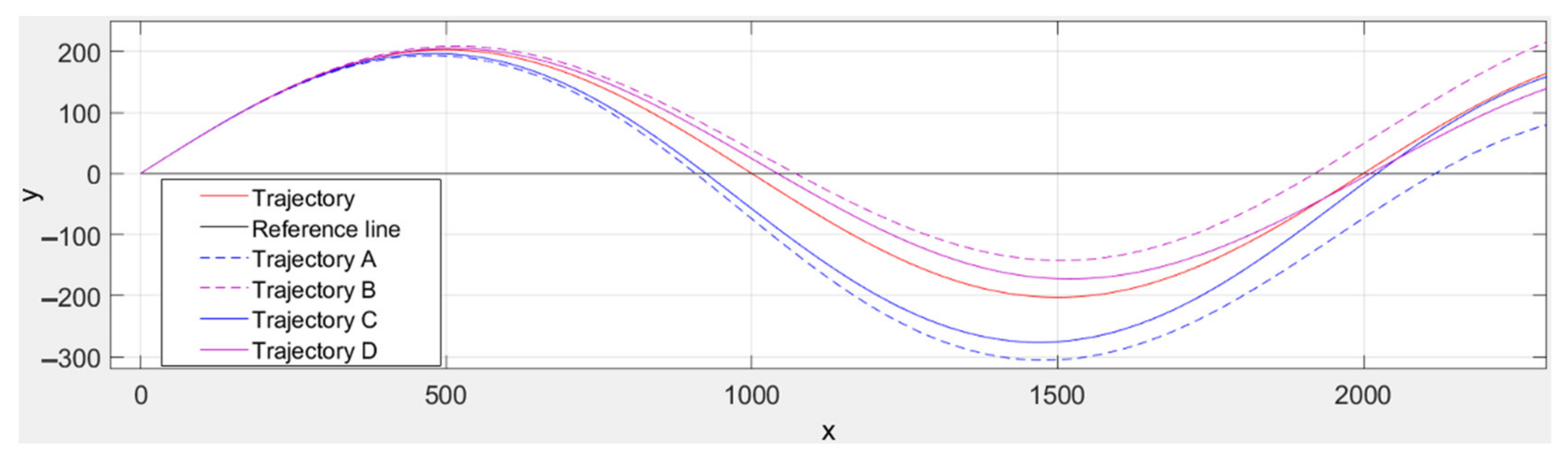
4.1. Experimental Validation
4.2. Design of the Fine-Tuning Mechanism
- Errors that cause uneven distribution of the steering’s left and right rotation angles. The initial rotation angle error can cause these errors during steering wheel assembly, the axial position error during steering wheel assembly, the position error between the camshaft and the steering rod, and the change in the contact point between the steering rod and the cam during the push and return caused by the cam thickness, etc.;
- Errors that make the sum of the steering wheel rotation angles too large or too small. This can be led by axial position error during cam assembly, etc.;
- Assembly errors that produce both of the effects above, manufacturing errors of the cam profile, etc.
5. Conclusions
Author Contributions
Funding
Conflicts of Interest
Appendix A
| No. | Independent Variable Coordinate x | Ideal Trajectory Coordinate y1 | Actual Trajectory Coordinate y2 | Trajectory Error y1 − y2 |
|---|---|---|---|---|
| 1 | 0 | 0 | 0 | 0 |
| 2 | 58.5 | 28.6 | 36.9959 | −8.3959 |
| 3 | 117 | 60.1 | 72.74574 | −12.6457 |
| 4 | 175.5 | 109.1 | 106.0454 | 3.054598 |
| 5 | 234 | 123.8 | 135.7733 | −11.9733 |
| 6 | 292.5 | 156.6 | 160.9282 | −4.32822 |
| 7 | 351 | 186.3 | 180.6628 | 5.637156 |
| 8 | 409.5 | 206.8 | 194.3125 | 12.48749 |
| 9 | 468 | 225.3 | 201.4175 | 23.88251 |
| 10 | 526.5 | 231.9 | 201.7385 | 30.16154 |
| 11 | 585.1 | 242.3 | 195.2478 | 47.05217 |
| 12 | 642.6 | 239.7 | 182.4627 | 57.23733 |
| 13 | 700.1 | 232.1 | 163.7397 | 68.36031 |
| 14 | 757.6 | 218.5 | 139.6882 | 78.81184 |
| 15 | 815.1 | 198.2 | 111.0908 | 87.1092 |
| 16 | 872.6 | 175.9 | 78.87824 | 97.02176 |
| 17 | 930.1 | 145.3 | 44.09876 | 101.2012 |
| 18 | 987.6 | 116.1 | 7.884192 | 108.2158 |
| 19 | 1045.1 | 78.8 | −28.587 | 107.387 |
| 20 | 1102.6 | 40.1 | −64.1278 | 104.2278 |
| 21 | 1160.7 | 0 | −97.9159 | 97.91591 |
| 22 | 1217.8 | −32.4 | −127.959 | 95.55871 |
| 23 | 1274.9 | −72.7 | −153.895 | 81.19497 |
| 24 | 1332 | −105.6 | −174.892 | 69.29231 |
| 25 | 1389.1 | −137.3 | −190.277 | 52.97688 |
| 26 | 1446.2 | −164.6 | −199.555 | 34.95493 |
| 27 | 1503.3 | −189.1 | −202.429 | 13.32872 |
| 28 | 1560.4 | −207.9 | −198.806 | −9.09399 |
| 29 | 1617.5 | −223.1 | −188.803 | −34.2969 |
| 30 | 1674.6 | −230.2 | −172.741 | −57.4591 |
| 31 | 1731.2 | −232.6 | −151.346 | −81.2536 |
| 32 | 1787.6 | −226.9 | −125.279 | −101.621 |
| 33 | 1844 | −218.3 | −95.2891 | −123.011 |
| 34 | 1900.4 | −205.5 | −62.3153 | −143.185 |
| 35 | 1956.8 | −187.5 | −27.3902 | −160.11 |
| 36 | 2013.2 | −164.1 | 8.392567 | −172.493 |
| 37 | 2069.6 | −137.9 | 43.91253 | −181.813 |
| 38 | 2126 | −106.5 | 78.05747 | −184.557 |
| 39 | 2182.4 | −72.8 | 109.7582 | −182.558 |
| 40 | 2238 | −38.5 | 137.6495 | −176.149 |
| 41 | 2295.5 | 0 | 162.0786 | −162.079 |
| No. | Independent Variable Coordinate x | Ideal Trajectory Coordinate y1 | Adjusted Trajectory Coordinate y3 | Trajectory Error y1 − y3 |
|---|---|---|---|---|
| 1 | 0 | 0 | 0 | 0 |
| 2 | 53.1 | 33.6 | 33.61427 | −0.01427 |
| 3 | 106.2 | 65.7 | 66.29528 | −0.59528 |
| 4 | 159.3 | 98.4 | 97.13566 | 1.264336 |
| 5 | 212.4 | 130.6 | 125.2792 | 5.32082 |
| 6 | 265.5 | 159.2 | 149.9445 | 9.25555 |
| 7 | 318.6 | 183.9 | 170.4467 | 13.45333 |
| 8 | 371.7 | 199.8 | 186.2166 | 13.58339 |
| 9 | 424.8 | 210.5 | 196.8164 | 13.68355 |
| 10 | 477.9 | 215.2 | 201.9519 | 13.24813 |
| 11 | 530.8 | 217.7 | 201.4926 | 16.20735 |
| 12 | 584 | 210.5 | 195.4315 | 15.06853 |
| 13 | 637.2 | 202.4 | 183.9239 | 18.47606 |
| 14 | 690.4 | 189.8 | 167.2907 | 22.50926 |
| 15 | 743.6 | 171.9 | 145.9954 | 25.90458 |
| 16 | 796.8 | 144.9 | 120.6314 | 24.26856 |
| 17 | 850 | 124.7 | 91.90566 | 32.79434 |
| 18 | 903.2 | 96.9 | 60.61861 | 36.28139 |
| 19 | 956.2 | 66.2 | 27.76822 | 38.43178 |
| 20 | 1009.6 | 34.3 | −6.10451 | 40.40451 |
| 21 | 1062.9 | 0 | −39.7435 | 39.74348 |
| 22 | 1112.8 | −31.7 | −70.2468 | 38.54677 |
| 23 | 1162.8 | −64.1 | −99.0827 | 34.98271 |
| 24 | 1212.8 | −94.9 | −125.479 | 30.57891 |
| 25 | 1262.8 | −124.1 | −148.785 | 24.6854 |
| 26 | 1312.8 | −149.9 | −168.428 | 18.5283 |
| 27 | 1362.8 | −173.7 | −183.924 | 10.22394 |
| 28 | 1412.8 | −192.9 | −194.891 | 1.990756 |
| 29 | 1462.8 | −207.5 | −201.059 | −6.44128 |
| 30 | 1512.8 | −218.7 | −202.276 | −16.4241 |
| 31 | 1563.1 | −225.1 | −198.475 | −26.625 |
| 32 | 1613.1 | −224.1 | −189.795 | −34.3053 |
| 33 | 1663.1 | −217.1 | −176.441 | −40.659 |
| 34 | 1713.1 | −206.6 | −158.743 | −47.8573 |
| 35 | 1763.1 | −187.6 | −137.136 | −50.4643 |
| 36 | 1813.1 | −165.9 | −112.152 | −53.7481 |
| 37 | 1863.1 | −137.2 | −84.4066 | −52.7934 |
| 38 | 1913.1 | −107.1 | −54.5829 | −52.5171 |
| 39 | 1963.1 | −72.9 | −23.4152 | −49.4848 |
| 40 | 2013.1 | −35.1 | 8.329023 | −43.429 |
| 41 | 2063.4 | 0 | 40.05523 | −40.0552 |
References
- Mazzotti, C.; Troncossi, M.; Parenti-Castelli, V. Dimensional synthesis of the optimal RSSR mechanism for a set of variable design parameters. Meccanica 2017, 52, 2439–2447. [Google Scholar] [CrossRef]
- Ceccarelli, M.; Carbone, G.; Lanni, C.; Ottaviano, E. A Fairly Simple Method to Identify the Curvature of a Cam Profile. In Proceedings of the ASME 2004 International Design Engineering Technical Conferences and Computers and Information in Engineering Conference, Salt Lake City, UT, USA, 28 September–2 October 2004. [Google Scholar]
- Osanyinpeju, K.; Aderinlewo, A.A.; Dairo, O.U.; Adetunji, O.R.; Ajisegiri, E.S. Development of the shape of the cam profile of mechanical yam vibrator using cycloid motion. Sustain. Eng. Innov. 2022, 4, 34–45. [Google Scholar] [CrossRef]
- Flocker, F.W. Addressing Cam Wear and Follower Jump in Single-Dwell Cam-Follower Systems with an Adjustable Modified Trapezoidal Acceleration Cam Profile. In Internal Combustion Engine Division Spring Technical Conference, San Diego, CA, USA, 4–7 November 2018; American Society of Mechanical Engineers: New York, NY, USA, 2008. [Google Scholar]
- Kiran, T.; Srivastava, S.K. Analysis and simulation of cam follower mechanism using polynomial cam profile. Int. J. Multidiscip. Curr. Res. 2013, 210–217. [Google Scholar]
- Mermelstein, S.P.; Acar, M. Optimising cam motion using piecewise polynomials. Eng. Comput. 2004, 19, 241–254. [Google Scholar] [CrossRef][Green Version]
- Zhou, C.; Hu, B.; Chen, S.; Ma, L. Design and analysis of high-speed cam mechanism using Fourier series. Mech. Mach. Theory 2016, 104, 118–129. [Google Scholar] [CrossRef]
- Angeles, J. Synthesis of plane curves with prescribed local geometric properties using periodic splines. Comput. Des. 1983, 15, 147–155. [Google Scholar] [CrossRef]
- Tsay, D.M.; Huey, C.O. Cam Motion Synthesis Using Spline Functions. J. Mech. Transm. Autom. Des. 1988, 110, 161–165. [Google Scholar] [CrossRef]
- Yoon, K.; Rao, S.S. Cam Motion Synthesis Using Cubic Splines. J. Mech. Des. 1993, 115, 441–446. [Google Scholar] [CrossRef]
- Ting, K.-L.; Lee, N.; Brandan, G. Synthesis of polynomial and other curves with the Bezier technique. Mech. Mach. Theory 1994, 29, 887–903. [Google Scholar] [CrossRef]
- Srinivasan, L.N.; Ge, Q.J. Designing Dynamically Compensated and Robust Cam Profiles with Bernstein-Be′zier Harmonic Curves. J. Mech. Des. 1998, 120, 40–45. [Google Scholar] [CrossRef]
- Neamtu, M.; Pottmann, H.; Schumaker, L.L. Designing NURBS Cam Profiles Using Trigonometric Splines. J. Mech. Des. 1998, 120, 175–180. [Google Scholar] [CrossRef]
- Tsay, D.M.; Huey, C.O. Application of Rational B-Splines to the Synthesis of Cam-Follower Motion Programs. J. Mech. Des. 1993, 115, 621–626. [Google Scholar] [CrossRef]
- Sandgren, E.; West, R.L. Shape Optimization of Cam Profiles Using a B-Spline Representation. J. Mech. Transm. Autom. Des. 1989, 111, 195–201. [Google Scholar] [CrossRef]
- Nguyen, T.; Kurtenbach, S.; Hüsing, M.; Corves, B. A general framework for motion design of the follower in cam mechanisms by using non-uniform rational B-spline. Mech. Mach. Theory 2019, 137, 374–385. [Google Scholar] [CrossRef]
- Müller, M.; Hüsing, M.; Beckermann, A.; Corves, B. Linkage and Cam Design with MechDev Based on Non-Uniform Rational B-Splines. Machines 2020, 8, 5. [Google Scholar] [CrossRef]
- Ouyang, T.; Wang, P.; Huang, H.; Zhang, N.; Chen, N. Mathematical modeling and optimisation of cam mechanism in delivery system of an offset press. Mech. Mach. Theory 2017, 110, 100–114. [Google Scholar] [CrossRef]
- Qin, W.; Chen, Y. Study on optimal kinematic synthesis of cam profiles for engine valve trains. Appl. Math. Model. 2014, 38, 4345–4353. [Google Scholar] [CrossRef]
- Xia, B.Z.; Liu, X.C.; Shang, X.; Ren, S.Y. Improving cam profile design optimisation based on classical splines and dynamic model. J. Cent. South Univ. 2017, 24, 1817–1825. [Google Scholar] [CrossRef]
- Yu, J.; Huang, K.; Luo, H.; Wu, Y.; Long, X. Manipulate optimal high-order motion parameters to construct high-speed cam curve with optimized dynamic performance. Appl. Math. Comput. 2020, 371, 124953. [Google Scholar] [CrossRef]
- Gal-Tzur, Z.; Shpitalni, M.; Malkin, S. Design and Manufacturing Analyses for Integrated CAD/CAM of Cams. J. Eng. Ind. 1989, 111, 307–314. [Google Scholar] [CrossRef]
- Yang, M.; Kim, C. A CAD/CAM system for precision cams with three CNC interpolation methods. Int. J. Adv. Manuf. Technol. 1994, 9, 87–92. [Google Scholar] [CrossRef]
- Masood, S.H. A CAD/CAM System for High Performance Precision Drum Cams. Int. J. Adv. Manuf. Technol. 1999, 15, 32–37. [Google Scholar] [CrossRef]
- Ye, H.J.; Zhang, Y. Parametric Design of Roller Oscillating Follower Disc Cam on UG. Adv. Mater. Res. 2011, 291, 2256–2261. [Google Scholar] [CrossRef]
- Yousuf, L.S. Detachment Detection in Cam Follower System Due to Nonlinear Dynamics Phenomenon. Machines 2021, 9, 349. [Google Scholar] [CrossRef]
- Koustoumpardis, P.N.; Smyrnis, S.; Aspragathos, N.A. A 3-Finger Robotic Gripper for Grasping Fabrics based on CAMS-Followers Mechanism. In International Conference on Robotics in Alpe-Adria Danube Region, Turin, Italy, 21–23 June 2017; Springer: Cham, Switzerland, 2017. [Google Scholar]
- Rothbart, H.A.; Klipp, D.L. Cam design handbook. J. Mech. Des. 2004, 126, 375. [Google Scholar] [CrossRef]
- Gupta, B. Theory of Machines: Kinematics and Dynamics; IK International Pvt Ltd.: Delhi, India, 2010. [Google Scholar]
- Faxin, L.; Xianzhang, F. The Design of Parallel Combination for Cam Mechanism. Procedia Environ. Sci. 2011, 10, 1343–1349. [Google Scholar] [CrossRef]
- Shala, A.; Likaj, R. Analytical Method for Synthesis of Cam Mechanism. Int. J. Curr. Eng. Technol. 2013, 133, 432–435. [Google Scholar]
- Norton, R. Design of Machinery; McGraw-Hill: New York, NY, USA, 1999. [Google Scholar]
- Wu, L.-I.; Chang, W.-T.; Liu, C.-H. The design of varying-velocity translating cam mechanisms. Mech. Mach. Theory 2007, 42, 352–364. [Google Scholar] [CrossRef]
- Biswas, A.; Stevens, M.; Kinzel, G.L. A comparison of approximate methods for the analytical determination of profiles for disk cams with roller followers. Mech. Mach. Theory 2004, 39, 645–656. [Google Scholar] [CrossRef]
- Hsieh, J.-F. Design and analysis of cams with three circular-arc profiles. Mech. Mach. Theory 2010, 45, 955–965. [Google Scholar] [CrossRef]
- Hsieh, J.-F. Design and analysis of indexing cam mechanism with parallel axes. Mech. Mach. Theory 2014, 81, 155–165. [Google Scholar] [CrossRef]
- Nguyen, T.T.N.; Duong, T.X.; Nguyen, V.S. Design general Cam profiles based on finite element method. Appl. Sci. 2021, 11, 6052. [Google Scholar] [CrossRef]
- Wu, J.; Yan, R.-J.; Shin, K.-S.; Han, C.-S.; Chen, I.-M. A 3-DOF quick-action parallel manipulator based on four linkage mechanisms with high-speed cam. Mech. Mach. Theory 2017, 115, 168–196. [Google Scholar] [CrossRef]
- Shao, Y.; Xiang, Z.; Liu, H.; Li, L. Conceptual design and dimensional synthesis of cam-linkage mechanisms for gait rehabilitation. Mech. Mach. Theory 2016, 104, 31–42. [Google Scholar] [CrossRef]
- Lee, G.; Lee, D.; Oh, Y. One-Piece Gravity Compensation Mechanism Using Cam Mechanism and Compression Spring. Int. J. Precis. Eng. Manuf. Technol. 2018, 5, 415–420. [Google Scholar] [CrossRef]














| No. | Parameter | Symbol |
|---|---|---|
| 1 | Diameter of steering wheel C | |
| 2 | Distance between rear wheels | |
| 3 | Active length of the steering rod | |
| 4 | Distance between steering wheel C and the rear shaft | |
| 5 | Radius of the steering rod | |
| 6 | Reference radius of the cam profile | |
| 7 | Tooth number and module of the gear on the rear shaft | |
| 8 | Tooth number and module of the gear on the camshaft | |
| 9 | Radius of the drive wheel A |
| No. | Parameter | Symbol |
|---|---|---|
| 1 | Diameter of steering wheel C | |
| 2 | Distance between rear wheels | |
| 3 | Active length of the steering rod | |
| 4 | Distance between steering wheel C and the rear shaft | |
| 5 | Radius of the steering rod | |
| 6 | Reference radius of the cam profile | |
| 7 | Tooth number and module of the gear on the rear shaft | |
| 8 | Tooth number and module of the gear on the camshaft | |
| 9 | Radius of the drive wheel A |
Publisher’s Note: MDPI stays neutral with regard to jurisdictional claims in published maps and institutional affiliations. |
© 2022 by the authors. Licensee MDPI, Basel, Switzerland. This article is an open access article distributed under the terms and conditions of the Creative Commons Attribution (CC BY) license (https://creativecommons.org/licenses/by/4.0/).
Share and Cite
Jiang, Z.; Zhu, T.; Chen, Z.; Fan, R.; Gao, Y.; Zhang, H.; Wang, L. A General Design Method of Cam Profile Based on Cubic Splines and Dynamic Model: Case Study of a Gravity-Driven Tricycle. Mathematics 2022, 10, 1979. https://doi.org/10.3390/math10121979
Jiang Z, Zhu T, Chen Z, Fan R, Gao Y, Zhang H, Wang L. A General Design Method of Cam Profile Based on Cubic Splines and Dynamic Model: Case Study of a Gravity-Driven Tricycle. Mathematics. 2022; 10(12):1979. https://doi.org/10.3390/math10121979
Chicago/Turabian StyleJiang, Zhihao, Tao Zhu, Zhongxiang Chen, Ruilin Fan, Yi Gao, Hanlu Zhang, and Lingming Wang. 2022. "A General Design Method of Cam Profile Based on Cubic Splines and Dynamic Model: Case Study of a Gravity-Driven Tricycle" Mathematics 10, no. 12: 1979. https://doi.org/10.3390/math10121979
APA StyleJiang, Z., Zhu, T., Chen, Z., Fan, R., Gao, Y., Zhang, H., & Wang, L. (2022). A General Design Method of Cam Profile Based on Cubic Splines and Dynamic Model: Case Study of a Gravity-Driven Tricycle. Mathematics, 10(12), 1979. https://doi.org/10.3390/math10121979

